Скачать ГОСТ 8034-76 Сверла спиральные малоразмерные диаметром от 0,1 до 1,5 мм с утолщенным цилиндрическим хвостовиком. Технические условияДата актуализации: 01.06.2025 ГОСТ 8034-76
Сверла спиральные малоразмерные диаметром от 0,1 до 1,5 мм с утолщенным цилиндрическим хвостовиком. Технические условия
| Обозначение: |  ГОСТ 8034-76 |
| Статус: | действующий |
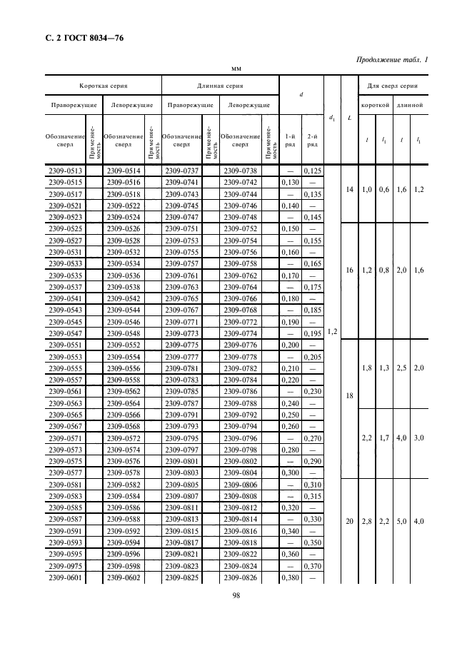
| Название рус.: | Сверла спиральные малоразмерные диаметром от 0,1 до 1,5 мм с утолщенным цилиндрическим хвостовиком. Технические условия | | Название англ.: | Small spiral drills with dimeter from 0,1 to 1,5 mm and thickened cylindrical tails. Specifications | | Дата актуализации текста: | 06.04.2015 | | Дата актуализации описания: | 01.07.2023 | | Дата издания: | 01.07.2003 | | Дата введения: | 01.01.1978 | | Код ОКП: | 391200 | | Взамен: | ГОСТ 8034-67 | | Содержит требования: | СТ СЭВ 3314-81 | | Нормативные ссылки: | ГОСТ 19265-73; ГОСТ 2789-73; ГОСТ 16504-74; ГОСТ 1050-74; ГОСТ 1975-75; ГОСТ 1642-50; ГОСТ 166-73; ГОСТ 9450-60; ГОСТ 9847-61; ГОСТ 8074-71; ГОСТ 18088-72 | | Область применения: | Настоящий стандарт распространяется на малоразмерные спиральные сверла длинной и короткой серий диаметром от 0,1 до 1,5 мм с утолщенным цилиндрическим хвостовиком | | Список изменений: | №1 от 01.07.1983 (рег. 07.01.1983) «Срок действия продлен» №2 от 01.10.1987 (рег. 22.04.1987) «Срок действия продлен» | |
       
|