| Обозначение: |  ГОСТ 25645.301-83 |
| Статус: | действующий |
| Название рус.: | Расчеты баллистические искусственных спутников Земли. Методика расчета затрат топлива на маневрирование |
| Название англ.: | Artifcial Earth satellite ballistic computations. Computation methods of manoeuvring propellant expenditure |
| Дата актуализации текста: | 06.04.2015 |
| Дата актуализации описания: | 01.07.2023 |
| Дата издания: | 19.09.1984 |
| Дата введения: | 01.01.1985 |
| Нормативные ссылки: | ГОСТ 25645.101-83; ГОСТ 25645.102-83; ГОСТ 25645.115-84 |
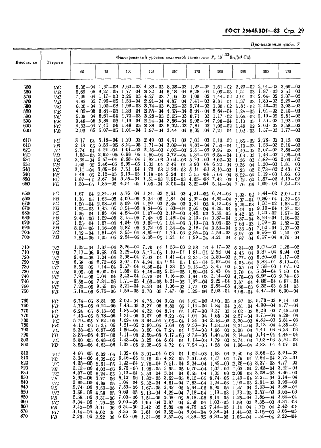
| Область применения: | Настоящий стандарт устанавливает методику расчета затрат топлива на маневрирование искусственных спутников Земли (ИСЗ) с целью поддержания заданных параметров их орбиты и предназначен для проектных баллистических расчетов ИСЗ, совершающих полет в диапазоне высот от 120 до 1500 км с временем активного существования более одних суток |
|