| Обозначение: |  ГОСТ 29029-91 |
| Статус: | действующий |
| Название рус.: | Постоянные резисторы для электронной аппаратуры. Часть 4. Форма технических условий на постоянные мощные резисторы. Уровень качества Е |
| Название англ.: | Fixed resistors for use in electronic equipment. Part 4. Blank detail specification. Fixed power resistors. Assessment level E |
| Дата актуализации текста: | 06.04.2015 |
| Дата актуализации описания: | 01.07.2023 |
| Дата издания: | 01.08.2004 |
| Дата введения: | 01.07.1992 |
| Код ОКП: | 600000 |
| Содержит требования: | IEC 60115-4-1(1983) |
| Нормативные ссылки: | IEC 60063(1963);IEC 60115-1(1982);IEC 60115-4(1982);IEC 60410(1973); ГОСТ 28884-90; ГОСТ 28608-90; ГОСТ 29028-90 |
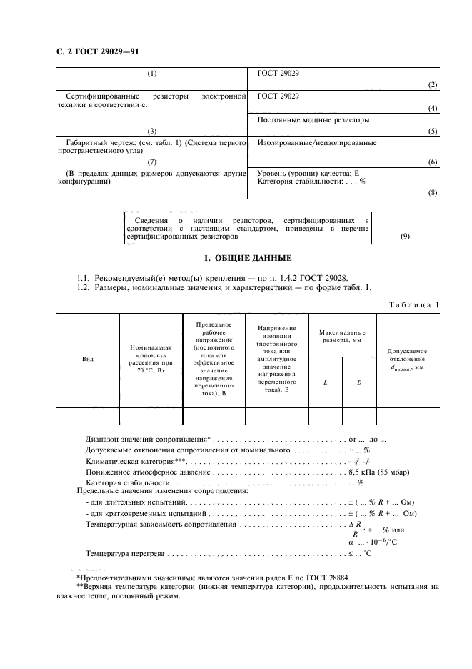
| Область применения: | Настоящий стандарт устанавливает форму технических условий на постоянные мощные резисторы, в том числе подлежащие сертификации. Стандарт подготовлен методом прямого применения международного стандарта МЭК 115-4-1 |
|