| Обозначение: |  ГОСТ Р 52350.18-2006 |
| Статус: | отменён |
| Название рус.: | Электрооборудование для взрывоопасных газовых сред. Часть 18. Конструкция, испытания и маркировка электрооборудования с взрывозащитой вида "герметизация компаундом "m" |
| Название англ.: | Electrical apparatus for explosive gas atmospheres. Part 18. Construction, tests and marking of type of protection encapsulation "m" electrical apparatus |
| Дата актуализации текста: | 06.04.2015 |
| Дата актуализации описания: | 01.07.2023 |
| Дата издания: | 13.12.2006 |
| Дата введения: | 01.07.2007 |
| Дата окончания срока действия: | 01.01.2018 |
| Аутентичен стандартам: | IEC 60079-18(2004) |
| На территории РФ пользоваться: | ГОСТ 31610.18-2016 |
| Нормативные ссылки: | ISO 62;IEC 60079-0;IEC 60079-7(2001);IEC 60079-11(1999);IEC 60079-26;IEC 60086-1;IEC 60127;IEC 60243-1;IEC 60622;IEC 60664-1(1992);IEC 60664-1(1992)/Amd.1(2000);IEC 60664-1(1992)/Amd.2(2002);IEC 60691;IEC 61150;IEC 61558-2-6;IEC 61951-1;IEC 61951-2;IEC 61960-1;IEC 62326-4-1;ANSI/UL 248-1 |
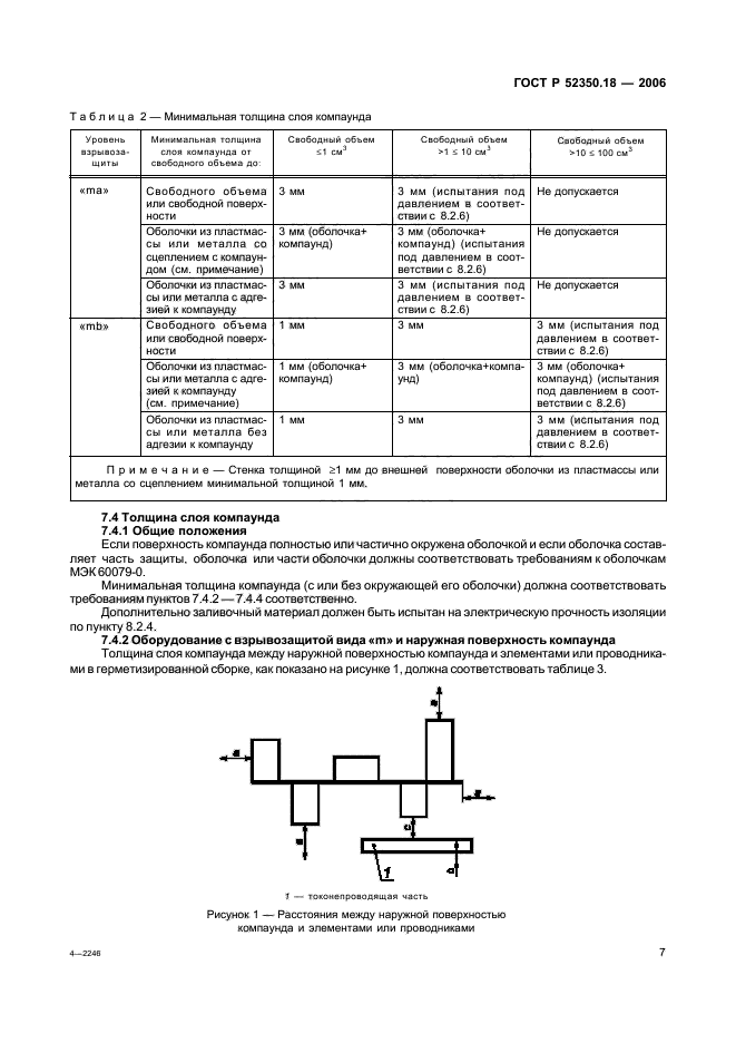
| Область применения: | Настоящий стандарт содержит специальные требования к конструированию, испытанию и маркировке электрооборудования, частей электрооборудования и Ex-компонентов с взрывозащитой вида "герметизация компаундом "m". Настоящий стандарт применяется только для герметизированного электрооборудования, герметизированных частей электрооборудования и герметизированных Ex-компонентов с номинальным напряжением не более 10 кВ с относительным отклонением плюс 10%. Требования настоящего стандарта дополняют общие требования стандарта МЭК 60079-0 |
| Список изменений: | №0 от 01.03.2007 (рег. 01.03.2007) «Дата введения перенесена» №0 от 01.01.2018 (рег. 04.09.2017) «Текстовое изменение; Изменено заглавие» |
| Приложение №1: | Поправка к ГОСТ Р 52350.18-2006 |
|