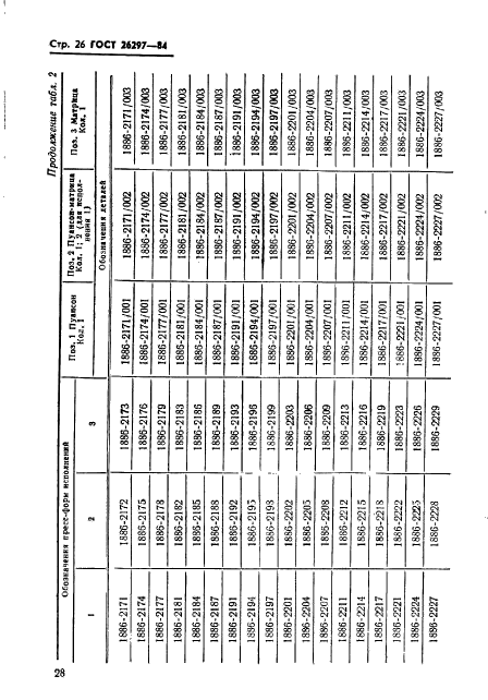
| Обозначение: |  ГОСТ 26297-84 |
| Статус: | действующий |
| Название рус.: | Пресс-формы съемные этажные с горизонтальным разъемом для изготовления резиновых колец круглого сечения. Конструкция и размеры |
| Название англ.: | Portable ream press moulds with horizontal break for manufacturing of rubber O-rings section. Design and dimensions |
| Дата актуализации текста: | 06.04.2015 |
| Дата актуализации описания: | 01.07.2023 |
| Дата издания: | 21.01.1985 |
| Дата введения: | 01.01.1986 |
| Код ОКП: | 396381 |
| Нормативные ссылки: | ГОСТ 9833-73; ГОСТ 24513-80 |
| Область применения: | Настоящий стандарт распространяется на съемные этажные пресс-формы с горизонтальным разъемом для изготовления резиновых колец круглого сечения внутренним диаметром от 61 до 240 мм из резиновых смесей с усадкой |
|