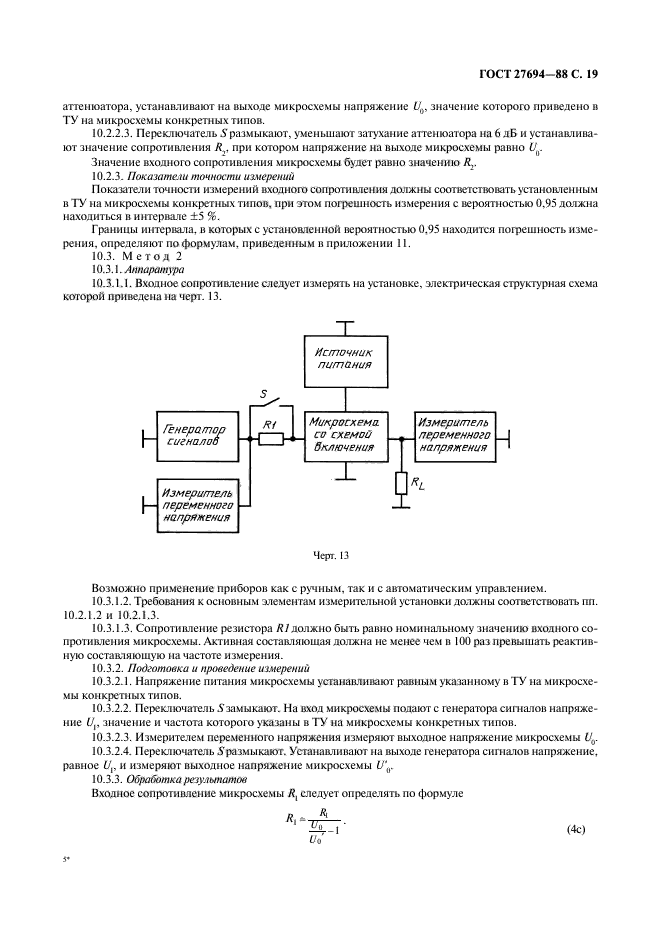
| Обозначение: |  ГОСТ 27694-88 |
| Статус: | действующий |
| Название рус.: | Микросхемы интегральные. Усилители низкой, промежуточной и высокой частоты. Методы измерения электрических параметров |
| Название англ.: | Integrated circuits. Low-, intermediate- and high-frequency amplifiers. Methods for measuring electric parameters |
| Дата актуализации текста: | 06.04.2015 |
| Дата актуализации описания: | 01.07.2023 |
| Дата издания: | 01.05.1999 |
| Дата введения: | 01.01.1990 |
| Код ОКП: | 623100 |
| Нормативные ссылки: | ГОСТ 12.1.019-79; ГОСТ 12.1.030-81; ГОСТ 12.2.003-91; ГОСТ 12.2.007.2-75; ГОСТ 12.3.019-80; ГОСТ 20.57.406-81; ГОСТ 19480-89; ГОСТ 22261-94 |
| Область применения: | Настоящий стандарт распространяется на усилители низкой, промежуточной и высокой частоты и устанавливает требования для методов измерения электрических параметров |
| Список изменений: | №1 от 01.01.1990 (рег. 25.06.1989) «Срок действия продлен» №2 от 01.04.1991 (рег. 04.10.1990) «Срок действия продлен» №3 от 01.01.1996 (рег. 24.04.1996) «Срок действия продлен» |
|