| Обозначение: |  ГОСТ 24905-81 |
| Статус: | действующий |
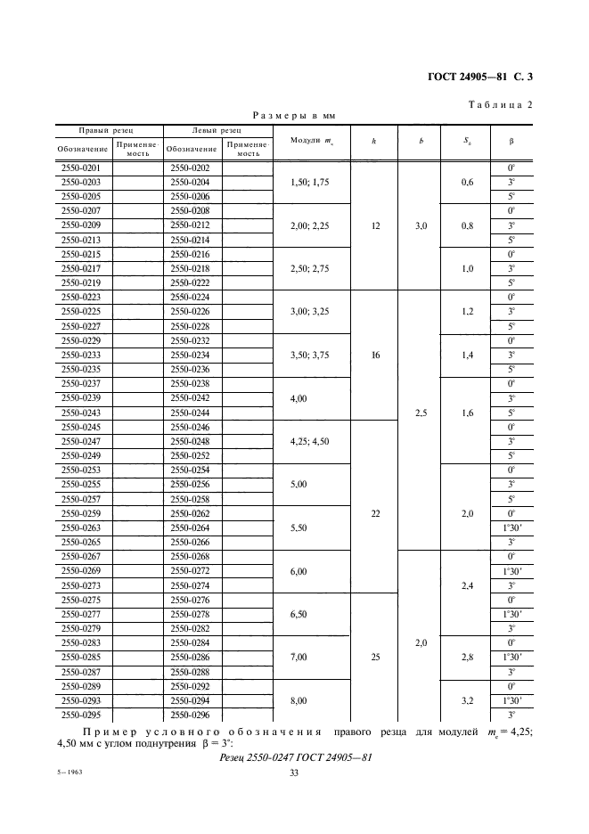
| Название рус.: | Резцы к зуборезным головкам для прямозубых конических колес. Конструкция и размеры |
| Название англ.: | Tools for straight bevel cutters. Design and dimensions |
| Дата актуализации текста: | 06.04.2015 |
| Дата актуализации описания: | 01.07.2023 |
| Дата издания: | 01.12.2003 |
| Дата введения: | 01.01.1983 |
| Код ОКП: | 392466 |
| Нормативные ссылки: | ГОСТ 24904-81; ГОСТ 24906-81 |
| Область применения: | Настоящий стандарт распространяется на резцы к зуборезным головкам диаметром 150, 278 и 450 мм для прямозубых конических колес, изготовляемые для нужд народного хозяйства и на экспорт |
| Список изменений: | №1 от 01.09.1987 (рег. 12.03.1987) «Срок действия продлен» |
|