| Обозначение: |  ГОСТ Р 52565-2006 |
| Статус: | действующий |
| Название рус.: | Выключатели переменного тока на напряжения от 3 до 750 кВ. Общие технические условия |
| Название англ.: | Alternating-current circuit-breakers for voltages from 3 to 750 kV. General specifications |
| Дата актуализации текста: | 01.06.2022 |
| Дата актуализации описания: | 01.07.2023 |
| Дата издания: | 07.02.2007 |
| Дата введения: | 01.04.2007 |
| Код ОКП: | 341410 |
| Нормативные ссылки: | IEC 62271-100(2001);IEC 60694(1996); ГОСТ 12.2.007.3-75; ГОСТ 982-80; ГОСТ 2991-85; ГОСТ 8024-90; ГОСТ 9920-89; ГОСТ 10121-76; ГОСТ 10198-91; ГОСТ 10434-82; ГОСТ 12969-67; ГОСТ 12971-67; ГОСТ 14192-96; ГОСТ 15150-69; ГОСТ 15543.1-89; ГОСТ 16962.1-89; ГОСТ 16962.2-90; ГОСТ 17412-72; ГОСТ 17516.1-90; ГОСТ 17703-72; ГОСТ 18311-80; ГОСТ 21130-75; ГОСТ 21242-75; ГОСТ 24753-81; ГОСТ Р 55716; ГОСТ Р ИСО 9001-2015; ГОСТ Р 2.601-2019;ГОСТ IEC 60034-1; ГОСТ Р 55194; ГОСТ Р 55195; ГОСТ 7746-2015; ГОСТ 14254-2015 |
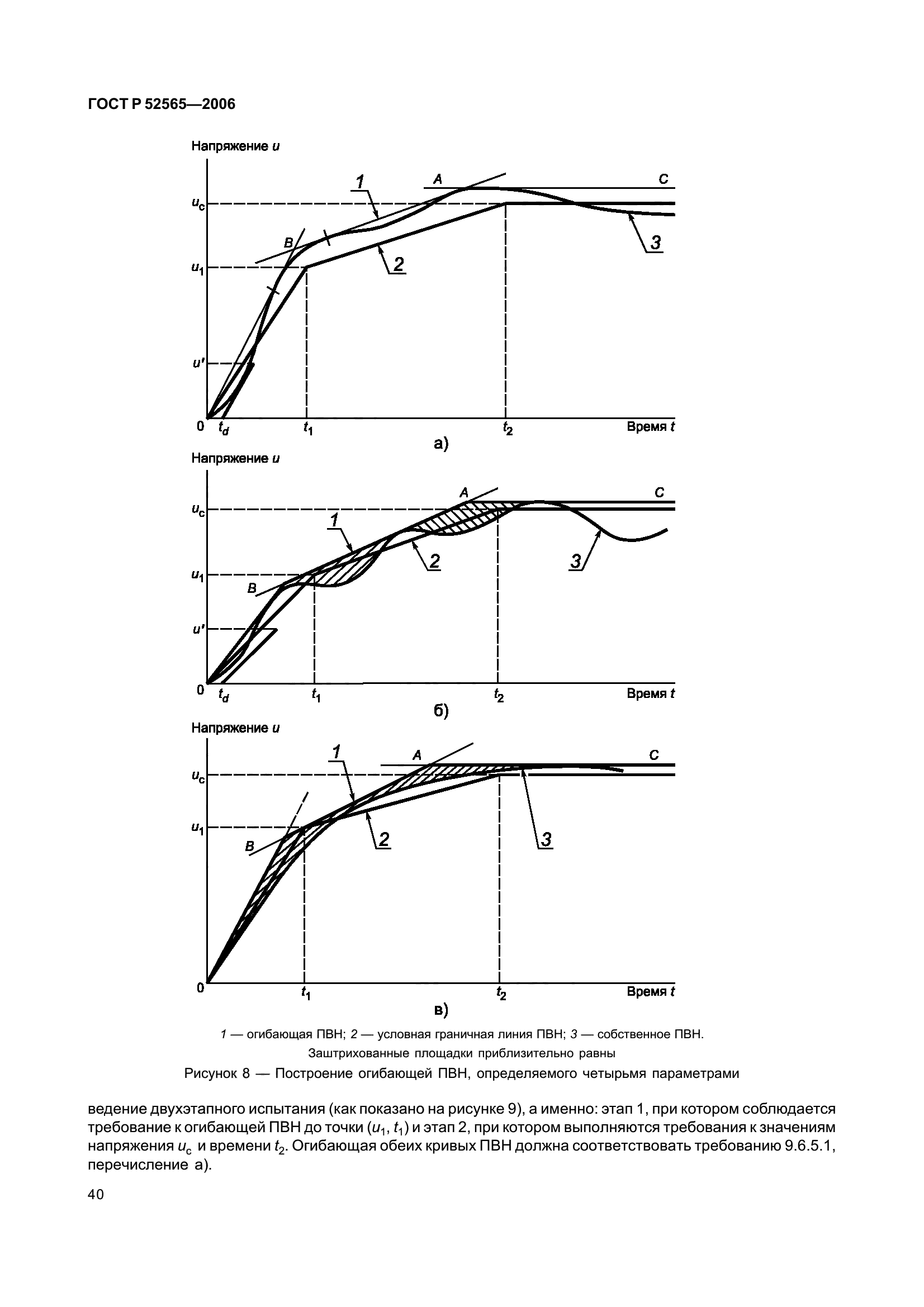
| Область применения: | Настоящий стандарт распространяется на выключатели (включая их приводы), предназначенные для коммутации электрических цепей при нормальных и аварийных режимах в сетях трехфазного переменного тока частотой 50 Гц номинальным напряжением от 3 до 750 кВ включительно. Стандарт не распространяется на выключатели специальных исполнений, предназначенные для: - работы в опасных в отношении пожара или взрыва помещениях (например в газовых шахтах); - частых коммутационных операций (например для электротермических установок); - передвижных электроустановок (например для электровозов, экскаваторов); - судовых энергетических установок. Стандарт не устанавливает специальных требований к выключателям, предназначенным для работы в условиях повышенной сейсмичности |
| Приложение №1: | Изменение №1 к ГОСТ Р 52565-2006 |
|