| Обозначение: |  ГОСТ 24516-80 |
| Статус: | действующий |
| Название рус.: | Пакеты быстросменные с горизонтальным разъемом пресс-форм для изготовления резиновых колец круглого сечения. Конструкция и размеры |
| Название англ.: | Packets quick-changing with horisontal break of press-moulds for manufacturing of rubber O-rings section. Construction and dimensions |
| Дата актуализации текста: | 06.04.2015 |
| Дата актуализации описания: | 01.07.2023 |
| Дата издания: | 01.01.1982 |
| Дата введения: | 01.01.1983 |
| Код ОКП: | 396381 |
| Нормативные ссылки: | ГОСТ 1050-74; ГОСТ 1435-74; ГОСТ 9833-73; ГОСТ 14901-79; ГОСТ 24511-80; ГОСТ 24513-80; ГОСТ 24643-81; ГОСТ 25670-83 |
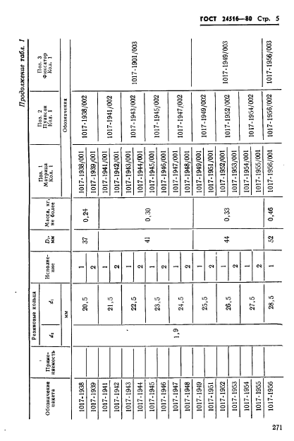
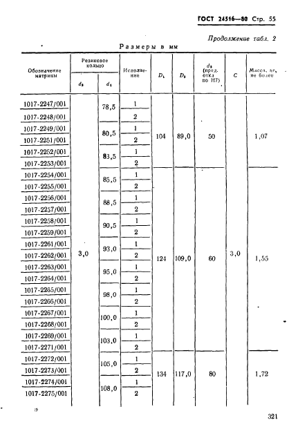
| Область применения: | Настоящий стандарт распространяется на быстросменные пакеты с горизонтальным разъемом ( угол разъема 180 град.) компрессионных универсальных пресс-форм для изготовления из резиновых смесей с процентом усадки до 4,3 резиновых уплотнительных колец круглого сечения с внутренними диаметрами от 10,0 до 116,0 мм и диаметрами сечения от 1,9 до 7,5 мм |
| Список изменений: | №1 от 01.01.1989 (рег. 23.06.1988) «Срок действия продлен» |
|