| Обозначение: |  ГОСТ 15861-81 |
| Статус: | действующий |
| Название рус.: | Плиты-заготовки прямоугольные пакетов штампов листовой штамповки для разделительных операций. Конструкция и размеры |
| Название англ.: | Plate blanks rectangular of die sets for sheet stamping dies for dividing operations. Construction and dimensions |
| Дата актуализации текста: | 06.04.2015 |
| Дата актуализации описания: | 01.07.2023 |
| Дата издания: | 24.08.1981 |
| Дата введения: | 01.01.1982 |
| Код ОКП: | 396330 |
| Взамен: | ГОСТ 15861-70 |
| Нормативные ссылки: | ГОСТ 3128-70; ГОСТ 11738-84; ГОСТ 13118-83; ГОСТ 15863-81; ГОСТ 15864-81; ГОСТ 18786-80; ГОСТ 18787-80; ГОСТ 24643-81 |
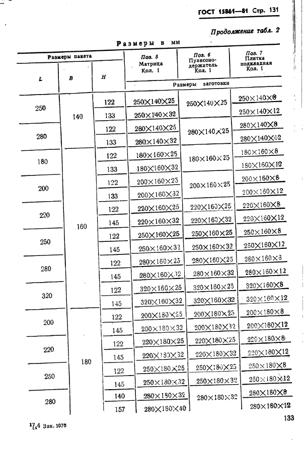
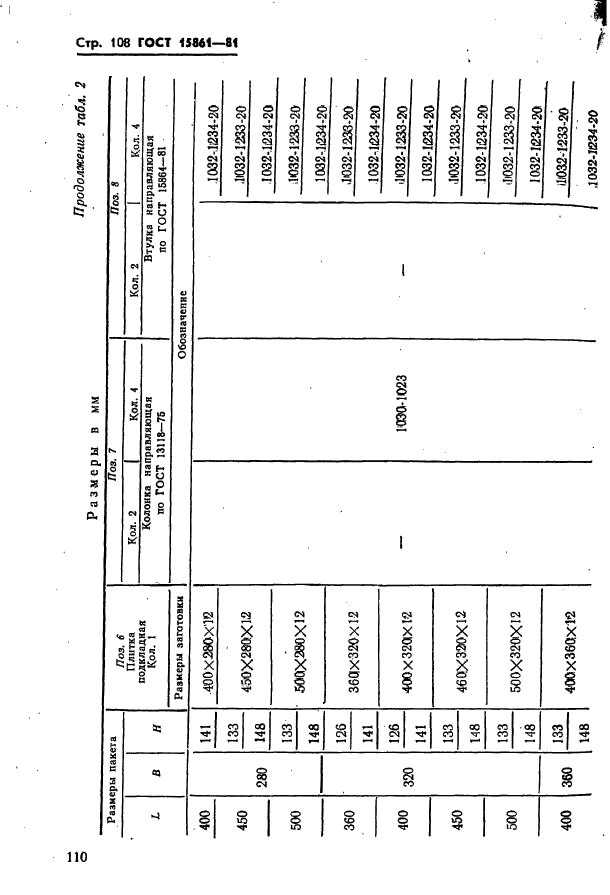
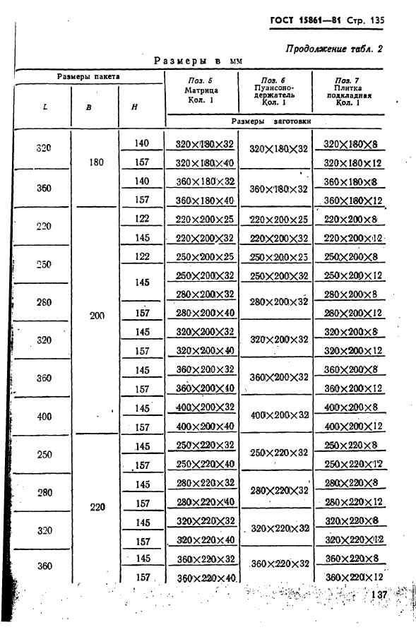
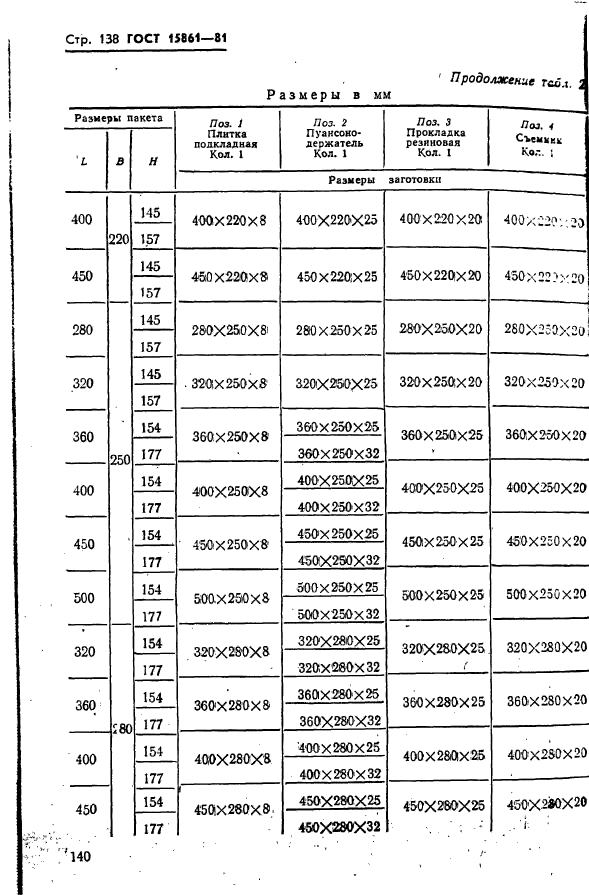
| Область применения: | Настоящий стандарт устанавливает конструкцию и размеры прямоугольных плит-заготовок пакетов штампов листовой штамповки для разделительных операций |
| Список изменений: | №1 от 01.08.1983 (рег. 28.03.1983) «Срок действия продлен» №2 от 01.03.1987 (рег. 08.09.1986) «Срок действия продлен» |
|