Lifts (elevators), escalators and passenger conveyors. Rick analysis methodology

ГОСТ Р ИСО/ТС 14798-2003

НАЦИОНАЛЬНЫЙ СТАНДАРТ РОССИЙСКОЙ ФЕДЕРАЦИИ

ЛИФТЫ, ЭСКАЛАТОРЫ
И ПАССАЖИРСКИЕ КОНВЕЙЕРЫ

Методология анализа риска

ГОССТАНДАРТ РОССИИ
Москва

Предисловие

1 РАЗРАБОТАН ОАО Мос Отис, Акционерной компанией «Лифт» и Госгортехнадзором РФ

ВНЕСЕН Техническим комитетом по стандартизации ТК 209 «Лифты, строительные подъемники и эскалаторы»

2 ПРИНЯТ И ВВЕДЕН В ДЕЙСТВИЕ Постановлением Госстандарта России от 29 августа 2003 г. № 259-ст

3 Настоящий стандарт идентичен международному стандарту ИСО/ТС 14798:2000 «Лифты, эскалаторы и пассажирские конвейеры. Методология анализа риска»

4 ВВЕДЕН ВПЕРВЫЕ

СОДЕРЖАНИЕ

1 Область применения. 2

2 Нормативные ссылки. 2

3 Термины и определения. 2

4 Анализ рисков. 3

4.1 Основная концепция. 3

4.2 Процесс оценки рисков. 4

4.2.1 Этап 1. Определение целей оценки рисков. 4

4.2.2 Этап 2. Формирование рабочей группы для оценки рисков. 4

4.2.3 Этап 3. Определение продукта технологических процессов и области их применения, подлежащих анализу. 5

4.2.4 Этап 4. Идентификация опасностей. 5

4.2.5 Этап 5. Определение рисков. 6

4.2.6 Этап 6. Исходная и расчетная оценки рисков. 6

4.2.7 Этап 7. Оценка допустимости достигнутых рисков. 7

4.2.8 Этап 8. Документация. 7

Приложение А. Образец документации. 7

Приложение Б. Перечень основных ключевых слов. 7

Приложение В. Шкала количественной оценки. 8

Приложение Г. Профиль рисков. 9

Приложение Д. Пример анализа риска. 10

Приложение Е. Библиография. 12

Введение

Настоящий стандарт разработан для удовлетворения потребности в едином руководящем документе по оценке требований по безопасности, содержащихся в нормативных документах по лифтам, эскалаторам и пассажирским конвейерам.

Использование стандарта обеспечит упорядоченный подход к идентификации и оценке вероятных опасностей и рисков, а также определению надлежащих мер по их снижению.

Стандарт разработан с учетом ГОСТ Р 51898 и ПБ 10-588-03 «Правила устройства и безопасной эксплуатации лифтов».

ГОСТ Р ИСО/ТС 14798-2003

НАЦИОНАЛЬНЫЙ СТАНДАРТ РОССИЙСКОЙ ФЕДЕРАЦИИ

ЛИФТЫ, ЭСКАЛАТОРЫ И ПАССАЖИРСКИЕ КОНВЕЙЕРЫ

Методология анализа риска

Lifts (elevators), escalators and passenger conveyors.

Risk analysis methodology

Дата введения 2004-01-01

1 Область применения

Настоящий стандарт устанавливает требования и процедуры по оценке рисков для лифтов, эскалаторов и пассажирских конвейеров.

Стандарт предназначен для использования экспертами по промышленной безопасности, подготовленными в области методологии оценки рисков при определении безопасности работы оборудования и разработке требований безопасности в правилах и стандартах.

2 Нормативные ссылки

В настоящем стандарте использована ссылка на ГОСТ Р 51898-2002 Аспекты безопасности. Правила включения в стандарты.

Примечание - Международные стандарты, руководства и документы по вопросам, включенным в настоящий стандарт, приведены в приложении Е.

3 Термины и определения

В настоящем стандарте применены следующие термины с соответствующими определениями.

3.1 причина (повод): Побудительный механизм, вызывающий опасное последствие.

3.2 частота: Вероятность появления последствия (возникновения опасного события).

3.3 ущерб: Нанесение физического повреждения или другого вреда здоровью людей, или вреда имуществу или окружающей среде (ГОСТ Р 51898).

3.4 опасность: Потенциальный источник возникновения ущерба.

Примечание - Термин «опасность» может быть конкретизирован в части определения природы опасности или вида ожидаемого ущерба (например, опасность электрического шока, опасность разрушения, травматическая опасность, токсическая опасность, опасность пожара, опасность утонуть. См. ГОСТ Р 51898).

3.5 опасное событие: Явление, событие, приводящее к возникновению вреда (ущерба).

3.6 опасная ситуация: Обстоятельства, в которых люди, имущество или окружающая среда подвергаются опасности (ГОСТ Р 51898).

3.7 последствие (эффект): Непредвиденное событие или явление, приводящее, но не обязательно, к причинению вреда/ущерба (гибель, травмирование людей, повреждение имущества или ущерб окружающей среде).

3.8 крупное повреждение: Ущерб, который нельзя устранить без замены или ремонта основных компонентов системы.

3.9 мелкое повреждение: Ущерб, устраняемый ремонтом или заменой неосновных компонентов системы.

3.10 легкая травма: Ухудшение здоровья, которое можно восстановить.

3.11 легкое заболевание: Болезнь, которую можно вылечить.

3.12 серьезная травма: Ухудшение здоровья, имеющее необратимый характер.

3.13 серьезное заболевание: Болезнь, имеющая необратимый характер.

3.14 тяжесть: Качественная мера наихудшего возможного последствия, вызываемого определенной опасностью.

3.15 риск: Вероятность причинения вреда жизни, здоровью физических лиц, окружающей среде, в том числе жизни и здоровью животных или растений, имуществу физических или юридических лиц, государственному или муниципальному имуществу, с учетом тяжести этого вреда.

3.16 остаточный риск: Риск, остающийся после предпринятых защитных мер (ГОСТ Р 51898).

3.17 допустимый риск: Риск, который в данной ситуации считают приемлемым при существующих общественных ценностях (ГОСТ Р 51898).

3.18 анализ риска: Систематическое использование информации для выявления опасности и количественной оценки риска (ГОСТ Р 51898).

Примечание - Этот метод направлен на системную идентификацию и оценку опасностей и рисков, а также на рекомендацию мер по их уменьшению.

3.19 оценка риска: Процесс, используемый для определения вероятности (или частоты) и степени тяжести последствий реализации опасности аварий для здоровья человека, имущества и (или) окружающей природной среды. Оценка риска включает в себя анализ вероятности (или частоты), анализ последствий и их сочетаний (ПБ 10-558-03) [1].

3.20 процедура оценки рисков: Общий процесс, включающий в себя анализ и оценку рисков.

3.21 профиль рисков: Средства принятия решения, состоящие из х-у-матрицы, которая используется для наглядного представления оцененных опасностей.

3.22 защитная мера: Мера, используемая для уменьшения риска (ГОСТ Р 51898).

Примечание - Защитные меры включают в себя уменьшение риска за счет безопасной конструкции изделия, применения защитных устройств и индивидуального защитного оборудования, информацию по безопасному использованию и монтажу оборудования и обучению обслуживающего персонала.

3.23 система: Комбинация находящихся в отношениях и связях людей, процедур, технических устройств и/или оборудования, образующих инфраструктуру для выполнения определенной задачи в определенных условиях.

4 Анализ рисков

4.1 Основная концепция

Анализ рисков - это последовательность действий, позволяющих системно анализировать опасности, их причины и последствия.

Идентификация опасностей с последующей оценкой тяжести и частоты последствий позволяет определить степень риска для конкретной опасности. Каждую опасность и ее последствия оценивают и либо устраняют, либо снижают до допустимого уровня соответствующими защитными мерами

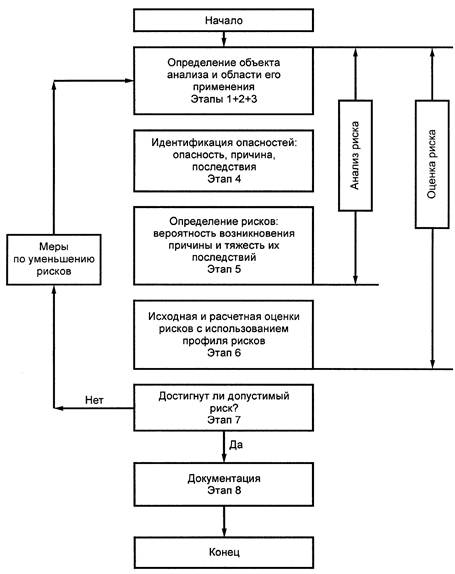
Поэтапная методика оценки рисков (см. рисунок 1) базируется в основном на определениях, требованиях и процессах, описанных в ГОСТ Р 51898 и документах, приведенных в приложении Е.

4.2 Процесс оценки рисков

4.2.1 Этап 1. Определение целей оценки рисков

Процесс оценки рисков предусмотрен для следующих целей:

а) разработка требований/стандартов по безопасности;

б) анализ и оценка эффективности требований/стандартов по безопасности;

в) разработка связанных с безопасностью узлов (механизмов, машин) в случаях отсутствия стандартов по их безопасности или их неприменимости;

г) подтверждение того, что уровень риска, связанный с некоторым оборудованием и/или установкой, является допустимым.

4.2.2 Этап 2. Формирование рабочей группы для оценки рисков

Для оценки рисков следует создать рабочую группу и выбрать руководителя/координатора.

Рисунок 1 - Общая схема оценки рисков

Руководитель/координатор и члены рабочей группы должны иметь достаточные знания об оцениваемых продуктах или технологических процессах.

4.2.3 Этап 3. Определение продукта технологических процессов и области их применения, подлежащих анализу

а) Продукты, технологические процессы:

1) правила и стандарты;

2) электрическое, гидравлическое и механическое оборудование;

3) аппаратные и программные средства;

4) рабочие процессы;

5) рабочие параметры, например рабочий цикл, пределы нагрузки, условия эксплуатации.

б) Стадии создания и жизненного цикла:

1) конструирование;

2) изготовление;

3)транспортировка;

4) монтаж;

5) использование по назначению;

6) техническое обслуживание;

7) демонтаж и утилизация;

8) модернизация;

9) обучение;

10) документация,

в) Применение:

1) перевозка пассажиров;

2) перевозка грузов.

4.2.4 Этап 4. Идентификация опасностей

4.2.4.1 Опасную ситуацию идентифицируют путем определения опасности, причины и последствия.

4.2.4.2 Системный подход к идентификации опасных ситуаций (опасности, причины и последствия) должен стать основой для исчерпывающей идентификации рисков, их анализа, оценки и принятия эффективных мер по снижению рисков.

В приложениях А и Б приведены формы результатов анализа рисков и обобщенный перечень «ключевых слов» по потенциально опасным условиям.

4.2.4.3 Общая методология идентификации опасных ситуаций (опасности, причины и последствия), предназначенная для использования рабочей группой при оценке рисков, включает в себя следующие действия:

а) внимательно изучить перечень ключевых слов (приложение Б), способствующих идентификации каждого типа опасности, которая может возникнуть или имеется в течение всего жизненного цикла продукта, системы или технологического процесса;

б) уточнить этот перечень для соответствия области анализа рисков;

в) ввести информацию об идентифицированных опасных ситуациях (опасности, причины и последствия) в соответствующую графу таблицы (см. приложение А).

4.2.4.4 Процесс идентификации должен включать в себя:

а) опасности, присущие системе/процессу (см. Б.1, приложение Б), характеризующие анализируемую систему или технологический процесс, в том числе опасности, которые взаимосвязаны с использованием системы/технологического процесса, средств передачи энергии или приведения в движение, применяемых материалов и т.д.;

б) опасности вследствие неисправностей системы или оборудования (см. Б.2, приложение Б), возникающие по причине поломки или неисправности систем, подсистем, компонентов и процессов, связанных с безопасностью. При необходимости такие опасности можно определять методами анализа неисправностей и последствий, методами критического анализа неисправностей и последствий, методами древовидного анализа сбоев и событий и т.д.;

в) опасности вследствие внешних влияний (см. Б.3, приложение Б), являющиеся результатом влияния на безопасные условия работы внешних факторов, таких как температура, вода, ветер, климатические условия, молния, огонь, землетрясения, электромагнитная совместимость, условия в здании и т.д.;

г) опасности вследствие использования технологических процессов и применения (см. Б.4, приложение Б), связанные с правильным/неправильным использованием системы или технологического процесса. Сюда относятся факторы безопасного взаимодействия человека и машины, эргономика и потенциальные опасности неправильного использования;

д) опасности вследствие действия фактора этапов жизненного цикла оборудования (см. Б.5, приложение Б), связанные с фактором времени. Сюда относятся влияющие на безопасность изменения в работе системы из-за старения и износа оборудования/компонентов, заменяемых частей и т.д.

4.2.5 Этап 5. Определение рисков

4.2.5.1 Следует определить причину и последствие каждой опасности в функции вероятности возникновения причины и тяжести ее последствия(й). Сочетание тяжести и частоты количественно определяет риск, связанный с опасностью. На рисунке 2 дана схема представления определения рисков.

4.2.5.2 В приложении В приведена шкала оценки рисков, определяющая категории тяжести последствий, частоту возникновения опасных событий (причин).

4.2.5.3 Если рабочая группа для оценки рисков не может достичь согласия по условиям тяжести и частоты, сама опасность, ее причина и последствия должны повторно анализироваться (по этапу 4) для их повторного определения.

Риск,

относящийся к анализируемой опасности

является функцией

Тяжесть

вероятного последствия анализируемой опасности

и

Частота (вероятность) возникновения последствия

сама является функцией:

- частоты и продолжительности воздействия;

- частоты опасных событий;

- вероятности исключения или ограничения вреда

Примечания

1 Тяжесть должна оцениваться как фактор, воздействующий на жизнь людей, имущество и окружающую среду.

2 Оценка частоты должна учитывать:

а) частоту опасных событий;

б) частоту и продолжительность воздействия;

в) человеческие и технические возможности исключения или ограничения вреда (ущерба) (например, осведомленность о риске, снижение скорости, аварийный режим, остановочные устройства, устройства разблокировки)

Рисунок 2 - Схема представления определения рисков

4.2.6 Этап 6. Исходная и расчетная оценки рисков

Следует оценить результаты определения исходного и расчетного рисков. Для этого используют таблицу Г.1 и рисунки Г.1, Г.2 (приложение Г). Если степень риска не является допустимой, требуются дополнительные меры по снижению риска.

Должны быть задействованы следующие процедуры:

а) устранить опасность, если возможно (изменением конструкции или ее заменой);

б) если идентифицированную опасность нельзя устранить, следует принять необходимые меры для снижения риска до приемлемого уровня. Такие меры включают в себя изменение конструкции оборудования, изменение технологических процессов, использование ограждений для оборудования и т.д.;

в) информировать пользователей системы/технологического процесса об остаточных рисках. Профилактические меры включают в себя информирование, обучение, использование предупредительных знаков, индивидуального защитного оборудования и т.д.

Пример анализа рисков см. в приложении Д.

4.2.7 Этап 7. Оценка допустимости достигнутых рисков

Если оценка риска все еще указывает, что остаточный риск недопустим, следует повторить весь процесс, начиная с этапа 4.

4.2.8 Этап 8. Документация

Следует документально оформить результат оценки рисков (см. приложение А). Комплект документации как минимум должен содержать:

а) определение анализируемых систем/технологического процесса;

б) определение опасных ситуаций (опасности, причины и последствия), определение оценки рисков;

в) справочную информацию и ее источники, например правила и стандарты, чертежи, расчеты конструкции, указание изготовителей и т.д.;

г) предлагаемые меры по снижению рисков и остаточные риски;

д) профили рисков:

1) исходный - оценка без учета защитных мер (см. рисунок Г.1, приложение Г);

2) расчетный - оценка, предполагающая принятие защитных мер (см. рисунок Г.2, приложение Г).

ПРИЛОЖЕНИЕ А

(обязательное)

Образец документации

Объект анализа рисков ______________ Координатор____________ Дата __________

Порядковый номер

Опасность (опасная ситуация)

Опасное событие (причина)

Последствие (эффект)

Исходная оценка

Корректирующее действие (меры по снижению риска)

Расчетная оценка

Остаточный риск

S

F

S

F

S - тяжесть последствия:

I - катастрофическая;

II - критическая;

III - незначительная;

IV - не принимаемая в расчет.

F - частота возникновения опасного события (причины):

А - частая;

В - вероятная;

С - редкая;

D - маловероятная;

Е - невероятная;

F - невозможная.

ПРИЛОЖЕНИЕ Б

(обязательное)

Перечень основных ключевых слов

Б.1 Характеристики опасности

a) Кинематические.

b) Механические.

c) Электрические.

d) Химические.

e) Взрывчатые смеси.

f) Воспламеняемость.

g) Токсичность,

h) Излучение.

i) Давление.

j) Температура.

k) Вибрация и шум.

l) Загрязнение.

Б.2 Неисправности

a) Структурные.

b) Механические.

c) Источника электропитания, электрической системы, электрооборудования.

d) Программных средств.

e) Химические.

f) Биологические.

Б.3 Факторы влияния окружающей среды

a) Температура (см. перечисление l).

b) Влажность (см. перечисление n).

c) Ветер, погодные условия.

d) Излучение.

e) Загрязнение (см. перечисление m).

f) Механические (см. перечисление k).

g) Электрические.

h) Химические.

i) Почва.

j) Человеческий фактор.

k) Землетрясения.

l) Пожар.

m) Дым.

n) Вода.

Б.4 Использование и работа

a) Небезопасные условия.

b) Несвоевременное срабатывание.

c) Внешние влияния.

d) Неясные, ошибочные или неполные инструкции.

e) Прогнозируемое неправильное использование.

f) Отсутствие или недостаточность предупреждений/предостережений.

g) Действия продавца/покупателя.

Б.5 Жизненный цикл

a) Старение.

b) Организация.

c) Конструкция.

d) Закупка.

e) Изготовление/монтаж/сдача-приемка.

f) Испытания/техобслуживание/модернизация.

g) Маркетинг/обслуживание.

h) Утилизация.

ПРИЛОЖЕНИЕ В

(обязательное)

Шкала количественной оценки

В.1 Категории тяжести, указанные в таблице В.1, определяют количественную меру наиболее худшего возможного последствия опасной ситуации, например из-за влияния человеческого фактора, нарушений условий эксплуатации, конструктивных несоответствий, недостатков технологий, сбоев и неисправностей систем, подсистем или компонентов.

Таблица В.1 - Категория тяжести последствия

Категория тяжести

Определение

I - катастрофическая

Смерть, потеря системы или значительный ущерб окружающей среде

II - критическая

Тяжелая травма, серьезное профессиональное заболевание, серьезное повреждение системы или значительный ущерб окружающей среде

III - незначительная

Легкая травма, легкое профессиональное заболевание, мелкое повреждению системы или незначительный ущерб окружающей среде

IV - не принимаемая в расчет

Не приводящая к травме, профессиональному заболеванию, повреждению системы или ущербу окружающей среде

Примечание - Определение категорий тяжести должно отражать общее задание, которое анализируется, например:

1) использованием лифтов пожарными;

2) использованием лифтов лицами с физическими недостатками.

В.2 Частоты возникновения опасной ситуации (таблица В.2) определяют количественную меру вероятности того, что опасность в результате опасного события (причины) приведет к последствиям, которые будут иметь место в течение планируемого жизненного цикла системы.

Таблица В.2 - Уровни частоты

Уровень частоты

Определение

А - частый

Возникает часто

В - вероятный

Возникает несколько раз в течение жизненного цикла системы

С - редкий

Возникает как минимум один раз в течение жизненного цикла системы

D - маловероятный

Возможно возникает в течение жизненного цикла системы

Е - невероятный

Настолько маловероятно, что можно предположить, что вообще не возникает

F - невозможный

Опасное событие не может возникнуть, пока оно не вызвано преднамеренным действием

ПРИЛОЖЕНИЕ Г

(обязательное)

Профиль рисков

Таблица Г.1 - Оценка рисков

Частота

Тяжесть последствия

I - катастрофическая

II - критическая

III - незначительная

IV - не принимаемая в расчет

А - частая

IA

IIА

IIIА

IVA

В - вероятная

IB

IIВ

IIIВ

IVB

С - редкая

IIС

IIIС

IVC

D - маловероятная

ID

IID

IIID

IVD

Е - невероятная

IE

IIЕ

IIIЕ

IVE

F - невозможная

IF

IIF

IIIF

IVF

 

Неправильно - IA, IB, IС, IIА, IIВ, IIIА

Для устранения рисков требуется корректирующее действие

Нежелательно - ID, IIС, IIIВ

Для ослабления рисков требуется корректирующее действие

Приемлемо с проверкой - IE, IID, IIE, IIIC, IIID, IVA, IVB

Для определения необходимости каких-либо действий требуется проверка

Приемлемо без проверки - IF, IIF, IIIЕ, IIIF, IVC, IVD, IVE, IVF

Никаких действий не требуется

 

Частота/вероятность опасного события

А

В

С

D

Е

F

Исходная оценка рисков

I

II

III

IV

Тяжесть последствия

 

Частота (вероятность) возникновения опасного события

Тяжесть последствия

А - частая;

I - катастрофическая;

В - вероятная;

II - критическая;

С - редкая;

III - незначительная;

D - маловероятная;

IV - не принимаемая в расчет

Е - невероятная;

F - невозможная.

Примечание - Эта форма должна использоваться для введения в соответствующее поле номера анализируемой опасности (опасного случая) для исходной оценки риска без учета корректирующих действий (см. 4.2.6, этап 6).

Рисунок Г.1 - Образец исходного профиля рисков

Частота/вероятность опасного события

А

В

С

D

Е

F

Исходная оценка рисков

I

II

III

IV

Тяжесть последствия

 

Частота (вероятность) возникновения опасного события

Тяжесть последствия

А - частая;

I - катастрофическая;

В - вероятная;

II - критическая;

С - редкая;

III - незначительная;

D - маловероятная;

IV - не принимаемая в расчет

Е - невероятная;

F - невозможная.

Примечание - Эта форма должна использоваться для введения в соответствующее поле номера корректирующего действия к анализируемой опасности (опасному случаю) для расчетной оценки риска с учетом корректирующих действий (см. 4.2.6, этап 6).

Рисунок Г.2 - Образец расчетного профиля рисков

ПРИЛОЖЕНИЕ Д

(справочное)

Пример анализа риска

Объект анализа рисков: валун на склоне горы                         Дата________________

Порядковый номер

Опасность (опасная ситуация)

Опасное событие (причина)

Последствия (эффект)

Исходная оценка

Корректирующее действие (меры по снижению риска)

Расчетная оценка

Остаточный риск

S

F

S

F

1

На склоне горы лежит валун. Он неподвижен в течение нескольких веков. Ниже по склону расположен дом. Территория находится на границе сейсмозоны. Поблизости происходили камнепады. В доме и около него возможно нахождение людей

Валун приходит в движение

Дом внизу будет полностью разрушен.

I

С

Устранение опасности

IV

F

Отсутствует

1.1 Удалить или разрушить валун

Люди могут получить ранения или погибнуть

Уменьшение опасности

IV

С

Дом будет поврежден незначительно. Люди в доме не пострадают

1.2 Уменьшить размер валуна

Уменьшение опасности

III

Е

Участок земли может быть поврежден валуном

1.3 Переместить дом

Защитная мера

1

Е

Эффективность защитной меры определится только после события. Людям все еще может быть причинен вред

1.4 Построить защитную стену

Предупреждение

1

D

Опасная ситуация не исчезает, но снижается вероятность последствий

1.5 Установить устройство контроля за валуном, сигнализирующее в случае подвижки валуна

Предупреждение

1

С

Опасная ситуация не исчезает, но люди будут предупреждены

1.6 Установить предупредительный сигнал о возможном опасном движении валуна

Объект анализа рисков: валун на склоне горы      Координатор_________________

Дата____________________

Частота/вероятность опасного события

А

В

С

I

D

Е

F

Исходная оценка рисков

I

II

III

IV

Тяжесть последствия

 

Частота (вероятность) возникновения опасного события

Тяжесть последствия

А - частая;

I - катастрофическая;

В - вероятная;

II - критическая;

С - редкая;

III - незначительная;

D - маловероятная;

IV - не принимаемая в расчет

Е - невероятная;

F - невозможная.

Примечание - Эта форма должна использоваться для введения в соответствующее поле номера анализируемой опасности (опасного случая) для исходной оценки риска без учета корректирующих действий (см. 4.2.6, этап 6).

Рисунок Д.1 - Исходный профиль рисков для случая 1

Частота/вероятность опасного события

А

В

С

1.6

D

1.5

1.2

Е

1.4

1.3

F

1.1

Исходная оценка рисков

I

II

III

IV

Тяжесть последствия

 

Частота (вероятность) возникновения опасного события

Тяжесть последствия

А - частая;

I - катастрофическая;

В - вероятная;

II - критическая;

С - редкая;

III - незначительная;

D - маловероятная;

IV - не принимаемая в расчет

Е - невероятная;

F - невозможная.

Примечание - Эта форма должна использоваться для введения в соответствующее поле номера корректирующего действия к анализируемой опасности (опасному случаю) для расчетной оценки риска с учетом корректирующих действий (см. 4.2.6, этап 6).

Рисунок Д.2 - Расчетный профиль рисков для случая 1

ПРИЛОЖЕНИЕ Е

(справочное)

Библиография

[1] ПБ 10-558-03

Правила устройства и безопасной эксплуатации лифтов. Госгортехнадзор РФ, 2003 г.

[2] ИСО/ТО 12100-1-92 (ISO/TR 12100-1:1992)

Безопасность машин. Основные концепции, общие принципы конструирования. Часть 1. Основная терминология и методология (Safety of machinery - Basic concepts and general principles for design - Part 1: Basic terminology and methodology)

ИСО/ТО 12100-2-92 (ISO/TR 12100-2:1992)

Безопасность машин. Основные концепции, общие принципы конструирования. Часть 2. Технические принципы (Safety of machinery - Basic concepts and general principles for design - Part 2: Technical principles)

ИСО 14121-99 (ISO 14121:1999)

Безопасность машин. Принципы оценки рисков (Safety of machinery - Principles of risk assessment).

Военный стандарт США - 882С-1987 (US MIL STD - 882C:1987)

Программные требования к безопасности системы. Министерство обороны США (System Safety Program Requirements. Department of Defense)

ЦХА - Руководство, 1987 (ZHA - Guide: 1987)

Цюрихский метод анализа опасностей. Краткое введение (Zurich hazard analysis: a brief introduction to the Zurich method of hazard analysis)

 

Ключевые слова: лифты, эскалаторы, пассажирские конвейеры, методология анализа риска