| Обозначение: |  ГОСТ 4060-78 |
| Статус: | заменён |
| Название рус.: | Подшипники роликовые игольчатые с одним наружным штампованным кольцом. Технические условия |
| Название англ.: | Needle roller bearings. Outer shell and roller assembly. Technical conditions |
| Дата актуализации текста: | 06.04.2015 |
| Дата актуализации описания: | 01.01.2026 |
| Дата издания: | 01.08.1991 |
| Дата введения: | 01.01.1980 |
| Дата окончания срока действия: | 01.11.2025 |
| Код ОКП: | 464300 |
| Взамен: | ГОСТ 4060-60 |
| Заменяющий: | ГОСТ 4060-2025 |
| Содержит требования: | СТ СЭВ 3339-81;СТ СЭВ 3794-82 |
| Нормативные ссылки: | ISO 3245:1974; ГОСТ 520-71; ГОСТ 503-71; ГОСТ 6870-72; ГОСТ 2789-73 |
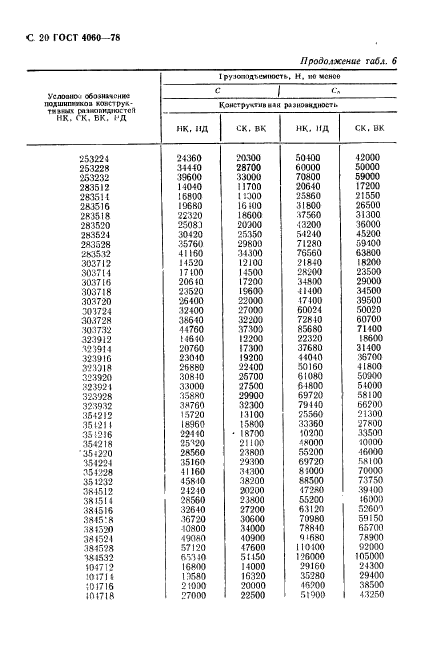
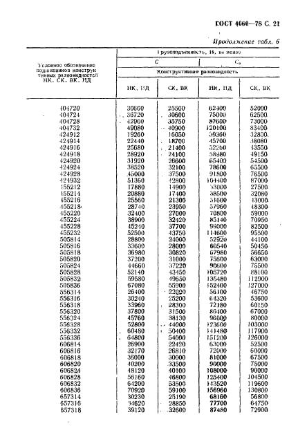
| Область применения: | Настоящий стандарт распространяется на игольчатые роликовые подшипники с одним наружным штампованным кольцом нормальной и повышенной точности |
| Список изменений: | №1 от 01.01.1987 (рег. 19.02.1986) «Срок действия продлен» №2 от 01.12.1989 (рег. 22.05.1989) «Срок действия продлен» №3 от 01.07.1989 (рег. 15.12.1988) «Срок действия продлен» |
|