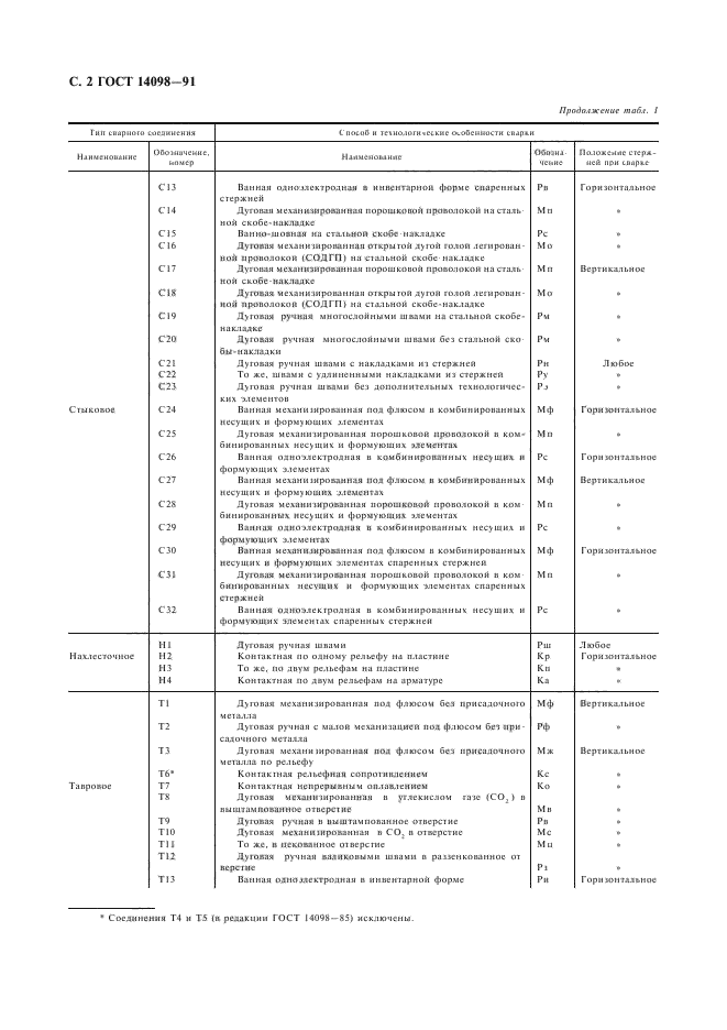
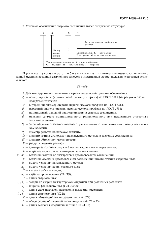
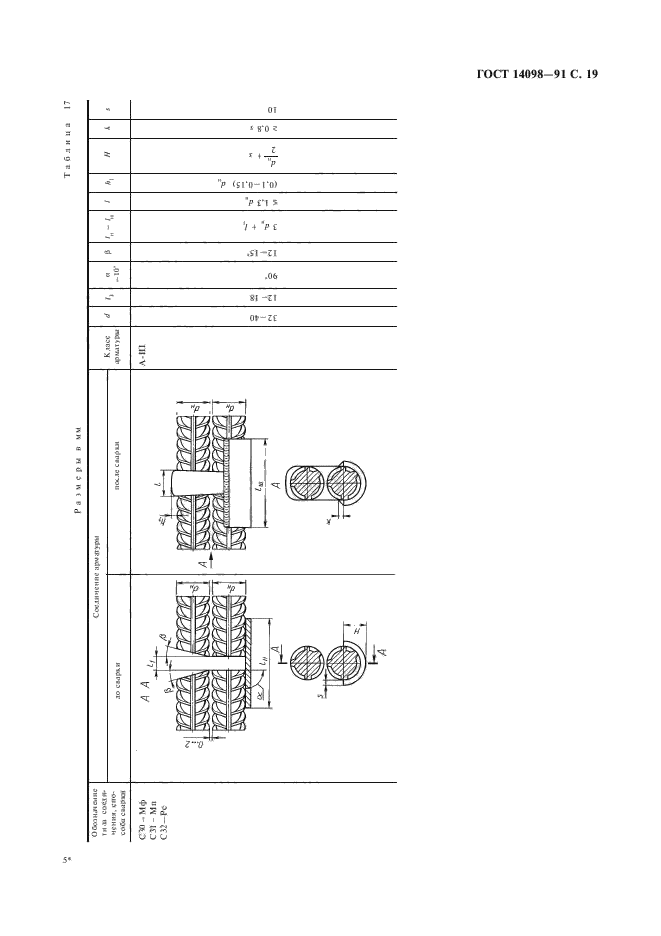
| Обозначение: |  ГОСТ 14098-91 |
| Статус: | заменён |
| Название рус.: | Соединения сварные арматуры и закладных изделий железобетонных конструкций. Типы, конструкции и размеры |
| Название англ.: | Welded joints of reinforcement and inserts for reinforced concrete structures. Types, constructions and dimensions |
| Дата актуализации текста: | 06.04.2015 |
| Дата актуализации описания: | 01.07.2023 |
| Дата издания: | 01.07.2007 |
| Дата введения: | 01.07.1992 |
| Дата окончания срока действия: | 01.07.2015 |
| Код ОКП: | 588000 |
| Взамен: | ГОСТ 14098-85 |
| Заменяющий: | ГОСТ 14098-2014 |
| Нормативные ссылки: | ГОСТ 2601-84; ГОСТ 5264-80; ГОСТ 5781-82; ГОСТ 8713-79; ГОСТ 10884-94; ГОСТ 10922-90 |
| Область применения: | Настоящий стандарт распространяется на сварные соединения стержневой арматуры и арматурной проволоки диаметром 3 мм и более, сварные соединения стержневой арматуры с прокатом толщиной от 4 до 30 мм, выполняемые при изготовлении арматурных и закладных изделий железобетонных конструкций, а также при монтаже сборных и возведении монолитных железобетонных конструкций. Стандарт не распространяется на сварные соединения закладных изделий, не имеющих анкерных стержней из арматурной стали |
|