| Обозначение: |  ГОСТ 30732-2006 |
| Статус: | заменён |
| Название рус.: | Трубы и фасонные изделия стальные с тепловой изоляцией из пенополиуретана с защитной оболочкой. Технические условия |
| Название англ.: | Steel pipes and shaped products with foamed polyurethane thermal insulation in protective sheath. Specifications |
| Дата актуализации текста: | 06.04.2015 |
| Дата актуализации описания: | 01.07.2023 |
| Дата регистрации: | 23.11.2006 |
| Дата издания: | 01.05.2008 |
| Дата введения: | 01.01.2008 |
| Дата окончания срока действия: | 01.01.2021 |
| Код ОКП: | 493700 |
| Взамен: | ГОСТ 30732-2001 |
| Заменяющий: | ГОСТ 30732-2020 |
| Нормативные ссылки: | ГОСТ 9.402-2004; ГОСТ 12.1.005-88; ГОСТ 12.1.007-76; ГОСТ 12.3.008-75; ГОСТ 12.3.016-87; ГОСТ 12.3.038-85; ГОСТ 12.4.021-75; ГОСТ 17.2.3.02-78; ГОСТ 166-89; ГОСТ 409-77; ГОСТ 427-75; ГОСТ 7076-99; ГОСТ 7502-98; ГОСТ 8433-81; ГОСТ 9544-93; ГОСТ 11262-80; ГОСТ 11645-73; ГОСТ 14918-78; ГОСТ 16338-85; ГОСТ 17177-94; ГОСТ 17375-2001; ГОСТ 17376-2001; ГОСТ 17378-2001; ГОСТ 17380-2001; ГОСТ 18321-73; ГОСТ 18599-2001; ГОСТ 23206-78; ГОСТ 24157-80; ГОСТ 26996-86; ГОСТ 27078-86; ГОСТ 30244-94; ГОСТ 30256-94 |
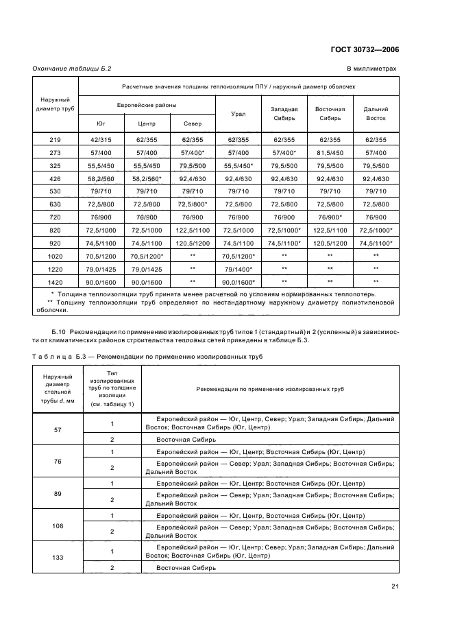
| Область применения: | Настоящий стандарт распространяется на стальные и фасонные изделия с тепловой изоляцией из пенополиуретана в полиэтиленовой оболочке или стальным защитным покрытием, предназначенные для подземной прокладки тепловых сетей (в полиэтиленовой оболочке - бесканальным способом, со стальной защитной оболочкой - в проходных каналах и туннелях) и надземной прокладки тепловых сетей (для труб со стальным защитным покрытием) со следующими расчетными параметрами теплоносителя: рабочим давлением не более 1,6 МПа и температурой не более 140 град. С (допускается повышение температуры не более 150 град. С в пределах графика качественного регулирования отпуска тепла 150 град. С - 70 град. С). По согласованию с проектной организацией допускается применение изолированных труб в полиэтиленовой оболочке в непроходных каналах. Допускается также примение изолированных труб для трубопроводов, транспортирующих другие вещества (нефть, газ и пр.) |
|