| Обозначение: |  ГОСТ 21760-76 |
| Статус: | действующий |
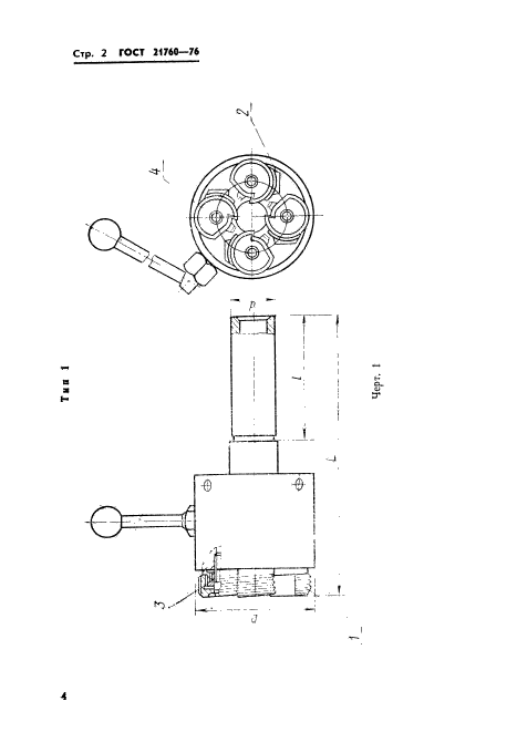
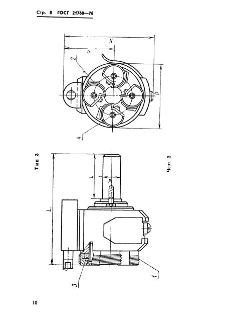
| Название рус.: | Головки винторезные самооткрывающиеся с круглыми гребенками. Типы и основные размеры |
| Название англ.: | Self-opening threadcutting die heads with circular chasets. Tipes and main dimensions |
| Дата актуализации текста: | 06.04.2015 |
| Дата актуализации описания: | 01.07.2023 |
| Дата издания: | 01.09.1982 |
| Дата введения: | 01.01.1978 |
| Код ОКП: | 392514 |
| Взамен: | ГОСТ 3307-61 |
| Нормативные ссылки: | ГОСТ 21762-76; ГОСТ 21763-76; ГОСТ 21764-76; ГОСТ 24705-81 |
| Область применения: | Настоящий стандарт распространяется на самооткрывающиеся винторезные головки с круглыми гребенками, предназначенные для нарезания наружной метрической резьбы диаметром от 4 до 60 мм с шагом до 4 мм |
| Список изменений: | №1 от 30.09.1982 (рег. 23.05.1982) «Срок действия продлен» |
|