| Обозначение: |  ГОСТ 12308-89 |
| Статус: | заменён |
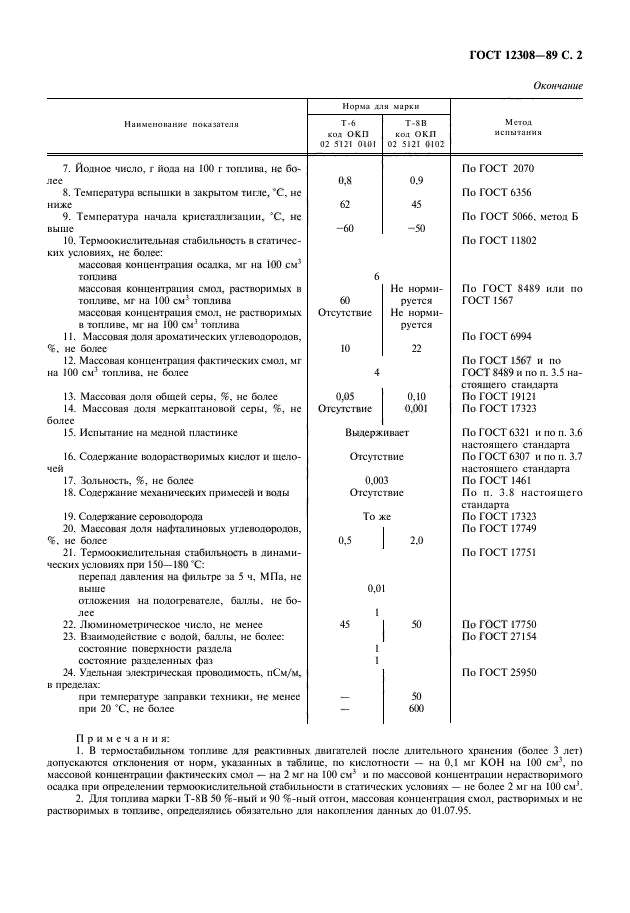
| Название рус.: | Топлива термостабильные Т-6 и Т-8В для реактивных двигателей. Технические условия |
| Название англ.: | Thermostable fuels T-6 and T-8B for jet engines. Specifications |
| Дата актуализации текста: | 06.04.2015 |
| Дата актуализации описания: | 01.07.2023 |
| Дата издания: | 29.10.2009 |
| Дата введения: | 01.07.1990 |
| Дата окончания срока действия: | 01.01.2015 |
| Код ОКП: | 025124 |
| Взамен: | ГОСТ 12308-80 |
| Заменяющий: | ГОСТ 12308-2013 |
| Нормативные ссылки: | ГОСТ 12.1.005-88; ГОСТ 12.1.007-76; ГОСТ 12.1.014-84; ГОСТ 33-2000; ГОСТ 1461-75; ГОСТ 1510-84; ГОСТ 1567-97; ГОСТ 2070-82; ГОСТ 2177-99; ГОСТ 2517-85; ГОСТ 3900-85; ГОСТ 4338-91; ГОСТ 5066-91; ГОСТ 5985-79; ГОСТ 6307-75; ГОСТ 6321-92; ГОСТ 6356-75; ГОСТ 6994-74; ГОСТ 8489-85; ГОСТ 10577-78; ГОСТ 11065-90; ГОСТ 11802-88; ГОСТ 17323-71; ГОСТ 17749-72; ГОСТ 17750-72; ГОСТ 17751-79; ГОСТ 18300-87; ГОСТ 19121-73; ГОСТ 21261-91; ГОСТ 25950-83; ГОСТ 27154-86; ГОСТ 16350-80; ГОСТ Р ЕН ИСО 3405-2007; ГОСТ Р ЕН 12916-2008; ГОСТ Р 51859-2002; ГОСТ Р 51947-2002; ГОСТ Р 52030-2003; ГОСТ Р 52063-2003; ГОСТ Р 52954-2008 |
| Область применения: | Настоящий стандарт распространяется на термостабильные топлива для реактивных двигателей, получаемые из нефти и продуктов ее переработки |
| Список изменений: | №1 от 01.07.1992 (рег. 27.12.1991) «Срок действия продлен» №2 от 01.03.2010 (рег. 15.12.2009) «Текстовое изменение; Изменены ссылочные НД» №3 от 01.03.2012 (рег. 07.11.2011) «Текстовое изменение; Изменен код ОКП» |
| Приложение №1: | Изменение №2 к ГОСТ 12308-89 |
| Приложение №2: | Изменение №3 к ГОСТ 12308-89 |
|