Environmental control and monitoring systems. General guidelines on creation, adoption and ensuring functioning of the chemical weapons destruction

ФЕДЕРАЛЬНОЕ АГЕНТСТВО
ПО ТЕХНИЧЕСКОМУ РЕГУЛИРОВАНИЮ И МЕТРОЛОГИИ

НАЦИОНАЛЬНЫЙ
СТАНДАРТ
РОССИЙСКОЙ
ФЕДЕРАЦИИ

ГОСТ Р
53009-2008

СИСТЕМЫ ЭКОЛОГИЧЕСКОГО КОНТРОЛЯ
И МОНИТОРИНГА

Общие руководящие указания по созданию,
внедрению и обеспечению функционирования
на объектах по уничтожению химического оружия

Москва

Стандартинформ

2009

Предисловие

Цели и принципы стандартизации в Российской Федерации установлены Федеральным законом от 27 декабря 2002 г. № 184-ФЗ «О техническом регулировании», а правила применения национальных стандартов Российской Федерации - ГОСТ Р 1.0-2004 «Стандартизация в Российской Федерации. Основные положения»

Сведения о стандарте

1 РАЗРАБОТАН Федеральным государственным учреждением «Государственный научно-исследовательский институт промышленной экологии» (ФГУ ГосНИИЭНП), Открытым акционерным обществом «Федеральный научно-технический центр метрологии систем экологического контроля «Инверсия» (ОАО ФНТЦ «Инверсия»), Государственным учреждением «Научно-производственное объединение «Тайфун» (ГУ «НПО «Тайфун») и Федеральным управлением по безопасному хранению и уничтожению химического оружия

2 ВНЕСЕН Научно-техническим управлением Федерального агентства по техническому регулированию и метрологии

3 УТВЕРЖДЕН И ВВЕДЕН В ДЕЙСТВИЕ Приказом Федерального агентства по техническому регулированию и метрологии от 25 ноября 2008 г. № 319-ст

4 В настоящем стандарте реализованы нормы законов Российской Федерации от 10 января 2002 г. № 7-ФЗ «Об охране окружающей среды», от 19 июля 1998 г. № 113-ФЗ «О гидрометеорологической службе», от 4 мая 1999 г. № 96-ФЗ «Об охране атмосферного воздуха», от 24 июня 1998 г. № 89-ФЗ «Об отходах производства и потребления» и от 2 мая 1997 г. № 76-ФЗ «Об уничтожении химического оружия»

5 ВВЕДЕН ВПЕРВЫЕ

Информация об изменениях к настоящему стандарту публикуется в ежегодно издаваемом информационном указателе «Национальные стандарты», а текст изменений и поправок - в ежемесячно издаваемых информационных указателях «Национальные стандарты». В случае пересмотра (замены) или отмены настоящего стандарта соответствующее уведомление будет опубликовано в ежемесячно издаваемом информационном указателе «Национальные стандарты». Соответствующая информация, уведомление и тексты размещаются также в информационной системе общего пользования - на официальном сайте Федерального агентства по техническому регулированию и метрологии в сети Интернет

СОДЕРЖАНИЕ

1 Область применения. 3

2 Нормативные ссылки. 4

3 Термины, определения и сокращения. 4

4 Общие руководящие указания. 6

4.1 Общие требования к системе экологического контроля и мониторинга. 6

4.2 Проектирование системы экологического контроля и мониторинга. 7

4.3 Программа (регламент) функционирования системы экологического контроля и мониторинга. 8

4.4 Технологические характеристики системы экологического контроля и мониторинга. 10

4.5 Перечни веществ, подлежащих экологическому контролю и мониторингу на объектах по уничтожению химического оружия. 12

4.6 Состав и функции системы экологического контроля и мониторинга. 14

4.7 Организация аналитических исследований. 17

4.8 Критерии, используемые при проведении экологического контроля и мониторинга. 21

4.9 Основные требования к обеспечению точности и единства измерений при функционировании системы экологического контроля и мониторинга. 22

4.10 Порядок обработки, отображения и представления результатов экологического контроля и мониторинга. 24

Приложение А (справочное) Загрязняющие вещества, подлежащие приоритетному аналитическому контролю.. 26

Приложение Б (рекомендуемое) Формы представления информации по результатам  контроля нормативов выбросов и сбросов. 27

Приложение В (рекомендуемое) Формы представления информации по результатам мониторинга  состояния компонентов природной среды.. 28

Библиография. 29

Введение

Обязательным условием обеспечения требуемого уровня безопасности при уничтожении химического оружия в Российской Федерации и реализации комплекса защитных мероприятий является создание надежной системы экологического контроля и мониторинга на объектах по уничтожению химического оружия. Применительно к объектам по уничтожению химического оружия экологический мониторинг - это система наблюдений, оценки и прогноза загрязнения окружающей среды в районах их расположения в целях принятия эффективных управленческих решений и реализации мероприятий, направленных на обеспечение экологической безопасности при уничтожении химического оружия.

Настоящий стандарт разработан с целью установить единые требования к структуре систем экологического контроля и мониторинга объектов по уничтожению химического оружия по видам проводимых наблюдений, числу и расположению точек (постов) наблюдения, периодичности отбора проб, приборной и методической базе аналитических измерений, обработке и представлению их результатов.

Применение настоящего стандарта позволит обеспечить создание результативной системы контроля за соблюдением объектами по уничтожению химического оружия установленных экологических нормативов и системы регулярного экологического мониторинга состояния компонентов природной среды в санитарно-защитных зонах и зонах защитных мероприятий, а также создание эффективных систем экологического менеджмента.

ГОСТ Р 53009-2008

НАЦИОНАЛЬНЫЙ СТАНДАРТ РОССИЙСКОЙ ФЕДЕРАЦИИ

СИСТЕМЫ ЭКОЛОГИЧЕСКОГО КОНТРОЛЯ И МОНИТОРИНГА

Общие руководящие указания по созданию, внедрению и обеспечению
функционирования на объектах по уничтожению химического оружия

Environmental control and monitoring systems.
General guidelines on creation, adoption and ensuring the functioning of the chemical weapons destruction

Дата введения - 2009-06-01

1 Область применения

1.1 Настоящий стандарт содержит общие руководящие указания по порядку создания, внедрения и обеспечения функционирования систем экологического контроля и мониторинга объектов по уничтожению химического оружия и направлен на совершенствование методов управления экологической безопасностью процессов химического разоружения в рамках федеральной целевой программы «Уничтожение запасов химического оружия в Российской Федерации» [1 ].

1.2 Настоящий стандарт устанавливает правила проектирования системы экологического контроля и мониторинга и формирования программы наблюдений с применением соответствующих оценочных процедур.

1.3 Настоящий стандарт формулирует требования к методам решения следующих основных задач по созданию системы экологического контроля и мониторинга, определяющих качество и достоверность получаемой информации:

- составление и ранжирование по объектам мониторинга приоритетных перечней контролируемых загрязняющих веществ;

- определение периодичности проведения отбора проб и анализов на источниках загрязняющих веществ и в компонентах природной среды;

- определение числа и расположения точек (постов) отбора проб;

- определение числа и состава средств измерений;

- анализ данных мониторинга для отображения распределения загрязняющих веществ в компонентах природной среды и составления прогноза.

1.4 Настоящий стандарт устанавливает программу ведения экологического контроля и мониторинга, обеспечивающую:

- получение достоверной оценки степени воздействия объектов по уничтожению химического оружия на окружающую среду;

- прогноз развития экологической ситуации по данным наблюдений, предупреждение и предотвращение нештатных и чрезвычайных ситуаций техногенного и экологического характера;

- своевременное предоставление достоверной информации руководству объектов по уничтожению химического оружия и в уполномоченные органы государственной исполнительной власти для принятия управленческих решений в целях проведения эффективных природоохранных мероприятий [2], [3].

2 Нормативные ссылки

В настоящем стандарте использованы нормативные ссылки на следующие стандарты:

ГОСТ Р 1.11-99 Государственная система стандартизации Российской Федерации. Метрологическая экспертиза проектов государственных стандартов

ГОСТ Р 8.563-96 Государственная система обеспечения единства измерений. Методики выполнения измерений

ГОСТ Р 8.568-97 Государственная система обеспечения единства измерений. Аттестация испытательного оборудования. Основные положения

ГОСТ Р 8.639-2008 Метрологическое обеспечение уничтожения химического оружия. Термины и определения

ГОСТ Р ИСО 5725-2-2002 Точность (правильность и прецизионность) методов и результатов измерений. Часть 2. Основной метод определения повторяемости и воспроизводимости стандартного метода измерений

ГОСТ Р ИСО/МЭК17025-2006 Общие требования к компетентности испытательных и калибровочных лабораторий

ГОСТ 8.315-97 Государственная система обеспечения единства измерений. Стандартные образцы состава и свойств веществ и материалов. Основные положения

ГОСТ 8.417-2002 Государственная система обеспечения единства измерений. Единицы величин

Примечание - При пользовании настоящим стандартом целесообразно проверить действие ссылочных стандартов в информационной системе общего пользования - на официальном сайте Федерального агентства по техническому регулированию и метрологии в сети Интернет или по ежегодно издаваемому информационному указателю «Национальные стандарты», который опубликован по состоянию на 1 января текущего года, и по соответствующим ежемесячно издаваемым информационным указателям, опубликованным в текущем году. Если ссылочный стандарт заменен (изменен), то при пользовании настоящим стандартом следует руководствоваться заменяющим (измененным) стандартом. Если ссылочный стандарт отменен без замены, то положение, в котором дана ссылка на него, применяется в части, не затрагивающей эту ссылку.

3 Термины, определения и сокращения

3.1 В настоящем стандарте применены термины по ГОСТ Р 8.639, а также следующие термины с соответствующими определениями:

3.1.1 мониторинг окружающей среды [экологический мониторинг]: Комплексная система наблюдений за состоянием окружающей среды, оценки и прогноза изменений состояния окружающей среды под воздействием природных и антропогенных факторов.

3.1.2 государственный мониторинг окружающей среды [государственный экологический мониторинг]: Мониторинг окружающей среды, осуществляемый федеральными органами исполнительной власти Российской Федерации и органами исполнительной власти субъектов Российской Федерации в соответствии с их компетенцией.

3.1.3 нормативы в области охраны окружающей среды: Установленные нормативы качества окружающей среды и нормативы допустимого воздействия на нее, соблюдение которых обеспечивает устойчивое функционирование естественных экологических систем и сохранение биологического разнообразия.

3.1.4 объект по уничтожению химического оружия: Объект химического разоружения, представляющий собой совокупность специально выделенной и охраняемой территории и расположенного на этой территории комплекса основных и вспомогательных сооружений, предназначенных для уничтожения химического оружия, в том числе для утилизации и/или захоронения отходов, образующихся в процессе уничтожения химического оружия.

3.1.5

окружающая среда: Окружение, в котором функционирует организация, включая воздух, воду, землю, природные ресурсы, флору, фауну, людей и их взаимодействие.

Примечание - Понятие «окружение» в данном контексте распространяется на среду в пределах от организации до глобальной системы.

[ГОСТ Р ИСО 14001-2007, пункт 3.5]

3.1.6

воздействие на окружающую среду: Любое изменение в окружающей среде отрицательного или положительного характера, полностью или частично являющееся результатом экологических аспектов организации.

[ГОСТ Р ИСО 14001-2007, пункт 3.7]

3.1.7 лаборатория мониторинга окружающей среды: Аналитическая лаборатория, являющаяся организацией или структурным подразделением организации, выполняющая аналитические работы по экологическому мониторингу на объектах по уничтожению химического оружия.

3.2 В настоящем стандарте применены следующие сокращения:

ГВС - газовоздушная смесь;

ИАС - информационно-аналитическая система;

ЗВ - загрязняющее вещество;

ЗЗМ - зона защитных мероприятий;

КХА - количественный химический анализ;

МВИ - методика выполнения измерений;

ОБУВ - ориентировочный безопасный уровень воздействия;

ОДК - ориентировочная допустимая концентрация;

ОВ - отравляющее вещество;

ОС - окружающая среда;

ПВВ - предельно возможный выброс;

ПДВ - предельно допустимый выброс;

ПДК - предельно допустимая концентрация;

ПДС - предельно допустимый сброс;

ПДУ - предельно допустимый уровень;

ПС - природная среда;

СЗЗ - санитарно-защитная зона;

СИ - средство измерений;

СЭКиМ - система экологического контроля и мониторинга;

ФОВ - фосфорорганическое отравляющее вещество;

ХО - химическое оружие.

Используемые сокращения наименований методов анализа загрязняющих веществ:

ААС - атомно-абсорбционная спектроскопия;

ВЭЖХ - высокоэффективная жидкостная хроматография;

ГХ - газовая хроматография;

ГХ-МС - газовая хроматография/масс-спектрометрия;

ГХ-ПИД - газовая хроматография с пламенно-ионизационным детектированием;

ГХ-ПФД - газовая хроматография с пламенно-фотометрическим детектированием;

ГХ-ППФД - газовая хроматография с пульсирующим пламенно-фотометрическим детектированием;

ИХ - ионная хроматография;

ИСП-МС - масс-спектрометрия с индуктивно связанной плазмой;

РФ - рентгеновская флуориметрия;

УФ - ультрафиолетовая спектроскопия;

ФЛД - флуоресцентный детектор;

ЭД - эмиссионный детектор;

ЭЗД - электронно-захватный детектор.

4 Общие руководящие указания

4.1 Общие требования к системе экологического контроля и мониторинга

4.1.1 Система экологического контроля и мониторинга объектов по уничтожению химического оружия (далее - объекты по уничтожению ХО) должна обеспечивать получение достоверной информации при наличии многочисленных случайных факторов (связанных с непрогнозируемыми изменениями метеорологических условий, колебаниями мощности выброса и др.), влияющих на распространение ЗВ в компонентах ПС (приложение А). При ее создании важно определить оптимальную стратегию мониторинга, сочетающую модельный аналитический подход с использованием обоснованных показателей приборного (аналитического) контроля (периодичности, плотности, привязки к местности), а также состав и количество средств контроля.

4.1.2 Общие требования к СЭКиМ включают в себя требования к организации работ по контролю соблюдения объектами по уничтожению ХО установленных нормативов в области охраны окружающей среды и мониторингу окружающей среды в их СЗЗ и ЗЗМ, обработке данных, а также к объектам контроля и мониторинга, перечням исследуемых ЗВ и критериям контроля, средствам измерений и методической базе, являющиеся основой при проектировании СЭКиМ [2].

4.1.3 Объектами контроля на территории [промышленных площадках (далее - промплощадки)] объектов по уничтожению ХО являются:

- выбросы ЗВ в окружающую среду;

- сбросы ЗВ в окружающую среду, ливневые стоки;

- реакционные массы, специфические и общепромышленные отходы (включая объекты размещения отходов);

- параметры природоохранного оборудования, очистных систем и газоочистных установок;

- загрязнение подземных вод на наблюдательных скважинах;

- компоненты ПС (атмосферный воздух, почва, снежный покров).

Объектами мониторинга окружающей среды в СЗЗ и в ЗЗМ объектов по уничтожению ХО являются компоненты ПС:

- атмосферный воздух;

- почва;

- снежный покров;

- природные воды;

- донные отложения (иловые осадки).

4.1.4 Основное требование к СЭКиМ - получение максимально достоверной информации при минимуме наблюдений (измерений, анализов), которое предусматривает выполнение следующих условий:

- наличие репрезентативной (представительной) системы отбора проб, достаточной для достоверного определения ЗВ в компонентах ПС (основные требования к системе отбора проб изложены далее);

- регулярность и комплексность наблюдений (согласованность сроков отбора проб и проведения анализов ЗВ в различных средах с учетом результатов моделирования рассеивания и распространения ЗВ в компонентах ПС);

- согласованность организации наблюдений и сроков отбора проб на источниках ЗВ на территории объекта по уничтожению ХО и в компонентах ПС в установленной в СЗЗ и ЗЗМ системе пробоотбора, которые являются основой при разработке регламента функционирования СЭКиМ;

- проведение перед вводом в эксплуатацию СЭКиМ исходного (фонового) мониторинга по всем подлежащим контролю веществам и параметрам, результаты которого являются основой для оценки влияния объекта по уничтожению ХО на окружающую среду в течение всего времени функционирования СЭКиМ.

4.2 Проектирование системы экологического контроля и мониторинга

4.2.1 Проект системы экологического контроля и мониторинга объектов по уничтожению ХО должен включать в себя проекты двухосновных функциональных подсистем [4]:

- подсистемы контроля за соблюдением объектами по уничтожению ХО установленных нормативов в области охраны окружающей среды;

- подсистемы экологического мониторинга состояния окружающей среды за пределами объектов по уничтожению ХО в СЗЗ и ЗЗМ.

Проект подсистемы контроля за соблюдением нормативов в области охраны окружающей среды на объекте по уничтожению ХО должен включать в себя следующие элементы системы контроля:

- соответствия выбросов ЗВ в окружающую среду установленным нормативам;

- соответствия сбросов ЗВ в окружающую среду, а также ливневых стоков установленным нормативам;

- соответствия размещения отходов в ОС установленным нормативам и лимитам, контроля соответствия состава реакционных масс, специфических и общепромышленных отходов паспортным данным [5];

- параметров природоохранного оборудования, очистных систем и газоочистных установок;

- загрязнения подземных вод на наблюдательных скважинах;

- загрязнения компонентов ПС на промплощадке объекта по уничтожению ХО, включая объекты размещения отходов (атмосферный воздух, почва, снежный покров).

Проект подсистемы экологического мониторинга в СЗЗ и ЗЗМ объекта по уничтожению ХО должен включать в себя следующие основные элементы системы мониторинга загрязнения:

- атмосферного воздуха;

- почвы;

- снежного покрова;

- природных вод (поверхностных и грунтовых);

- донных отложений.

4.2.2 При создании СЭКиМ должны быть решены следующие задачи:

- обоснованы перечни подлежащих контролю ЗВ;

- проведено ранжирование перечней ЗВ по средам и периодичности контроля с учетом их рассеивания и распространения в окружающей среде;

- обоснованы технические, методологические и аппаратурные решения (в том числе производительность, требуемое методическое и нормативное обеспечение СЭКиМ);

- исходя из статистических моделей рассеивания и распространения ЗВ в компонентах ПС обоснована и привязана на ситуационной карте-схеме района расположения объекта по уничтожению ХО система пробоотбора;

- обоснована оптимальная технология проведения экологического мониторинга, обеспечивающая заданную достоверность его результатов при минимизации привлекаемых технических средств;

- разработаны и согласованы нормативные документы (программа, регламент), определяющие порядок контроля источников ЗВ на объекте по уничтожению ХО и порядок проведения экологического мониторинга в СЗЗ и ЗЗМ.

4.2.3 К нормативным документам (НД), необходимым для проведения экологического контроля и мониторинга объекта по уничтожению ХО, относятся:

- ранжированные по компонентам ПС (объектам мониторинга) приоритетные перечни исследуемых ЗВ;

- карта-схема промплощадки объекта по уничтожению ХО с привязанными на этой карте нормируемыми источниками ЗВ (объектами аналитического контроля);

- ситуационная карта-схема района расположения объекта по уничтожению ХО с привязанной на этой карте системой отбора проб (пунктами отбора проб в компонентах ПС);

- карта-схема объектов образования и размещения отходов на промплощадке объекта по уничтожению ХО;

- планы-графики аналитического контроля источников загрязняющих веществ [сбросов ЗВ в окружающую среду, ЗВ в подземных водах (на наблюдательных, эксплуатационных скважинах и колодцах), условий размещения и влияния отходов на компоненты ПС, выбросов ЗВ в окружающую среду, природоохранного оборудования и очистных систем];

- планы-графики контроля и мониторинга загрязняющих веществ в компонентах ПС СЗЗ и ЗЗМ объекта по уничтожению ХО [атмосферном воздухе, почве, снежном покрове, природных водах (поверхностных и грунтовых), донных отложениях (иловых осадках)];

- формы предоставления информации по результатам контроля за соблюдением нормативов в области охраны окружающей среды и мониторинга загрязнений компонентов ПС;

- перечень МВИ для контроля санитарно-гигиенических нормативов и нормативов в области охраны окружающей среды;

- перечень требований к отбору проб и проведению аналитических исследований компонентов ПС.

4.3 Программа (регламент) функционирования системы экологического контроля и мониторинга

4.3.1 Программа (регламент) функционирования СЭКиМ основана на сочетании модельного аналитического подхода с измерениями химических и физических характеристик источников ЗВ на территории (промплощадке) объекта по уничтожению ХО и исследования распределения концентраций ЗВ в компонентах ПС в СЗЗ и ЗЗМ (рисунок 1).

4.3.2 При проведении экологического мониторинга компонентов ПС в СЗЗ и ЗЗМ регламент мониторинга предусматривает предварительное определение зоны проведения наблюдений по результатам измерений на источниках ЗВ (или анализа выбросов на границе СЗЗ) с последующим расчетом рассеивания ЗВ и определением максимально вероятной зоны обнаружения ЗВ, рассеянных в окружающей среде.

Рисунок 1 - Программа (регламент) проведения экологического контроля и мониторинга объектов
по уничтожению ХО

4.3.3 Установленная периодичность проведения сеансов отбора проб и реализации алгоритма мониторинга (рисунок 1) составляет от одной недели до одного месяца, что обеспечивает высокую достоверность работы СЭКиМ.

4.3.4 В соответствии с требованиями 4.1.4 при проведении мониторинга загрязнений в СЗЗ и ЗЗМ объекта по уничтожению ХО должна быть реализована схема, основанная на сочетании используемых модельных подходов и результатов химико-аналитических и биологических исследований в выбранной области проведения наблюдений. В соответствии с этим требованием каждая из отобранных проб воздуха, воды, почвы, снежного покрова, донных отложений должна быть проанализирована на токсичность с использованием методов биотестирования.

4.3.5 Совмещение измерений с модельным определением зоны проведения наблюдений и сеансами отбора проб отвечает современной концепции мониторинга, сочетающего систему наблюдений (измерений, анализов) с прогностической моделью взаимодействия «объект - окружающая среда», и позволяет существенно снизить объем аналитических работ при повышении достоверности результатов исследования состояния ОС.

4.3.6 Важными показателями СЭКиМ являются технологические характеристики мониторинга - регулярность и периодичность проводимых наблюдений (измерений). Минимально необходимый период для проведения отбора проб и измерений связан с принятым в статистической обработке получаемой информации понятием корреляции (взаимосвязи) полученных результатов. Для конкретного объекта по уничтожению ХО этот показатель, определяемый на основании проведенных исследований, впоследствии является основой для установления минимальной периодичности проведения отбора проб и анализов.

4.4 Технологические характеристики системы экологического контроля и мониторинга

4.4.1 Одной из основных структурных единиц СЭКиМ, определяющей ее технико-экономические показатели и достоверность проводимых исследований, является экологически обоснованная и установленная (геодезически привязанная) на местности система пробоотбора. При проектировании (организации) системы пробоотбора в СЗЗ и ЗЗМ объекта по уничтожению ХО должны быть учтены следующие основные требования:

- репрезентативность (представительность) системы пробоотбора должна быть обеспечена выбором точек отбора проб в типичных для территории ЗЗМ природных зонах. В системе пробоотбора должны быть представлены в существующих пропорциях, по возможности, все сложившиеся в данной местности экосистемы (лесные, луговые, водные и др.), на основе которых осуществляют зонирование района проведения мониторинга;

- расположение точек отбора проб должно быть определено с учетом розы ветров, высоты источников выбросов, характера выбросов в атмосферу (дисперсности частиц, удельного веса вещества), рельефа территории и результатов моделирования рассеивания ЗВ в компонентах ПС. Выбранные точки (области) отбора проб должны обеспечивать проведение отбора проб в различных объектах мониторинга;

- заданная плотность и регулярность системы пробоотбора должны обеспечивать интерполяцию результатов измерений и достоверное отображение (посредством интерполяций) изолиний уровней концентраций ЗВ по измеренным значениям.

4.4.2 Перечисленным условиям, а также требованиям [6] удовлетворяет секторно-сегментная система пробоотбора, при этом число секторов определяет плотность и расположение точек системы пробоотбора. Оптимальной, обеспечивающей высокую достоверность результатов мониторинга является система пробоотбора с точками отбора проб, расположенными по двадцати четырем румбам (секторам) на расстояниях, ориентировочно 1, 2, 3, 5, 10 км от источника загрязнения. Направление начального румба должно совпадать с преобладающим направлением ветра в годовой розе ветров.

4.4.3 Плотность точек отбора проб должна быть максимальной в ближней к объекту по уничтожению ХО зоне проведения мониторинга и уменьшаться пропорционально удалению от него. Это обеспечивает более высокую плотность точек отбора проб в области наиболее вероятного загрязнения (вследствие, например, выпадений из атмосферного воздуха) и корреляцию модельных (расчетных) закономерностей рассеивания ЗВ с измеренными значениями концентраций ЗВ на местности. Начальная (проектная) система пробоотбора [полная система установленных и привязанных точек (постов) отбора проб, из которых по результатам моделирования определяют конкретную совокупность точек отбора проб] представлена на рисунке 2.

4.4.4 Совмещение принципа репрезентативности выбора точек отбора проб с обеспечением корреляции расчетных моделей с распределением (плотностью) точек отбора проб является обязательным требованием при проектировании оптимальной системы пробоотбора. Выбранные точки (области) отбора проб должны обеспечивать проведение отбора проб в различных объектах мониторинга (например, точки, в которых проводят отбор проб почвы, должны быть доступны для отбора проб снежного покрова, в точках отбора проб природной воды в открытых водоемах должен быть обеспечен отбор проб иловых осадков).

Рисунок 2 - Схема пробоотбора

4.4.5 Периодичность проведения отбора проб и анализов, являющаяся важным технико-экономическим показателем СЭКиМ, связана с пропускной способностью лаборатории мониторинга окружающей среды (парком основного и вспомогательного оборудования, численностью персонала, эксплуатационными затратами). Периодичность проведения отбора проб и анализов отобранных образцов напрямую связана со стабильностью работы объекта по уничтожению ХО, накоплением статистически достоверной информации и возможностью составления по данным измерений прогноза уровней загрязнения компонентов ПС.

4.4.6 Технико-экономические показатели системы мониторинга определяются на стадии проектирования количеством точек отбора проб и структурой системы пробоотбора, периодичностью и стоимостью проводимых анализов (стоимость анализов в данном случае - интегральный показатель трудозатрат). Два первых показателя (система пробоотбора и периодичность отбора проб) определяют достоверность проводимых наблюдений. Увеличение числа точек или периодичности отбора проб сверх определенного оптимума приводят к существенному росту затрат при незначительном повышении достоверности регистрации ЗВ в компонентах ПС.

4.4.7 Общие требования к организации и проведению контроля и мониторинга включают в себя:

- использование результатов фонового мониторинга в качестве основы для оценки влияния объекта по уничтожению ХО на ОС в течение всего времени функционирования СЭКиМ;

- моделирование рассеивания ЗВ, поступающих от объекта по уничтожению ХО в ОС, и определение областей (территорий) проведения наблюдений;

- определение совокупности точек отбора проб, обеспечивающей достоверную оценку распределения ЗВ при их попадании в ОС;

- согласование (корреляцию) планов-графиков контроля источников ЗВ на территории объекта по уничтожению ХО и мониторинга ЗВ в компонентах ПС в СЗЗ и ЗЗМ;

- проведение сеансов отбора проб одновременно в различных компонентах (воздухе, почвах и снежном покрове, природной воде и иловых осадках);

- построение полей рассеивания ЗВ по результатам наблюдений и сравнение с расчетными значениями концентраций ЗВ, полученными при моделировании рассеивания загрязняющих веществ в компонентах ПС источниками ЗВ на территории объекта по уничтожению ХО;

- постоянную корректировку расчетных моделей и системы пробоотбора по результатам проведенных исследований;

- статистическую обработку данных наблюдений, построение по результатам наблюдений (измерениям концентраций ЗВ) на источниках ЗВ карт рассеивания ЗВ в компонентах ПС, построение по результатам наблюдений (измерений концентраций ЗВ в компонентах ПС) интерполяционных полей (изолиний) распределения ЗВ в компонентах ПС, составление прогноза воздействия объекта по уничтожению ХО на окружающую среду;

- выдачу систематизированной информации для представления в уполномоченные органы государственной власти, органы исполнительной власти, а также рекомендаций, относящихся к методам снижения воздействия объекта по уничтожению ХО на окружающую среду.

4.5 Перечни веществ, подлежащих экологическому контролю и мониторингу на объектах по уничтожению химического оружия

4.5.1 Основой при формировании программы наблюдений (планов-графиков контроля и мониторинга) являются ранжированные по средам и периодичности проведения измерений перечни ЗВ, образующихся в технологических процессах детоксикации ОВ и термического обезвреживания отходов:

- ОВ и продуктов их деструкции;

- общепромышленных ЗВ.

4.5.2 Перечни продуктов деструкции ОВ, а также других ЗВ, контролируемых в объектах окружающей среды, должны быть уточнены на стадии запуска и эксплуатации объекта по уничтожению ХО, а также в процессе развития системы экологического контроля и мониторинга объекта по уничтожению ХО.

4.5.3 Ранжирование перечня ЗВ должно быть проведено в соответствии с положениями общероссийских нормативных документов. При отсутствии нормативной базы ранжирование перечня ЗВ должно быть проведено с учетом опасных свойств контролируемых веществ, а также известных закономерностей их распространения и химического превращения в различных средах.

4.5.4 Основными критериями для выбора ЗВ считают их токсические свойства, количество и распространенность в окружающей среде, стойкость (персистентность) вещества, способность к биоаккумуляции, миграции, межсредовому распределению, что проявляется в одновременном загрязнении нескольких сред.

Перечень ЗВ при проведении мониторинга атмосферного воздуха формируют в соответствии с Руководством по контролю загрязнений атмосферы - РД 52.04.186 [6] и Методикой расчета концентраций в атмосферном воздухе вредных веществ, содержащихся в выбросах предприятий, - ОНД-86 [7].

4.5.5 Общий алгоритм формирования перечня веществ, подлежащих контролю и мониторингу на объектах по уничтожению ХО, приведен на рисунке 3. Перечень ЗВ, подлежащих контролю в атмосферном воздухе, пересматривают при изменении данных инвентаризации источников выбросов.

4.5.6 При формировании перечней веществ, подлежащих контролю и мониторингу в других компонентах природной среды (почвах, природных водах, снежном покрове, донных отложениях), следует учитывать, что:

- загрязнение этих компонентов источниками ЗВ происходит в результате осаждения газов, паров, аэрозолей, пыли или растворенных соединений ЗВ с дождем и снегом из атмосферы, а также различного вида переноса твердых и жидких отходов за пределы территории объекта по уничтожению ХО;

- возможны процессы трансформации и деструкции ОВ;

- на объектах по уничтожению ХО отсутствует сброс в ОС технологических сточных вод; перечень определяемых показателей качества воды водоемов и водотоков должен быть установлен с учетом целевого использования водоема или водотока, состава сбрасываемых сточных вод, требований потребителей информации;

Рисунок 3 - Алгоритм формирования перечней веществ, подлежащих контролю и мониторингу
в компонентах ПС в районах расположения объектов по уничтожению ХО

- при появлении новых источников загрязнения, изменении мощности, состава и условий сброса сточных вод прежних источников и других сложившихся условий перечни определяемых показателей воды могут быть изменены;

- для повышения эффективности контроля и мониторинга необходимо измерять только те вещества, по которым можно судить об отклонении от технологии уничтожения, а также показатели, свидетельствующие о накоплении продуктов трансформации в ОС;

- перечни веществ, подлежащих аналитическому контролю в природной воде, почве, донных отложениях и снежном покрове, следует корректировать при изменении перечня веществ, подлежащих аналитическому контролю в атмосферном воздухе, с учетом химической формы нахождения в данной среде.

4.6 Состав и функции системы экологического контроля и мониторинга

4.6.1 В соответствии с4.2 СЭКиМ должна включать в себя две основные структурно-функциональные подсистемы:

- подсистему контроля за соответствием источников ЗВ на территории (промплощадке) объекта по уничтожению ХО установленным нормативами в области охраны окружающей среды;

- подсистему экологического мониторинга состояния окружающей среды за пределами промплощадки объекта по уничтожению ХО в СЗЗ и ЗЗМ.

4.6.2 СЭКиМ должна обеспечивать комплексный анализ ЗВ на объектах по уничтожению ХО и в компонентах ПС в их СЗЗ и ЗЗМ, включающий в себя аналитические исследования (КХА), а также проведение прямых токсикологических испытаний компонентов ПС на стандартных тест-объектах по аттестованным методикам.

4.6.3 Лабораторный комплекс СЭКиМ должен включать в себя:

- центральную аналитическую лабораторию по контролю источников ЗВ на территории объекта по уничтожению ХО и мониторингу компонентов ПС в СЗЗ и ЗЗМ (ОВ и продуктов их деструкции, специфических и общепромышленных ЗВ);

- лабораторию биомониторинга и биотестирования для количественной оценки токсичности компонентов ПС, а также отходов, образующихся при функционировании объектов по уничтожению ХО (рекомендуется);

- тест-лабораторию (для первичного экспресс-анализа проб по групповым признакам - маркерам - с последующим их детальным анализом в центральной аналитической лаборатории по утвержденному перечню ЗВ);

- мобильную систему пробоотбора;

- информационный центр (включающий в себя ИАС, предназначенную для отображения и анализа информации, исследования процессов накопления и распространения ЗВ в компонентах ПС, оценки достоверности результатов мониторинга).

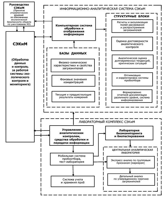
Структурная схема СЭКиМ показана на рисунке 4.

4.6.4 Система экологического контроля и мониторинга объектов по уничтожению ХО должна быть основана на сочетании химико-аналитических исследований и методов биомониторинга. Анализ отобранных проб должен быть проведен в соответствии с требованиями 4.9.

4.6.5 Структура СЭКиМ должна предусматривать возможность организации двухуровневой системы анализа проб, при которой первичный аналитический контроль проводят по минимальному числу характерных групповых признаков (маркеров) в тест-лаборатории с последующим детальным анализом пробы в укомплектованной высокоточным оборудованием центральной аналитической лаборатории.

4.6.6 Биомониторинг проводят по совокупности универсальных биотестов и биоиндикаторов (выбранных представительных биологических объектов) и при обнаружении токсичности выполняют детальный КХА в целях идентификации ЗВ по полному согласованному для данного объекта по уничтожению ХО перечню.

4.6.7 Тест-лаборатория предназначена для проведения оперативного мониторинга компонентов ПС в СЗЗ и ЗЗМ объектов по уничтожению ХО. Работа тест-лаборатории (расположенной в ближайшем к объекту по уничтожению ХО населенном пункте или в составе мобильной системы пробоотбора) включена в общую схему мониторинга. Пробы, в которых обнаруживают признаки наличия контролируемых специфических загрязнителей, должны быть переданы для дальнейшего анализа в центральную лабораторию.

4.6.8 СЭКиМ функционирует в следующих режимах:

В штатном режиме проводят экологический контроль и мониторинг на основании программы (регламента), согласованной уполномоченными органами, осуществляющими государственный надзор, контроль и мониторинг за экологически безопасным функционированием объектов по уничтожению ХО, и содержащей:

- планы-графики контроля за соответствием выбросов и сбросов ЗВ, а также общепромышленных отходов (включая объекты их размещения) установленным экологическим и техническим нормативам с указанием контролируемых ЗВ, периодичности проведения наблюдений, критериев контроля и методического обеспечения;

- планы-графики мониторинга загрязнения компонентов ПС в СЗЗ и ЗЗМ объектов по уничтожению ХО, включающие в себя контролируемые ЗВ с указанием периодичности проведения наблюдений, критериев контроля и методического обеспечения.

Рисунок 4 - Система экологического контроля и мониторинга объекта по уничтожению ХО
(функциональная схема)

По конкретным заданиям руководства СЭКиМ (или предписаниям специально уполномоченных в сфере экологического контроля и мониторинга государственных органов) должны быть обеспечены оперативное реагирование на возможные нештатные ситуации и запросы различных государственных и общественных организаций, а также наблюдения за проведением пусконаладочных и регламентных работ.

В случае возникновения на объекте по уничтожению ХО чрезвычайной ситуации, приводящей или способной привести к сверхнормативному загрязнению ОС, СЭКиМ функционирует в соответствии с имеющимися планами и инструкциями (в зависимости от типа чрезвычайной ситуации). При возникновении чрезвычайной ситуации СЭКиМ функционирует в рамках единой государственной системы ликвидации последствий чрезвычайных ситуаций, обеспечивая оценку экологической обстановки, прежде всего потенциальной опасности чрезвычайной ситуации.

4.6.9 Работы по контролю и мониторингу на объектах по уничтожению ХО должны быть проведены исключительно на основании согласованных специально уполномоченными федеральными органами государственной исполнительной власти и их территориальными органами нормативных документов - программ (регламентов) проведения контроля и мониторинга на объектах по уничтожению ХО [8].

4.7 Организация аналитических исследований

Общее число загрязнителей, которое необходимо контролировать в районе расположения объекта по уничтожению ХО, составляет свыше 70 наименований, 8-12 из которых требуют контроля с высокой степенью частоты. По этой причине оптимальным вариантом является двухуровневая схема аналитических исследований (4.6.5). Кроме этого, СЭКиМ должна быть способна вести плановую и исследовательскую работу по контролю соединений, образующихся в почвах и в воде (продуктов трансформации, с которыми связан прогноз долговременных последствий загрязнения ОС). В таблицах 1 и 2 представлены основные аналитические методы, применяемые для экологического контроля и мониторинга объектов по уничтожению ХО.

Таблица 1 - Сравнительная диаграмма чувствительности аналитических методов

Диапазон чувствительности

Таблица 2 - Основные аналитические методы, применяемые для экологического контроля и мониторинга объектов по уничтожению химического оружия

Наименование метода

Чувствительность
(диапазон)

Ориентировочная
производительность
(без пробоподготовки)

Ориентировочная
себестоимость анализа
(без пробоподготовки),
тыс. руб.

Масс-спектрометрия с индуктивной связанной плазмой [ИСП-МС]

500 пг/мл - 1 мкг/мл

10 анализов в час на
80 компонентов

3,0

Атомно-абсорбционная спектрометрия [ААС (АА)]

5 нг/мл - 1 мкг/мл

10 анализов в час на
1 компонент

0,1-0,5

Рентгеновская флуориметрия [РФ (RF)]

10 нг/мл - 1 мкг/мл

2 анализа в час на
6-12 компонентов

0,5-0,8

Газовая хроматография/масс-спектрометрия [ГХ-МС (GC-MC)]

80 пг/мл - 1 мкг/мл

1-2 анализа в час на
5-12 компонентов

0,5-1,5

Газовая хроматография [ГХ (GC)]

ППФД - 0,1 пг Р/с, 1 пг S/c,

20 пг N/c

ПФД - 2 пг Р/с, 20 пг S/c

ЭЗД - 50 фг/с по линдану

ПИД - 2пг/с

1-2 анализа в час
на 1-4 компонента

0,5-1,0

Высокоэффективная жидкостная хроматография [ВЭЖХ (HPLC)]

ФЛД 0,005 нг/л

УФ 0,5 нг/л

1-2 анализа в час
на 1-4 компонента

0,5-0,8

Ионная хроматография [ИХ (1С)]

ФЛД 0,005 нг/л

УФ 0,5 нг/л

ЭД 0,01 мг/л

2-5 анализов в час
на 1-7 компонентов

0,2-1,0

Рекомендуемые схемы аналитических исследований ЗВ, образующихся при уничтожении кожно-нарывных (иприт, люизит) и нервно-паралитических ОВ (зарин, зоман, вещество типа Vx), представлены на рисунках 5 и 6.

Общая схема проведения аналитических исследований состава и свойств реакционных масс и отходов представлена на рисунке 7.

Рисунок 5 - Блок-схема аналитических исследований состояния окружающей среды
(иприт, люизит)

Рисунок 6 - Блок-схема аналитических исследований состояния окружающей среды
(при утилизации ФОВ методом аминирования)

Рисунок 7 - Блок-схема аналитических исследований отходов

4.8 Критерии, используемые при проведении экологического контроля и мониторинга

Работы по экологическому контролю и мониторингу объектов по уничтожению ХО проводят с учетом следующих критериев:

- критерия контроля промышленных выбросов - установленного норматива ПДВ (г/с);

- критерия контроля сточных вод, поступающих в окружающую среду, - установленного норматива ПДС (мг/л);

- критериев экологического контроля состава отходов и реакционных масс, устанавливаемых на уровне проектных и технологических данных. Анализ состава отходов проводят также для установления соответствия паспортным данным на соответствующий отход;

- критериев контроля ОВ и продуктов их деструкции, устанавливаемых на основании нормативов органов Министерства здравоохранения и социального развития Российской Федерации [9];

- критериев контроля уровня загрязнения воздушной среды - санитарно-гигиенических нормативов качества атмосферного воздуха (ПДК, ОБУВ);

- критериев контроля уровня загрязнения поверхностных вод - санитарно-гигиенических нормативов химических веществ в воде водоемов рыбохозяйственного назначения;

- критериев контроля уровня загрязнения почв - санитарно-гигиенических нормативов качества почв.

Кроме того, при оценке уровня загрязнения каждого компонента природной среды необходимо учитывать фоновое загрязнение, в частности, из-за отсутствия ПДК загрязняющих веществ в донных отложениях и в снежном покрове для оценки их состояния полученные результаты сравнивают с фоновыми значениями.

График работ по экологическому мониторингу должен соответствовать технологическому графику объекта по уничтожению ХО и может быть корректирован в зависимости от установленных указанному объекту нормативов воздействия на ОС.

4.9 Основные требования к обеспечению точности и единства измерений при функционировании системы экологического контроля и мониторинга

4.9.1 Техническая основа обеспечения точности и единства измерений при функционировании СЭКиМ включает в себя:

- совокупность эталонов и средств поверки, обеспечивающих воспроизведение единиц основных и производных величин и передачу их размеров подчиненным эталонам и рабочим средствам измерений с требуемой точностью;

- систему передачи массовой концентрации (содержания) ЗВ, а также их физико-химических и токсических свойств от эталонов к средствам измерений;

- стандартные образцы ЗВ, аттестованные смеси состава веществ [10], чистые вещества и реактивы;

- аттестованные МВИ содержания ЗВ в объектах контроля техногенной и окружающей среды;

- средства измерений (далее - СИ), информационно-измерительные системы, испытательное оборудование, средства отбора и подготовки проб и другие технические средства;

- аналитические, поверочные и испытательные лаборатории;

- стандартные справочные данные о физических константах и свойствах веществ и материалов.

4.9.2 Типы СИ, информационно-измерительных систем, химико-аналитических комплексов, применяемых при выполнении измерений контролируемых показателей, должны быть утверждены Федеральным агентством по техническому регулированию и метрологии и включены в Государственный реестр средств измерений [11].

4.9.3 Экземпляры СИ, информационно-измерительные системы, химико-аналитические комплексы, используемые при выполнении измерений показателей загрязнения ОС, должны быть поверены [12].

4.9.4 МВИ, применяемые при экологическом контроле и мониторинге, должны быть метрологически аттестованы или стандартизованы в соответствии с требованиями ГОСТ Р 8.563.

Нормативные документы (далее - НД) на МВИ содержания ОВ и продуктов их деструкции должны пройти метрологическую экспертизу в организации, уполномоченной Федеральным агентством по техническому регулированию и метрологии для проведения работ данного вида. Порядок проведения экспертизы МВИ на соответствие установленным требованиям определяют согласно ГОСТ Р 8.563.

НД на МВИ показателей загрязнения ОС должны пройти экспертизу в организации (по специализации), уполномоченной федеральным органом исполнительной власти в области гидрометеорологии и состояния окружающей природной среды, на соответствие требованиям к мониторингу или контролю загрязнения ОС.

Порядок проведения экспертизы МВИ на соответствие требованиям к мониторингу или контролю загрязнения ОС устанавливают НД федеральных органов исполнительной власти в области гидрометеорологии и состояния окружающей среды.

Установление нормативов контроля МВИ проводят в соответствии с требованиями ГОСТ Р ИСО 5725-2 в рамках межлабораторного эксперимента с привлечением независимых лабораторий, аккредитованных на техническую компетентность и имеющих соответствующую область аккредитации. МВИ должны быть рассчитаны на установленные диапазоны измерений контролируемых показателей, при этом может быть использована одна или несколько МВИ.

Проекты государственных стандартов, устанавливающих МВИ, применяемые при проведении мониторинга и контроля загрязнения ОС, подлежат метрологической экспертизе в соответствии с требованиями ГОСТР 1.11.

МВИ должны быть зарегистрированы в Федеральном реестре МВИ, применяемых в сферах распространения государственного метрологического контроля и надзора. МВИ содержания ОВ и продуктов их деструкции должны быть зарегистрированы в разделе «1-ХО» «Аттестованные методики выполнения измерений содержания ОВ, токсичных химикатов, указанных в списках Конвенции о запрещении разработки, производства, накопления и применения химического оружия и о его уничтожении». Регистрацию МВИ проводит организация, уполномоченная Федеральным агентством по техническому регулированию и метрологии для ведения этого раздела Федерального реестра МВИ. МВИ, допущенные к применению при выполнении работ в области мониторинга загрязнения ОС, дополнительно должны быть зарегистрированы в федеральном реестре МВИ [13].

4.9.5 Стандартные образцы состава и свойств веществ и материалов (далее - СО), используемые при измерениях контролируемых показателей загрязнения ОС, в том числе для контроля характеристик погрешности выполнения измерений, должны быть утвержденных типов в соответствии с ГОСТ 8.315. Применяемые государственные СО (далее - ГСО) должны быть зарегистрированы в Государственном реестре утвержденных типов ГСО (далее - Госреестр ГСО). ГСО отравляющих веществ и продуктов их деструкции должны быть зарегистрированы в Госреестре ГСО в разделе «Государственные стандартные образцы токсичных химикатов. Государственные стандартные образцы отравляющих веществ и других токсичных химикатов по спискам Конвенции о запрещении разработки, производства, накопления и применения химического оружия и о его уничтожении». Регистрацию ГСО данных типов проводит организация, уполномоченная Федеральным агентством по техническому регулированию и метрологии для ведения этого раздела Госреестра ГСО.

4.9.6 Испытательное оборудование, применяемое при мониторинге и контроле загрязнения ОС, должно быть аттестовано в соответствии с ГОСТ Р 8.568 с учетом требований НД и МВИ, предусматривающих его применение для этих целей.

4.9.7 Технологическое, лабораторное, вспомогательное и т. п. оборудование, не относящееся к испытательному, следует подвергать периодической проверке его технического состояния в соответствии с руководствами по эксплуатации этого оборудования или паспортами на них.

4.9.8 Аналитические и испытательные лаборатории в системе СЭКиМ должны быть аккредитованы в Системе аккредитации аналитических лабораторий (центров) Федерального агентства по техническому регулированию и метрологии. Аккредитованные аналитические и испытательные лаборатории должны соответствовать требованиям ГОСТ Р ИСО/МЭК 17025.

4.9.9 Применяемые МВИ, СИ, СО, методы контроля погрешности результатов измерений должны обеспечивать получение результатов измерений с погрешностью, не превышающей установленные нормы точности измерений контролируемых показателей.

4.9.10 Результаты измерений при проведении контроля и мониторинга ОС должны быть выражены в единицах величин, допущенных к применению в Российской Федерации, в соответствии с ГОСТ 8.417.

4.9.11 При установлении предельно допустимых значений показателей загрязнения контролируемой среды (ПДУ, ПДК, ПДВ, ПДС) приводят стандартизованное наименование показателя и его значение с указанием единицы измерения по ГОСТ 8.417.

4.9.12 Предельно допустимые значения показателей загрязнения контролируемой среды по мере развития науки и техники следует пересматривать с учетом требований международных стандартов.

4.9.13 Нормы точности измерений показателей загрязнения окружающей среды устанавливают федеральные органы исполнительной власти в порядке, установленном законодательством Российской Федерации, в соответствии с их полномочиями.

4.9.14 При определении норм точности измерений показателей загрязнения ОС учитывают:

- разброс контролируемого показателя;

- погрешности отбора и подготовки проб;

- реально достижимую точность результатов измерений;

- экономическую и экологическую целесообразность.

4.9.15 На объектах по уничтожению ХО должна быть создана метрологическая служба или иная организационная структура по обеспечению единства измерений.

4.9.16 Государственный метрологический надзор за состоянием и применением СИ, аттестованными МВИ, эталонами единиц величин, соблюдением метрологических правил и норм при выполнении измерений в процессе химического разоружения осуществляют органы Государственной метрологической службы Федерального агентства по техническому регулированию и метрологии.

4.9.17 Юридические лица, осуществляющие контроль загрязнения объектов ОС, в соответствии со статьей 10 Федерального закона о Гидрометеорологической службе [14] обязаны соблюдать метрологические и сертификационные требования, установленные специально уполномоченным органом исполнительной власти в области гидрометеорологии и смежных с ней областях.

4.10 Порядок обработки, отображения и представления результатов экологического контроля и мониторинга

4.10.1 Для обработки данных мониторинга, формирования баз данных и отчетов по установленным формам, представления информации на векторных картах должна быть создана специализированная информационно-аналитическая компьютерная система (ИАС) СЭКиМ.

4.10.2 Периодичность измерений, область проведения мониторинга и другие важные показатели должны быть определены расчетным путем на основании сертифицированных моделей.

4.10.3 ИАС должна обеспечивать:

- получение и обработку данных от лабораторного комплекса, их хранение и архивацию;

- сбор и обработку метеорологических параметров, получаемых от автоматических метеорологических станций, расположенных в зоне проведения контроля и мониторинга;

- анализ, оценку и прогноз обстановки на основе данных наблюдений;

- формирование отчетов различного уровня и предоставление информации пользователям СЭКиМ.

4.10.4 Программные средства ИАС должны обеспечивать:

- накопление и статистический анализ данных;

- расчеты полей рассеивания и распространения ЗВ в компонентах природной среды с учетом особенностей реальных экосистем в зоне влияния объекта по уничтожению ХО;

- анализ процессов накопления и трансформации ЗВ и их соединений в ОС;

- оценку достоверности результатов наблюдений, прогноз долговременных тенденций, нештатных и чрезвычайных ситуаций;

- корректировку аналитических (расчетных) закономерностей рассеивания и распространения ЗВ в компонентах ПС в соответствии с аналитическими данными;

- оптимизацию и корректировку системы пробоотбора в соответствии с прогнозируемым распределением загрязнителей в компонентах ПС (почве, воде, воздухе).

4.10.5 Уровень загрязнения атмосферы должен быть установлен по следующим характеристикам:

- средней концентрации примеси в воздухе, мг/м3, мкг/м3;

- максимальной разовой концентрации примеси в воздухе, мг/м3, мкг/м3;

- повторяемости, %, и числе случаев превышения разовых концентраций примеси в воздухе соответствующих ПДК данной примеси;

- повторяемости, %, и числе случаев превышения разовых концентраций примеси в воздухе соответствующих предельно допустимых концентраций данной примеси в 5 раз;

- повторяемости, %, и числе случаев превышения разовых концентраций примеси в воздухе соответствующих ПДК данной примеси в 10 раз.

4.10.6 Визуализируемая (а также представляемая в виде распечаток) ИАС информация должна включать в себя:

- компьютерную карту местности с топологически привязанной системой источников воздействия на окружающую среду (выбросов, сбросов, объектов размещения отходов и других источников ЗВ), а также населенных пунктов и других объектов;

- карты рассеивания и распространения контролируемых соединений в компонентах природной среды (почве, воде, воздухе) с указанием уровней (изолиний) загрязнения;

- совмещенную с картами рассеивания и распространения контролируемых соединений систему пробоотбора с указанием по вызову текущих и ранее полученных результатов измерений в каждой точке.

4.10.7 Результаты наблюдений на территории объекта по уничтожению ХО оформляют в соответствии со следующими требованиями:

- результаты контроля за соблюдением объектом по уничтожению ХО установленных для источников ЗВ природоохранных нормативов и нормативов качества компонентов ПС на территории оформляют в виде протоколов измерений;

- по каждому источнику указывают тип контролируемого специфического ЗВ и установленный норматив (лимит) на его выброс (сброс) в ОС;

- визуализируемая информация должна включать в себя электронную векторную карту объекта по уничтожению ХО с нанесенными источниками ЗВ и точками отбора проб на промплощадке (включая наблюдательные скважины). На карте приводят результаты контроля и номера источников ЗВ с указанием объекта наблюдений (цех, участок, технологический процесс).

Результаты наблюдений отображают на карте различными цветами:

- при уровне измеряемых концентраций загрязняющих веществ ниже нормативных значений - зеленым цветом;

- при наличии тенденции нарастания концентрации загрязняющих веществ и в перспективе (на основании прогноза) выходе концентрации за пределы установленного лимита - желтым цветом;

- при уровне измеряемых концентраций загрязняющих веществ выше нормативных значений - красным цветом.

Формы предоставления информации по результатам наблюдений на территории объекта по уничтожению ХО приведены в приложении Б.

4.10.8 Результаты наблюдений в СЗЗ и ЗЗМ оформляют в соответствии со следующими требованиями:

- результаты наблюдений оформляют в виде протоколов измерений концентраций ЗВ;

- протокол измерений включает в себя следующие основные данные: наименование ЗВ, дату измерений, номер точки (или источника), координаты точки (или источника), результаты измерений в долях ПДК;

- визуализируемая информация включает в себя векторную карту местности с нанесенной на нее системой пробоотбора. На карте приводят: результаты расчета (изолинии) распределения приоритетных ЗВ по результатам измерений на источниках, точки отбора проб конкретного ЗВ с указанием его концентрации в этой точке и уровни (изолинии) распределения приоритетных загрязнителей в ОС.

Результаты мониторинга (точки, изолинии, области) отображают на картах различными цветами:

- с уровнем ПДК менее 0,5 ПДК - зеленым цветом;

- с уровнем от 0,5 до 1,0 ПДК - желтым цветом;

- свыше 1,0 ПДК - красным цветом.

Формы представления информации по результатам наблюдений в СЗЗ и ЗЗМ приведены в приложении В.

4.10.9 Предусмотрен непосредственный учет результатов анализов в каждой точке, включая диаграммы, отражающие тенденцию (тренд) изменения концентрации за период наблюдений.

4.10.10 Результаты экологического мониторинга объекта по уничтожению ХО вносят в базу данных, обрабатывают, архивируют и хранят в архивированном виде.

4.10.11 Результаты экологического контроля и мониторинга передают в административные органы, управляющие функционированием СЭКиМ, а также в специально уполномоченные в сфере экологического контроля и мониторинга органы государственной исполнительной власти.

Приложение А
(справочное)

Загрязняющие вещества, подлежащие приоритетному аналитическому контролю

А.1 Обоснование перечня контролируемых загрязнителей и параметров базируется на анализе:

- технико-экономического обоснования (ТЭО) строительства объекта;

- технологической документации (технические условия, технологический регламент);

- нормативно-правовых и законодательных актов в области охраны ОС;

- фактических данных по исследованию состава выбросов, сбросов, отходов;

- анализа процессов деструкции ОВ.

А.2 В основу ранжирования перечня контролируемых загрязнителей и параметров положен «технологический принцип». Приоритетность контроля того или иного компонента определяется его значением в технологическом процессе. В соответствии сданным принципом при формировании системы аналитического контроля выделяют следующие группы соединений:

- ОВ (иприт, люизит, вещество типа Vx, зарин, зоман);

- продукты деструкции и трансформации ОВ;

- основные реагенты, используемые при проведении технологического процесса (моноэтаноламин, натриевая щелочь, дегазирующая рецептура типа РД-4М);

- основные компоненты, образующиеся при проведении технологического процесса (серосодержащие вещества, соединения мышьяка, фосфорорганические соединения, соли - хлориды, фториды, а также ацетилен, хлористый водород и др.);

- ЗВ, образующиеся в результате осуществления вспомогательных процессов (эксплуатации автотранспорта, котельных, металлообработки, сварки и др.).

А.3 Основой при формировании перечня контролируемых приоритетных соединений является максимально полный перечень потенциальных ЗВ, используемых в технологических процессах детоксикации ОВ и термического обезвреживания отходов, подразделяемый на следующие группы:

- вещества, обладающие высокой токсичностью и опасностью (с учетом отдаленных эффектов, специфического действия, кумуляции) для человека и природной среды;

- вещества, способные выступать в качестве маркера (показателя присутствия ОВ);

- обязательные для контроля общепромышленные загрязнители.

А.4 Критериями для выбора приоритетных ЗВ являются их токсические свойства, количество и распространенность в ОС, стойкость (персистентность) вещества, способность к биоаккумуляции, миграции, межсредовому распределению, что проявляется в одновременном загрязнении нескольких сред.

А.5 Для количественной характеристики показателей опасности веществ при их ранжировании проводят расчет приоритетности по критериям целесообразности и информативности с использованием в расчетных формулах гигиенических нормативов и показателей рассеивания в природных средах.

Приложение Б
(рекомендуемое)

Формы представления информации по результатам
контроля нормативов выбросов и сбросов

Таблица Б.1 - Форма представления информации по результатам контроля нормативов выбросов

Дата отбора проб

Номер источника выбросов

Наименование производствен-
ного подразделения

Наименование ЗВ

Результаты аналитического контроля

Установленный

норматив

выброса (ПДВ), г/с

Полученная величина (ПВ), г/с

ПВ/ПДВ

Скорость ГВС, м/с

Концентрация ЗВ в выбросе, мг/м3

1

2

3

4

5

6

7

8

9

Таблица Б.2 - Форма представления информации по результатам контроля нормативов сбросов

Дата отбора
проб

Номер
водовыпуска,
объект сброса

Определяемый
показатель

Установленный
норматив сброса
(ПДС), мг/л

Полученная
величина (ПВ),
мг/л

ПВ/ПДС

1

2

3

4

5

6

Приложение В
(рекомендуемое)

Формы представления информации по результатам мониторинга
состояния компонентов природной среды

Таблица В.1 - Форма представления информации по результатам мониторинга атмосферного воздуха

Номер точки отбора пробы

Дата отбора проб

Определяемый показатель

Установленный норматив качества окружающей среды (ПДК, ОБУВ), мг/м3

Полученная величина (ПВ), мг/м3

ПВ/ПДК

Фоновый показатель (ФП), мг/м3

ПВ/ФП*

1

2

3

4

5

6

7

8

* Сравнение с фоном обязательно при ПВ/ПДК>1 и при отсутствии ПДК

Таблица В.2 - Форма представления информации по результатам мониторинга почв

Номер точки отбора пробы

Дата отбора проб

Определяемый показатель

Установленный норматив качества окружающей среды

(ПДК, ОДК), мг/кг

Полученная величина (ПВ), мг/кг

ПВ/ПДК

Фоновый показатель (ФП), мг/кг

ПВ/ФП*

1

2

3

4

5

6

7

8

* Сравнение с фоном обязательно при ПВ/ПДК>1 и при отсутствии ПДК

Таблица В.3 - Форма представления информации по результатам мониторинга природных вод

Номер точки отбора пробы

Дата отбора проб

Определяемый показатель

Установленный

норматив качества

окружающей среды

(ПДК), мг/л

Полученная величина (ПВ), мг/л

ПВ/ПДК

Фоновый показатель (ФП), мг/л

ПВ/ФП*

1

2

3

4

5

6

7

8

* Сравнение с фоном обязательно при ПВ/ПДК>1 и при отсутствии ПДК

Таблица В.4 - Форма представления информации по результатам мониторинга снежного покрова

Номер точки отбора пробы

Дата отбора проб

Определяемый показатель

Установленный

норматив качества

окружающей среды

(ПДК), мг/л

Полученная величина (ПВ), мг/л

ПВ/ПДК

Фоновый показатель (ФП), мг/л

ПВ/ФП*

1

2

3

4

5

6

7

8

* Сравнение с фоном обязательно при ПВ/ПДК>1 и при отсутствии ПДК

Таблица В.5 - Форма представления информации по результатам мониторинга донных отложений

Номер точки отбора пробы

Дата отбора проб

Определяемый показатель

Полученная

величина (ПВ),

мг/кг

Фоновый

показатель (ФП),

мг/кг

ПВ/ФП

1

2

3

4

5

6

Таблица В.6 - Результаты биотестирования и химического анализа почвы (воды, снежного покрова, донных отложений)

Номер точки отбора

пробы

Дата отбора

Определяемый

Полученная величина

(ПВ)/ПДК

Полученная величина

(ПВ)/ФП

Результаты биотестирования на тест-объектах

Инфузории

Эколюм

1

2

3

4

5

6

7

Библиография

[1]

Федеральная целевая программа, введенная в действие Постановлением Правительства РФ от 21 марта 1996 г. № 305, в редакции Постановления Правительства РФ от 21 июня 2007 г. № 692

Уничтожение запасов химического оружия в Российской Федерации

[2]

Постановление Правительства Российской Федерации от 31 марта 2003 г. № 177

Положение об организации и осуществлении государственного мониторинга окружающей среды (экологического мониторинга)

[3]

Постановление Правительства Российской Федерации от 16 июня 2004 г. № 285

Положение о Федеральном агентстве по промышленности

[4]

Закон Российской Федерации от 2 мая 1997 г. № 76-ФЗ

Об уничтожении химического оружия

[5]

Закон Российской Федерации от 24 июня 1998 г. № 89-ФЗ

Об отходах производства и потребления

[6]

Руководящий документ РД 52.04.186-89

Руководство по контролю загрязнения атмосферы

[7]

Общесоюзный нормативный документ ОНД-86

Методика расчета концентраций в атмосферном воздухе вредных веществ, содержащихся в выбросах предприятий

[8]

Закон Российской Федерации от 10 января 2002 г. № 7-ФЗ

Об охране окружающей среды

[9]

Приказ Госстандарта России от 11 марта 2001 г. №78

Концепция метрологического обеспечения уничтожения химического оружия и его бывших производств в Российской Федерации

[10]

Рекомендации межгосударственной стандартизации РМГ 60-2003

Государственная система обеспечения единства измерений. Смеси аттестованные. Общие требования к разработке

[11]

Правила по стандартизации ПР 50.2.009-94

Государственная система обеспечения единства измерений. Порядок проведения испытаний и утверждения типа средств измерений

[12]

Правила по стандартизации ПР 50.2.006-94

Государственная система обеспечения единства измерений. Порядок проведения поверки средств измерений

[13]

Руководящий документ РД 52.18.595-96

Федеральный перечень методик выполнения измерений, допущенных к применению при выполнении работ в области мониторинга загрязнения окружающей природной среды

[14]

Закон Российской Федерации от 19 июля 1998 г. № 113-Ф3

О гидрометеорологической службе

 

Ключевые слова: мониторинг окружающей среды