
ГОСУДАРСТВЕННЫЙ СТАНДАРТ СОЮЗА ССР
СИСТЕМА ПРОЕКТНОЙ ДОКУМЕНТАЦИИ ДЛЯ СТРОИТЕЛЬСТВА
ВЕДОМОСТИ ПОТРЕБНОСТИ
В МАТЕРИАЛАХ
ГОСТ 21.109-80
ГОСУДАРСТВЕННЫЙ КОМИТЕТ СССР
ПО ДЕЛАМ СТРОИТЕЛЬСТВА
Москва
РАЗРАБОТАН Научно-исследовательским институтом экономики строительства Госстроя СССР
ИСПОЛНИТЕЛИ
С. И. Зюзин; В. А. Спектор, канд. эконом. наук (руководители темы); В. А. Ларионов; Е. В. Михайлин; И. М. Ефимова; Ю. Н. Шумячкин, канд. эконом. наук
ВНЕСЕН Научно-исследовательским институтом экономики строительства Госстроя СССР
Директор А. И. Митрофанов
УТВЕРЖДЕН И ВВЕДЕН В ДЕЙСТВИЕ Постановлением Государственного комитета СССР по делам строительства от 24 июля 1980 г. № 113
ГОСУДАРСТВЕННЫЙ СТАНДАРТ СОЮЗА ССР
|
Система проектной документации для строительства ВЕДОМОСТИ ПОТРЕБНОСТИ В МАТЕРИАЛАХ System of building design documents. |
ГОСТ |
Постановлением Государственного комитета СССР по делам строительства от 24 июля 1980 г. № 113 срок введения установлен
с 01.01 1981 г.
Несоблюдение стандарта преследуется по закону
1. Настоящий стандарт устанавливает формы и правила выполнения в составе рабочей документации ведомостей потребности в материалах поставляемых подрядчиком для строительства зданий и сооружений всех отраслей промышленности и народного хозяйства.
(Измененная редакция, Изм. № 1).
2. К каждому основному комплекту рабочих чертежей по видам строительно-монтажных работ выполняют ведомость потребности в материалах (ВМ). ВМ для металлических конструкций и изделий в составе основного комплекта рабочих чертежей марки КМ выполняют по установленным для этих чертежей формам.
На здание или сооружение в целом выполняют основную сводную ведомость потребности в материалах (СВМ). При выпуске рабочих чертежей на части здания или сооружения СВМ выполняют, кроме того, на каждую их этих частей
ВМ и СВМ выполняют по форме 1.
(Новая редакция, Изм. № 1).
3. СВМ выполняет проектная организация - генеральный проектировщик на основе ВМ, выполненных к основным комплектам рабочих чертежей.
(Измененная редакция, Изм. № 1).
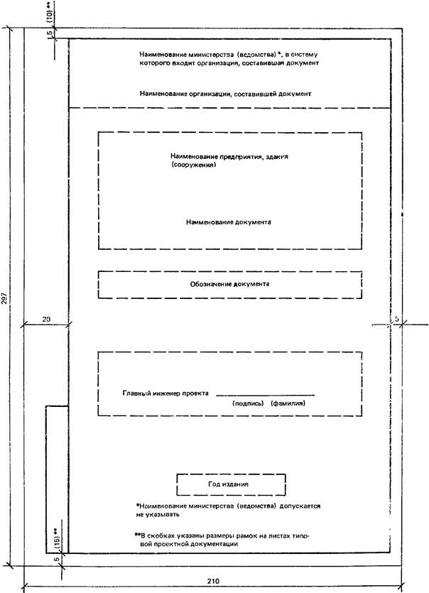
4. Первым листом ВМ и СВМ является титульный лист (Форма 2).
Допускается при небольшом объеме ВМ титульный лист не выполнять. В этом случае на первом листе ВМ наносят основную надпись по форме 1 ГОСТ 21.103-78. В СВМ включают перечень ВМ, на основе которых она составлена (Форма 3).
(Новая редакция, Изм. № 1).
5. Материалы в ВМ записывают по полной номенклатуре в СВМ - в соответствии с установленной номенклатурой по разделам (видам материалов.
Наименование каждого раздела указывают в виде заголовка в графе «Наименование» и подчеркивают.
(Измененная редакция, Изм. № 1).
6. В графах ВМ и СВМ указывают:
в графе «Наименование материала и единица измерения» - наименования материалов, установленные в стандартах или технических условиях на эти материалы и, после запятой, обозначение единицы измерения количества материалов;
в графе «Код материала» - код материала по Общесоюзному классификатору промышленной и сельскохозяйственной продукции (ОКП). При отсутствии в ОКП какого-либо вида материала его код принимают по классификаторам других категорий;
в графе «Код ед. изм.» - код единицы измерения количества материалов по Общесоюзному классификатору «Система обозначения единиц измерения, используемых в автоматизированных системах управления» (СОЕИ);
в графе «Кол.» - количество материалов установленных единицах измерения;
в графе «Примечание» - дополнительные сведения, относящиеся к внесенным в ведомость материалам.
(Измененная редакция, Изм. № 1).
7. ВМ и СВМ присваивают самостоятельное обозначение. Обозначение ВМ состоит из обозначения соответствующего основного комплекта рабочих чертежей по ГОСТ 21.101-79 и через точку шифр ВМ, например, 2345-11-ТХ.ВМ, обозначение СВМ - из базового обозначения по ГОСТ 21.101-79 и через дефис шифр СВМ, например, 2345-11-СВМ.
ВМ записывают в ведомость ссылочных и прилагаемых документов общих данных по рабочим чертежам в раздел «Прилагаемые документы».
(Введен дополнительно, Изм. № 1).
Форма 1
Форма 1а (Исключен, Изм. № 1).
Формы 1, 2 (Измененная редакция, Изм. № 1).
Форма 2
ПЕРЕЧЕНЬ ВМ, НА ОСНОВЕ КОТОРЫХ СОСТАВЛЕНА СВМ
Форма 3
(Введена дополнительно, Изм. № 1).