Государственная система санитарно-эпидемиологического нормирования
4.1. МЕТОДЫ КОНТРОЛЯ. ХИМИЧЕСКИЕ ФАКТОРЫ
Измерение концентраций
вредных веществ
в воздухе рабочей зоны
Сборник методических указаний
МУК 4.1.0.272 - 4.1.0.340 - 96
Выпуск 31
Минздрав России
Москва · 1999
1. Методические указания разработаны с целью обеспечения контроля соответствия фактических концентраций вредных веществ их предельно допустимым концентрациям (ПДК) и ориентировочным безопасным уровням воздействия (ОБУВ) - санитарно-гигиеническим нормативам - и являются обязательными при осуществлении санитарного контроля.
2. Методические указания по измерению концентраций вредных веществ в воздухе рабочей зоны утверждены и.о. Председателя Госкомсанэпиднадзора России - заместителем Главного Государственного санитарного врача Российской Федерации 8 июня 1996 г.
3. Введены впервые.
4. Включенные в данный выпуск «Методические указания по измерению концентраций вредных веществ в воздухе рабочей зоны» разработаны и подготовлены в соответствии с требованиями ГОСТа 12.1.005-88 ССБТ «Воздух рабочей зоны. Общие санитарно-гигиенические требования», ГОСТа 12.1.016-79 ССБТ «Воздух рабочей зоны. Требования к методикам измерения концентраций вредных веществ», ГОСТа Р 1.5-92 п. 7.3, ГОСТа 8.010-90.
Методические указания одобрены комиссией по государственному санитарно-эпидемиологическому нормированию при Госкомсанэпиднадзоре России и Проблемной комиссией «Научные основы гигиены труда и профпатологии».
Методические указания по измерению концентраций вредных веществ в воздухе рабочей зоны (выпуск 31) предназначены для центров госсанэпиднадзора, санитарных лабораторий промышленных предприятий при осуществлении контроля за содержанием вредных веществ в воздухе рабочей зоны, а также НИИ МЗ России и заинтересованных министерств и ведомств.
Ответственный исполнитель: Г.А. Дьякова.
Исполнители Л.Г. Макеева, Е.М. Малинина, С.М. Попова, Н.С. Горячев, М.И. Аржанова, Т.В. Рязанцева, Е.Н. Грицун.
УТВЕРЖДЕНО |
||
|
И.о. Председателя Госкомсанэпиднадзора Г.Г. Онищенко 8 июня 1996 г. МУК 4.1.0.289-96 Дата введения: с момента утверждения |
4.1. МЕТОДЫ КОНТРОЛЯ. ХИМИЧЕСКИЕ ФАКТОРЫ
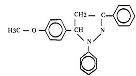
Спектрофотометрическое измерение концентрации 1,3-дифенил-5-(4-метоксифенил)-пиразолина в воздухе рабочей зоны
М. м. 328,415
1,3-дифенил-5-(4-метоксифенил)-пиразолин - порошок белого цвета. Тплав. 122 - 130 °С, растворим в ацетоне, горячем этиловом спирте. Не растворяется в воде.
В воздухе находится в виде аэрозоля.
Биологическое действие 1,3-дифинил-5-(4-метоксифенил)-пиразолина не выяснено, легко проникает в организм через кожу.
ОБУВ в воздухе - 10,0 мг/м3.
Метод основан на реакции окисления 1,3-дифенил-5(метоксифенил)-пиразолина азотной кислотой и последующем фотометрическом измерении окрашенного продукта реакции при 420 нм.
Отбор проб проводится с концентрированием на фильтр.
Нижний предел измерения 1,3-дифенил-5-(4-метоксифенил)-пиразолина в анализируемом объеме раствора - 5 мкг.
Нижний предел измерения 1,3-дифенил-5-(4-метоксифенил)-пиразолина в воздухе (при отборе 5 л воздуха) - 5 мг/м3.
Диапазон измеряемых концентраций от 5 до 50 мг/м3.
Измерению не мешают: метоксихалкон, анисовый альдегид.
Суммарная погрешность измерения не превышает ±25 %.
Время выполнения анализа, включая отбор проб, - 40 мин.
Спектрофотометр
Аспирационное устройство
Фильтродержатель ТУ 957205-77
Пробирки, вместимостью 10 мл ГОСТ 10515-75
Пипетки, вместимостью 1, 2, 5 мл ГОСТ 20292-74
Колбы мерные, вместимостью 100 мл ГОСТ 1770-74
1,3-Дифенил-5-(4-метоксифенил)-пиразолин, х. ч.
Ацетон, х. ч. ГОСТ 2603-79
Азотная кислота, х. ч. ГОСТ 4461-77
Гидроокись калия, ч, д. а., 5 %-ный раствор ГОСТ 4203-65
Стандартный раствор 1,3-дифенил-5-(4-метоксифенил)-пиразолина с концентрацией вещества 100 мкг/мл готовят растворением 0,01 г 1,3-дифенил-5-(4-метоксифенил)-пиразолина в 100 мл ацетона. Раствор устойчив в течение дня.
Фильтры бумажные «синяя лента» ТУ 6-09-1678-72
Воздух с объемным расходом 2 л/мин аспирируют через фильтр, помещенный в фильтродержатель. Для измерения 0,5 ПДК достаточно отобрать 5 л воздуха. Пробы могут храниться в течение дня.
Градуировочные растворы готовят согласно таблице.
Таблица
Шкала градуировочных растворов
|
Номер стандарта |
Стандартный раствор № 1, мл |
Ацетон, мл |
Содержание 1,3-дифенил-5-(4-метоксифенил)-пиразолина, мкг |
|
1 |
0 |
2 |
0 |
|
2 |
0,05 |
1,95 |
5 |
|
3 |
0,1 |
1,9 |
10 |
|
4 |
0,2 |
1,8 |
20 |
|
5 |
0,3 |
1,7 |
30 |
|
6 |
0,4 |
1,6 |
40 |
|
7 |
0,5 |
1,5 |
50 |
Во все пробирки шкалы добавляют по 1 мл концентрированной азотной кислоты, 1,5 мл 5 %-ного раствора гидроокиси калия, тщательно перемешивают и измеряют оптическую плотность при длине волны 420 нм в кюветах с толщиной поглощающего слоя 1 см по отношению к раствору сравнения, не содержащему определяемое вещество. Шкала градуировочных растворов устойчива в течение дня.
Строят градуировочный график: на ось ординат наносят значения оптических плотностей градуировочных растворов, на ось абцисс - соответствующие им значения концентраций 1,3-дифенил-5-(4-метоксифенил)-пиразолина в градуировочном растворе (мкг). Проверка градуировочного графика проводится 1 раз в 3 месяца, или в случае использования новой партии реактивов.
Фильтр с отобранной пробой помещают в развернутом виде в воронку и смывают постепенно 10 мл ацетона в пробирку. Для анализа отбирают 2 мл пробы и обрабатывают аналогично градуировочным раствором. Оптическую плотность полученного раствора измеряют в сравнении с контролем, который готовят одновременно и аналогично пробам.
Количественное определение содержания 1,3-дефинил-5-(4-метоксифенил)-пиразолина (мг) во взятой аликвоте проводят по предварительно построенному градуировочному графику.
Концентрацию 1,3-дифенил-5-(4-метоксифенил)-пиразолина «С» в воздухе (мг/м3) вычисляют по формуле:
где
а - содержание 1,3-дифенил-5-(4-метоксифенил)-пиразолина в анализируемом объеме раствора пробы, найденное по градуировочному графику, мкг;
в - общий объем раствора пробы, мл;
б - объем раствора пробы, взятой для анализа, мл;
V - объем воздуха, отобранного для анализа и приведенного к стандартным условиям, л (см. приложение 1).
Методические указания разработаны Харьковским НИИ ГТиПЗ, Украина.
Приведение объема воздуха к стандартным условиям
Приведение объема воздуха к стандартным условиям (температура 20 °С и давление 760 мм рт.ст.) проводят по формуле:
где
Vt - объем воздуха, отобранного для анализа, л;
Р - барометрическое давление, кПа (101,33 кПа = 760 мм рт.ст.);
t - температура воздуха в месте отбора пробы, °С.
Для удобства расчета V20 следует пользоваться таблицей коэффициентов (приложение 2). Для приведения воздуха к стандартным условиям надо умножить Vt на соответствующий коэффициент.
Коэффициенты для приведения объема воздуха к стандартным условиям
|
°С |
Давление Р, кПа/мм рт.ст. |
|||||||||
|
97,33/730 |
97,86/734 |
98,4/738 |
98,93/742 |
99,46/746 |
100/750 |
100,53/754 |
101,06/758 |
101,33/760 |
101,86/764 |
|
|
-30 |
1,1582 |
1,1646 |
1,1709 |
1,1772 |
1,1836 |
1,1899 |
1,1963 |
1,2026 |
1,2058 |
1,2122 |
|
-26 |
1,1393 |
1,1456 |
1,1519 |
1,1581 |
1,1644 |
1,1705 |
1,1768 |
1,1831 |
1,1862 |
1,1925 |
|
-22 |
1,1212 |
1,1274 |
1,1336 |
1,1396 |
1,1458 |
1,1519 |
1,1581 |
1,1643 |
1,1673 |
1,1735 |
|
-18 |
1,1036 |
1,1097 |
1,1158 |
1,1218 |
1,1278 |
1,1338 |
1,1399 |
1,1460 |
1,1490 |
1,1551 |
|
-14 |
1,0866 |
1,0926 |
1,0986 |
1,1045 |
1,1105 |
1,1164 |
1,1224 |
1,1284 |
1,1313 |
1,1373 |
|
-10 |
1,0701 |
1,0760 |
1,0819 |
1,0877 |
1,0986 |
1,0994 |
1,1053 |
1,1112 |
1,1141 |
1,1200 |
|
-6 |
1,0540 |
1,0599 |
1,0657 |
1,0714 |
1,0772 |
1,0829 |
1,0887 |
1,0945 |
1,0974 |
1,1032 |
|
-2 |
1,0385 |
1,0442 |
1,0499 |
1,0556 |
1,0613 |
1,0669 |
1,0726 |
1,0784 |
1,0812 |
1,0869 |
|
0 |
1,0309 |
1,0366 |
1,0423 |
1,0477 |
1,0535 |
1,0591 |
1,0648 |
1,0705 |
1,0733 |
1,0789 |
|
+2 |
1,0234 |
1,0291 |
1,0347 |
1,0402 |
1,0459 |
1,0514 |
1,0571 |
1,0627 |
1,0655 |
1,0712 |
|
+6 |
1,0087 |
1,0143 |
1,0198 |
1,0253 |
1,0309 |
1,0363 |
1,0419 |
1,0475 |
1,0502 |
1,0557 |
|
+10 |
0,9944 |
0,9999 |
0,0054 |
1,0108 |
1,0162 |
1,0216 |
1,0272 |
1,0326 |
1,0353 |
1,0407 |
|
+14 |
0,9806 |
0,9860 |
0,9914 |
0,9967 |
1,0027 |
1,0074 |
1,0128 |
1,0183 |
1,0209 |
1,0263 |
|
+18 |
0,9671 |
0,9725 |
0,9778 |
0,9830 |
0,9884 |
0,9936 |
0,9989 |
1,0043 |
1,0069 |
1,0122 |
|
+20 |
0,9605 |
0,9658 |
0,9711 |
0,9783 |
0,9816 |
0,9868 |
0,9921 |
0,9974 |
1,0000 |
1,0053 |
|
+22 |
0,9539 |
0,9592 |
0,9645 |
0,9696 |
0,9749 |
0,9800 |
0,9853 |
0,9906 |
0,9932 |
0,9985 |
|
+24 |
0,9475 |
0,9527 |
0,9579 |
0,9631 |
0,9683 |
0,9735 |
0,9787 |
0,9839 |
0,9865 |
0,9917 |
|
+26 |
0,9412 |
0,9464 |
0,9516 |
0,9566 |
0,9618 |
0,9669 |
0,9721 |
0,9773 |
0,9799 |
0,9851 |
|
+28 |
0,9349 |
0,9401 |
0,9453 |
0,9503 |
0,9555 |
0,9605 |
0,9657 |
0,9708 |
0,9734 |
0,9785 |
|
+30 |
0,9288 |
0,9339 |
0,9391 |
0,9440 |
0,9432 |
0,9542 |
0,9594 |
0,9645 |
0,9670 |
0,9723 |
|
+34 |
0,9167 |
0,9218 |
0,9268 |
0,9318 |
0,9368 |
0,9418 |
0,9468 |
0,9519 |
0,9544 |
0,9595 |
|
+38 |
0,9049 |
0,9099 |
0,9149 |
0,9199 |
0,9248 |
0,9297 |
0,9347 |
0,9397 |
0,9421 |
0,9471 |
|
Определяемое вещество |
Ссылка на источник |
|
Аммонийные соли полифосфорных кислот (с соотношением азота и фосфора 1:3) |
Методические указания на фотометрическое определение фосфорного ангидрида в воздухе рабочей зоны, в. 1 - 5, М., 1981, с. 46 |
|
Барий-кадмиевые соли синтетических жирных кислот фракции С10 – C16 (контроль по кадмию) |
Методические указания по фотометрическому измерению концентраций кадмия в воздухе рабочей зоны, в. VIII, М., 1983, с. 60 |
|
Моносилан дисилан (контроль по SiO2) |
Методические указания по фотометрическому определению диоксида кремния в производственной пыли, в. 12 (дополненный и переработанный), утв. 10 сентября 1991 г. |
|
Нитрат, сульфат и основной карбонат марганца |
Методические указания на определение вредных веществ в воздухе, вып. 1 - 5, М., 1981, с. 16 |
|
Палладиевая чернь |
Методические указания по спектрофотометрическому измерению концентраций хлорплатината аммония и хлорпалладозамина в воздухе рабочей зоны, в. 22, М., 1988, с. 350 |
|
Протаргол |
Методические указания по измерению концентраций серебра и его соединений в воздухе рабочей зоны методом атомно-абсорбционной спектрофотометрии, в. 22, М , 1988, с. 268 |
|
Пыль стекла и стеклянных строительных материалов |
Методические указания на гравиметрическое определение пыли в воздухе рабочей зоны и в системах вентиляционных установок, в. 1 - 5, М., 1981, с. 235 |
|
Эпоксидная смола на основе бисфенола 1 (контроль по эпихлоргидрину) |
Методические указания по газохроматографическому измерению концентраций эпихлоргидрина в воздухе рабочей зоны, в. 22, М., 1988, с. 378 |

Рис. 1
Ловушка-концентратор. Общий вид.

Рис. 2
Ловушка-концентратор.
СОДЕРЖАНИЕ
|
Приложение 1 Приведение объема воздуха к стандартным условиям Приложение 2 Коэффициенты для приведения объема воздуха к стандартным условиям |