| Обозначение: |  ГОСТ 25971-83 |
| Статус: | действующий |
| Название рус.: | Протяжки для восьмишлицевых отверстий с прямобочным профилем с центрированием по внутреннему диаметру комбинированные переменного резания. Конструкция и размеры |
| Название англ.: | Combined alternative broaches for 8 slitting holes with straightside profile and centring at internal diameter. Design and dimensions |
| Дата актуализации текста: | 06.04.2015 |
| Дата актуализации описания: | 01.01.2021 |
| Дата издания: | 01.01.1994 |
| Дата введения: | 01.01.1986 |
| Код ОКП: | 392330 |
| Взамен: | МН 4264-63 |
| Нормативные ссылки: | ГОСТ 1139-80 |
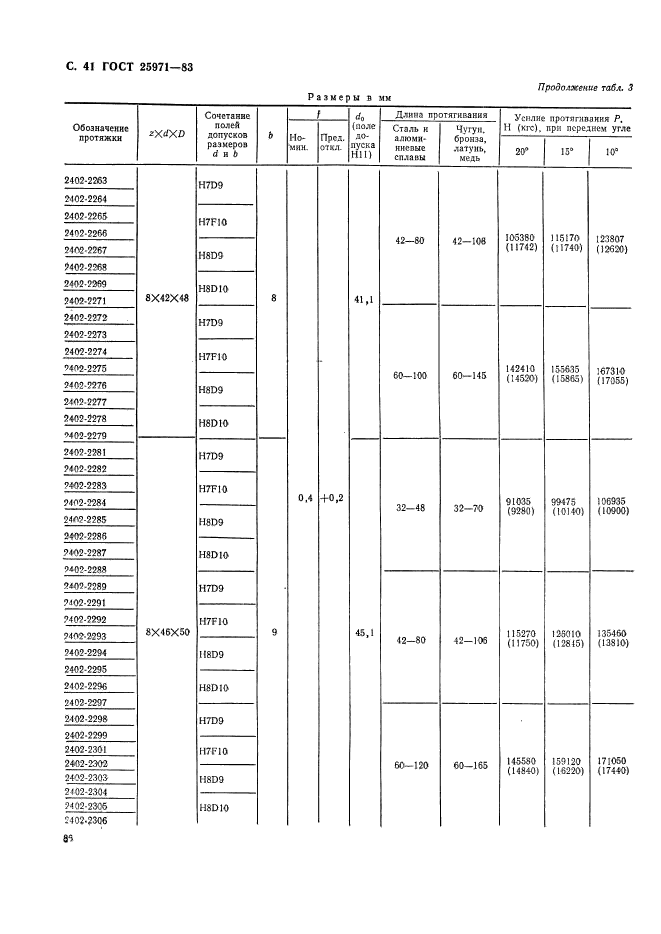
| Область применения: | Настоящий стандарт распространяется на комбинированные однопроходные протяжки переменного резания универсального назначения, предназначенные для обработки восьмишлицевых втулок с прямобочным профилем с центрированием по внутреннему диаметру |
| Список изменений: | №1 от 01.09.1986 (рег. 27.03.1986) «Срок действия продлен» №2 от 01.02.1988 (рег. 22.09.1987) «Срок действия продлен» |
|