Скачать ГОСТ Р 41.96-2005 Единообразные предписания, касающиеся двигателей с воспламенением от сжатия, предназначенных для установки на сельскохозяйственных и лесных тракторах и внедорожной технике, в отношении выброса вредных веществ этими двигателямиДата актуализации: 01.06.2025 ГОСТ Р 41.96-2005
Единообразные предписания, касающиеся двигателей с воспламенением от сжатия, предназначенных для установки на сельскохозяйственных и лесных тракторах и внедорожной технике, в отношении выброса вредных веществ этими двигателями
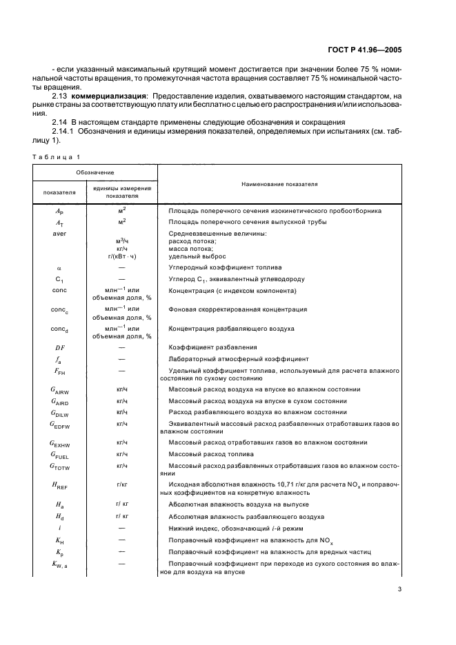
| Обозначение: |  ГОСТ Р 41.96-2005 |
| Статус: | заменён |
| Название рус.: | Единообразные предписания, касающиеся двигателей с воспламенением от сжатия, предназначенных для установки на сельскохозяйственных и лесных тракторах и внедорожной технике, в отношении выброса вредных веществ этими двигателями | | Название англ.: | Uniform provisions concerning the approval of comprеssion ignition engines to be installed in agricultural and forestry tractors and in non-road mobile machinery regard to the emission of pollutants by engines | | Дата актуализации текста: | 06.04.2015 | | Дата актуализации описания: | 01.07.2023 | | Дата издания: | 24.01.2006 | | Дата введения: | 01.01.2008 | | Дата окончания срока действия: | 01.09.2018 | | Код ОКП: | 475000 | | Взамен: | ГОСТ Р 41.96-99 | | Заменяющий: | ГОСТ Р 41.96-2011 | | Содержит требования: | Правила EEC UN № 96 | | Нормативные ссылки: | ГОСТ 18509-88; ГОСТ Р 41.24-2003; ГОСТ Р 41.85-99; ГОСТ Р ИСО 5725-1-2002; ГОСТ Р 52051-2003 | | Область применения: | Настоящий стандарт применяют в отношении выбросов газообразных вредных веществ и вредных частиц двигателей с воспламенением от сжатия, используемых: на транспортных средствах категории Т с установленной полезной мощностью более 18 кВт, но не более 560 кВт; в технике, предназначенной и пригодной для передвижения или перемещения по грунту, будь то по дороге или бездорожью, с установленной полезной мощностью более 18 кВт, но не более 560 кВт, эксплуатируемой в разных скоростных режимах | | Список изменений: | №0 от 01.03.2014 (рег. 25.02.2014) «Восстановлен на территории РФ» №0 от 31.08.2018 (рег. 18.07.2018) «Текстовое изменение; Изменено заглавие» | |
                                                              
|