Приказ Минприроды России от 31 октября 2008 г. № 287
"Об утверждении Административного регламента Федеральной службы по
экологическому, технологическому и атомному надзору по исполнению
государственной функции по выдаче разрешений на трансграничное перемещение
озоноразрушающих веществ и содержащей их продукции"
В соответствии с постановлением Правительства Российской Федерации от 11 ноября 2005 г. № 679 "О порядке разработки и утверждения административных регламентов исполнения государственных функций (предоставления государственных услуг)" (Собрание законодательства Российской Федерации, 2005, № 47, ст. 4933; 2007, № 50, ст. 6285, 2008, № 18, ст. 2063) приказываю:
1. Утвердить прилагаемый Административный регламент Федеральной службы по экологическому, технологическому и атомному надзору по исполнению государственной функции по выдаче разрешений на трансграничное перемещение озоноразрушающих веществ и содержащей их продукции.
2. Признать утратившим силу приказ Федеральной службы по экологическому, технологическому и атомному надзору от 24 сентября 2004 г. № 101 "Об утверждении положения об организации выдачи Федеральной службой по экологическому, технологическому и атомному надзору решений на трансграничное перемещение озоноразрушающих веществ и содержащей их продукции", зарегистрированный в Министерстве юстиции Российской Федерации 2 декабря 2004 г. № 6162 (Бюллетень нормативных актов федеральных органов исполнительной власти, 2004, № 49).
|
Министр |
Ю.П. Трутнев |
|
|
|
|
Зарегистрировано в Минюсте РФ 1 декабря 2008 г. |
|
|
Регистрационный № 12775 |
|
Административный регламент
Федеральной службы по экологическому, технологическому и атомному надзору по исполнению
государственной функции по выдаче разрешений на трансграничное перемещение
озоноразрушающих веществ и содержащей их продукции
(утв. приказом Минприроды России от 31 октября 2008 г. № 287)
1. Административный регламент Федеральной службы по экологическому, технологическому и атомному надзору по исполнению государственной функции по выдаче разрешений на трансграничное перемещение озоноразрушающих веществ и содержащей их продукции (далее - административный регламент) определяет сроки и последовательность действий (административные процедуры) Федеральной службы по экологическому, технологическому и атомному надзору (далее - Ростехнадзор), ее территориальных органов, порядок взаимодействия между их структурными подразделениями и должностными лицами, а также взаимодействие с другими федеральными органами исполнительной власти и организациями при исполнении государственной функции по выдаче разрешений на трансграничное перемещение озоноразрушающих веществ и содержащей их продукции.
Действие административного регламента не распространяется на транзитные перевозки через Российскую Федерацию озоноразрушающих веществ и продукции, содержащей озоноразрушающие вещества, указанные в приложениях № 1 и 2 к Положению о порядке ввоза в Российскую Федерацию и вывоза из Российской Федерации озоноразрушающих веществ и содержащей их продукции, утвержденному постановлением Правительства Российской Федерации от 8 мая 1996 г. № 563 (Собрание законодательства Российской Федерации, 1996, № 20, ст. 2353, 1997, № 8, ст. 943, 1997, № 47, ст. 5409, 2000, № 9, ст. 1036, 2001, № 50, ст. 4735, 2005, № 14, ст. 1247, 2005, № 36, ст. 3705, 2006, № 50, ст. 5341).
2. Настоящий Регламент разработан в соответствии с Типовым Регламентом взаимодействия федеральных органов исполнительной власти, утвержденным постановлением Правительства Российской Федерации от 19 января 2005 г. № 30 (Собрание законодательства Российской Федерации, 2005, № 4, ст. 305, 2005, № 47, ст. 4933, 2007, № 43, ст. 5202, 2008, № 9, ст. 852, 2008, № 14, ст. 1413), Типовым Регламентом внутренней организации федеральных органов исполнительной власти, утвержденным постановлением Правительства Российской Федерации от 28 июля 2005 г. № 452 (Собрание законодательства Российской Федерации, 2005, № 31, ст. 3233, 2007, № 43, ст. 5202, 2008, № 9, ст. 852, 2008, № 14, ст. 1413), Порядком разработки и утверждения административных регламентов исполнения государственных функций (предоставления государственных услуг), утвержденным постановлением Правительства Российской Федерации от 11 ноября 2005 г. № 679. (Собрание законодательства Российской Федерации, 2005, № 47, ст. 4933, 2007, № 50, ст. 6285, 2008, № 18, ст. 2063).
3. Исполнение государственной функции по выдаче разрешений на трансграничное перемещение озоноразрушающих веществ и содержащей их продукции осуществляется Ростехнадзором согласно:
Монреальскому протоколу по веществам, разрушающим озоновый слой (подписан в г. Монреале 16 сентября 1987 г.) (Бюллетень международных договоров. 2006, № 7);
Федеральному закону от 10 января 2002 г. № 7-ФЗ "Об охране окружающей среды" (Собрание законодательства Российской Федерации, 2002, № 2, ст. 133, № 35, ст. 3607,2005, № 1 (часть 1), ст. 25, 2005, № 19, ст. 1752, 2006, № 1, ст. 10, 2006, № 52 (1 ч.), ст. 5498, 2007, № 7, ст. 834, 2007, № 27, ст. 3213, 2008, № 26, ст. 3012, 2008, № 29 (ч. 1), ст. 3418);
Федеральному закону от 21 июля 1997 г. № 116-ФЗ "О промышленной безопасности опасных производственных объектов" (Собрание законодательства Российской Федерации, 1997, № 30, ст. 3588, 2000, № 33, ст. 3348, 2003, № 2, ст. 167, 2004, № 35, ст. 3607, 2005, № 19, ст. 1752, 2006, № 52 (1 ч.), ст. 5498);
Федеральному закону от 23 ноября 1995 г. № 174-ФЗ "Об экологической экспертизе" (Собрание законодательства Российской Федерации, 1995, № 48, ст. 4556; 2004, № 35, ст. 3607, 2004, № 52 (часть 1), ст. 5276, 2006, № 1, ст. 10, 2006, № 50, ст. 5279, 2006, № 52 (1 ч.), ст. 5498, 2008, № 20, ст. 2260, 2008, № 26, ст. 3015, 2008, № 30 (ч. 2), ст. 3618);
Постановлению Правительства Российской Федерации от 30 июля 2004 г. № 401 "О Федеральной службе по экологическому, технологическому и атомному надзору" (Собрание законодательства Российской Федерации, 2004, № 32, ст. 3348, 2006, № 5, ст. 544, 2006, № 23, ст. 2527, 2006, № 52 (3 ч.), ст. 5587, 2008, № 22, ст. 2581);
Постановлению Правительства Российской Федерации от 8 мая 1996 г. № 563 "О регулировании ввоза в Российскую Федерацию и вывоза из Российской Федерации озоноразрушающих веществ и содержащей их продукции" (Собрание законодательства Российской Федерации, 1996, № 20, ст. 2353, 1997, № 8, ст. 943, 1997, № 47, ст. 5409, 2000, № 9, ст. 1036, 2001, № 50, ст. 4735, 2005, № 14, ст. 1247, 2005, № 36, ст. 3705, 2006, № 50, ст. 5341);
Постановлению Правительства Российской Федерации от 9 декабря 1999 г. № 1368 "Об усилении мер государственного регулирования ввоза в Российскую Федерацию и вывоза из Российской Федерации озоноразрушающих веществ и содержащей их продукции" (Собрание законодательства Российской Федерации, 1999, № 50, ст. 6238);
Постановлению Правительства Российской Федерации от 27 августа 2005 г. № 539 "О принятии Российской Федерацией поправок к Монреальскому протоколу по веществам, разрушающим озоновый слой" (Собрание законодательства Российской Федерации, 2005, № 36, ст. 3705);
Приказу Ростехнадзора от 24 июля 2006 г. № 724 "Об утверждении Регламента Федеральной службы по экологическому, технологическому и атомному надзору" (зарегистрирован в Минюсте России 29 августа 2006 г. № 8174, Бюллетень нормативных актов федеральных органов исполнительной власти, 2006, № 36, 2007, № 51).
4. Решение о возможности осуществления ввоза в Российскую Федерацию и вывоза из Российской Федерации озоноразрушающих веществ и содержащей их продукции принимается в целях выполнения международных обязательств Российской Федерации, вытекающих из Монреальского протокола по веществам, разрушающим озоновый слой.
5. Реализация государственной функции по выдаче разрешений на трансграничное перемещение озоноразрушающих веществ и содержащей их продукции осуществляется Ростехнадзором и его территориальными органами, которым предоставлено право выдачи заключений о том, что предполагаемая к трансграничному перемещению продукция не содержит озоноразрушающих веществ, не относится к категории озоноразрушающих веществ и содержащей их продукции, и ее трансграничное перемещение осуществляется в порядке, предусмотренным для обычной продукции и не является предметом регулирования, подпадающим под действие постановления Правительства Российской Федерации от 8 мая 1996 г. № 563. Перечень территориальных органов, которым предоставлено право выдачи заключений о том, что предполагаемая к трансграничному перемещению продукция не содержит озоноразрушающих веществ и ее трансграничное перемещение осуществляется в обычном порядке с указанием закрепленных за ними субъектов Российской Федерации (далее - уполномоченные территориальные органы Ростехнадзора) представлен в приложении 1 Регламента.
Конечным результатом исполнения государственной функции по выдаче решений на трансграничное перемещение озоноразрушающих веществ и содержащей их продукции является выдача (мотивированный отказ в выдаче) юридическим лицам и индивидуальными предпринимателям независимо от организационно-правовых форм и форм собственности (далее - Заявители), являющимися участниками внешнеэкономической деятельности, решения о возможности ввоза в Российскую Федерацию или вывоза из Российской Федерации озоноразрушающих веществ и содержащей их продукции или заключения (отказ в выдаче заключения) о том, что предполагаемая к трансграничному перемещению продукция не относится к категории озоноразрушающих веществ и содержащей их продукции, и ее трансграничное перемещение осуществляется в порядке, предусмотренном для обычной продукции (не является предметом регулирования, подпадающим под действие постановления Правительства Российской Федерации от 8 мая 1996 г. № 563).
6. Исполнение государственной функции по выдаче разрешений на трансграничное перемещение озоноразрушающих веществ и содержащей их продукции осуществляется Ростехнадзором на безвозмездной основе.
7. Основанием для начала исполнения государственной функции по выдаче разрешений на трансграничное перемещение озоноразрушающих веществ и содержащей их продукции является представление Заявителями заявления для выдачи разрешительных документов (Решений или Заключений) на трансграничное перемещение озоноразрушающих веществ и содержащей их продукции (далее - Заявление), оформленного по образцу, указанному в Приложении 2 к настоящему регламенту (в зависимости от ввоза в Российскую Федерации или вывоза из Российской Федерации озоноразрушающих веществ и содержащей их продукции; необходимости получения Решения или Заключения). Заявление должно содержать наименование продукции, ввозимой в Российскую Федерацию и вывозимой из Российской Федерации, предполагаемые объемы ввоза или вывоза озоноразрушающих веществ и содержащей их продукции, с указанием товарных знаков и кодов ТН ВЭД России, страны, в которую вывозится или из которой вывозится продукция; страны-производителя, фирмы.
К Заявлению прилагаются следующие документы:
- сертификат соответствия ГОСТ Р (в случае, если сертификация этой продукции предусмотрена законодательством Российской Федерации) с указанием товарных знаков и кодов ТН ВЭД России. Если сертификация продукции не предусмотрена законодательством Российской Федерации, в заявке следует сделать запись, что ввозимая (вывозимая) продукция не подлежит обязательной сертификации, а также указывается наименование содержащегося в продукции озоноразрушающего вещества;
- заключение аналитической лаборатории, аккредитованной в установленном порядке на производство анализов галогеносодержащих углеродов и углеводородов, о наличии или отсутствии озоноразрушающих веществ в продукции (в случае если продукция не подлежит сертификации или в сертификате не указано наименование хладагента, пропеллента, вспенивателя)*;
- материалы обоснования возможности ввоза в Российскую Федерацию и вывоза из Российской Федерации озоноразрушающих веществ, указанных в списках А, В и Е приложения № 1 к Положению о порядке ввоза в Российскую Федерацию и вывоза из Российской Федерации озоноразрушающих веществ и содержащей их продукции, утвержденного постановлением Правительства Российской Федерации от 8 мая 1996 г. № 563, для особо важных видов применения озоноразрушающих веществ, а также в качестве сырья для производства других химических веществ, не относящихся к озоноразрушающим веществам;
- копия контракта (договора, инвойса) на поставку продукции;
- документы, подтверждающие страхование ответственности за причинение ущерба жизни, здоровью, имуществу третьих лиц и окружающей природной среде в случае аварии при перевозке опасных грузов в соответствии со статьей 15 Федерального закона от 21 июля 1997 г. № 116-ФЗ "О промышленной безопасности опасных производственных объектов";
- сведения и заключения государственной экологической экспертизы федерального уровня (в отношении новых видов озоноразрушающих веществ в соответствии со статьей 11 Федерального закона от 23 ноября 1995 г. № 174-ФЗ "Об экологической экспертизе").
Для принятия решения о ввозе в Российскую Федерацию и о вывозе из Российской Федерации ранее использованных и регенерированных озоноразрушающих веществ дополнительно представляется справка организации - поставщика утилизированных или регенерированных озоноразрушающих веществ с указанием объемов поставки. Справка подписывается руководителем организации-поставщика и заверяется печатью организации.
______________
* Постановление Правительства Российской Федерации от 06.07.2001 № 514 (Собрание законодательства Российской Федерации, 2001, № 29, ст. 3021. В Системе ГОСТ Р процедуры аккредитации определены "Общими правилами по проведению аккредитации в Российской Федерации", утвержденными Постановлением Госстандарта России от 30.12.1999 г. № 72, зарегистрированы в Минюсте России № 2094 от 07.02.2000 г. (Бюллетень нормативных актов федеральных органов исполнительной власти", 2000, № 9)
8. Копии представленных документов должны быть заверены в установленном порядке. Копии документов, не заверенные нотариально, подаются одновременно с предъявлением оригинала.
9. Конечным результатом исполнения государственной функции по выдаче решений на трансграничное перемещение озоноразрушающих веществ и содержащей их продукции является выдача решения, оформленного по образцу, представленному в Приложении 5 настоящего Регламента (далее - Решение), или заключения о том, что предполагаемая к трансграничному перемещению продукция не относится к категории озоноразрушающих веществ и содержащей их продукции, и ее трансграничное перемещение осуществляется в порядке, предусмотренном для обычной продукции (не является предметом регулирования, подпадающим под действие постановления Правительства Российской Федерации от 8 мая 1996 г. № 563), оформленного по образцу, представленному в Приложении 6 настоящего Регламента (далее - Заключения), в сроки указанные в Приложениях 11 - 12 Регламента, либо мотивированного отказа в выдаче таких документов, оформленного по образцу, представленному в Приложении 7 настоящего Регламента, в срок, не превышающий 5 рабочих дней с даты приема документов, указанных в пункте 7 настоящего Регламента.
10. Основаниями для отказа в выдаче Решения (или Заключения) на трансграничное перемещение озоноразрушающих веществ и содержащей их продукции являются:
- представление Заявителем Заявления и документов, указанных в пункте 7 настоящего Регламента, не в полном объеме (некомплектность материалов Заявителя) либо наличие в составе материалов заявителя искаженных сведений или недостоверной информации, в том числе:
- выявление в составе материалов Заявителя документов, содержащих недостоверные сведения (заключений аналитической лаборатории, аккредитованной в установленном порядке на производство анализов галогеносодержащих углеродов и углеводородов, о наличии или отсутствии озоноразрушающих веществ в продукции; несоответствие указанного в Заявлении озоноразрушающего вещества, содержащегося в продукции, озоноразрушающему веществу по заключению аналитической лаборатории; представление контракта (договора) на поставку с истекшим сроком действия; представление сертификата соответствия ГОСТ Р с истекшим сроком действия);
- представление контракта (договора) на поставку с истекшим сроком действия; представление сертификата соответствия ГОСТ Р с истекшим сроком действия;
- выявление в составе материалов несоответствия перечня государств, с которыми осуществляется внешнеэкономическая деятельность, Приложению № 3 к "Положению о порядке ввоза в Российскую Федерацию и вывоза из Российской Федерации озоноразрушающих веществ и содержащей их продукции", утвержденному постановлением Правительства Российской Федерации от 8 мая 1996 г. № 563;
- выявление несоответствия сроков действия документов поставки (контракта, договора, инвойса) предполагаемому сроку ввоза (вывоза) в Российскую Федерацию (из Российской Федерации) озоноразрушающих веществ и содержащей их продукции;
выявление несоответствия оформленного в установленном законодательством Российской Федерации порядке (статья 15 Федерального закона от 21 июля 1997 г. № 116-ФЗ "О промышленной безопасности опасных производственных объектов" страхования гражданской ответственности организаций, эксплуатирующих опасные производственные объекты, за причинение вреда жизни, здоровью или имуществу третьих лиц и окружающей природной среде в результате аварии на опасном производственном объекте (договор страхования, страховой полис) намерениям Заявителя на ввоз (вывоз) в Российскую Федерацию (из Российской Федерации) озоноразрушающих веществ и содержащей их продукции, в том числе в части: наименования страхователя и страховщика, действия договора страхования (страхового полиса), объекта страхования, опасного производственного объекта, территории страхования, страхового случая, страховой суммы, страховой премии;
- выявление в материалах заявителя наименований озоноразрушающих веществ, ввоз (вывоз) в Российскую Федерацию (из Российской Федерации) которых запрещен в соответствии с постановлением Правительства Российской Федерации от 8 мая 1996 г. № 563 и постановлением Правительства Российской Федерации от 9 декабря 2007 г. № 1368;
- выявление несоответствия кодов ТН ВЭД и текстового описания заявленной к ввозу продукции списку D Приложения № 2 к "Положению о порядке ввоза в Российскую Федерацию и вывоза из Российской Федерации озоноразрушающих веществ и содержащей их продукции", утвержденному постановлением Правительства Российской Федерации от 8 мая 1996 г. № 563;
- отсутствие заключения государственной экологической экспертизы федерального уровня в отношении новых видов озоноразрушающих веществ.
В случае выявления некомплектности материалов Заявителя Ростехнадзор в 5-дневный срок с даты приема Заявления и документов уведомляет об этом Заявителя в письменной форме.
11. Порядок информирования об исполнении государственной функции по выдаче разрешений на трансграничное перемещение озоноразрушающих веществ и содержащей их продукции
11.1. Государственная функция по выдаче разрешений на трансграничное перемещение озоноразрушающих веществ и содержащей их продукции исполняется Ростехнадзором и его территориальными органами в соответствии с их компетенцией, установленной Положением о Федеральной службе по экологическому, технологическому и атомному надзору, утвержденным постановлением Правительства Российской Федерации от 30 июля 2004 г. № 401.
Информация о местоположении, почтовых и электронных адресах и телефонах уполномоченных территориальных органов Ростехнадзора представлена в Приложении 1, а также размещена на официальном сайте Ростехнадзора в сети Интернет по электронному адресу: www.gosnadzor.ru. Графики приема посетителей уполномоченных территориальных органов Ростехнадзора размещены на их сайтах и информационных стендах.
11.2. В помещениях Ростехнадзора и территориальных органов Ростехнадзора должны быть размещены информационные стенды.
На информационных стендах размещена следующая информация:
- описание конечного результата исполнения государственной функции (Приложения 5, 6 к настоящему Регламенту);
- исчерпывающая информация о порядке исполнения государственной функции (в текстовом и/или графическом, схематическом виде) со ссылкой на настоящий Регламент;
- перечень необходимых для выдачи Решений (Заключений) документов согласно пункту 7 Регламента;
- адрес официального сайта Ростехнадзора, территориального органа Ростехнадзора в сети Интернет (при наличии), адреса их электронной почты;
- справочные телефоны Ростехнадзора, территориальных органов Ростехнадзора, общий справочный телефон (в том числе номер телефона-автоинформатора);
- информация о местоположении, почтовом адресе Ростехнадзора, территориальных органов Ростехнадзора и телефонах сотрудников соответствующих структурных подразделений территориальных органов Ростехнадзора;
- график работы сотрудников соответствующих структурных подразделений территориальных органов Ростехнадзора;
- порядок получения консультаций по процедуре исполнения государственной функции согласно пунктам 11.3, 11.5 настоящего Регламента;
- обязанности должностных лиц при ответе на телефонные звонки, устные и письменные обращения граждан или организаций, требования к форме и характеру взаимодействия должностных лиц с заявителями согласно п. 11.3 настоящего Регламента.
11.3. Консультации по процедуре исполнения государственной функции по выдаче разрешений на трансграничное перемещение озоноразрушающих веществ и содержащей их продукции могут предоставляться:
- по письменным обращениям;
- по телефону;
- по электронной почте (при ее наличии).
11.4. При осуществлении консультаций по письменным обращениям ответ на обращение направляется почтой в адрес Заявителя в срок, не превышающий 30 дней с момента поступления письменного обращения.
11.5. При осуществлении консультирования по телефону должностные лица Ростехнадзора и территориальных органов Ростехнадзора обязаны, в соответствии с поступившим запросом, предоставлять информацию по следующим вопросам:
- информацию о входящих номерах, под которыми зарегистрированы в системе делопроизводства Заявление и прилагающиеся к нему материалы, представленные для получения Решения (Заключения);
- информацию о принятом решении по конкретному обращению;
- сведения о нормативных правовых актах, регулирующих вопросы получения Решения (Заключения) (наименование, номер, дата принятия нормативного правового акта);
- перечень документов, представление которых необходимо для получения Решения (Заключения);
- требования к заверению документов, прилагаемых к Заявлению;
- место размещения на официальном сайте Ростехнадзора справочных материалов для получения разрешительных документов.
Иные вопросы рассматриваются только на основании соответствующего письменного обращения.
В процессе рассмотрения материалов, представленных для получения разрешительных документов, Заявителю может представляться в рамках консультирования по телефону информация по следующим вопросам:
- о необходимости предоставления дополнительных материалов и информации;
- о сроках выдачи разрешительных документов.
11.6. При консультировании по электронной почте (при ее наличии) ответ на обращение заявителем по вопросам, определенным подпунктом 11.5 настоящего Регламента, направляется на электронный адрес Заявителя в срок, не превышающий 3 рабочих дней с момента поступления обращения.
Требования к местам исполнения государственной функции
11.7. Стенды с организационно-распорядительной информацией размещаются на доступных для просмотра Заявителями площадях. Тексты информационных материалов печатаются удобным для чтения шрифтом (размер шрифта не менее 14 пунктов), без исправлений, наиболее важные места выделяются другим шрифтом.
11.8. Ящик для корреспонденции Ростехнадзора и его территориальных органов, в том числе для материалов Заявителя, устанавливается при входе в Ростехнадзор его территориальные органы.
11.9. Заявителям при обращении в Ростехнадзор по вопросам, касающимся процедур государственной функции по выдаче разрешительных документов на трансграничное перемещение озоноразрушающих веществ и содержащей их продукции, гарантируется прием в помещении, оборудованном в соответствии с санитарными нормами и правилами**.
______________
** Постановление Главного государственного санитарного врача Российской Федерации от 3 июня 2003 г. № 118 "О введении в действие санитарно-эпидемиологических правил и нормативов СанПиН 2.2.2/2.4.1340-03", зарегистрировано в Минюсте России 10 июня 2003 г., рег. № 4673.
11.10. Время ожидания в очереди для получения разрешительных документов на трансграничное перемещение озоноразрушающих веществ и содержащей их продукции до 30 минут.
11.11. В помещении Ростехнадзора и его территориальных органов отводятся места для ожидания приема. Места ожидания в очереди на получение документов могут быть оборудованы стульями, кресельными секциями, скамьями (банкетками). Количество мест ожидания определяется исходя из фактической нагрузки и возможностей для их размещения в здании.
12. В рамках исполнения государственной функции по выдаче разрешений на трансграничное перемещение озоноразрушающих веществ и содержащей их продукции осуществляются следующие административные процедуры:
выдача Решения;
выдача Заключения;
переоформление Решений о трансграничном перемещении озоноразрушающих веществ и содержащей их продукции;
оформление дубликата Решения (Заключения).
приостановление действия Решений и отмена их действия.
13. Условия и сроки осуществления административной процедуры по выдаче Решения
13.1. Административная процедура по рассмотрению материалов и выдаче Решения исполняется Ростехнадзором на основании рассмотрения в срок, не превышающий 25 дней, письменного Заявления и прилагающихся к нему документов, представленных в соответствии с пунктом 7 Регламента.
13.2. Материалы Заявителя могут быть представлены по почте либо доставлены непосредственно в Ростехнадзор Заявителем лично или через представителей. Полномочия представителей, выступающих от имени Заявителя, подтверждаются доверенностью, подписанной руководителем соответствующего юридического лица (индивидуального предпринимателя) и скрепленной печатью. Доверенность должна содержать дату ее выдачи и четкие указания на одно или несколько полномочий представителя (например, представлять в территориальный орган заявление и документы, необходимые для получения Решения; получать Решение и т.п.). Нотариальное удостоверение доверенностей не является обязательным.
Материалы Заявителя принимаются Ростехнадзором с отметкой о дате приема по описи, копия которой направляется (вручается) Заявителю.
Регистрация полученных Ростехнадзором материалов Заявителя осуществляется должностными лицами структурного подразделения Ростехнадзора, ответственных за делопроизводство, не позднее дня, следующего за днем получения.
13.3. По результатам рассмотрения материалов Заявителя должностное лицо структурного подразделения Ростехнадзора, назначенное ответственным исполнителем по рассмотрению материалов Заявителя (далее - ответственный исполнитель) готовит проект Решения (согласно Приложению 5 к Регламенту) либо мотивированный отказ в выдаче Решения (согласно Приложению 7 к Регламенту).
Проект Решения визируется ответственным исполнителем, начальником соответствующего структурного подразделения Ростехнадзора.
Решения подписываются заместителем руководителя Ростехнадзора, курирующим деятельность структурного подразделения Ростехнадзора, осуществляющего подготовку разрешений на трансграничное перемещение озоноразрушающих веществ и содержащей их продукции (далее - заместитель руководителя Ростехнадзора), либо лицом, его замещающим, и заверяются гербовой печатью.
Решение оформляется в одном экземпляре, которое выдается Заявителю либо его представителю (по доверенности) лично в руки либо по истечению месяца после регистрации заявки и материалов направляется Заявителю по почте. Визовой экземпляр и копия Решения хранится в Ростехнадзоре в течение 3-х лет. Копия Решения направляется в адрес Министерства промышленности и торговли Российской Федерации с сопроводительным письмом Ростехнадзора.
13.4. При выявлении в ходе рассмотрения материалов Заявителя оснований для отказа в выдаче Решения, указанных в пункте 10 настоящего Регламента, структурным подразделением Ростехнадзора, ответственным за выдачу разрешений, направляется Заявителю письмо об отказе в выдаче Решения, оформленное в соответствии с Приложением 7 к Регламенту.
13.5. О принятии решения об отказе Заявитель информируется ответственным исполнителем по телефону и по почте письмом, оформленным в соответствии с Приложением 7 к Регламенту. Проект письма с мотивированным отказом в выдаче Решения оформляется на бланке Ростехнадзора, визируется ответственным исполнителем, начальником соответствующего структурного подразделения (отдела) Ростехнадзора, подписывается начальником структурного подразделения Ростехнадзора либо лицом его замещающим, и заверяется соответствующей печатью.
13.6. Информация о выдаче Решения вносится в соответствующий информационный ресурс (журнал, банк данных (реестр).
14. Условия и сроки осуществления административной процедуры по выдаче Заключения
14.1. Ростехнадзор, уполномоченные территориальные органы Ростехнадзора осуществляют рассмотрение материалов Заявителя, представляемых для получения Заключения о том, что предполагаемая к трансграничному перемещению продукция не относится к категории озоноразрушающих веществ и содержащей их продукции, и ее трансграничное перемещение осуществляется в порядке, предусмотренном для обычной продукции и не является предметом регулирования, подпадающим под действие постановления Правительства Российской Федерации от 8 мая 1996 г. № 563.
14.2. Материалы Заявителя могут быть представлены по почте либо доставлены непосредственно в Ростехнадзор, уполномоченные территориальные органы Ростехнадзора Заявителем лично или через представителей. Полномочия представителей, выступающих от имени юридических лиц или индивидуальных предпринимателей, подтверждаются доверенностью, подписанной руководителем юридического лица (индивидуальным предпринимателем) и скрепленной печатью.
Материалы Заявителя принимаются Ростехнадзором, уполномоченным территориальным органом Ростехнадзора с отметкой о дате приема по описи, копия которой направляется (вручается) Заявителю.
Регистрация полученных материалов Заявителя осуществляется должностными лицами структурного подразделения Ростехнадзора, уполномоченного территориального органа Ростехнадзора, ответственных за делопроизводство, не позднее дня, следующего за днем получения.
14.3. По результатам рассмотрения материалов Заявителя должностное лицо структурного подразделения Ростехнадзора, уполномоченных территориальных органов Ростехнадзора, назначенное ответственным исполнителем по рассмотрению материалов Заявителя (далее - ответственный исполнитель) готовит проект Заключения (согласно Приложению 6 к Регламенту) либо мотивированный отказ в выдаче Заключения (согласно Приложению 7 к Регламенту) в срок, не превышающий 8 дней.
Проект Заключения визируется ответственным исполнителем, начальником соответствующего структурного подразделения (отдела) Ростехнадзора, уполномоченного территориального органа Ростехнадзора.
Заключение подписывается начальником структурного подразделения Ростехнадзора, руководителем уполномоченного территориального органа Ростехнадзора либо лицами, их замещающими, и заверяется печатью определенной приказом Ростехнадзора.
Заключение оформляется в одном экземпляре, которое выдается Заявителю либо его представителю (по доверенности) лично в руки либо по истечению месяца после регистрации заявки и материалов направляется Заявителю по почте. Визовой экземпляр и копия Заключения хранится в структурном подразделении Ростехнадзоре, уполномоченном территориальном органе в течение 3-х лет.
14.4. При выявлении в ходе рассмотрения материалов Заявителя оснований для отказа в выдаче Заключения, указанных в пункте 10 настоящего Регламента, структурным подразделением Ростехнадзора, уполномоченным территориальным органом Ростехнадзора направляется Заявителю письмо об отказе в выдаче Заключения, оформленное в соответствии с Приложением 7 к Регламенту.
14.5. О принятии решения об отказе Заявитель информируется ответственным исполнителем по телефону и по почте письмом, оформленным в соответствии с Приложением 7 к Регламенту. Проект письма с мотивированным отказом в выдаче Заключения оформляется на бланке Ростехнадзора, визируется ответственным исполнителем, начальником соответствующего структурного подразделения (отдела) Ростехнадзора, уполномоченного территориального органа Ростехнадзора, подписывается начальником структурного подразделения Ростехнадзора, руководителем уполномоченного территориального органа Ростехнадзора либо лицами, их замещающими, и заверяется соответствующей печатью.
14.6. Информация о выдаче Заключений структурным подразделением Ростехнадзора, уполномоченными территориальными органами Ростехнадзора вносится в соответствующий информационный ресурс (журнал, банк данных (реестр).
15. Условия и сроки осуществления административной процедуры по переоформлению Решения
15.1. Решение подлежит переоформлению в случае реорганизации в форме преобразования или изменения наименования юридического лица (фирменного наименования участника внешнеэкономической деятельности), а также места его нахождения; изменения фамилии индивидуального предпринимателя - участника внешнеэкономической деятельности, места его жительства, данных документа, удостоверяющего его личность.
15.2. Переоформление Решения допускается при условии выполнения не в полном объеме поставки озоноразрушающих веществ и/или содержащей их продукции, предусмотренной документами поставки (контракт; договор, инвойс) и только в период действия ранее выданного Решения.
Срок действия переоформленного Решения не должен превышать срок действия ранее выданного Решения.
15.3. Переоформление Решения производится структурным подразделением Ростехнадзора, осуществляющим подготовку ранее выданного Решения на основании рассмотрения представленных индивидуальными предпринимателями и юридическими лицами, которым выдано Решение, оформленного согласно Приложению 3 к Регламенту Заявления о переоформлении Решения (с указанием причин переоформления и количества озоноразрушающего вещества и/или содержащей его продукции, не ввезенной в Российскую Федерацию (вывезенную из Российской Федерации), в соответствии с ранее выданным Решением), а также следующих документов:
а) выписки из Единого государственного реестра юридических лиц или выписки из Единого государственного реестра индивидуальных предпринимателей (или их копии, заверенные в установленном порядке) о внесении изменений;
б) оригинала выданного ранее в установленном порядке Решения;
в) справки участника внешнеэкономической деятельности о количестве планируемого ввоза в Российскую Федерацию (вывоза из Российской Федерации) озоноразрушающих веществ и/или содержащей их продукции в пределах квоты, указанной в лицензии на ввоз в Российскую Федерации и вывоз из Российской Федерации озоноразрушающих веществ и содержащей их продукции, оформленной в установленном порядке на юридическое лицо или индивидуального предпринимателя, с приложением копии указанной лицензии, оформленной в соответствии с положениями приказа Государственного таможенного комитета Российской Федерации от 15 декабря 2002 г. № 1342 "О контроле за ввозом и вывозом лицензируемых товаров" (зарегистрирован Минюстом России 26 февраля 2003 г. № 4233) (Бюллетень нормативных актов федеральных органов исполнительной власти, 2003, № 17).
15.4. Конечным результатом административной процедуры по переоформлению Решения является выдача Решения, оформленного в соответствии с пунктом 9 настоящего Регламента, с присвоением регистрационного номера и с указанием того же срока действия, которые были указаны в ранее оформленном Решении, либо принятие решения о мотивированном отказе в переоформлении Решения.
15.5. Основаниями для отказа в переоформлении Решения являются:
- непредставление документов, указанных в пункте 15.2 к настоящему Регламенту;
- выявление в документах, представленных Заявителем, недостоверной или искаженной информации, в том числе исчерпание квоты, на ввоз в Российскую Федерации и вывоз из Российской Федерации озоноразрушающих веществ и содержащей их продукции, оформленной в установленном порядке на юридическое лицо или индивидуального предпринимателя до реорганизации.
15.6. Решение о переоформлении Решения либо об отказе в переоформлении Решения принимается структурным подразделением Ростехнадзора в срок, не превышающий 8 рабочих дней со дня регистрации соответствующего заявления.
Переоформленное Решение оформляется и подписывается в порядке, указанном в пункте 13.3 настоящего Регламента.
15.7. При выявлении в ходе рассмотрения материалов Заявителя оснований для отказа в переоформлении Решения, указанных в пункте 15.5 настоящего Регламента, структурным подразделением Ростехнадзора направляется Заявителю письмо об отказе в переоформлении Решения, оформленное в соответствии с Приложением 8 к Регламенту.
15.8. О принятии решения об отказе Заявитель информируется ответственным исполнителем по телефону и по почте письмом, оформленным в соответствии с Приложением 8 к Регламенту. Проект письма с мотивированным отказом в переоформлении Решения оформляется на бланке Ростехнадзора, визируется ответственным исполнителем, начальником соответствующего структурного подразделения (отдела) Ростехнадзора, подписывается начальником структурного подразделения Ростехнадзора и заверяется соответствующей печатью.
15.9. О переоформлении Решения Заявитель информируется ответственным исполнителем по телефону либо по почте.
15.10. Выдача переоформленного Решения либо письмо об отказе в переоформлении Решения Заявителю либо его представителю (по доверенности) производится лично в руки либо отправкой по почте.
15.11. Информация о выдаче переоформленного Решения вносится в соответствующий информационный ресурс (журнал, банк данных - реестр) с указанием литера "П".
Копия переоформленного Решения направляется в адрес Министерства промышленности и торговли Российской Федерации с сопроводительным письмом Ростехнадзора.
15.12. При переоформлении Решения ранее выданное Решение письмом Ростехнадзора, подписанным заместителем руководителя Ростехнадзора либо лицом его замещающим, признается не подлежащим применению.
16. Условия и сроки осуществления административной процедуры по оформлению дубликата Решения (Заключения)
16.1. В случае утери либо порчи бланка Решения (Заключения) структурное подразделение Ростехнадзора, уполномоченные территориальные органы Ростехнадзора в 7-дневный срок с даты получения от индивидуальных предпринимателей и юридических лиц, которым ранее было выдано Решение (Заключение), заявления о выдаче дубликата Решения (Заключения), оформленного согласно Приложению 4 к Регламенту, осуществляют административную процедуру по оформлению дубликата Решения (Заключения).
16.2. Конечным результатом административной процедуры по выдаче дубликата Решения (Заключения) является выдача дубликата документа с присвоением того же регистрационного номера и указанием того же срока действия, которые были указаны в ранее выданном документе. На дубликате в правом верхнем углу вносится надпись "ДУБЛИКАТ".
16.3. Выдача дубликата документа Заявителю либо по доверенности его представителю производится лично в руки либо отправкой по почте (с уведомлением о вручении).
16.4. Информация о выдаче дубликата документа вносится в соответствующий информационный ресурс (журнал, банк данных (реестр).
17. Условия и сроки осуществления административной процедуры по приостановлению действия Решения или его отмене
17.1. Административная процедура по приостановлению действия Решения или его отмене осуществляется Ростехнадзором на основании полученной от заинтересованных федеральных органов исполнительной власти (Федеральная таможенная служба) информации о выявленных нарушениях порядка ввоза в Российскую Федерацию и вывоза из Российской Федерации озоноразрушающих веществ и содержащей их продукции, возникновения обстоятельств, приводящих к нанесению ущерба экономическим интересам Российской Федерации или несоблюдению обязательств Российской Федерации по Монреальскому протоколу***.
______________
*** Постановление Правительства Российской Федерации от 8 мая 1996 г. № 563 "О регулировании ввоза в Российскую Федерацию и вывоза из Российской Федерации озоноразрушающих веществ и содержащей их продукции".
17.2. Ростехнадзор в течение 10 дней после получения информации (письма) от указанных в п. 17.1 федеральных органов исполнительной власти принимает решение о приостановлении действия Решения или его отмене.
17.3. Основанием для приостановления действия Решения или его отмены являются:
- несоответствие заявленной участником внешнеэкономической деятельности страны ввоза (вывоза) озоноразрушающих веществ и содержащих их продукции, стране, являющейся стороной Монреальского протокола;
- выявление факта несоответствие заявленного участником внешнеэкономической деятельности вида озоноразрушающего вещества или содержащей его продукции, предполагаемых к ввозу (вывозу), его (их) действительному составу;
- выявление факта попытки осуществить участником внешнеэкономической деятельности ввоз (вывоз) озоноразрушающих веществ или содержащей их продукции в количестве, не соответствующим указанному количеству в лицензии.
17.4. Конечным результатом исполнения административной процедуры по приостановлению действия Решения или его отмены является письмо Ростехнадзора о приостановлении действия Решения или его отмене в Министерство промышленности и торговли Российской Федерации, Федеральную таможенную службу а также в адрес владельца Решения (с уведомлением), по образцу, представленному в Приложении 9 Регламента.
17.5. Информация о приостановлении действия Решения вносится в соответствующий информационный ресурс (журнал, банк данных (реестр).
Описание последовательности действий
при исполнении государственной функции по выдаче разрешений
на трансграничное перемещение озоноразрушающих веществ и содержащей их
продукции
18. Административная процедура по выдаче Решений
18.1. Административная процедура по выдаче Решений включает следующие административные действия:
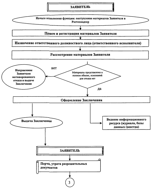
прием и регистрация материалов Заявителя. Основанием для начала административного действия является представление Заявителем материалов в Ростехнадзор. Материалы Заявителя принимаются Ростехнадзором с отметкой о дате приема по описи, копия которой направляется (вручается) Заявителю.
Регистрация полученных Ростехнадзором материалов Заявителя осуществляется должностными лицами канцелярии или структурного подразделения Ростехнадзора, ответственными за делопроизводство, не позднее дня, следующего за днем получения. Критерием приема документов Заявителя и их регистрации является соответствие документов описи, указанной в заявлении. Информация о приеме и регистрации материалов Заявителя заносится в соответствующую информационную базу структурного подразделения. Материалы направляются начальнику структурного подразделения (отдела) для назначения ответственного исполнителя;
назначение ответственного должностного лица. Основанием для начала административного действия является поступление начальнику структурного подразделения (отдела) материалов Заявителя для назначения ответственного исполнителя. Начальник структурного подразделения Ростехнадзора в срок, не превышающий 1 рабочий день, назначает ответственного исполнителя с учетом его должностных обязанностей, о чем ставит резолюцию на материалах. Ответственное должностное лицо в соответствии с резолюцией получает материалы для исполнения;
рассмотрение материалов Заявителя. Основанием для начала административного действия является поступление материалов Заявителя ответственному исполнителю. Ответственный исполнитель в срок, не превышающий 15 дней, рассматривает материалы Заявителя. По результатам рассмотрения ответственный исполнитель готовит проект Решения (согласно Приложению 5 к Регламенту) либо мотивированный отказ в выдаче Решения (согласно Приложению 7 к Регламенту) основания для отказа указаны в пункте 10 настоящего Регламента;
оформление Решения. Основанием для начала административного действия является решение, принятое по результатам рассмотрения материалов Заявителя. Проект Решения в течение 5 дней визируется ответственным исполнителем, подписывается начальником соответствующего структурного подразделения Ростехнадзора территориального органа Ростехнадзора.
Оформленное Решение выдается Заявителю, либо его представителю (по доверенности) лично в руки, либо по истечению месяца после регистрации заявки и материалов направляется Заявителю по почте;
внесение информации о выдаче документа в соответствующий информационный ресурс (журнал, банк данных (реестр). Информация о выданном Заявителю Решении заносится назначенным ответственным исполнителем в информационный ресурс в течение 1 рабочего дня.
направление информации в Министерство промышленности и торговли Российской Федерации о выдаче Решения. Ответственный исполнитель готовит в течение 1 дня сопроводительное письмо в Минпромторг России. Копия выданного Заявителю Решения направляется в адрес Министерства промышленности и торговли Российской Федерации с сопроводительным письмом Ростехнадзора.
18.2. Описание последовательности и состава административных действий Ростехнадзора при осуществлении административной процедуры по выдаче Решения с указанием юридических фактов, являющихся основанием для начала действия, должностных лиц, ответственных за выполнение действия, максимальных сроков выполнения действия, прав и обязанностей должностных лиц, критериев выбора вариантов решения, способов фиксации результатов выполнения действия, результатов действия и порядка передачи результата приводится в Приложении 11 к Регламенту.
18.3. Срок осуществления Ростехнадзором административной процедуры по выдаче Решения - 25 дней со дня регистрации материалов Заявителя.
В случае представления Заявителем в ходе рассмотрения дополнительных материалов, срок рассмотрения документов исчисляется с момента регистрации дополнительных материалов в порядке, установленном пунктом 13.2 настоящего Регламента.
19. Административная процедура по выдаче Заключений
19.1. Административная процедура по выдаче Заключений включает следующие административные действия:
прием и регистрация материалов Заявителя. Основанием для осуществления административного действия является представление Заявителем материалов в Ростехнадзор, территориальный орган Ростехнадзора. Материалы Заявителя принимаются Ростехнадзором, территориальным органом Ростехнадзора с отметкой о дате приема по описи, копия которой направляется (вручается) Заявителю.
Регистрация полученных Ростехнадзором материалов Заявителя осуществляется должностными лицами канцелярии или структурного подразделения Ростехнадзора, территориального органа Ростехнадзора, ответственными за делопроизводство, не позднее дня, следующего за днем получения. Критерием приема документов Заявителя и их регистрации является соответствие документов описи, указанной в заявлении. Информация о приеме и регистрации материалов Заявителя заносится в соответствующую информационную базу структурного подразделения. Материалы направляются начальнику структурного подразделения (отдела) для назначения ответственного исполнителя;
назначение ответственного должностного лица. Основанием для начала административного действия является поступление начальнику структурного подразделения (отдела) материалов Заявителя для назначения ответственного исполнителя. Начальник структурного подразделения Ростехнадзора, территориального органа Ростехнадзора в срок, не превышающий 1 рабочий день, назначает ответственного исполнителя с учетом его должностных обязанностей, о чем ставит резолюцию на материалах Заявителя. Ответственное должностное лицо в соответствии с резолюцией получает материалы для исполнения;
рассмотрение материалов Заявителя. Основанием для начала административного действия является поступление материалов Заявителя ответственному исполнителю. Ответственный исполнитель в срок, не превышающий 2 дня, рассматривает материалы Заявителя. По результатам рассмотрения ответственный исполнитель готовит проект Заключения (согласно Приложению 6 к Регламенту), либо мотивированный отказ в выдаче Заключения (согласно Приложению 7 к Регламенту). Основания для отказа указаны в пункте 10 настоящего Регламента;
оформление Заключения. Основанием для начала административного действия является решение, принятое по результатам рассмотрения материалов Заявителя. Проект Заключения в течение 2 дней визируется ответственным исполнителем, начальником соответствующего структурного подразделения Ростехнадзора.
Заключение подписывается начальником структурного подразделения Ростехнадзора, руководителем уполномоченного территориального органа Ростехнадзора либо лицами, их замещающими, и заверяется печатью определенной приказом Ростехнадзора.
Заключение оформляется в одном экземпляре, которое выдается Заявителю либо его представителю (по доверенности) лично в руки либо по истечению месяца после регистрации заявки и материалов направляется Заявителю по почте. Визовой экземпляр и копия Заключения хранится в структурном подразделении Ростехнадзоре, уполномоченном территориальном органе Ростехнадзора в течение 3-х лет;
Ведение информационного информационный# ресурса (журнала, базы данных). Информация о выданном Заявителю Заключении заносится назначенным ответственным исполнителем в информационный ресурс в течение 1 рабочего дня.
19.2. Описание последовательности и состава административных действий Ростехнадзора, уполномоченного территориального органа Ростехнадзора при осуществлении административной процедуры по выдаче Заключения, с указанием юридических фактов, являющихся основанием для начала действия должностных лиц, ответственных за выполнение действия, максимальных сроков выполнения действия, прав и обязанностей должностных лиц, критериев выбора вариантов решения, способов фиксации результатов выполнения действия, результатов действия и порядка передачи результата приводится в Приложении 12 к Регламенту.
19.3. Срок осуществления Ростехнадзором, уполномоченным территориальным органом Ростехнадзора административной процедуры по выдаче Заключения - 8 дней со дня регистрации материалов Заявителя.
В случае представления Заявителем в ходе рассмотрения дополнительных (недостающих) материалов, срок рассмотрения документов и материалов исчисляется с момента регистрации дополнительных материалов в порядке, установленном пунктом 13.2 настоящего Регламента
20. Административная процедура по переоформлению Решений (Заключений)
20.1. Административная процедура по переоформлению Решений (Заключений) включает следующие административные действия:
прием и регистрация материалов Заявителя. Основанием для начала административного действия является представление Заявителем материалов в Ростехнадзор. Материалы Заявителя принимаются Ростехнадзором с отметкой о дате приема по описи, копия которой направляется (вручается) Заявителю.
Регистрация полученных Ростехнадзором материалов Заявителя осуществляется должностными лицами канцелярии или структурного подразделения Ростехнадзора, ответственными за делопроизводство, не позднее дня, следующего за днем получения. Критерием приема документов Заявителя и их регистрации является соответствие документов перечню документов указанных в пункте 15.2 настоящего Регламента. Информация о приеме и регистрации документов Заявителя заносится в соответствующую информационную базу структурного подразделения. Материалы направляются начальнику структурного подразделения (отдела) для назначения ответственного исполнителя;
назначение ответственного должностного лица. Основанием для начала административного действия является поступление начальнику структурного подразделения (отдела) материалов Заявителя для назначения ответственного исполнителя. Начальник структурного подразделения Ростехнадзора, уполномоченного территориального органа Ростехнадзора в срок, не превышающий 1 рабочий день назначает ответственного исполнителя с учетом его должностных обязанностей о чем ставит резолюцию на материалах Заявителя. Ответственное должностное лицо в соответствии с резолюцией получает материалы для исполнения;
рассмотрение материалов Заявителя. Основанием для начала административного действия является поступление материалов Заявителя ответственному исполнителю. Ответственный исполнитель в срок, не превышающий 2 дня, рассматривает материалы Заявителя. По результатам рассмотрения ответственный исполнитель готовит проект переоформленного Решения (Заключения) либо мотивированный отказ в переоформлении Решения (Заключения) основания для отказа указаны в пункте 15.5 настоящего Регламента;
переоформление Решения либо подготовка письма с мотивированным отказом в переоформлении документов. Основанием для начала административного действия является решение о переоформлении документов, принятое по результатам рассмотрения материалов Заявителя. Проект переоформленного Решения (Заключения) в течение 2 дней оформляется в соответствии с пунктом 13.3 (14.3) настоящего Регламента.
Решение (Заключение) оформляется в одном экземпляре, которое выдается Заявителю либо его представителю (по доверенности) лично в руки, либо по истечению месяца после регистрации заявки и материалов направляется Заявителю по почте. Визовой экземпляр и копия Решения (Заключения) хранится в структурном подразделении Ростехнадзоре, уполномоченном территориальном органе в течение 3-х лет;
внесение информации о переоформлении Решения в соответствующий информационный ресурс (журнал, банк данных (реестр) основанием для начала административного действия является переоформленное Решение (Заключение). Информация о выданном Заявителю переоформленном Решении (Заключении) заносится назначенным ответственным исполнителем в информационный ресурс в течение 1 рабочего дня.
направление информации в Министерство промышленности и торговли Российской Федерации о выдаче переоформленного Решения. Ответственный исполнитель в течение 1 дня готовит сопроводительное письмо в Минпромторг России. Копия выданного Заявителю Решения направляется в адрес Министерства промышленности и торговли Российской Федерации с сопроводительным письмом Ростехнадзора.
20.2. Описание последовательности и состава административных действий Ростехнадзора при реализации административной процедуры по переоформлению Решений с указанием юридических фактов, являющихся основанием для начала действия, должностных лиц, ответственных за выполнение действия, сроков выполнения действия должностных лиц, критериев выбора вариантов решения, способов фиксации результатов выполнения действия, результатов действия и порядка передачи приводится Приложении 13 к Регламенту.
20.3. Срок осуществления Ростехнадзором административной процедуры по переоформлению Решений о трансграничном перемещении озоноразрушающих веществ и содержащей их продукции - 8 дней со дня регистрации материалов Заявителя.
21. Административная процедура по оформлению дубликата Решения (Заключения)
21.1. Административная процедура по оформлению дубликата Решения (Заключения) включает следующие административные действия:
прием и регистрация материалов Заявителя. Основанием для осуществления административного действия является представление Заявителем материалов в Ростехнадзор, уполномоченный территориальный орган Ростехнадзора. Материалы Заявителя принимаются Ростехнадзором, уполномоченным территориальным органом Ростехнадзора с отметкой о дате приема, 1 экземпляр заявления направляется (вручается) Заявителю.
Регистрация полученных Ростехнадзором, уполномоченным территориальным органом Ростехнадзора материалов Заявителя осуществляется должностными лицами канцелярии или структурного подразделения Ростехнадзора, уполномоченного территориального органа Ростехнадзора, ответственными за делопроизводство, не позднее дня, следующего за днем получения. Информация о приеме и регистрации материалов Заявителя заносится в соответствующую информационную базу структурного подразделения. Материалы направляются начальнику структурного подразделения (отдела) для назначения ответственного исполнителя;
назначение ответственного должностного лица. Основанием для начала административного действия является поступление начальнику структурного подразделения (отдела) материалов Заявителя для назначения ответственного исполнителя. Начальник структурного подразделения Ростехнадзора, уполномоченного территориального органа Ростехнадзора в срок, не превышающий 1 рабочий день принимает решение о назначении ответственного исполнителя с учетом его должностных обязанностей, о чем ставит резолюцию на материалах Заявителя. Ответственное должностное лицо в соответствии с резолюцией получает материалы для исполнения;
рассмотрение материалов Заявителя и архивных материалов Заявителя, на основании которых было принято решение о выдаче Решения (Заключения). Основанием для начала административного действия является поступление Заявления ответственному исполнителю. Ответственный исполнитель в срок, не превышающий 2 дня, рассматривает архивные материалы Заявителя. По результатам рассмотрения ответственный исполнитель готовит проект дубликата Решения (Заключения);
оформление Дубликата Решения (Заключения). Основанием для начала административного действия является решение, принятое по результатам рассмотрения архивных материалов Заявителя. Проект дубликата Решения (Заключения) оформленного в соответствии с Приложением 4 к Регламенту в течение 2 дней визируется ответственным исполнителем, начальником соответствующего структурного подразделения Ростехнадзора.
Конечным результатом административной процедуры по выдаче дубликата Решения (Заключения) является выдача дубликата документа с присвоением того же регистрационного номера и указанием того же срока действия, которые были указаны в ранее выданном документе. На дубликате в правом верхнем углу вносится надпись "ДУБЛИКАТ".
Выдача дубликата документа Заявителю либо по доверенности его представителю производится лично в руки либо отправкой по почте (с уведомлением о вручении);
внесение информации о переоформлении разрешительных в соответствующий информационный ресурс (журнал, базу данных). Информация о выданном Заявителю дубликате Решения (Заключения) заносится назначенным ответственным исполнителем в информационный ресурс в течение 1 рабочего дня.
21.2. Описание последовательности и состава административных действий Ростехнадзора, уполномоченного территориального органа Ростехнадзора при реализации административной процедуры по оформлению дубликата Решения (Заключения) с указанием юридических фактов, являющихся основанием для начала действия, должностных лиц, ответственных за выполнение действия, сроков выполнения действия должностных лиц, способов фиксации результатов выполнения действия, результатов действия и порядка передачи приводится Приложении 14 к Регламенту.
21.3. Срок осуществления Ростехнадзором, уполномоченным территориальным органом Ростехнадзора административной процедуры по оформлению дубликата Решения (Заключения) - 8 дней со дня регистрации материалов Заявителя.
22. Административная процедура по приостановлению действия Решения или его отмене
22.1. Административная процедура по приостановлению действия Решения или его отмене включает следующие административные действия:
прием и регистрация письменной информации Федеральной таможенной службы или Министерства промышленности и торговли Российской Федерации. Основанием для осуществления административного действия является представление в Ростехнадзор письменной информации Федеральной таможенной службы или Министерства промышленности и торговли Российской Федерации. Регистрация полученных Ростехнадзором, материалов осуществляется должностными лицами канцелярии или структурного подразделения Ростехнадзора, ответственными за делопроизводство, не позднее дня, следующего за днем получения. Информация о приеме и регистрации материалов заносится в соответствующую информационную базу структурного подразделения. Материалы направляются начальнику структурного подразделения (отдела) для назначения ответственного исполнителя;
назначение ответственного должностного лица. Основанием для начала административного действия является поступление начальнику структурного подразделения (отдела) информации и материалов от соответствующих федеральных органов исполнительной власти. Начальник структурного подразделения Ростехнадзора, срок, не превышающий 1 рабочий день, принимает решение о назначении ответственного исполнителя с учетом его должностных обязанностей, о чем ставит резолюцию на материалах. Ответственное должностное лицо в соответствии с резолюцией получает материалы для исполнения;
рассмотрение информации и материалов соответствующих федеральных органов исполнительной власти, а также архивных материалов Заявителя, на основании которых было принято решение о выдаче Решения. Основанием для начала административного действия является поступление письма с информацией федерального органа исполнительной власти. Ответственный исполнитель в срок, не превышающий 3 дня, рассматривает нарушения порядка ввоза (вывоза) озоноразрушающих веществ и содержащей их продукции в Российскую Федерацию (из Российской Федерации), архивные материалы Заявителя. По результатам рассмотрения ответственный исполнитель готовит проект письма о приостановлении действия Решения или его отмене;
оформление решения по приостановлению действия Решения или его отмене. Основанием для начала административного действия является решение, принятое по результатам рассмотрения нарушения порядка ввоза (вывоза) озоноразрушающих веществ и содержащей их продукции в Российскую Федерацию (из Российской Федерации), архивных материалов Заявителя. Проект письма о приостановлении действия Решения или его отмене в Министерство промышленности и торговли Российской Федерации, Федеральную таможенную службу, участнику внешнеэкономической деятельности в течение 3 дней визируется ответственным исполнителем, начальником соответствующего структурного подразделения Ростехнадзора.
Конечным результатом административной процедуры по приостановке действия Решения или его отмене является направление письма о приостановлении действия Решения или его отмене в Министерство промышленности и торговли Российской Федерации, Федеральную таможенную службу, участнику внешнеэкономической деятельности;
внесение информации о приостановке действия Решения или его отмене в соответствующий информационный ресурс (журнал, базу данных). Информация о приостановке действия Решения или его отмене заносится назначенным ответственным исполнителем в информационный ресурс в течение 1 рабочего дня.
22.2. Описание последовательности и состава административных действий Ростехнадзора при реализации административной процедуры по приостановлению действия Решения или его отмене с указанием юридических фактов, являющихся основанием для начала действия, должностных лиц, ответственных за выполнение действия, сроков выполнения действия должностных лиц, критериев выбора вариантов решения, способов фиксации результатов выполнения действия, результатов действия и порядка передачи приводится Приложении 15 к Регламенту.
22.3. Срок осуществления Ростехнадзором административной процедуры по приостановлению действия Решения или его отмене - 10 дней со дня регистрации письменной информации Федеральной таможенной службы и/или Министерства промышленности и торговли Российской Федерации, представляемой в соответствии с пунктами 17.1 и 22.1 настоящего Регламента.
Взаимосвязь административных процедур и блок-схемы последовательности действий при исполнении государственной функции по выдаче разрешений на трансграничное перемещение озоноразрушающих веществ и содержащей их продукции приведены в Приложении 10.
23. Текущий контроль за соблюдением последовательности действий, определенных административными процедурами по исполнению государственной функции, осуществляется должностными лицами, ответственными за организацию работы по исполнению государственной функции путем проверок соблюдения и исполнения ответственными исполнителями положений Административного регламента, иных нормативных правовых актов Российской Федерации.
Периодичность осуществления текущего контроля устанавливается руководителем Ростехнадзора.
Перечень должностных лиц, осуществляющих текущий контроль, устанавливается правовыми актами Ростехнадзора
Проверки могут быть плановыми (осуществляться на основании полугодовых или годовых планов работы Ростехнадзора) и внеплановыми (проводятся по конкретному обращению заявителя, органов государственной власти, пр.). При проверке могут рассматриваться все вопросы, связанные с исполнением государственной функции (комплексные проверки), или исполнение отдельных административных процедур (тематические проверки).
Проверки полноты и качества исполнения государственной функции осуществляются на основании правовых актов (приказов) Ростехнадзора.
Для проведения проверки полноты и качества исполнения государственной функции может быть сформирована комиссия, в состав которой включаются федеральные государственные гражданские служащие Ростехнадзора.
Деятельность комиссии осуществляется в соответствии с индивидуальными правовыми актами (приказами Ростехнадзора).
Результаты деятельности комиссии оформляются в виде справки, в которой отмечаются выявленные недостатки и предложения по их устранению.
Справка подписывается председателем комиссии и руководителем проверяемого структурного подразделения Ростехнадзора, ответственного за выдачу Решения (заключения) на трансграничное перемещение озоноразрушающих веществ и содержащей их продукции.
По результатам проведенных проверок в случае выявления нарушений положений Административного регламента, иных нормативных правовых актов Российской Федерации осуществляется привлечение виновных лиц к ответственности в соответствии с законодательством Российской Федерации.
Ответственный исполнитель, уполномоченный на подготовку проекта Решения (заключения) на трансграничное перемещение озоноразрушающих веществ и содержащей их продукции несет персональную ответственность за соблюдение сроков рассмотрения документов, по результатам которых может быть принято решение о выдаче разрешительных документов.
Должностное лицо, уполномоченное принимать решение о выдаче разрешительных документов, несет персональную ответственность за правильность и обоснованность принятого решения.
Персональная ответственность государственных гражданских служащих Ростехнадзора закрепляется в их должностных регламентах в соответствии с требованиями законодательства Российской Федерации.
Ростехнадзор осуществляет организационно-методическое обеспечение деятельности, в том числе разрабатывает методические рекомендации, по вопросам, связанным с выдачей разрешительных документов на трансграничное перемещение озоноразрушающих веществ и содержащей их продукции и контроля за исполнением государственной функции.
Должностные лица, осуществляющие контроль, определяются в актах Ростехнадзора.
Проверки полноты и качества исполнения государственной функции осуществляются на основании решений Ростехнадзора.
Соблюдение установленной руководителем Ростехнадзора периодичности осуществления текущего контроля, сроков плановых проверок является обязательным.
По результатам осуществления контроля за исполнением государственной функции по выдаче разрешительных документов на трансграничное перемещение озоноразрушающих веществ и содержащей их продукции принимаются меры по устранению выявленных недостатков.
24. Заявитель имеет право на обжалование действий (бездействия) и решений должностных лиц Ростехнадзора (территориальных органов Ростехнадзора) при исполнении государственной функции выдаче разрешений на трансграничное перемещение озоноразрушающих веществ и содержащей их продукции в соответствии с Федеральным законом от 2 мая 2006 г. № 59-ФЗ "О порядке рассмотрения обращений граждан Российской Федерации" (Собрание законодательства Российской Федерации, 2006, № 19, ст. 2060) в судебном порядке.
Заявитель вправе обратиться с обращением (жалобой) лично или направить ее в письменной форме.
Обращение, поступившее по информационным системам общего пользования, подлежит рассмотрению в порядке, установленном для рассмотрения письменных обращений.
Личный прием Заявителя в Ростехнадзоре (территориальных органах Ростехнадзора) проводится их руководителями и уполномоченными на то должностными лицами. Содержание устного обращения (жалобы) заносится в карточку личного приема Заявителя. В случае если изложенные в устном обращении (жалобе) факты и обстоятельства являются очевидными и не требуют дополнительной проверки, ответ на обращение (жалобу) с согласия Заявителя может быть дан устно в ходе личного приема, о чем делается запись в карточке личного приема Заявителя. В остальных случаях дается письменный ответ по существу поставленных в обращении (жалобе) вопросов.
25. Информация о месте приема, а также об установленных для приема днях и часах размещается на информационных стендах Ростехнадзора (территориальных органов Ростехнадзора) и на официальном сайте Ростехнадзора (территориальных органов Ростехнадзора) (при наличии сайта).
26. Письменное обращение (жалоба) на действия (бездействие) и решения должностных лиц Ростехнадзора (территориальных органов Ростехнадзора) при исполнении государственной функции по выдаче разрешений на трансграничное перемещение озоноразрушающих веществ и содержащей их продукции рассматривается в течение 30 дней со дня регистрации письменного обращения (жалобы).
27. Заявитель в своем письменном обращении (жалобе) в обязательном порядке указывает либо наименование Ростехнадзора (территориального органа Ростехнадзора), в который направляет письменное обращение (жалобу), либо фамилию, имя, отчество соответствующего должностного лица, либо должность соответствующего должностного лица, а также свои фамилию, имя, отчество (последнее - при наличии), почтовый адрес, по которому должен быть направлен ответ или уведомление о переадресовании обращения (жалобы), излагает суть предложения, заявления или жалобы, ставит личную подпись и дату.
Дополнительно в обращении (жалобе) могут быть указаны:
обстоятельства, на основании которых Заявитель считает, что нарушены его права, свободы и законные интересы, созданы препятствия для их реализации;
иные сведения, которые Заявитель считает необходимым сообщить.
В случае необходимости в подтверждение своих доводов Заявитель прилагает к письменному обращению (жалобе) документы и материалы либо их копии.
28. По результатам рассмотрения обращения (жалобы) уполномоченным должностным лицом Ростехнадзора (территориального органа Ростехнадзора) принимается решение об удовлетворении требований Заявителя либо об отказе в удовлетворении обращения (жалобы).
Письменный ответ, содержащий результаты рассмотрения обращения (жалобы), направляется Заявителю.
29. В случае если в письменном обращении не указаны фамилия Заявителя либо наименование юридического лица, направившего обращение (жалобу), и почтовый адрес, по которому должен быть направлен ответ, ответ на обращение (жалобу) не дается.
Ростехнадзор и его территориальные органы при получении письменного обращения (жалобы), в котором содержатся нецензурные либо оскорбительные выражения, угрозы жизни, здоровью и имуществу должностного лица, а также членов его семьи, вправе оставить обращение (жалобу) без ответа по существу поставленных в нем вопросов и сообщить Заявителю, направившему обращение (жалобу), о недопустимости злоупотребления правом.
В случае если текст письменного обращения (жалобы) не поддается прочтению, ответ на обращение (жалобу) не дается, о чем сообщается Заявителю, направившему обращение (жалобу), если его фамилия либо наименование юридического лица и почтовый адрес поддаются прочтению.
В случае если в письменном обращении (жалобе) Заявителя содержится вопрос, на который Заявителю многократно давались письменные ответы по существу в связи с ранее направляемыми обращениями (жалобами), и при этом в обращении (жалобе) не приводятся новые доводы или обстоятельства, руководитель Ростехнадзора (территориального органа Ростехнадзора), иное уполномоченное на то должностное лицо вправе принять решение о безосновательности очередного обращения (жалобы) и прекращении переписки с Заявителем по данному вопросу при условии, что указанное обращение (жалоба) и ранее направляемые обращения (жалобы) направлялись в Ростехнадзор или в один и тот же его территориальный орган Ростехнадзора или одному и тому же должностному лицу. О данном решении уведомляется Заявитель, направивший обращение (жалобу).
В случае если ответ по существу поставленного в обращении (жалобе) вопроса не может быть дан без разглашения сведений, составляющих государственную или иную охраняемую федеральным законом тайну, Заявителю, направившему обращение (жалобу), сообщается о невозможности дать ответ по существу поставленного в нем вопроса в связи с недопустимостью разглашения указанных сведений.
В случае если причины, по которым ответ по существу поставленных в обращении (жалобе) вопросов не мог быть дан, в последующем были устранены, Заявитель вправе вновь направить обращение (жалобу) в Ростехнадзор (территориальный орган Ростехнадзора) или соответствующему должностному лицу.
Обращение (жалоба), в котором обжалуется судебное решение, возвращается Заявителю, направившему обращение (жалобу), с разъяснением порядка обжалования данного судебного решения.
30. Схема направления Заявителем обращений (жалоб), связанных с выполнением административных процедур (административных действий), установленных настоящим административным регламентом:
обращение (жалоба) на действия (бездействия) и решения должностных лиц территориального органа Ростехнадзора по соответствующему субъекту Российской Федерации - руководителю территориального органа Ростехнадзора по соответствующему субъекту Российской Федерации;
обращение (жалоба) на действия (бездействия) и решения руководителя территориального органа Ростехнадзора по соответствующему субъекту Российской Федерации - руководителю Межрегионального органа Ростехнадзора по соответствующему федеральному округу;
обращение (жалоба) на действия (бездействия) и решения должностных лиц Межрегионального органа Ростехнадзора по соответствующему федеральному округу - руководителю Межрегионального органа Ростехнадзора по соответствующему федеральному округу;
обращение (жалоба) на действия (бездействия) и решения руководителя межрегионального органа Ростехнадзора по соответствующему федеральному округу - заместителю руководителя Ростехнадзора, курирующему (или контролирующему) исполнение данной государственной функции Ростехнадзором (территориальными органами Ростехнадзора);
обращение (жалоба) на действия (бездействия) и решения должностных лиц центрального аппарата Ростехнадзора - заместителю руководителя Ростехнадзора, курирующему (или контролирующему) исполнение данной государственной функции Ростехнадзором.
31. Автор обращения вправе в установленном действующим законодательством Российской Федерации порядке обратиться в суд общей юрисдикции или арбитражный суд.
к Административному регламенту
Федеральной службы по экологическому,
технологическому и атомному надзору
по исполнению государственной функции
по выдаче разрешений на трансграничное
перемещение озоноразрушающих веществ
и содержащей их продукции
Перечень органов Федеральной службы по экологическому,
технологическому
и атомному надзору, которым предоставлено право выдачи заключений
о возможности ввоза в Российскую Федерацию и вывоза из Российской Федерации
продукции, не содержащей ОРВ, и закрепленных за ними субъектов Российской Федерации
|
Наименование органа Федеральной службы по экологическому, технологическому и атомному надзору |
Адрес органа Федеральной службы по экологическому, технологическому и атомному надзору |
Прикрепленные регионы |
|
Центральный федеральный округ |
||
|
Управление государственного экологического надзора центрального аппарата Федеральной службы по экологическому, технологическому и атомному надзору |
105066, г. Москва, ул. Александра Лукьянова, д. 4, корп. 8, тел. (495) 736-94-64, (495) 265-77-84 |
Белгородская область, Брянская область, Владимирская область, Воронежская область, Ивановская область, Калужская область, Костромская область, Курская область, Липецкая область, г. Москва, Московская область, Орловская область, Рязанская область, Смоленская область, Тамбовская область, Тверская область, Тульская область, Ярославская область. |
|
Северо-западный федеральный округ |
||
|
Межрегиональное территориальное управление технологического и экологического надзора Федеральной службы по экологическому, технологическому и атомному надзору по Северо-Западному федеральному округу |
191028, г. Санкт-Петербург, ул. Моховая, д. 3 199034, г. Санкт-Петербург, Васильевский остров, 10-я линия, д. 3/30, корп. 1, лит. А (812) 273-55-21, 321-89-88 (812) 321-4988, 273-33-94 |
Республика Карелия, Архангельская область, Вологодская область, г. Санкт-Петербург, Ленинградская область, Новгородская область, Псковская область, Мурманская область. |
|
Управление по технологическому и экологическому надзору Федеральной службы по экологическому, технологическому и атомному надзору по Калининградской области |
236010, г. Калининград, просп. Победы, д. 61 (4012) 57-96-00 (4012) 57-96-01 |
Калининградская область. |
|
Южный федеральный округ |
||
|
Межрегиональное территориальное управление технологического и экологического надзора Федеральной службы по экологическому, технологическому и атомному надзору по Южному федеральному округу |
344029, г. Ростов-на-Дону, ул. Селиванова, д. 66 (863) 290-88-78 (863) 227-95-12 |
Ростовская область, Краснодарский край, Республика Адыгея, Ставропольский край, Астраханская область. |
|
Управление по технологическому и экологическому надзору Федеральной службы по экологическому, технологическому и атомному надзору по Кабардино-Балкарской республике |
360022, г. Нальчик, просп. Ленина, д. 67 (8662) 44-14-80 |
Республика Кабардино-Балкария. |
|
Управление по технологическому и экологическому надзору Федеральной службы по экологическому, технологическому и атомному надзору по республике Дагестан |
367002, Республика Дагестан, г. Махачкала, ул. Насрутдинова, д. 19 (8722) 67-21-47 (8722) 67-34-67 |
Республика Дагестан, Чеченская республика. |
|
Управление по технологическому и экологическому надзору Федеральной службы по экологическому, технологическому и атомному надзору по Республике Северная Осетия - Алания |
362021, РСО-Алания, г. Владикавказ, ул. Иристонская, д. 25 (8672) 51-64-64 |
Республика Северная Осетия - Алания, Ингушская Республика, Карачаево-Черкесская Республика. |
|
Приволжский федеральный округ |
||
|
Межрегиональное территориальное управление технологического и экологического надзора Федеральной службы по экологическому, технологическому и атомному надзору по Приволжскому федеральному округу |
603000, г. Нижний Новгород, Гребешковский откос, д. 7 (831) 434-20-73 (831) 434-20-81 |
Республика Калмыкия, Волгоградская область, Нижегородская область. |
|
Управление по технологическому и экологическому надзору Федеральной службы по экологическому, технологическому и атомному надзору по республике Татарстан |
420097, г. Казань, а/я 35, ул. Зинина, д. 4 (843) 231-17-02 (843) 231-17-77 |
Республика Марий-Эл, Республика Татарстан, Чувашская Республика, Республика Башкортостан, Республика Мордовия, Самарская область. |
|
Управление по технологическому и экологическому надзору Федеральной службы по экологическому, технологическому и атомному надзору по Оренбургской области |
460024, г. Оренбург, ул. Аксакова, д. 3-а (3532) 77-48-32 |
Пензенская область, Оренбургская область, Саратовская область, Ульяновская область. |
|
Пермское межрегиональное управление по технологическому и экологическому надзору Федеральной службы по экологическому, технологическому и атомному надзору |
614990, г. Пермь, ГСП-95, ул. Комсомольская, д. 34-б (342) 233-55-95 (342) 233-57-51 |
Удмуртская Республика, Кировская область, Пермская область, Коми-Пермяцкий автономный округ, Республика Коми, Ненецкий автономный округ. |
|
Уральский федеральный округ |
||
|
Межрегиональное территориальное управление технологического и экологического надзора Федеральной службы по экологическому, технологическому и атомному надзору по Уральскому федеральному округу |
620144, г. Екатеринбург, ул. Большая, д. 97 (8343) 251-46-58 |
Свердловская область, Курганская область, Челябинская область, Тюменская область, Ханты-Мансийский автономный округ, Ямало-Ненецкий автономный округ. |
|
Сибирский федеральный округ |
||
|
Межрегиональное территориальное управление технологического и экологического надзора Федеральной службы по экологическому, технологическому и атомному надзору по Сибирскому федеральному округу |
630008, г. Новосибирск-8, ул. Толстого, д. 5 (383) 222-26-30 (383) 218-30-99 |
Новосибирская область, Омская область, Томская область, Кемеровская область, Алтайский край, Республика Алтай |
|
Енисейское межрегиональное территориальное управление технологического и экологического надзора Федеральной службы по экологическому, технологическому и атомному надзору |
660049, г. Красноярск, просп. Мира, д. 36 (3912) 27-53-38 (3912) 59-10-05 |
Республика Тыва, Республика Хакасия, Красноярский край, Эвенкийский автономный округ, Таймырский (Долгано-Ненецкий) автономный округ, |
|
Иркутское межрегиональное управление по технологическому и экологическому надзору Федеральной службы по экологическому, технологическому и атомному надзору |
664003, г. Иркутск, ул. Дзержинского, д. 1 (3952) 21-86-55 |
Иркутская область, Усть-Ордынский автономный округ, Республика Бурятия, Читинская область, Агинский Бурятский автономный округ |
|
Дальневосточный федеральный округ |
||
|
Межрегиональное территориальное управление технологического и экологического надзора Федеральной службы по экологическому, технологическому и атомному надзору по Дальневосточному федеральному округу |
680000, г. Хабаровск, ул. Запарина, д. 76 (4212) 32-45-26 (4212) 32-45-26 |
Хабаровский край, Амурская область, Еврейская автономная область. |
|
Управление по технологическому и экологическому надзору Федеральной службы по экологическому, технологическому и атомному надзору по Приморскому краю |
690950, Приморский край, г. Владивосток, ул. Светланская, д. 1 (4232) 41-20-18 |
Приморский край. |
|
Камчатское межрегиональное управление по технологическому и экологическому надзору Федеральной службы по экологическому, технологическому и атомному надзору |
683031, г. Петропавловск-Камчатский, просп. Маркса, д. 35 (4152) 26-60-46 |
Камчатская область, Корякский автономный округ. |
|
Управление по технологическому и экологическому надзору Федеральной службы по экологическому, технологическому и атомному надзору по республике Саха (Якутия) |
677018, Республика Саха (Якутия), г. Якутск, ул. Кирова, д. 13 (4112) 42-26-38 |
Чукотский автономный округ, Республика Саха (Якутия). |
|
Управление по технологическому и экологическому надзору Федеральной службы по экологическому, технологическому и атомному надзору по Магаданской области |
685000, г. Магадан, ул. Пролетарская, д. 11, к. 425 (413-22) 2-13-69 |
Магаданская область |
|
Управление по технологическому и экологическому надзору Федеральной службы по экологическому, технологическому и атомному надзору по Сахалинской области |
693000, г. Южно-Сахалинск, ул. К. Маркса, д. 32 (4242) 72-15-70 |
Сахалинская область. |
к Административному регламенту
Федеральной службы по экологическому,
технологическому и атомному надзору
по исполнению государственной функции
по выдаче разрешений на трансграничное
перемещение озоноразрушающих веществ
и содержащей их продукции
|
Образец |
|
|
|
Заявление на получение Решения (Заключения) на ввоз (вывоз) в Российскую Федерацию (из Российской Федерации) озоноразрушающих веществ и продукции их содержащей или продукции, не содержащей озоноразрушающих веществ, предусмотренных списком А приложения № 1 к постановлению Правительства Российской Федерации от 8 мая 1996 г. № 563 "О регулировании ввоза в Российскую Федерацию и вывоза из Российской Федерации озоноразрушающих веществ и содержащей их продукции" |
|
|
|
Организация _______________________________________________________________ |
|
(наименование организации - заявителя) |
|
расположенная по адресу ____________________________________________________ |
|
(юридический адрес организации - заявителя) |
|
контактные телефоны ______________________________________________________ |
|
заявляет о намерении* ввоза в Российскую Федерацию или вывоза из Российской Федерации** |
|
__________________________________________________________________________ |
|
(наименование, марка продукции) |
|
в количестве (объеме): ______________________________________________________ |
|
(указать количество (объем), единицы измерения) |
|
содержащей _______________________________________________________________ |
|
(указать наименование, используемого хладагента, пропеллента, вспенивателя) |
|
по контракту (договору, инвойсу) _____________________________________________ |
|
(указать реквизиты документов поставки) |
|
код по ТН ВЭД; ____________________________________________________________ |
|
(указать код продукции по ТН ВЭД) |
|
страна производитель, фирма; ________________________________________________ |
|
страна, из которой осуществляется ввоз ________________________________________ |
|
страна, в которую осуществляется вывоз _______________________________________ |
|
к заявке прилагаются документы: _____________________________________________ |
|
(перечислить №№ контрактов, сертификатов, заключений лаборатории и пр.) |
|
|
|
Ответственность за достоверность предоставленной информации несет организация-заявитель. |
|
|
|
Руководитель предприятия ___________________________________________________ |
|
(личная подпись, фамилия, инициалы, печать) |
|
_____________ * если модельный ряд, ассортимент продукции превышает три наименования, в заявлении указывается: "продукция согласно приложению". Приложение, заверенное печатью организации заявителя, оформляется в виде таблицы в соответствии с Приложением и представляется в электронном виде и на бумажном носителе. ** в позиции указывается конкретное намерение на ввоз в Российскую Федерацию или на вывоз из Российской Федерации |
|
Приложение к Заявлению |
|
Наименование продукции |
Марка, модель продукции |
Наименование хладагента, пропеллента, вспенивающего вещества |
Фирма производитель, страна производитель |
Страна, из которой осуществляется ввоз |
Код ТН ВЭД |
|
|
|
|
|
|
|
|
|
|
|
|
|
|
|
|
|
|
|
|
|
|
Руководитель организации __________________________________________ |
|
(подпись, фамилия, инициалы, печать) |
к Административному регламенту
Федеральной службы по экологическому,
технологическому и атомному надзору
по исполнению государственной функции
по выдаче разрешений на трансграничное
перемещение озоноразрушающих веществ
и содержащей их продукции
|
Образец |
|
Заявление на переоформление Решения |
|
|
|
Организация _______________________________________________________________ |
|
Юридический адрес: ________________________________________________________ |
|
Почтовый адрес: ____________________________________________________________ |
|
Телефон: __________________________________________________________________ |
|
Адрес электронной почты: ___________________________________________________ |
|
Ф.И.О. руководителя организации _____________________________________________ |
|
|
|
просит переоформить Решение на ввоз в Российскую Федерацию (вывоз из Российской Федерации) озоноразрушающих веществ и содержащей их продукции |
|
ранее выданное от _________ 200__ г. № ________ , |
|
в связи с __________________________________________________________________ |
|
(указывается причина переоформления) |
|
|
|
Для принятия решения направляем следующие материалы: (перечисление прилагаемых документов) |
|
|
|
Руководитель ______________________________________________________________ |
|
(подпись, фамилия, инициалы, печать) |
к Административному регламенту
Федеральной службы по экологическому,
технологическому и атомному надзору
по исполнению государственной функции
по выдаче разрешений на трансграничное
перемещение озоноразрушающих веществ
и содержащей их продукции
|
Образец |
|
Заявление на выдачу дубликата Решения (Заключения) |
|
Организация _______________________________________________________________ |
|
Юридический адрес: ________________________________________________________ |
|
Почтовый адрес: ____________________________________________________________ |
|
Телефон: __________________________________________________________________ |
|
Адрес электронной почты: ___________________________________________________ |
|
Ф.И.О. руководителя организации _____________________________________________ |
|
|
|
просит выдать Дубликат Решения на ввоз в Российскую Федерацию (вывоз из Российской Федерации) озоноразрушающих веществ и содержащей их продукции (Заключения о том, что предполагаемая к трансграничному перемещению продукция не относится к категории озоноразрушающих веществ и содержащей их продукции и не является предметом регулирования, подпадающим под действие постановления Правительства Российской Федерации от 8 мая1996 г. № 563), |
|
выданного от __________ 200__ г. № ____________ в связи с |
|
__________________________________________________________________________ |
|
(указывается причина) |
|
|
|
Руководитель __________________________________________________ |
|
(подпись, фамилия, инициалы, печать) |
к Административному регламенту
Федеральной службы по экологическому,
технологическому и атомному надзору
по исполнению государственной функции
по выдаче разрешений на трансграничное
перемещение озоноразрушающих веществ
и содержащей их продукции
|
Образец Решения |
|
|
|
|
|
Бланк Ростехнадзора |
Министерство промышленности и |
|
|
торговли Российской Федерации |
|
|
|
|
В соответствии с постановлением Правительства Российской Федерации от 8 мая 1996 г. № 563 "О регулировании ввоза в Российскую Федерацию и вывоза из Российской Федерации озоноразрушающих веществ и содержащей их продукции" Федеральной службой по экологическому, технологическому и атомному надзору принято |
|
|
Решение |
|
|
о возможности организацией: |
|
|
расположенной по адресу: |
|
|
получения лицензии |
|
|
на ввоз в Российскую Федерацию (вывоз из Российской Федерации): |
|
|
__________________________________________________________________________ |
|
|
указывается конкретное намерение на ввоз или вывоз, вид вещества, продукции |
|
|
в количестве: ______________________________________________________________ |
|
|
документы поставки: ________________________________________________________ |
|
|
код товара по ТН ВЭД России: _______________________________________________ |
|
|
страна, фирма производитель: ________________________________________________ |
|
|
страна, из которой производится ввоз (вывоз) ___________________________________ |
|
|
|
|
|
Срок действия настоящего Решения: по ________________________ |
|
|
дата и год действия |
|
|
|
|
|
Заместитель руководителя __________________________________ |
|
|
подпись, фамилия, инициалы, печать |
|
к Административному регламенту
Федеральной службы по экологическому,
технологическому и атомному надзору
по исполнению государственной функции
по выдаче разрешений на трансграничное
перемещение озоноразрушающих веществ
и содержащей их продукции
|
Образец |
|
|
|
|
|
Бланк Ростехнадзора, |
Таможенные органы |
|
территориального органа |
|
|
Ростехнадзора |
|
|
Заключение |
|
|
Федеральная служба по экологическому, технологическому и атомному надзору рассмотрела материалы |
|
|
организации: ____________________________________________________________ |
|
|
расположенной по адресу: _________________________________________________ |
|
|
о возможности ввоза в Российскую Федерацию (вывоза из Российской Федерации) продукции: |
|
|
__________________________________________________________________________ |
|
|
указывается конкретное намерение на ввоз или вывоз, вид продукции |
|
|
содержащей: ____________________________________________________________ |
|
|
в количестве: ___________________________________________________________ |
|
|
документы поставки: _____________________________________________________ |
|
|
код товара по ТН ВЭД России: ____________________________________________ |
|
|
страна, фирма производитель: _____________________________________________ |
|
|
страна, из которой (в которую) производится ввоз (вывоз):_____________________ |
|
|
Продукция не содержит озоноразрушающих веществ, предусмотренных списком А приложения № 1 к постановлению Правительства Российской Федерации от 8 мая 1996 г. № 563 "О регулировании ввоза в Российскую Федерацию и вывоза из Российской Федерации озоноразрушающих веществ и содержащей их продукции". |
|
|
Заключение выдано на основании представленных материалов. |
|
|
Срок действия настоящего заключения - 1 год с момента его выдачи, но не более срока, оговоренного документами поставки. |
|
|
|
|
|
Приложение на ___ л. в 1 экз. |
|
|
|
|
|
Начальник (руководитель) Управления |
|
|
государственного экологического надзора |
|
|
(территориального органа Ростехнадзора) ________________________________ |
|
|
(подпись, фамилия, инициалы, печать) |
|
|
|
|
|
Бланк Ростехнадзора, |
|
|
территориального органа Ростехнадзора |
|
|
__________________________________________________________________________ |
|
|
|
|
|
Приложение к Заключению от __________ № _____ |
|
|
Наименование продукции |
Марка, модель продукции |
Наименование хладагента, пропеллента, вспенивающего вещества |
Фирма производитель, страна производитель |
Страна, из которой осуществляется ввоз |
Код ТН ВЭД |
|
|
|
|
|
|
|
|
|
|
|
|
|
|
|
|
|
|
|
|
|
|
Начальник (руководитель) Управления |
|
государственного экологического надзора |
|
(территориального органа Ростехнадзора) ________________________________ |
|
(подпись, фамилия, инициалы, печать) |
к Административному регламенту
Федеральной службы по экологическому,
технологическому и атомному надзору
по исполнению государственной функции
по выдаче разрешений на трансграничное
перемещение озоноразрушающих веществ
и содержащей их продукции
|
Образец письма об отказе в выдаче Решения (Заключения) |
|
|
|
|
|
Бланк Ростехнадзора, |
Наименование Заявителя |
|
территориального органа |
|
|
Ростехнадзора |
Почтовый адрес |
|
|
|
|
Федеральная служба по экологическому, технологическому и атомному надзору рассмотрела представленные (наименование заявителя) материалы для получения разрешительных документов о возможности ввоза в Российскую Федерацию продукции, содержащей (не содержащей) озоноразрушающие вещества, и сообщает. |
|
|
|
|
|
В соответствии с пунктом 10 Административного регламента Федеральной службы по экологическому, технологическому и атомному надзору по исполнению государственной функции по выдаче разрешений на трансграничное перемещение озоноразрушающих веществ и содержащей их продукции, утвержденного приказом Ростехнадзора от __________ № _________ (зарегистрирован Минюстом России _________ № ________) принято решение об отказе в выдаче разрешительных документов на основании следующего: (перечисление причин отказа). |
|
|
|
|
|
Начальник (заместитель начальника) |
|
|
Управления государственного экологического надзора |
|
|
(Руководитель (заместитель руководителя) |
|
|
территориального органа Ростехнадзора) _________________________________ |
|
|
(подпись, фамилия, инициалы) |
|
к Административному регламенту
Федеральной службы по экологическому,
технологическому и атомному надзору
по исполнению государственной функции
по выдаче разрешений на трансграничное
перемещение озоноразрушающих веществ
и содержащей их продукции
|
Образец письма об отказе в переоформлении Решения |
|
|
|
|
|
Бланк Ростехнадзора, |
Наименование Заявителя |
|
территориального органа |
|
|
Ростехнадзора |
Почтовый адрес |
|
|
|
|
В соответствии с пунктом 15.5 Административного регламента Федеральной службы по экологическому, технологическому и атомному надзору по исполнению государственной функции по выдаче разрешений на трансграничное перемещение озоноразрушающих веществ и содержащей их продукции, утвержденного приказом Ростехнадзора от _________ № ________ (зарегистрирован Минюстом России __________ № _______) принято решение об отказе в переоформлении Решения на ввоз вывоз озоноразрушающих веществ и содержащей их продукции на основании следующего: (перечисление оснований для отказа). |
|
|
|
|
|
Начальник (заместитель начальника) |
|
|
Управления государственного экологического надзора |
|
|
(Руководитель (заместитель руководителя) |
|
|
территориального органа Ростехнадзора) _________________________________ |
|
|
(подпись, фамилия, инициалы) |
|
к Административному регламенту
Федеральной службы по экологическому,
технологическому и атомному надзору
по исполнению государственной функции
по выдаче разрешений на трансграничное
перемещение озоноразрушающих веществ
и содержащей их продукции
|
Образец письма о приостановлении действия Решения или его отмене |
|
|
|
|
|
Бланк Ростехнадзора |
Наименование и адрес организации |
|
|
Министерство промышленности и торговли |
|
|
Российской Федерации |
|
|
Федеральная таможенная служба |
|
|
|
|
В связи с нарушением порядка ввоза в Российскую Федерацию (вывоза из Российской Федерации) озоноразрушающих веществ и содержащей их продукции, возникновением обстоятельств, приводящих к нанесению ущерба экономическим интересам Российской Федерации и несоблюдению обязательств Российской Федерации по Монреальскому протоколу, Федеральной службой по экологическому, технологическому и атомному надзору принято решение о приостановлении действия (отмене) Решения от ______________ № __________, выданного на ввоз (вывоз) в Российскую Федерацию (из Российской Федерации) озоноразрушающих веществ и |
|
|
содержащей их продукции для |
|
|
_________________________________________________________________________. |
|
|
(наименование организации, индивидуального предпринимателя) |
|
|
|
|
|
Заместитель руководителя __________________________________________________ |
|
|
(подпись, фамилия, инициалы, печать) |
|
к Административному регламенту
Федеральной службы по экологическому,
технологическому и атомному надзору
по исполнению государственной функции
по выдаче разрешений на трансграничное
перемещение озоноразрушающих веществ
и содержащей их продукции
Взаимосвязь административных процедур и блок-схемы
последовательности действий при исполнении государственной функции по выдаче
разрешений на трансграничное перемещение озоноразрушающих веществ
и содержащей их продукции
Условные обозначения

Блок-схема последовательности действий при исполнении
административной
процедуры по выдаче Решений

Блок-схема последовательности действий при исполнении
административной
процедуры по выдаче Заключений

Блок-схема последовательности действий при исполнении
административной
процедуры по переоформлению Решения

Блок-схема последовательности действий при исполнении
административной
процедуры по переоформлению Заключения

Блок-схема последовательности действий при исполнении
административной
процедуры по выдаче дубликата Решения (Заключения)

Блок-схема последовательности действий при исполнении
административной
процедуры по приостановлению действия Решения или его отмене

к Административному регламенту
Федеральной службы по экологическому,
технологическому и атомному надзору
по исполнению государственной функции
по выдаче разрешений на трансграничное
перемещение озоноразрушающих веществ
и содержащей их продукции
Описание последовательности и состава административных действий Ростехнадзора при осуществлении административной процедуры по выдаче Решения
1. Последовательность административных действий
Административная процедура по выдаче Решений включает административные действия в следующей последовательности:
- прием и регистрация материалов Заявителя;
- назначение ответственного должностного лица;
- рассмотрение материалов Заявителя;
- принятие решения о выдаче Решения либо о мотивированном отказе в выдаче этого документа;
- оформление Решения;
- выдача заявителю Решения;
- внесение информации выдаче документа в соответствующий информационный ресурс (журнал, банк данных).
2. Состав административных действий
|
Наименование административного действия |
Основания для начала административного действия |
Должностное лицо, ответственное за выполнение административного действия |
Максимальный срок выполнения административного действия |
Критерии принятия решения |
Способ фиксации результата |
Результат действия и порядок передачи результатов |
|
Прием и регистрация материалов Заявителя |
Представление Заявителем материалов в Ростехнадзор |
Сотрудник канцелярии либо соответствующего структурного подразделения Ростехнадзора |
2 дня |
Критерием приема документов Заявителя и их регистрации является соответствие документов описи, указанной в заявлении. |
Регистрация комплекта документов Заявителя с отметкой о дате приемки, направление Заявителю одного экземпляра заявления с отметкой о приме материалов |
Внесение информации о приеме и регистрации материалов Заявителя, о регистрационном номере и дате регистрации в соответствующую информационную базу Направление материалов начальнику структурного подразделения (отдела) для назначения ответственного исполнителя |
|
Назначение ответственного должностного лица (ответственного исполнителя) |
Поступление материалов начальнику структурного подразделения (отдела) Ростехнадзора для назначения ответственного исполнителя |
Начальник структурного подразделения Ростехнадзора назначает ответственного исполнителя |
1 день |
Начальник структурного подразделения (отдела) назначает ответственного должностного лица с учетом его должностных обязанностей |
Начальник структурного подразделения ставит резолюцию о назначении ответственного исполнителя |
Ответственное должностное лицо получает материалы, представленные Заявителем |
|
Рассмотрение материалов Заявителя |
Поступление материалов Заявителя ответственному исполнителю |
Ответственный исполнитель |
15 дней |
Основания для отказа в выдаче Решения указаны пункте 10 Регламента |
Принятие решения о возможности выдачи Решения либо о мотивированном отказе в выдаче Решения |
1. Рассмотрение материалов на предмет возможности выдачи Решения |
|
2. Подготовка Заявителю письма о мотивированном отказе в выдаче решения |
||||||
|
Оформление Решения |
Решение, принятое по результатам рассмотрения материалов Заявителя |
Ответственный исполнитель |
5 дней |
|
Оформление Решения или мотивированного отказа, визирование и подписание решения или мотивированного отказа, регистрация Решения или мотивированного отказа |
Выдача оформленного Решения или мотивированного отказа Заявителю |
|
Ведение информационного ресурса (журнала, базы данных (реестра) о выданных Решениях |
Оформление Решений |
Ответственный исполнитель |
1 день |
Ведение учета выданных Решений |
Внесение в базу данных информации о выданных Решениях |
Внесение в базу данных информации о выданных решениях |
|
Информирование Минпромторг России |
Подготовка сопроводительного письма в Министерство промышленности и торговли Российской Федерации |
Ответственный исполнитель |
1 день |
|
Направление информации в Министерство промышленности и торговли Российской Федерации |
|
к Административному регламенту
Федеральной службы по экологическому,
технологическому и атомному надзору
по исполнению государственной функции
по выдаче разрешений на трансграничное
перемещение озоноразрушающих веществ
и содержащей их продукции
Описание последовательности и состава административных действий Ростехнадзора при осуществлении административной процедуры по выдаче Заключений
1. Последовательность административных действий
Административная процедура по выдаче Заключений включает административные действия в следующей последовательности:
- прием и регистрация материалов Заявителя;
- назначение ответственного должностного лица;
- рассмотрение материалов Заявителя;
- принятие решения о выдаче Заключения либо о мотивированном отказе в выдаче этого документа;
- оформление Заключения;
- выдача заявителю Заключения;
- внесение информации выдаче документа в соответствующий информационный ресурс (журнал, банк данных).
2. Состав административных действий
|
Наименование административного действия |
Основания для начала административного действия |
Должностное лицо, ответственное за выполнение административного действия |
Максимальный срок выполнения административного действия |
Критерии принятия решения |
Способ фиксации результата |
Результат действия и порядок передачи результатов |
|
Прием и регистрация материалов Заявителя |
Представление Заявителем материалов в Ростехнадзор, территориальный орган Ростехнадзора |
Сотрудник канцелярии либо соответствующего структурного подразделения Ростехнадзора территориального органа Ростехнадзора |
2 дня |
Критерием приема документов Заявителя и их регистрации является соответствие документов описи, указанной в заявлении. |
Регистрация комплекта документов Заявителя с отметкой о дате приемки, направление Заявителю одного экземпляра заявления с отметкой о приме материалов |
Внесение информации о приеме и регистрации материалов Заявителя, о регистрационном номере и дате регистрации в соответствующую информационную базу Направление материалов начальнику структурного подразделения (отдела) Ростехнадзора, территориального органа Ростехнадзора для назначения ответственного исполнителя |
|
Назначение ответственного должностного лица (ответственного исполнителя) |
Поступление материалов начальнику структурного подразделения (отдела) Ростехнадзора, территориального органа Ростехнадзора для назначения ответственного исполнителя |
Начальник структурного подразделения Ростехнадзора, территориального органа Ростехнадзора назначает ответственного исполнителя |
1 день |
Начальник структурного подразделения (отдела) принимает решение о назначении ответственного исполнителя с учетом его должностных обязанностей |
Начальник структурного подразделения ставит резолюцию о назначении ответственного исполнителя |
Ответственный исполнитель получает материалы, представленные Заявителем |
|
Рассмотрение материалов Заявителя |
Поступление материалов Заявителя ответственному исполнителю |
Ответственное должностное Ростехнадзора, Территориального органа Ростехнадзора |
2 дня |
Основания для отказа в выдаче Заключения указаны пункте 10 Регламента |
Принятие решения о возможности выдачи Заключения либо о мотивированном отказе в выдаче Заключения |
1. Рассмотрение материалов на предмет возможности выдачи Заключения |
|
2. Подготовка Заявителю письма о мотивированном отказе в выдаче заключения |
||||||
|
Оформление Заключения |
Решение о выдаче Заключения принимается по результатам рассмотрения материалов Заявителя |
Ответственный исполнитель |
2 дня |
|
Оформление Заключения или мотивированного отказа, визирование и подписание Заключения или мотивированного отказа, регистрация Заключения или мотивированного отказа. |
Выдача оформленного Заключения или мотивированного отказа Заявителю |
|
Ведение информационного ресурса (журнала, базы данных) о выданных Заключениях |
Оформленное Заключение |
Ответственный исполнитель |
1 день |
Ведение учета выданных Заключений |
Внесение в базу данных информации о выданных Заключениях |
Внесение в базу данных информации о выданных Заключениях |
к Административному регламенту
Федеральной службы по экологическому,
технологическому и атомному надзору
по исполнению государственной функции
по выдаче разрешений на трансграничное
перемещение озоноразрушающих веществ
и содержащей их продукции
Описание последовательности и состава административных действий Ростехнадзора, территориального органа Ростехнадзора при осуществлении административной процедуры по переоформлению Решения
1. Последовательность административных действий
Административная процедура по переоформлению Решения включает административные действия в следующей последовательности:
- прием и регистрация материалов Заявителя;
- назначение ответственного должностного лица;
- рассмотрение материалов Заявителя;
- переоформление Решений (или Заключений);
- выдача переоформленного Решения (или Заключения);
- внесение информации о выдаче документов в соответствующий информационный ресурс (журнал, базу данных (реестр).
2. Состав административных действий
|
Наименование административного действия |
Основания для начала административного действия |
Должностное лицо, ответственное за выполнение административного действия |
Максимальный срок выполнения административного действия |
Критерии принятия решения |
Способ фиксации результата |
Результат действия и порядок передачи результатов |
|
Прием и регистрация материалов Заявителя |
Представление Заявителем материалов в Ростехнадзор, |
Сотрудник канцелярии либо соответствующего структурного подразделения Ростехнадзора, |
2 дня |
Критерием приема документов Заявителя и их регистрации является соответствие перечню документов |
Регистрация комплекта документов Заявителя с отметкой о дате приемки, направление Заявителю одного экземпляра заявления с отметкой о приеме материалов |
Внесение информации о приеме и регистрации материалов Заявителя, о регистрационном номере и дате регистрации в соответствующую информационную базу |
|
Назначение ответственного должностного лица (ответственного исполнителя) |
Поступление материалов начальнику структурного подразделения (отдела) Ростехнадзора, для назначения ответственного исполнителя |
Начальником структурного подразделения Ростехнадзора, назначается ответственный исполнитель |
1 день |
Начальник структурного подразделения (отдела) принимает решение о назначении ответственного исполнителя |
Ответственное исполнитель получает материалы, представленные Заявителем, с резолюцией начальника структурного подразделения (отдела) об их исполнении |
Ответственный исполнитель получает материалы, представленные Заявителем |
|
Рассмотрение материалов Заявителя |
Поступление материалов Заявителя ответственному исполнителю |
Ответственный исполнитель |
2 дней |
Основания для отказа указаны в п. 15.5 регламента |
Подготовка решения о переоформлении Решений (Заключений) либо о мотивированном отказе в переоформлении |
Подготовленный проект решения или мотивированного отказа |
|
Переоформление Решения (или Заключения) |
Решение о переоформлении документов, принятое по результатам рассмотрения материалов Заявителя |
Ответственный исполнитель |
2 дня |
|
Оформление переоформленного Решения или мотивированного отказа, визирование и подписание в установленном порядке, регистрация Решения или мотивированного отказа |
Выдача Заявителю переоформленного Решения либо мотивированного отказа Заявителю |
|
Внесение информации о переоформлении разрешительных документов в соответствующий информационный ресурс (журнал, базу данных) |
Переоформленное Решение |
Ответственный исполнитель |
1 день |
Ведение учета Решений |
Внесение в информационный ресурс сведений о переоформлении документов |
Внесение информации о переоформлении документов в информационный ресурс |
к Административному регламенту
Федеральной службы по экологическому,
технологическому и атомному надзору
по исполнению государственной функции
по выдаче разрешений на трансграничное
перемещение озоноразрушающих веществ
и содержащей их продукции
Описание последовательности и состава административных действий по выдаче дубликата Решения (Заключения)
1. Последовательность административных действий
Административная процедура по выдаче дубликата Решения (Заключения) включает административные действия в следующей последовательности:
- прием и регистрация материалов Заявителя;
- назначение ответственного должностного лица;
- рассмотрение материалов Заявителя;
- оформление дубликата Решения (Заключения);
- выдача дубликата Решения (Заключения);
- внесение информации о выдаче документов в соответствующий информационный ресурс (журнал, базу данных (реестр).
2. Состав административных действий
|
Наименование административного действия |
Основания для начала административного действия |
Должностное лицо, ответственное за выполнение административного действия |
Максимальный срок выполнения административного действия |
Критерии принятия решения |
Способ фиксации результата |
Результат действия и порядок передачи результатов |
|
Прием и регистрация материалов Заявителя |
Представление Заявителем материалов в Ростехнадзор, территориальный орган Ростехнадзора |
Сотрудник канцелярии либо соответствующего структурного подразделения Ростехнадзора, территориального органа Ростехнадзора |
2 дня |
Критерием приема документов Заявителя и их регистрации является соответствие перечню документов |
Регистрация комплекта документов Заявителя с отметкой о дате приемки, направление Заявителю одного экземпляра заявления с отметкой о приме материалов |
Внесение информации о приеме и регистрации материалов Заявителя, о регистрационном номере и дате регистрации в соответствующую информационную базу |
|
Назначение ответственного должностного лица (ответственного исполнителя) |
Поступление материалов начальнику структурного подразделения (отдела) Ростехнадзора, территориального органа Ростехнадзора для назначения ответственного исполнителя |
Начальником структурного подразделения Ростехнадзора, территориального органа Ростехнадзора назначается ответственный исполнитель |
1 день |
Начальник структурного подразделения (отдела) принимает решение о назначении ответственного исполнителя |
Ответственный исполнитель получает материалы, представленные Заявителем, с резолюцией начальника структурного подразделения (отдела) об их исполнении |
Ответственный исполнитель получает материалы, представленные Заявителем |
|
Рассмотрение Заявления и архивных материалов Заявителя, на основании которых было принято решение о выдаче Решения (Заключения) |
Поступление Заявления ответственному исполнителю |
Ответственный исполнитель |
2 дня |
|
Подготовка решения о выдаче дубликата Решений (Заключений) |
Подготовленный проект решения |
|
Оформление дубликата Решения (или Заключения) |
Решение о переоформлении документов, принятое по результатам рассмотрения материалов Заявителя |
Ответственный исполнитель |
2 дня |
|
Оформление дубликата Решения (Заключения), визирование и подписание в установленном порядке, регистрация Решения (Заключения) |
Выдача дубликата Решения (Заключения) Заявителю |
|
Внесение информации о переоформлении разрешительных документов в соответствующий информационный ресурс (журнал, базу данных) |
Оформленный дубликат Решения (Заключения) |
Ответственный исполнитель |
1 день |
Ведение учета выданных документов |
Внесение в информационный ресурс сведений о выдаче дубликата Решения (Заключения) |
Внесение информации о выдаче дубликата Решения (Заключения) в информационный ресурс |
к Административному регламенту
Федеральной службы по экологическому,
технологическому и атомному надзору
по исполнению государственной функции
по выдаче разрешений на трансграничное
перемещение озоноразрушающих веществ
и содержащей их продукции
Описание последовательности и состава административных действий по приостановлению действия Решения или его отмене
1. Последовательность административных действий
Административная процедура по приостановлению действия Решения или его отмене включает административные действия в следующей последовательности:
- прием и регистрация письменной информации Федеральной таможенной службы или Министерства промышленности и торговли Российской Федерации;
- назначение ответственного должностного лица;
- рассмотрение информации, представленной федеральными органами исполнительной власти, о выявленном(-ых) нарушении(-ях) со стороны юридических лиц и индивидуальных предпринимателей, осуществляющих ввоз (вывоз) в Российскую Федерации (из Российской Федерации) озоноразрушающих веществ и содержащей их продукции, ведущих к несоблюдению обязательств Российской Федерации по Монреальскому протоколу, а также материалов Заявителя, на основании которых было выдано соответствующее Решение;
- оформление решения по приостановлению действия Решения или его отмене и информирование Министерства промышленности и торговли Российской Федерации, Федеральную таможенную службу о приостановлении действия Решения или его отмене, владельца Решения о приостановлении действия Решения или его отмене;
- внесение информации о приостановлении действия Решения или его отмене в соответствующий информационный ресурс (журнал, банк данных (реестр).
2. Состав административных действий
|
Наименование административного действия |
Основания для начала административного действия |
Должностное лицо, ответственное за выполнение административного действия |
Максимальный срок выполнения административного действия |
Критерии принятия решения |
Способ фиксации результата |
Результат действия и порядок передачи результатов |
|
Прием и регистрация информации Федеральной таможенной службы или Министерства промышленности и торговли Российской Федерации |
Получение письменной информации от соответствующих федеральных органов исполнительной власти |
Ответственное должностное лицо Ростехнадзора |
2 дня |
В соответствии с п. 17.1 Регламента |
Регистрация письма федерального органа исполнительной власти |
Внесение информации о регистрационном номере и дате регистрации в соответствующую информационную базу |
|
Назначение ответственного должностного лица (ответственного исполнителя) |
Поступление письма с информацией начальнику структурного подразделения (отдела) Ростехнадзора для назначения ответственного исполнителя |
Начальником структурного подразделения Ростехнадзора назначается ответственный исполнитель |
1 день |
Начальник структурного подразделения (отдела) принимает решение о назначении ответственного исполнителя |
Ответственный исполнитель получает письмо с информацией федерального органа исполнительной власти с резолюцией начальника структурного подразделения (отдела) об их исполнении |
Ответственный исполнитель получает письмо с информацией федерального органа исполнительной власти для рассмотрения |
|
Рассмотрение информации, представленной федеральными органами исполнительной власти, а также архивных материалов Заявителя, на основании которых было выдано соответствующее Решение |
Письмо с информацией федерального органа исполнительной власти |
Ответственный исполнитель |
3 дней |
Нарушения порядка ввоза (вывоза) озоноразрушающих веществ и содержащей их продукции в Российской Федерации (из Российской Федерации) |
Подготовка решения о приостановлении действия Решения или его отмене. |
Подготовка проекта письма в федеральные органы исполнительной власти (Министерство промышленности и торговли Российской Федерации, Федеральную таможенную службу), участнику внешнеэкономической деятельности, при осуществлении которой выявлены нарушения, о приостановке действия Решения или его отмене |
|
Оформление решения по приостановлению действия Решения или его отмене |
Решение о приостановке действия Решения или его отмене |
Ответственный исполнитель |
3 дня |
|
Оформление проекта письма в федеральные органы исполнительной власти (Министерство промышленности и торговли Российской Федерации, Федеральную таможенную службу), участнику внешнеэкономической деятельности, при осуществлении которой выявлены нарушения, о приостановке действия Решения или его отмене, визирование, подписание проекта письма, регистрация письма |
Направление письма о приостановлении действия Решения или его отмене в федеральные органы исполнительной власти (Министерство промышленности и торговли Российской Федерации, Федеральную таможенную службу) |
|
Внесение информации о приостановке действия Решения или его отмене в соответствующий информационный ресурс (журнал, базу данных (реестр) |
Оформленное Письмо о приостановке действия Решения или его отмене |
Ответственный исполнитель |
1 день |
Ведение учета разрешительных документов |
Внесение в информационный ресурс сведений о приостановке действия Решения или его отмене |
Внесение информации о приостановке действия Решения или его отмене в информационный ресурс |