| Обозначение: |  ГОСТ 28147-89 |
| Статус: | отменён |
| Название рус.: | Системы обработки информации. Защита криптографическая. Алгоритм криптографического преобразования |
| Дата актуализации текста: | 06.04.2015 |
| Дата актуализации описания: | 01.12.2024 |
| Дата издания: | 01.04.1996 |
| Дата введения: | 01.07.1990 |
| Дата окончания срока действия: | 01.06.2019 |
| Код ОКП: | 501000 |
| Заменяющий в части: | ГОСТ 34.12-2018 в части раздела 1; ГОСТ 34.13-2018 в части раздела 2, 3, 4, 5 |
| На территории РФ пользоваться: | ГОСТ 34.12-2018; ГОСТ 34.13-2018 |
| Нормативные ссылки: | ГОСТ 19781-83; ГОСТ 15971-84; ГОСТ 17657-79 |
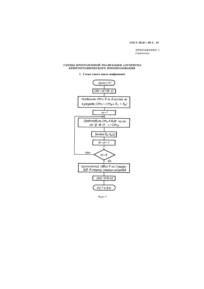
| Область применения: | Настоящий стандарт устанавливает единый алгоритм криптографического преобразования для систем обработки информации в сетях электронных вычислительных машин (ЭВМ), отдельных вычислительных комплексах и ЭВМ, который определяет правила шифрования данных и выработки имитовставки |
| Список изменений: | №0 от 28.04.1994 (рег. 28.04.1994) «Срок действия продлен» |
|