ГОСТ Р 50809-95
ГОСУДАРСТВЕННЫЙ СТАНДАРТ РОССИЙСКОЙ ФЕДЕРАЦИИ
НУМЕРАЦИЯ
И МЕТРОЛОГИЧЕСКОЕ
ОБЕСПЕЧЕНИЕ
ИДЕНТИФИКАЦИОННЫХ КАРТОЧЕК
ДЛЯ ФИНАНСОВЫХ РАСЧЕТОВ
ГОССТАНДАРТ
РОССИИ
Москва
Предисловие
1 РАЗРАБОТАН И ВНЕСЕН Техническим комитетом по стандартизации ТК 366 "Метрологическое обеспечение банковских операций"
Техническим комитетом по стандартизации ТК 366 "Метрологическое обеспечение банковских операций"
2 ПРИНЯТ И ВВЕДЕН В ДЕЙСТВИЕ Постановлением Госстандарта России от 29 августа 1995 г. № 452
3 В настоящем стандарте реализованы нормы Закона Российской Федерации "Об обеспечении единства измерений" и международного стандарта ИСО 7812-87 "Карточки идентификационные. Система нумерации и процедура регистрации для идентификаторов чекодателей"
4 ВВЕДЕН ВПЕРВЫЕ
СОДЕРЖАНИЕ
|
4 Структура построения и содержание номера ИК.. 2 5 Регистрация идентификатора эмитентов. 5 6 Требования метрологического обеспечения к нанесению и идентификации ИК.. 6 |
ГОСТ Р 50809-95
ГОСУДАРСТВЕННЫЙ СТАНДАРТ РОССИЙСКОЙ ФЕДЕРАЦИИ
|
НУМЕРАЦИЯ И МЕТРОЛОГИЧЕСКОЕ
ОБЕСПЕЧЕНИЕ Numbering and melrological ensuring
of identification cards |
Дата введении 1996-01-01
Настоящий стандарт устанавливает построение и содержание номера идентификационных карточек для финансовых расчетов (далее - ИК) и общие требования метрологического обеспечения к нанесению и идентификации номера ИК.
Положения настоящего стандарта подлежат применению юридическими лицами, являющимися эмитентами ИК для финансовых расчетов.
Требования стандарта являются обязательными.
В настоящем стандарте использована ссылка на ГОСТ 8.010-90 ГСИ. Методики выполнения измерений
3.1 идентификационная карточка (ИК): Карточка, указывающая держателя и эмитента ИК, несущая необходимую информацию для использования в финансовых расчетах (взаиморасчетов, взаимозачетов, оплаты, обмена, накопления и т.п.)
3.2 идентификационный номер ИК: Уникальный номер ИК, указывающий держателя и эмитента ИК
3.3 эмитент: Юридическое лицо, выпускающее ИК для финансовых расчетов и передающее их держателям ИК
3.4 держатель: Лицо, которому передаются ИК для финансовых расчетов
3.5 идентификационный номер эмитента: Номер, который определяет основную область деятельности эмитента и идентификатор эмитента
3.6 идентификационный номер держателя: Уникальный номер, присваиваемый эмитентом, который идентифицирует держателя ИК
3.7 идентификатор эмитента: Номер, который идентифицирует эмитента
3.8 ГСИ: Государственная система обеспечения единства измерений.
4.1 Для нумерации ИК в соответствии с положениями [1] применяют идентификационный номер, состоящий из трех основных компонентов (рисунок 1):
1 - идентификационный
номер эмитента ИК; 2 - идентификационный номер держателя ИК;
3 - контрольное число
Рисунок 1 - Составляющие части номера ИК
4.1.1 Идентификационный номер эмитента ИК состоит из идентификатора области деятельности эмитента ИК и идентификатора эмитента ТК и в соответствии с [1] имеет следующую структурную формулу построения кодового обозначения (рисунок 2):

- кодовое обозначение идентификатора области
деятельности эмитента ИК, которое в соответствии с [1] принимает следующие
значения (таблица 1):
Таблица 1
|
Сфера деятельности эмитента ИК |
Кодовое обозначение |
Сфера деятельности эмитента ИК |
|
|
0 |
Зарезервировано |
5 |
Банковское дело/финансы |
|
1 |
Авиалинии |
6 |
Торговля и банковское дело |
|
2 |
Авиалинии и применение в будущем |
7 |
Нефтяная промышленность |
|
3 |
Путешествия и развлечения |
8 |
Зарезервировано |
|
4 |
Банковское дело/финансы |
9 |
Для применения национальными организациями по стандартизации |
- кодовое обозначение идентификатора эмитента ИК,
которое в соответствии с [1] принимает следующие значения (таблица 2):
Рисунок 2 - Формула кодового обозначения
международного
идентификационного номера эмитента ИК, лист 1
Таблица 2
|
Идентификатор эмитента ИК |
Кодовое обозначение области деятельности эмитента ИК |
Идентификатор эмитента ИК |
|
|
0 |
Зарезервировано |
5 |
4ХХХХ |
|
1 |
XXX |
5 |
5ХХХХ |
|
2 |
XXX (Авиалинии) |
5 |
6ХХХХ |
|
2 |
ХХХХХ (другие применения) |
5 |
7ХХХХ |
|
3 |
ХХХХХ |
5 |
8ХХХХ |
|
4 |
ХХХХХ |
5 |
9ССС0LLLL |
|
5 |
ОХХХХ |
6 |
ХХХХХ |
|
5 |
1X |
7 |
ХХХХХ |
|
5 |
2ХХ |
8 |
Зарезервировано |
|
5 |
3хххх |
9 |
СССХХХХХ |
где X ... X - номера, присваиваемые системой нумерации; ССС - цифровой код страны согласно [2]; LLLL - цифровой номер банковской лицензии
Рисунок 2, лист 2
4.1.2 Идентификационный номер эмитентов ИК, присваиваемый системой нумерации Российской Федерации, имеет следующую структурную формулу кодового обозначения (рисунок 3):
![]()
|
|
- кодовое обозначение, определяющее признак регистрирующего органа ИК ((Х)1 - разряд, определенный, для регистрации ИК по системе нумерации Российской Федерации, в соответствии с [1] имеет значение: (Х)1 - 9; (ЗХ)2 - код страны - эмитента ИК, в соответствии с [2] имеет значение для Российской Федерации: (ЗХ)2 - 643); |
|
- кодовое обозначение идентификатора эмитента ИК, формируется системой нумерации с применением цифровой нумерации по структуре: (6Х)3 - ХХХХХХ. |
Рисунок 3
- Структурная формула кодового обозначения идентификационного номера
эмитентов ИК, присваиваемого системой нумерации Российской Федерации
Кодовое обозначение идентификационного номера эмитентов И К, присваиваемого системой нумерации Российской Федерации, имеет форму
29 + 643 + ХХХХХХ.
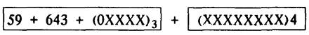
4.1.3 Эмитенты, имеющие лицензию Центрального Банка Российской Федерации (ЦБ РФ) и выпускающие ИК для локального применения, могут формировать идентификационный номер эмитента на основе номера лицензии ЦБ РФ с обязательной регистрацией номера в системе нумерации Российской Федерации по следующей структурной формуле (рисунок 4):
|
|
- кодовое обозначение, определяющее признак системы нумерации ИК ((XX) 1 - первые два номера разряда, определяющие присвоение номера эмитента ИК на основе лицензии ЦБ РФ, в соответствии с [1] имеют значение: (XX)1 - 59;(ЗХ)2 - код страны - эмитента ИК, в соответствии с [2] имеет значение для Российской Федерации: (ЗХ)2 - 643); |
|
|
- кодовое обозначение идентификатора эмитента ИК, формируется эмитентом ИК на основе номера лицензии ЦБ РФ с применением цифровой нумерации по структуре: 0(4Х)3 - 0ХХХХ. |
Рисунок
4 - Структурная формула кодового обозначения идентификационного
номера эмитентов ИК, формируемого на основе номера лицензии ЦБ РФ
Кодовое обозначение идентификационного номера эмитентов ИК, формируемого на основе номера лицензии ЦБ- РФ, имеет форму 59 + 643 + 0ХХХХ.
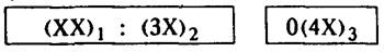
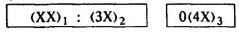
4.2 Идентификационный номер держателя ИК определяется эмитентом. Идентификационный номер держателя ИК, в соответствии с [1], размещается в остающихся после присвоения идентификационного номера эмитента ИК позициях 19-разрядного идентификационного номера ИК (кроме последнего - контрольного разряда).
Идентификационный номер держателя ИК для эмитентов ИК Российской Федерации имеет кодовое обозначение, количество разрядов которого устанавливают в зависимости от идентификатора эмитента ИК с применением порядковой нумерации или других идентификационных признаков держателя ИК (лицевого, индивидуального счета и т.п.) по следующим структурным формулам (рисунки 5, 6):
(ХХХХХХХХ)4 - идентификатор держателя ИК
Рисунок
5 - Формула кодового обозначения идентификационного номера держателя
карточки ИК, присваиваемого по системе нумерации Российской Федерации
ХХХХХХХХ)4 - идентификатор держателя ИК
Рисунок 6 - Формула кодового обозначения
идентификационного номера держателя
ИК, формируемого на основе номера лицензии ЦБ РФ
Полное кодовое обозначение идентификационного номера ИК имеет следующие структурные формулы (рисунки 7, 8):
Рисунок
7 - Формула кодового обозначения идентификационного номера ИК,
присваиваемого по системе нумерации РФ
Рисунок 8 - Формула кодового обозначения идентификационного номера ИК, формируемого на основе номера лицензии ЦБ РФ
4.3 Контрольное число (Х5) - последний разряд кодового обозначения идентификационного номера ИК определяет достоверность цифровой записи идентификационного номера ИК.
Контрольное число определяют в соответствии с правилами расчета контрольного числа, приведенные в [1], по следующей методике (код Luhn):
этап 1 - удвоить значения каждой второй цифры, начиная с первой цифры справа (младший разряд);
этап 2 - суммировать отдельные цифры, составляющие результаты удвоения, полученные на этапе 1, с каждой цифрой первоначального номера, не подвергшейся математическим операциям;
этап 3 - отнять сумму, полученную на этапе 2, от следующего большего числа, оканчивающегося на 0 (это является эквивалентом вычисления "дополнением до десяти" цифры младшего разряда (цифры разряда единиц/суммы). Если сумма, полученная на этапе 2, является числом, оканчивающимся на 0 (30, 40 и т.п.), контрольный разряд равен 0.
Примеры
1) Идентификационный номер ИК без контрольного номера - 964311114992739871 - (9 + 643 + 1111 + 4992739871)
этап 1
|
9 |
6 |
4 |
3 |
1 |
1 |
1 |
1 |
4 |
9 |
9 |
2 |
7 |
3 |
9 |
8 |
7 |
1 |
|
´2 |
´2 |
´2 |
´2 |
´2 |
´2 |
´2 |
´2 |
´2 |
|||||||||
|
12 |
6 |
2 |
2 |
18 |
4 |
6 |
16 |
2 |
этап 2
9+1+2+4+6+1+2+1+2+4+1+8+9+4+7+6+9+1+6+7+2 = 92
этап 3
100 - 92 = 8 - контрольный разряд
Идентификационный номер ИК с контрольным разрядом: 9643111149927398718 - (9 + 643 + 1111 + 4992739871 + 8)
2) Номер держателя карточки ИК без контрольного разряда - 4992739871
этап 1
|
4 |
9 |
9 |
2 |
7 |
3 |
9 |
8 |
7 |
1 |
|
´2 |
´2 |
´2 |
´2 |
´2 |
|||||
|
18 |
4 |
6 |
16 |
2 |
этап 2
4 + 1 + 8 + 9 + 4 + 7 + 6 + 9 + 1 + 6 + 7 + 2
этап 3
70 - 64 = 6 - контрольный разряд
Номер держателя ИК с контрольным разрядом- 49927398716.
5.1 Процедуры регистрации держателей ИК и ведение реестра держателей ИК осуществляются эмитентом ИК в порядке, установленном эмитентом.
5.2 Процедуры регистрации эмитентов ИК и ведение реестра идентификаторов эмитентов Российской Федерации осуществляют в порядке, установленном законодательством.
5.3 Реестр идентификаторов эмитентов Российской Федерации должен отвечать требованиям ЦБ РФ, должен быть разбит на подразделы в зависимости от областей деятельности эмитентов ИК по 4.1.1 и должен вестись специализированными организациями на коммерческой основе.
5.3.2 Координацию ведения подразделов реестра идентификаторов эмитентов ИК осуществляют в соответствии с законодательством и подзаконными актами.
5.4 Организации, осуществляющие ведение подразделов реестра идентификаторов эмитентов ИК, обязаны:
- руководствоваться в практической деятельности законодательством Российской Федерации, государственными и отраслевыми стандартами, а также правилами систем сертификации по 5.3.1 для подтверждения технической компетентности в области аккредитации;
- гармонизировать процедуру регистрации идентификаторов эмитентов Российской Федерации с общепринятой международной практикой;
- информировать держателей ИК и эмитентов по процедуре регистрации и составу подраздела реестра идентификаторов эмитентов;
- обеспечить доступ к информации по составу подраздела реестра идентификаторов эмитентов полномочным представителям государственных органов управления, лицензирования, надзора, арбитража.
6.1 Измерения при контроле параметров ИК, режимов нанесения идентификационного номера и процедур идентификации ИК следует осуществлять с соблюдением положений ГСИ.
6.2 Эмитент ИК обязан:
- обеспечить проведение метрологической экспертизы проектной, конструкторской и технологической документации на ИК в соответствии с рекомендациями [3];
- обеспечить применение для нанесения идентификационного номера и процедур идентификации ИК средств измерений утвержденных типов и поверенных в соответствии с [4], а также аттестованных в соответствии с ГОСТ 8.010 методик выполнения измерений.
6.3 Государственный метрологический надзор за соблюдением установленных метрологических требований к средствам измерений и аттестованным методикам выполнения измерений, применяемым при нанесении идентификационного номера и идентификации ИК, осуществляют в соответствии с [5].
БИБЛИОГРАФИЯ
[3] МИ 2328-95 ГСИ. Рекомендации по формированию перечня параметров и объектов, используемых при осуществлении банковских операций и подлежащих метрологическому контролю и надзору
[4] ПР 50.2.006-94 ГСИ. Поверка средств измерений. Организация и порядок проведения
[5] ПР 50.2.002-94 ГСИ. Порядок осуществления государственного метрологического надзора за выпуском, состоянием и применением средств измерений, аттестованными методиками выполнения измерений, эталонами и соблюдением метрологических правил и норм
Ключевые слова: банковские операции, идентификационные карточки, нумерация, метрологическое обеспечение