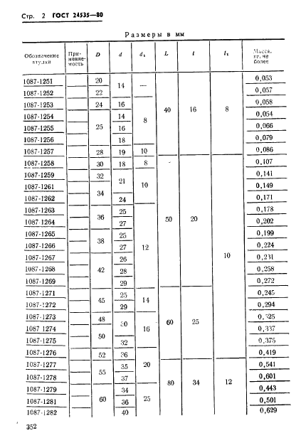
| Обозначение: |  ГОСТ 24535-80 |
| Статус: | действующий |
| Название рус.: | Втулки ступенчатые для составных пружин. Конструкция и размеры |
| Название англ.: | Stepped bushes for composite springs. Design and dimensions |
| Дата актуализации текста: | 06.04.2015 |
| Дата актуализации описания: | 01.07.2023 |
| Дата издания: | 01.12.1986 |
| Дата введения: | 01.01.1982 |
| Код ОКП: | 396330 |
| Нормативные ссылки: | ГОСТ 1050-74; ГОСТ 2590-71; ГОСТ 18824-80 |
| Область применения: | Настоящий стандарт устанавливает конструкцию и размеры ступенчатых втулок для составных пружин |
|