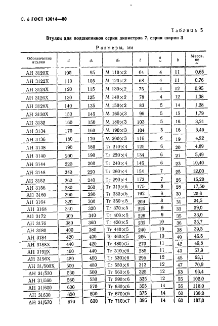
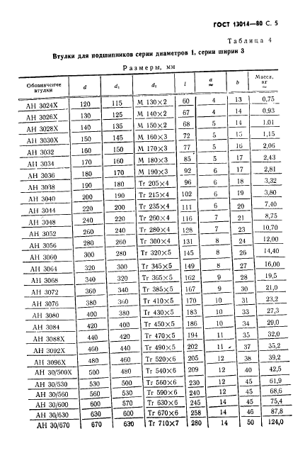
| Обозначение: |  ГОСТ 13014-80 |
| Статус: | заменён |
| Название рус.: | Втулки стяжные подшипников качения. Основные размеры |
| Название англ.: | Clamping sleeves of rolling bearings. Basic dimensions |
| Дата актуализации текста: | 06.04.2015 |
| Дата актуализации описания: | 01.12.2024 |
| Дата издания: | 01.03.1987 |
| Дата введения: | 01.01.1981 |
| Дата окончания срока действия: | 01.09.2024 |
| Код ОКП: | 462100 |
| Взамен: | ГОСТ 13014-67 |
| Заменяющий: | ГОСТ 35069-2024 |
| Содержит требования: | СТ СЭВ 777-77 |
| Область применения: | Настоящий стандарт распространяется на стяжки втулки, предназначенные для крепления подшипников качения с коническим отверстием конусностью 1:12 на цилиндрических шейках валов, и устанавливает их основных размеры |
|