| Обозначение: |  ГОСТ 22312-77 |
| Статус: | действующий |
| Название рус.: | Таблица аэродинамическая. Динамические давления и температуры торможения воздуха за прямой ударной волной для скорости полета от 4000 до 7000 км/ч |
| Название англ.: | Table aerodynamic. Dynamic pressures and temperatures of braking air at straight blast wave for flight velocity from 4000 to 7000 km/h |
| Дата актуализации текста: | 06.04.2015 |
| Дата актуализации описания: | 01.07.2023 |
| Дата издания: | 26.05.1977 |
| Дата введения: | 01.01.1978 |
| Код ОКП: | 750000 |
| Нормативные ссылки: | ГОСТ 4401-73; ГОСТ 5212-74 |
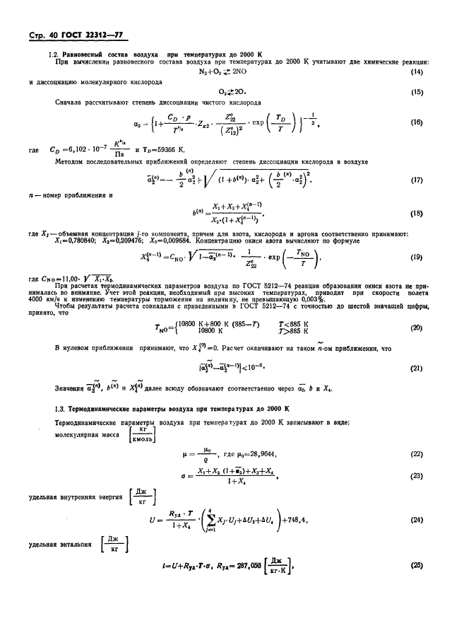
| Область применения: | Настоящий стандарт устанавливает числовые значения равновесного динамического давления и температуры торможения воздуха за прямой ударной волной в зависимости от величин истинной скорости и геопотенциальной высоты полета |
|