СОВЕТ ЭКОНОМИЧЕСКОЙ ВЗАИМОПОМОЩИ
СТАНДАРТ СЭВ
СТ СЭВ 1465-78
ВОЛОКНА ХИМИЧЕСКИЕ
ТЕРМИНЫ И ОПРЕДЕЛЕНИЯ
Постановлением Государственного комитета СССР по стандартам от 9 августа 1979 г. № 3049 стандарт Совета Экономической Взаимопомощи СТ СЭВ 1465-78 «Волокна химические. Термины и определения»
введен в действие непосредственно в качестве государственного стандарта СССР
в народном хозяйстве с 01.01. 81 г.
в договорно-правовых отношениях по сотрудничеству с 01.01. 81 г.
|
СТАНДАРТ СЭВ |
СТ СЭВ 1465-78 |
|
|
|
ВОЛОКНА Термины и определения |
|||
|
Взамен |
|
||
|
Группа Л00 |
|
Настоящий стандарт СЭВ распространяется на химические волокна и устанавливает для них основные термины и определения и принцип условного обозначения.
Термины и определения химических волокон разработаны с учетом классификации, принятой в Общем классификаторе промышленной и сельскохозяйственной продукции стран - членов СЭВ (ОКП СЭВ), с последующим дальнейшим уточнением классификационных признаков, представленных на схемах 1, 2, 3 и 4 информационного приложения.
Индексы терминов химических волокон, применяемых в настоящем стандарте СЭВ, служат для облегчения поиска терминов и не являются обязательными.
1.1. Общие термины и определения
|
Термин |
Определение |
|
|
C |
Химические волокна |
Волокна из природных или синтетических веществ и полимеров (органических или неорганических) |
|
C1 |
Органические химические волокна |
Волокна химические из природных или синтетических полимеров |
|
С2 |
Неорганические химические волокна |
Волокна химические из неорганических веществ |
1.2. Термины и определения органических волокон
|
Термин |
Определение |
|
|
С1.1 |
Карбоцепные волокна |
Волокна органические, основные цепи макромолекул которых состоят из атомов углерода |
|
С1.1.1 |
Полиановые волокна |
Волокна карбоцепные, основные цепи макромолекул которых имеют одинарные химические связи |
|
C1.1.1.01 |
Полиолефиновые волокна |
Волокна полиановые, содержащие в качестве заместителей у углерода основной цепи макромолекул водород или алкил |
|
C1.1.1.01.01.01 |
Полипропиленовые волокна |
Волокна полиолефиновые, имеющие структурную формулу элементарного звена |
|
С1.1.1.01.01.02 |
Полиэтиленовые волокна |
Волокна полиолефиновые, имеющие структурную формулу элементарного звена |
|
С1.1.1.02 |
Полиангалогенсодержащие волокна |
Волокна полиановые, содержащие в качестве заместителя у углерода элементарного звена макромолекулы галоген |
|
C1.1.1.02.01 |
Полианхлорсодержащие волокна |
Волокна полиангалогенсодержащие, содержащие в качестве заместителя у углерода основной цепи макромолекулы хлор |
|
С1.1.1.02.01.01 |
Поливинилиденхлоридные волокна |
Волокна полианхлорсодержащие со структурной формулой элементарного звена |
|
С1.1.1.02.01.02 |
Поливинилхлоридные волокна |
Волокна полианхлорсодержащие со структурной формулой элементарного звена |
|
С1.1.1.02.01.03 |
Поливинилхлоридные хлорированные волокна |
Волокна поливинилхлоридные дополнительно хлорированные |
|
C1.1.1.02.02 |
Полианфторсодержащие волокна |
Волокна полиангалогенсодержащие, у которых в качестве заместителя у углерода основной цепи макромолекулы фтор |
|
C1.1.1.02.02.01 |
Поливинилиденфторидные волокна |
Волокна полианфторсодержащие со структурной формулой элементарного звена |
|
С1.1.1.02.02.02 |
Поливинилфторидные волокна |
Волокна полианфторсодержащие со структурной формулой элементарного звена |
|
С1.1.1.02.02.03 |
Политетрафторэтиленовые волокна |
Волокна полианфторсодержащие со структурной формулой элементарного звена |
|
С1.1.1.03 |
Полиангидроксилсодержащие волокна |
Волокна полиановые, содержащие в качестве заместителя у углерода элементарного звена макромолекулы гидроксильную группу (ОН) |
|
С1.1.1.03.01.01 |
Поливинилспиртовые волокна |
Волокна полиангидроксилсодержащие со структурной формулой элементарного звена |
|
С1.1.1.04 |
Полианнитрилсодержащие волокна |
Волокна полиановые, содержащие в качестве заместителя у углерода элементарного звена макромолекулы нитрильную группу |
|
C1.1.1.04.01.01 |
Полиакрилонитрильные волокна |
Волокна полианнитрилсвдержащие со структурной формулой элементарного звена |
|
C1.1.1.04.01.02 |
Полицианидвинилиденовые волокна |
Волокна полианнитрилсвдержащие со структурной формулой элементарного звена |
|
C1.1.1.05 |
Полианарилсодержащие волокна |
Волокна полиановые, содержащие в качестве заместителя у углерода элементарного звена макромолекулы ароматические циклы |
|
C1.1.1.05.01.01 |
Полистирольные волокна |
Волокна полианарилсодержащие со структурной формулой элементарного звена |
|
C1.1.1.06 |
Полианэфирсодержащие волокна |
Волокна полиановые, у которых в качестве заместителя у углерода элементарного звена макромолекулы эфирные группы |
|
C1.1.1.06.01.01 |
Поливинилацетатные волокна |
Волокна полианэфирсодержащие со структурной формулой элементарного звена |
|
C1.2 |
Кислородкарбоцепные волокна |
Волокна органические, основные цепи макромолекул которых состоят из атомов углерода и кислорода |
|
C1.2.1 |
Полиэфирные простые волокна |
Волокна кислородкарбоцепные, основные цепи макромолекул которых содержат простые эфирные группы |
|
C1.2.1.01 |
Полиэфирные простые алифатические волокна |
Волокна полиэфирные простые, содержащие в основной цепи макромолекул алифатические звенья |
|
C1.2.1.01.01.01 |
Полиформальдегидные волокна (полиметиленоксидные) |
Волокна полиэфирные простые, алифатические со структурной формулой элементарного звена |
|
C1.2.2 |
Полиэфирные сложные волокна |
Волокна кислородкарбоцепные, основные цепи макромолекул которых содержат сложные эфирные группы |
|
С1.2.2.01. |
Полиэфирные сложные ароматические волокна |
Волокна полиэфирные сложные, содержащие в основной цепи макромолекул ароматические звенья |
|
C1.2.2.01.01 |
Полиалкиленгликольтерефталатные волокна |
Волокна полиэфирные сложные ароматические, содержащие в основной; цепи макромолекул остатки терефталевых кислот, |
|
С1.2.2.01.01.01 |
Полиэтилентерефталатные волокна |
Волокна полиалкиленгликольтерефталатные, со структурной формулой элементарного звена |
|
С1.2.2.01.02 |
Поликарбонатные волокна |
Волокна полиэфирные сложные ароматические, содержащие остатки угольной кислоты и двухатомных фенолов в основной цепи макромолекул |
|
С1.2.3 |
Кислородкарбоциклоцепные волокна |
Волокна кислородкарбоцепные, содержащие в основной цепи макромолекул кислородсодержащие циклы |
|
С1.2.3.01 |
Целлюлозные волокна |
Волокна кислородкарбоциклоцепные, макромолекулы которых состоят из звеньев ангидро-Д-глюкопиранозы, соединенных 1,4-глюкозидными связями |
|
С1.2.3.01.01 |
Гидратцеллюлозные волокна |
Волокна из регенерированном целлюлозы, содержащие в основной цепи макромолекулы ангидро-Д-глюкопиранозы, соединенных 1,4-глюкозидными связями |
|
С1.2.3.01.01.01 |
Вискозные волокна |
Волокна гидратцеллюлозные, полученные вискозным способом |
|
С1.2. 3.01.01.02 |
Медно-аммиачные волокна |
Волокна гидратцеллюлозные, полученные медно-аммиачным способом |
|
С1.2.3.01.02 |
Ацетилцеллюлозные волокна |
Волокна из сложных уксуснокислых эфиров целлюлозы |
|
C1.2.3.01.02.01 |
Ацетатные волокна |
Волокна ацетилцеллюлозные с массовой долей связанной уксусной кислоты в основной цепи макромолекул от 53 до 54,5 % |
|
C1.2.3.01.02.02 |
Триацетатные волокна |
Волокна ацетилцеллюлозные с массовой долей связанной уксусной кислоты в основной цепи макромолекул от 59 до 61,2 % |
|
С1.2.3.02 |
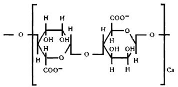
Альгинатные волокна |
Волокна из полиуровых кислот, содержащие в основной цепи макромолекул звенья |
|
C1.2.3.02.01.01 |
Альгинатные кальциевые волокна |
Волокна альгинатные со структурной формулой элементарного звена |
|
С1.3 |
Азоткарбоцепные волокна |
Волокна органические, основные цепи макромолекул которых состоят из атомов углерода и азота |
|
С1.3.1 |
Полиамидные волокна |
Волокна азоткарбоцепные, содержащие в основной цепи макромолекул амидные группы |
|
С1.3.1.01 |
Полиамидные алифатические волокна |
Волокна полиамидные, содержащие в основной цепи макромолекул алифатические звенья |
|
C1.3.1.01.01.01 |
Поли-g-бутироамидные волокна (полиамид 4) |
Волокна полиамидные алифатические, со структурной формулой элементарного звена |
|
C1.3.1.01.01.02 |
Поли-e-капроамидные волокна (полиамид 6) |
Волокна полиамидные алифатические, со структурной формулой элементарного звена |
|
C1.3.1.01.01.03 |
Полигексаметиленадипинамидные волокна |
Волокна полиамидные алифатические, со структурной формулой элементарного звена |
|
С1.3.1.01.01.04 |
Полигексаметиленсебацинамидные волокна (полиамид 6, 10) |
Волокна полиамидные алифатические, со структурной формулой элементарного звена |
|
C1.3.1.01.01.05 |
Полиэнантоамидные волокна (полиамид 7) |
Волокна полиамидные алифатические, со структурной формулой элементарного звена |
|
С1.3.1.01.01.06 |
Поли-ω-ундеканамидные волокна (полиамид 11) |
Волокна полиамидные алифатические, со структурной формулой элементарного звена |
|
С1.3.1.02 |
Полиамидные ароматические волокна |
Волокна полиамидные, содержащие в основной цепи макромолекул ароматические звенья |
|
С1.3.1.02.01.01 |
Полиарамидные волокла |
Волокна полиамидные ароматические, со структурной формулой элементарного звена |
|
С1.3.1.02.01.02 |
Полисульфоарамидные волокна |
Волокна полиамидные ароматические, со структурной формулой элементарного звена |
|
С1.3.2 |
Азоткарбоциклоцепные волокна |
Волокна азоткарбоцепные, содержащие в основной цепи макромолекул азотсодержащие циклы |
|
С1.3.2.01 |
Полиимидазольные волокна |
Волокна азоткарбоциклоцепные, содержащие в основной цепи макромолекул имидазольные циклы |
|
C1.3.2.01.01.01 |
Полибензимидазольные волокна |
Волокна полиимидазольные, со структурной формулой элементарного звена |
|
С1.3.2.02 |
Полиимидные волокна |
Волокна азоткарбоциклоцепные, содержащие в основной цепи макромолекул имидные циклы |
|
С1.4 |
Кислородазоткарбоцепные волокна |
Волокна органические, основные цепи макромолекул которых состоят из атомов углерода, азота и кислорода |
|
С1.4.1 |
Полиуретановые волокна |
Волокна кислородазоткарбоцепные, содержащие в основной цепи макромолекул уретановые звенья |
|
С1.4.2 |
Кислородазоткарбоциклоцепные волокна |
Волокна кислородазоткарбоцепные, содержащие в основной цепи макромолекул кислородазотсодержащие циклы |
|
С1.4.2.01 |
Полиоксадиазольные волокна |
Волокна кислородазоткарбоциклоцепные, содержащие в основной цепи макромолекул оксазольные циклы |
|
С1.4.2.02 |
Полибензоксазольные волокна |
Волокна, содержащие в основной цепи макромолекул бензоксазольные циклы |
|
С1.4.3 |
Белковые волокна |
Волокна кислородазоткарбоциклоцепные, характеризующиеся наличием в основной цепи макромолекул звеньев a-аминокислот пептидных связей |
|
С1.4.3.01 |
Белковые простые волокна |
Волокна белковые, характеризующиеся наличием в основной цепи макромолекул незамещенных a-аминокислот |
|
С1.4.3.01.01.01 |
Коллагеновые волокна |
Волокна белковые из коллагена |
|
С1.4.3.01.01.02 |
Кератиновые волокна |
Волокна белковые из кератина |
|
С1.4.3.01.01.03 |
Зеиновые волокна |
Волокна белковые из зеины |
|
С1.4.3.01.01.04 |
Фиброиновые волокна |
Волокна белковые из фиброина |
|
С1.4.3.01.01.05 |
Арахисовые волокна |
Волокна белковые из арахиса |
|
С1.4.3.01.01.06 |
Соевые волокна |
Волокна белковые из сои |
|
С1.4.3.02 |
Белковые сложные волокна |
Волокна белковые, характеризующиеся наличием в основной цепи макромолекул остатками замещенных a-аминокислот |
|
С1.4.3.02.01.01 |
Казеиновые волокна |
Волокна белковые из фосфоропротеина |
1.3. Термины и определения неорганических волокон
|
Термин |
Определение |
|
|
С2.1 |
Металлические волокна |
Волокна неорганические, полученные из металлических материалов |
|
С2.2 |
Неметаллические волокна |
Волокна неорганические, полученные из неметаллических материалов |
|
C2.2.01 |
Стеклянные волокна |
Волокна из аморфных тел, получаемых путем переохлаждения |
|
расплава |
||
|
С2.2.02 |
Керамические волокна |
Волокна из керамического сырья |
|
С2.2.03 |
Кремниевые волокна |
Волокна из карбида кремния |
|
С2.2.04 |
Борные волокна |
Волокна из бора |
|
С2.3 |
Минеральные волокна |
Волокна неорганические, изготовленные из различных горных пород |
|
С2.3.01 |
Шлаковые волокна |
Волокна минеральные из металлургических шлаков |
|
C2.3.02 |
Базальтовые волокна |
Волокна минеральные из базальта |
|
С2.3.03 |
Волокна из лавы |
Волокна минеральные из вулканической лавы |
1.4. Термины и определения форм изготовления химических волокон
|
Термин |
Определение |
|
|
С3.1 |
Нить |
Гибкое протяженное и прочное тело, неограниченной длины, с малыми поперечными размерами по отношению к длине |
|
С3.1.01 |
Элементарная нить |
Нить, не делящаяся в продольном направлении без разрушения |
|
C3.1.02 |
Мононить |
Элементарная нить для непосредственного изготовления текстильных изделий |
|
С3.1.03 |
Леска |
Мононить диаметром более 0,08 мм |
|
C3.1.04 |
Щетина |
Мононить диаметром более 0,08 мм заданной длины |
|
С3.1.05 |
Комплексная нить |
Нить, состоящая из двух или более элементарных нитей |
|
С3.1.06 |
Трощеная нить |
Нить, образованная из двух или более нитей, соединенных вместе, без скручивания |
|
С3.1.07 |
Крученая нить |
Нить, образованная из двух или более нитей, соединенных вместе посредством скручивания |
|
С3.1.08 |
Фибриллированная нить |
Нить из пленки, подвергнутой фибрилляции механическим или химико-механическим способом |
|
С3.2 |
Волокно |
Гибкое, протяженное и прочное тело с малыми поперечными размерами, заданной длины |
|
С3.2.01 |
Волос |
Волокно для непосредственного изготовления изделий |
|
С3.3 |
Жгут |
Комплекс продольно сложенных элементарных нитей, предназначенных для разрыва и/или резки |
|
С3.3.01 |
Лента конверторная |
Лента, состоящая из продольно ориентированных волокон, полученных из жгута путем разрыва и/или резки |
|
С3.3.02 |
Жгутик |
Комплекс продольно расположенных элементарных нитей, предназначенных для непосредственного получения текстильных изделий |
Примечание. Индекс термина в табл. 1, 2, 3 и 4 соответствует индексу термина на схемах 1, 2, 3 и 4.
Для построения условного обозначения химических волокон необходимо:
- определить форму изготовления, вид, назначение и тип волокна, вырабатываемого промышленностью;
- подобрать к ним условные (буквенные) обозначения.
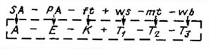
Условное обозначение химических волокон должно состоять из двух частей - основной и дополнительной, соединенных между собой знаком «плюс» (+) и выражаться следующей формулой:
![]()
где: Основная часть условного обозначения:
А - условное обозначение формы изготовления химического волокна (табл. 6 информационного приложения);
Е - условное обозначение вида химического волокна по структуре основной цепи макромолекул (табл. 5 информационного приложения);
К - условное обозначение по назначению (табл. 7 информационного приложения);
Дополнительная часть условного обозначения:
Т1, Т2, Т3...Тn - условное обозначение типов выработки химических волокон (табл. 8 информационного приложения).
Запись условных обозначений производится в указанной последовательности, в соответствии с формулой, с применением разделительного знака тире (-) в каждой части.
Основная часть условного обозначения является обязательной. В дополнительной части набор условных обозначений по типам выработки является произвольным.
Пример: полиамидная (РА), белая (ws), матированная (mt), термостойкая (wb) нить (S) текстильного назначения (ft) должна иметь следующую запись условного обозначения:
1. ДЕЛЕНИЕ ХИМИЧЕСКИХ ВОЛОКОН ПО КЛАССИФИКАЦИОННОМУ ПРИЗНАКУ - ХИМИЧЕСКОЕ СТРОЕНИЕ
1.1. Химические волокна последовательно разделяются по следующим классификационным признакам, связанным с химическим строением основной цепи макромолекул:
по виду химических элементов в основной цепи макромолекул - класс
по характеру химических связей в основной цепи макромолекул - подкласс
по групповому типу заместителя у элементов основной цепи макромолекул - группа
по конкретному типу заместителя у элементов основной цепи макромолекул - подгруппа
по структурной формуле основной цепи макромолекул - вид.
1.2. Индексация химических органических волокон производится прибавлением пяти знаков к индексу С1, обозначающему делимую совокупность.
Первые два знака определяют класс, подкласс и состоят каждый соответственно из одной цифры от 0 до 9. Третий, четвертый и пятый знаки определяют группу, подгруппу и вид и состоят соответственно из чисел от 00 до 99.
Структура общего индекса следующая:
Пример: С1.1.1.01.01.02 - полиэтиленовые.
Деление химических органических волокон от классов до видов представлено на схеме 2.
1.3. Индексация химических неорганических волокон производится прибавлением двух знаков к индексу С2, обозначающему делимую совокупность. Первый знак определяет класс и состоит из одной цифры от 0 до 9, второй знак определяет вид и состоит из числа - от 00 до 99.
Структура общего индекса следующая:
Пример: С2.2.01 - волокна стеклянные.
Деление химических неорганических волокон по классам и видам представлено на схеме 3.
2. ДЕЛЕНИЕ ХИМИЧЕСКИХ ВОЛОКОН ПО КЛАССИФИКАЦИОННОМУ ПРИЗНАКУ - ФОРМА ИЗГОТОВЛЕНИЯ
2.1. Индексация химических волокон по классификационному признаку - форма изготовления - производится прибавлением двух знаков к индексу С3, обозначающему делимую совокупность.
Первый знак определяет класс и состоит из одной цифры, от 0 до 9. Второй знак определяет подкласс и состоит из числа от 00 до 99.
2.2. Структура общего индекса следующая:
Пример: С3.1.01 - нить элементарная.
2.3. Деление химических волокон по классификационному признаку - форма изготовления - по классам и подклассам представлено на схеме 4, и в табл. 6.
3. ДЕЛЕНИЕ ХИМИЧЕСКИХ ВОЛОКОН ПО КЛАССИФИКАЦИОННОМУ ПРИЗНАКУ - НАЗНАЧЕНИЕ
3.1. Индексация химических волокон по классификационному признаку - назначение - производится прибавлением одного знака к индексу С4, обозначающему делимую совокупность. Знак определяет класс и состоит из одной цифры от 0 до 9.
3.2. Структура общего индекса следующая:
Пример: С4.2 - химические волокна технического назначения
3.3. Деление химических волокон по классификационному признаку - назначение - представлено в табл. 7.
4. ДЕЛЕНИЕ ХИМИЧЕСКИХ ВОЛОКОН ПО КЛАССИФИКАЦИОННОМУ ПРИЗНАКУ - ТИП ВЫРАБОТКИ
4.1. В основу положен перечень типов химических волокон, вырабатываемых промышленностью стран - членов СЭВ.
4.2. Индексация химических волокон по классификационному признаку - тип выработки - производится прибавлением одного знака к индексу С5, обозначающему делимую совокупность. Знак определяет класс и состоит из одной цифры или числа.
4.3. Структура индекса следующая:
Пример: С5.3 - химическое волокно шерстяного типа.
4.4. Перечень условных обозначений химических волокон по типам выработки представлен в табл. 8.
Деление неорганических волокон
Деление химических волокон по классификационному признаку - форма изготовления
5. УСЛОВНЫЕ ОБОЗНАЧЕНИЯ ХИМИЧЕСКИХ ВОЛОКОН
5.1. Условные обозначения химических волокон по строению основной цепи макромолекул*
|
Условное обозначение |
Индекс |
|
|
Азоткарбоцепные волокна |
- |
С1.3 |
|
Азоткарбоциклоцепные волокна |
- |
C1.3.2 |
|
Альгинатные волокна |
AL |
С1.2.3.02 |
|
Альгинатные кальциевые волокна |
ALCa |
С1.2.3.02.01.01 |
|
Арахисовые волокна |
ВКА |
C1.4.3.01.05 |
|
Ацетатные волокна |
АС |
С1.2.3.01.02.01 |
|
Ацетилцеллюлозные волокна |
PZ |
С1.2.3.01.02 |
|
Базальтовые волокна |
STB |
С2.3.02 |
|
Белковые волокна |
вк |
C1.4.3 |
|
Белковые простые волокна |
- |
C1.4.3.01 |
|
Белковые сложные волокна |
- |
C1.4.3.02 |
|
Борные волокна |
NB |
C2.2.04 |
|
Вискозные волокна |
VJ |
C1.2.3.01.01.01 |
|
Гидратцеллюлозные волокна |
RZ |
С1.2.3.01.01 |
|
Зеиновые волокна |
BKZ |
C1.4.3.01.03 |
|
Казеиновые волокна |
вкк |
C1.4.3.02.01 |
|
Карбоцепные волокна |
-. |
C1.1 |
|
Керамические волокна |
NMKr |
C2.2.02 |
|
Кератиновые волокна |
BKR |
С1.4.3.01.02 |
|
Кислородазоткарбоцепные волокна |
- |
C1.4 |
|
Кислородазоткарбоциклоцепные волокна |
- |
С1.4.2 |
|
Кислородкарбоцепные волокна |
- |
C1.2 |
|
Кислородкарбоциклоцепные волокна |
- |
С1.2.3 |
|
Коллагеновые волокна |
ВKG |
C1.4.3.01.01 |
|
Кремниевые волокна |
NMK |
C2.2.03 |
|
Из лавы волокна |
STL |
С2.3.03 |
|
Медно-аммиачные волокна |
CU |
С1.2.3.01.01.02 |
|
Металлические волокна |
мт |
C2.1 |
|
Минеральные волокна |
ST |
C2.3 |
|
Неметаллические волокна |
NM |
C2.2 |
|
Неорганические волокна |
CG |
C2 |
|
Органические волокна |
со |
C1 |
|
Полиакрилонитрильные волокна |
PAN |
C1.1.1.04.01.01 |
|
Полиалкиленгликольфталатные волокна |
- |
C1.2.2.01.01 |
|
Полиамидные волокна |
PA |
C1.3.1 |
|
Полиамидные алифатические волокна |
PAA |
С1.3.1.01 |
|
Полиамидные ароматические волокна |
PAR |
C1.3.1.02 |
|
Полианарилсодержащие волокна |
- |
С1.1.1.05 |
|
Полиангалогенсодержащие волокна |
- |
С1.1.1.02 |
|
Полиангидроксилсодержащие волокна |
- |
С1.1.1.03 |
|
Полианнитрилсодержащие волокна |
- |
С1.1.1.04 |
|
Полиановые волокна |
- |
С1.1.1 |
|
Полианфторсодержащие волокна |
- |
C1.1.1.02.02 |
|
Полианхлорсодержащие волокна |
- |
С1.1.1.02.01 |
|
Полианэфирсодержащие волокна |
- |
С1.1.1.06 |
|
Полиарамидные волокна |
PAD |
С1.3.1.02.01.01 |
|
Полибензимидазольные волокна |
РВ1 |
С1.3.2.01.01.01 |
|
Полибензоксазольные волокна |
- |
С1.4.2.02 |
|
Поли-g-бутироамидные волокна |
РА-4 |
С1.3.1.01.01.01 |
|
Поливинилацетатные волокна |
PVAC |
С1.1.1.06.01.01 |
|
Поливинилиденфторидные волокна |
PVDF |
С1.1.1.02.02.01 |
|
Поливинилиденхлоридные волокна |
PVD |
С1.1.1.02.01.01 |
|
Поливинилспиртовые волокна |
PVA |
C1.1.1.03.01.01 |
|
Поливинилфторидные волокна |
PVF |
С1.1.1.08.01.01 |
|
Поливинилхлоридные волокна |
PVC |
С1.1.1.02.01.02 |
|
Поливинилхлоридные хлорированные волокна |
PVCC |
С1.1.1.02.01.03 |
|
Полигексаметиленадипинамидные волокна |
РА-6,6 |
С1.3.1.01.01.03 |
|
Полигексаметиленсебацинамидные волокна |
РА-6,10 |
С1.3.1.01.01.04 |
|
Полиимидазольные волокна |
- |
С1.3.2.01 |
|
Полиимидные волокна |
РМ1 |
С1.3.2.02 |
|
Поли-e-капроамидные волокна |
РА-6 |
С1.3.1.01.01.02 |
|
Поликарбонатные волокна |
РК |
С1.2.2.01.02 |
|
Полиметиленоксидные волокна |
PFD |
С1.2.1.01.01.01 |
|
Полиоксадиазольные волокна |
- |
C1.4.2.01 |
|
Полиолефиновые волокна |
PO |
С1.1.1.01 |
|
Полипропиленовые волокна |
РР |
С1.1.1.01.01.01 |
|
Полистирольные волокна |
PVB |
С1.1.1.05.01.01 |
|
Полисульфоарамидные волокна |
PAS |
С1.3.1.02.01.02 |
|
Политетрафторэтиленовые волокна |
PTF |
С1.1.1.02.02.03 |
|
Поли-ω-ундеканамидные волокна |
РА-11 |
С1.3.1.01.01.06 |
|
Полиуретановые волокна |
PU |
С1.4.1 |
|
Полицианилвинилиденовые волокна |
PAVD |
C1.1.1.04.01.02 |
|
Полиэнантоамидные волокна |
РА-7 |
С1.3.1.01.01.05 |
|
Полиэтиленовые волокна |
РТ |
С1.1.1.01.01.02 |
|
Полиэтилентерефталатные волокна |
РТЕ |
С1.2.2.01.01.01 |
|
Полиэфирные простые волокна |
- |
С1.2.1 |
|
Полиэфирные простые алифатические волокна |
- |
С1.2.1.01 |
|
Полиэфирные сложные волокна |
РЕ |
С1.2.2 |
|
Полиэфирные сложные ароматические волокна |
- |
С1.2.2.01 |
|
Соевые волокна |
BKC |
С1.4.3.01.06 |
|
Стеклянные волокна |
GL |
С2.2.01 |
|
Триацетатные волокна |
ТС |
С1.2.3.01.02.02 |
|
Фиброиновые волокна |
BKF |
С1.4.3.01.04 |
|
Химические волокна |
С |
С |
|
Целлюлозные волокна |
CZ |
С1.2.3.01 |
|
Шлаковые волокна |
SL |
C2.3.01 |
*Условные обозначения будут установлены или скорректированы после согласования соответствующих обозначений в документе ИСО/ТК 38/С18.
5.2. Условные обозначения химических волокон по формам изготовления
|
Условное обозначение |
Индекс |
|
|
Волокно |
F |
C3.2 |
|
Волос |
Fb |
C3.2.01 |
|
Жгут |
К |
C3.3 |
|
Жгутик |
Kb |
C3.3.02 |
|
Комплексная нить |
SK |
с3.1.03 |
|
Конверторная лента |
в |
C3.3.01 |
|
Леска |
D |
С3.1.06 |
|
Мононить |
SM |
C3.1.02 |
|
Нить |
s |
C3.1 |
|
Трощеная нить |
ST |
C3.1.04 |
|
Фибриллированная нить |
SF |
C3.1.05 |
|
Щетина |
Bo |
C3.1.07 |
|
Элементарная нить |
f |
С3.1.01 |
5.3. Условные обозначения химических волокон по назначению
|
Условное обозначение |
Индекс |
|
|
Текстильные |
ft |
С4.1 |
|
Технические |
gt |
С4.2 |
|
Прочие |
st |
C4.3 |
5.4. Условные обозначения химических волокон по типам вы работки
|
Условное обозначение |
Индекс |
|
|
Антистатичный |
ast |
C5.1 |
|
Бактерицидный |
bс |
C5.2 |
|
Белый |
ws |
C5.3 |
|
Блестящий |
gl |
С5.4 |
|
Воднообработанный |
wa |
C5.5 |
|
Высокомодульный в мокром состоянии |
wm |
C5.6 |
|
Высокообъемный |
wo |
C5.7 |
|
Высокопрочный |
hf |
C5.8 |
|
Высокопрочный в мокром состоянии |
hnf |
С5.9 |
|
Высокорастяжимый |
wsr |
С5.10 |
|
Высокоусадочный |
wus |
C5.11 |
|
Вытянутый |
rw |
C5.12 |
|
Вытянутый частично |
tr |
C5.13 |
|
Десульфированный |
ds |
С5.14 |
|
Джутовый |
jt |
С5.15 |
|
Жаростойкий |
zs |
C5.16 |
|
Извитый |
kr |
C5.17 |
|
Ковровый |
tt |
С5.18 |
|
Кордный |
kt |
C5.19 |
|
Крашеный |
fb |
С5.20 |
|
Крашенный в массе |
sfb |
C5.21 |
|
Круглый |
rd |
С5.22 |
|
Ленточный |
ba |
C5.23 |
|
Льняной |
lt |
С5.24 |
|
Малорастяжимый |
mr |
С5.25 |
|
Малоусадочный |
mus |
С5.26 |
|
Матированный |
mt |
С5.27 |
|
Меновой |
pt |
C5.28 |
|
Модифицированный |
md |
C5.29 |
|
Наполненный |
na |
C5.30 |
|
Невытянутый |
ur |
С5.31 |
|
Негорючий |
ng |
C5.32 |
|
Неизвитый |
hkr |
C5.33 |
|
Неокрашенный |
nk |
C5.34 |
|
Огнестойкий |
ogs |
C5.35 |
|
Оптически отбеленный |
oa |
С5.36 |
|
Отбеленный |
bl |
С5.37 |
|
Пиллингоустойчивый |
pu |
C5.38 |
|
Плоский |
fl |
C5.39 |
|
Пневмосоединенный |
pms |
C5.40 |
|
Подматированный |
pm |
C5.41 |
|
Подшлихтов энный |
psl |
C5.42 |
|
Полый |
no |
C5.43 |
|
Профилированный |
pf |
C5.44 |
|
Светостойкий |
lb |
C5.45 |
|
С колебанием по толщине |
fs |
C5.46 |
|
Соцолимеры |
sp |
С5.47 |
|
Среднерастяжимый |
sr |
C5.48 |
|
Текстурированный |
te |
C5.49 |
|
Термостабилизированный |
ts |
C5.50 |
|
Термостойкий |
wb |
C5.51 |
|
Усадочный |
us |
C5.52 |
|
Фиксированный |
fx |
C5.53 |
|
Хемосорбционный |
hs |
С5.54 |
|
Хлопковый |
bt |
C5.55 |
|
Шерстяной |
wt |
C5.56 |
|
Шлихтованный |
sl |
C5.57 |
|
Эластамерный |
el |
C5.58 |
1. Автор - Институт СЭВ по стандартизации.
2. Тема 36.200.02-77.
3. Стандарт СЭВ утвержден на 44-м заседании ПКС.
4. Сроки начала применения стандарта СЭВ:
|
Срок начала применения стандарта СЭВ в договорно-правовых отношениях по экономическому и научно-техническому сотрудничеству |
Срок начала применения стандарта СЭВ в народном хозяйстве |
|
|
НРБ |
Июнь 1981 г. |
Декабрь 1981 г. |
|
ВНР |
Январь 1981 г. |
Январь 1983 г. |
|
ГДР |
|
|
|
Республика Куба |
|
|
|
МНР |
|
|
|
ПНР |
Январь 1981 г. |
Январь 1982 г. |
|
СРР |
|
|
|
СССР |
Январь 1981 г. |
Январь 1981 г. |
|
ЧССР |
|
|
5. Срок первой проверки - 1985 г., периодичность проверни - 10 лет.
6. Использованные документы: ИСО 2-1973, ИСО 1139-1973, ИСО 2076-1973.