| Обозначение: |  ГОСТ 26381-84 |
| Статус: | действующий |
| Название рус.: | Поддоны плоские одноразового использования. Общие технические условия |
| Название англ.: | Disposabl flat pallets. General specifications |
| Дата актуализации текста: | 06.04.2015 |
| Дата актуализации описания: | 01.07.2023 |
| Дата издания: | 01.11.2004 |
| Дата введения: | 01.01.1986 |
| Код ОКП: | 536922 |
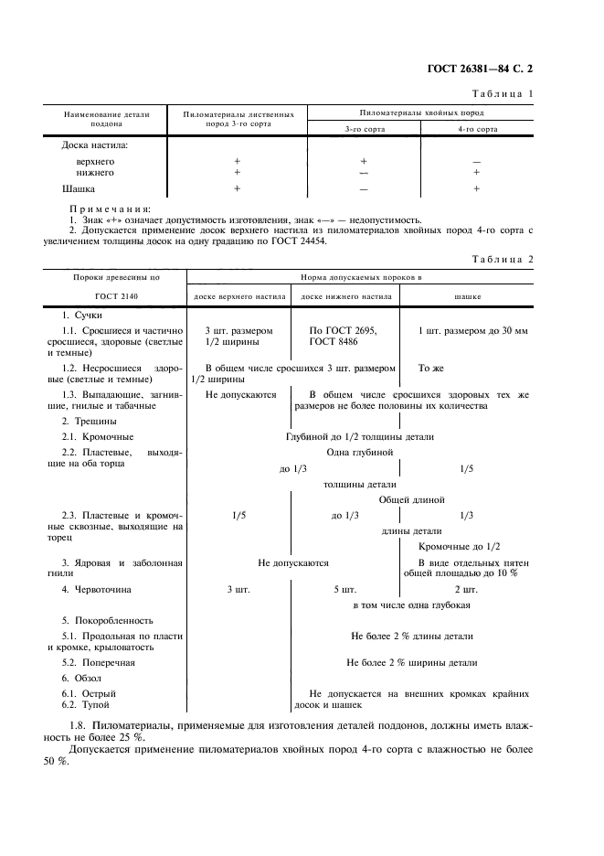
| Нормативные ссылки: | ГОСТ 2140-81; ГОСТ 2695-83; ГОСТ 3282-74; ГОСТ 3560-73; ГОСТ 4028-63; ГОСТ 4034-63; ГОСТ 7016-82; ГОСТ 8486-86; ГОСТ 14192-77; ГОСТ 15612-85; ГОСТ 16483.7-71; ГОСТ 17305-91; ГОСТ 24454-80 |
| Область применения: | Настоящий стандарт распространяется на поддоны плоские деревянные одноразового использования размерами в плане 800х1200 мм и 1000х1200 мм, предназначенные для формирования транспортных пакетов при доставке последних в районы или страны, из которых возврат поддонов нецелессобразен. Поддоны применяются при выполнении механизированных процессов перемещения, складирования и перевозки автомобильным, железнодорожным и водным транспортом. Стандарт не распространяется на поддоны специального назначения и применяемые при доставке пакетов в страны с тропическим климатом |
| Список изменений: | №1 от 01.01.1991 (рег. 21.03.1990) «Поправка» |
|