| Обозначение: |  ГОСТ 28406-89 |
| Статус: | действующий |
| Название рус.: | Персональные электронные вычислительные машины. Интерфейсы видеомониторов. Общие требования |
| Название англ.: | Personal computers. Videomonitors interfaces. General requirements |
| Дата актуализации текста: | 06.04.2015 |
| Дата актуализации описания: | 01.07.2023 |
| Дата издания: | 01.08.2005 |
| Дата введения: | 01.01.1991 |
| Нормативные ссылки: | ГОСТ 15971-84; ГОСТ 21879-88; ГОСТ 25861-83; ГОСТ 27201-87; ГОСТ 27954-88;НЩО.364.002 ТУ;ВРО.364.008 ТУ |
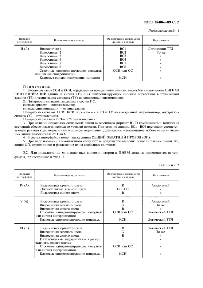
| Область применения: | Настоящий стандарт распространяется на интерфейсы, предназначенные для сопряжения видеотерминалов, разрабатываемых по ГОСТ 27954, с персональными электронными вычислительными машинами (ПЭВМ), разрабатываемыми по ГОСТ 27201. Стандарт не распространяется на интерфейсы видеотерминалов, технические задания на разработку которых утверждены до 01.01.90, а также интерфейсы, предназначенные для сопряжения видеомониторов с ПЭВМ типа ПМ1 по ГОСТ 27201. Стандарт устанавливает требования к физической реализации интерфейсов и определяет состав и наличие линий интерфейсов |
|