Скачать ГОСТ Р 51760-2001 Тара потребительская полимерная. Общие технические условияДата актуализации: 01.06.2025 ГОСТ Р 51760-2001
Тара потребительская полимерная. Общие технические условия
| Обозначение: |  ГОСТ Р 51760-2001 |
| Статус: | заменён |
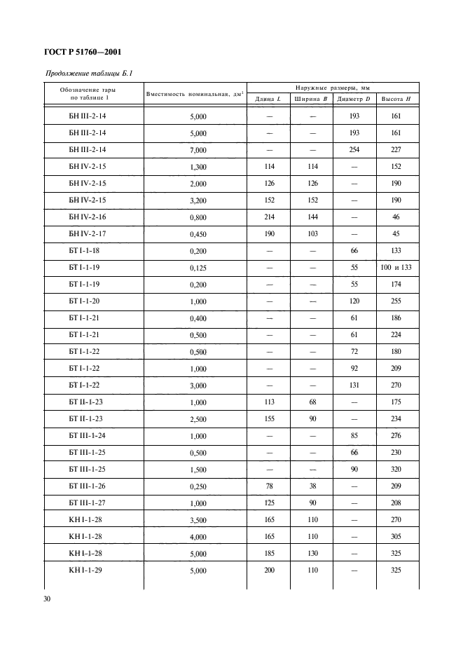
| Название рус.: | Тара потребительская полимерная. Общие технические условия | | Название англ.: | Polymeric consumers' packagings. General specifications | | Дата актуализации текста: | 06.04.2015 | | Дата актуализации описания: | 01.07.2023 | | Дата издания: | 01.02.2007 | | Дата введения: | 01.01.2002 | | Дата окончания срока действия: | 01.07.2012 | | Код ОКП: | 229700 | | Заменяющий: | ГОСТ Р 51760-2011 | | Нормативные ссылки: | ГОСТ 4-84; ГОСТ 12.1.004-91; ГОСТ 12.1.010-76; ГОСТ 12.3.030-83; ГОСТ 164-90; ГОСТ 166-89; ГОСТ 577-68; ГОСТ 868-82; ГОСТ 1571-82; ГОСТ 1770-74; ГОСТ 1928-79; ГОСТ 2226-88; ГОСТ 2603-79; ГОСТ 2768-84; ГОСТ 3134-78; ГОСТ 3282-74; ГОСТ 5208-81; ГОСТ 5789-78; ГОСТ 5955-75; ГОСТ 6016-77; ГОСТ 6507-90; ГОСТ 7502-98; ГОСТ 8273-75; ГОСТ 8313-88; ГОСТ 8448-78; ГОСТ 8981-78; ГОСТ 9410-78; ГОСТ 9536-79; ГОСТ 9572-93; ГОСТ 9805-84; ГОСТ 9880-76; ГОСТ 9949-76; ГОСТ 10003-90; ГОСТ 10131-93; ГОСТ 10164-75; ГОСТ 10214-78; ГОСТ 10350-81; ГОСТ 12020-72; ГОСТ 13511-91; ГОСТ 13512-91; ГОСТ 13513-86; ГОСТ 13514-93; ГОСТ 13516-86; ГОСТ 13841-95; ГОСТ 14192-96; ГОСТ 14332-78; ГОСТ 14710-78; ГОСТ 15140-78; ГОСТ 15150-69; ГОСТ 16337-77; ГОСТ 16338-85; ГОСТ 16504-81; ГОСТ 16511-86; ГОСТ 17299-78; ГОСТ 17305-91; ГОСТ 17308-88; ГОСТ 17527-2003; ГОСТ 17811-78; ГОСТ 18251-87; ГОСТ 18321-73; ГОСТ 18573-86; ГОСТ 20282-86; ГОСТ 20288-74; ГОСТ 21140-88; ГОСТ 21650-76; ГОСТ 21798-76; ГОСТ 22300-76; ГОСТ 24104-2001; ГОСТ 24105-80; ГОСТ 24597-81; ГОСТ 24615-81; ГОСТ 24888-81; ГОСТ 25776-83; ГОСТ 25951-83; ГОСТ 26663-85; ГОСТ 26996-86; ГОСТ 28250-89; ГОСТ Р 8.568-97; ГОСТ Р ИСО 9001-2001; ГОСТ Р ИСО 9002-96; ГОСТ Р ИСО 9003-96; ГОСТ Р 50779.10-2000; ГОСТ Р 50779.11-2000; ГОСТ Р 50779.30-95; ГОСТ Р 50779.52-95; ГОСТ Р 50779.71-99 | | Область применения: | Настоящий стандарт распространяется на полимерную потребительскую тару: банки, бутылки, канистры, тубы, предназначенную для упаковывания и хранения пищевых продуктов, лекарственных средств, парфюмерно-косметических средств, товаров бытовой химии, лакокрасочных материалов, технических масел и смазок, продукции промышленного и бытового назначения. Стандарт не распространяется на пеналы и пакеты, на транспортную полимерную тару, в том числе ящики, а также на изделия культурно-бытового и хозяйственного назначения | |
                                                
|