| Обозначение: |  ГОСТ 13774-86 |
| Статус: | действующий |
| Название рус.: | Пружины винтовые цилиндрические сжатия III класса, разряда 1 из стали круглого сечения. Основные параметры витков |
| Название англ.: | Cylindrical helical compression springs of III class and of 1 category made of round steel. Main parameters of coils |
| Дата актуализации текста: | 06.04.2015 |
| Дата актуализации описания: | 01.07.2023 |
| Дата издания: | 01.02.2007 |
| Дата введения: | 01.07.1988 |
| Взамен: | ГОСТ 13774-68 |
| Содержит требования: | СТ СЭВ 5616-86 |
| Нормативные ссылки: | ГОСТ 9389-75; ГОСТ 13764-86; ГОСТ 13765-86 |
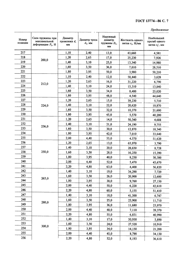
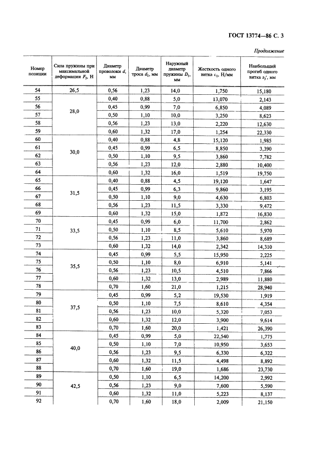
| Область применения: | Настоящий стандарт распространяется на пружины сжатия III класса, разряда 1 с силами при максимальной деформации пружины от 12,5 до 1000 Н |
| Список изменений: | №1 от 01.04.1989 (рег. 04.11.1988) «Срок действия продлен» |
|