| Обозначение: |  ГОСТ 29070-91 |
| Статус: | действующий |
| Название рус.: | Постоянные резисторы для электронной аппаратуры. Часть 7. Форма технических условий на наборы постоянных резисторов, в которых не все резисторы отдельно измеряемы. Уровень качества Е |
| Название англ.: | Fixed resistors for use in electronic equipment. Part 7. Blank detail specification: fixed resistor networks in which not all resistors are individually measurable. Assessment level E |
| Дата актуализации текста: | 06.04.2015 |
| Дата актуализации описания: | 01.07.2023 |
| Дата издания: | 01.09.2004 |
| Дата введения: | 01.07.1992 |
| Код ОКП: | 600000 |
| Содержит требования: | IEC 60115-7-1(1984) |
| Нормативные ссылки: | IEC 60115-1(1982);IEC 60115-7(1984);IEC 60410(1973) |
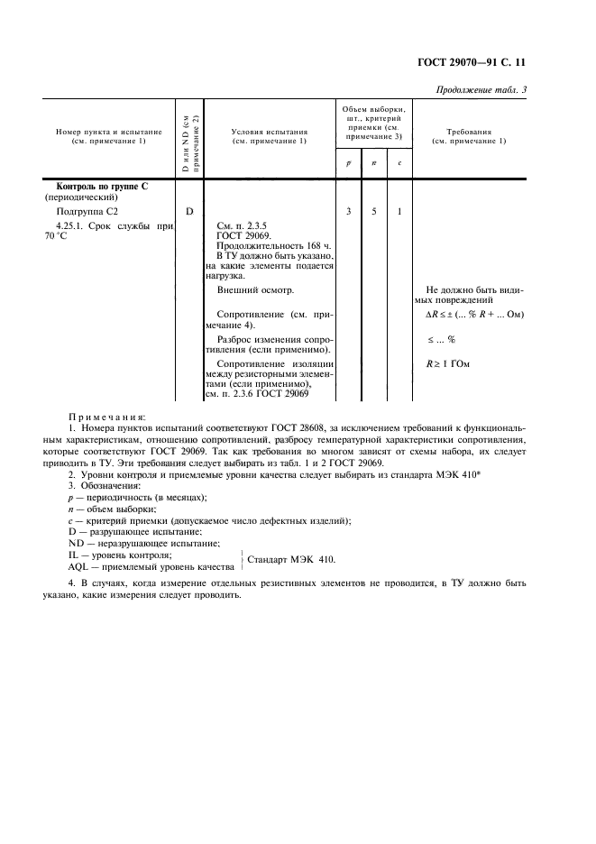
| Область применения: | Настоящий стандарт применяется для разработки технических условий на резисторы, в том числе подлежащие сертификации. Стандарт подготовлен методом прямого применения международного стандарта МЭК 115-7-1 |
|