МИНИСТЕРСТВО НЕФТЯНОЙ ПРОМЫШЛЕННОСТИ
ИНСТРУКЦИЯ
ПО ПРИМЕНЕНИЮ КАТОДНОЙ ЗАЩИТЫ ОБСАДНЫХ
КОЛОНН СКВАЖИН В НЕФТЯНОЙ ПРОМЫШЛЕННОСТИ

г. Бугульма, ТатНИПИнефть
1975
МИНИСТЕРСТВО НЕФТЯНОЙ ПРОМЫШЛЕННОСТИ
ГОСУДАРСТВЕННОЕ ПРОИЗВОДСТВЕННОЕ ОРДЕНА ЛЕНИНА ОБЪЕДИНЕНИЕ «ТАТНЕФТЬ»
Татарский государственный научно-исследовательский и
проектный
институт нефтяной промышленности ТатНИПИнефть
|
УТВЕРЖДАЮ: Заместитель начальника Управления нефтегаздобычи Миннефтепрома А.А. Джавадян«___» декабря 1975 года |
ИНСТРУКЦИЯ
по применению катодной защиты обсадных колонн
скважин в нефтяной промышленности
Бугульма 1975 г.
АННОТАЦИЯ
Настоящая инструкция посвящена вопросам катодной защиты обсадных колонн от коррозии для условий крупных нефтяных месторождений, характеризующихся густой сетью подземных металлических коммуникаций, большими запасами нефти и, следовательно, сроками разработки.
В ней отражены вопросы обоснования необходимости защиты, определения необходимого защитного тока обсадной колонны, определения степени влияния блуждающих токов на незащищенные сооружения, оптимальной конструкции и расположения анодных заземлителей, а также расчета параметров индивидуальной и групповой схем защиты. Даны рекомендации по монтажу и эксплуатации установок катодной защиты и правила техники безопасности.
Инструкция составлена на основе результатов исследований, проведенных институтом ТатНИПИнефть; в ней использованы также некоторые теоретические разработки института ВНИИСТ МИННЕФТЕГАЗСТРОЯ.
Инструкция разработана сотрудниками ТатНИПИнефть к.т.н. Загировым М.М., инж. Даутовым Ф.И., к.т.н. Юсуповым И.Г. и сотрудником ВНИИСТ к.т.н. Глазовым Н.П. при участии работников объединения «Татнефть» к.т.н. Булгакова Р.Т., инж. Минхайрова Ф.Л., инж. Лермана Б.А., инж. Хазиахметова Р.С. Инструкция составлена под редакцией д.т.н. проф. Максутова Р.А.
ВВЕДЕНИЕ
Строительство нефтепромысловых объектов и коммуникаций требует больших капиталовложений. Наряду с этим с каждым годом растут и вложения для поддержания подземных сооружений в необходимом для эксплуатации состоянии. Особенно остро стоит вопрос обеспечения требуемой долговечности эксплуатационных колонн нефтяных и нагнетательных скважин, находящихся в агрессивных пластовых водах разреза месторождений. Причиной высокой коррозионной активности пластовых вод является содержание в них таких агрессивных компонентов, как сероводород, углекислота и т.д. Максимальная скорость наружной коррозии металла труб по вышедшим из строя обсадным колоннам на Ромашкинском нефтяном месторождении находится, например, в пределах 0,6 - 1,2 мм/год. Такая коррозия наблюдается в основном в условиях отсутствия цементного камня за эксплуатационной колонной скважин (в объединении «Татнефть» примерно половина всего фонда скважин имеет частично зацементированные колонны с интервалом отсутствия цементного камня 800 м и более).
Как известно, внутренняя коррозия обсадных колонн может быть, предотвращена технологическими мероприятиями - закачкой воды по насосно-компрессорным трубам с установкой пакеров и использованием нейтральных надпакерных жидкостей. Однако в настоящее время вопросы предотвращения коррозии наружной поверхности труб для старого фонда скважин решены неполностью. Капитальные ремонты трудоемки и требуют значительных материальных затрат. Так, стоимость операции наращивания цементного кольца за эксплуатационной колонной в старом фонде скважин в объединении «Татнефть» составляет 20 - 25 тыс. рублей, а сама операция приводит к остановке работы скважины на 35 - 50 суток.
Как правило, темпы коррозионных нарушений обсадных колонн скважин ежегодно увеличиваются, т.е. динамика ежегодных нарушений является функцией времени, и чем выше возраст скважин, тем больше частота этих нарушений. Количество ежегодных нарушений колонн в объединении «Татнефть» описывается уравнением N = a×tb, (коэффициенты a и b степенной функции для Ромашкинского месторождения находятся в пределах: a = 1,1 - 2,0; b = 1,5 - 2,2), согласно которому в 1985 г. ожидается порядка 400, а в 1995 г. - 800 нарушений.
Обсадные колонны, отремонтированные цементированием интервала нарушения, не отвечают предъявляемым требованиям по интенсификации добычи нефти и не способны выдерживать всевозрастающие нагрузки. Кроме того, не прекращаются коррозионные процессы в интервалах колонны, не подверженных ремонту. Это обусловливает увеличение количества ежегодных повторных ремонтов, которое составляет в объединении «Татнефть» более 20 % от всего объема нарушений.
Поэтому назрела серьезная необходимость внедрения активного метода защиты обсадных колонн от наружной коррозии - катодной защиты наложенным током.
Опытно-промысловые работы, выполненные институтом ТатНИПИнефть на Ромашкинском нефтяном месторождении, многолетний опыт применения на месторождениях США и других стран показывают, что катодная защита является эффективным методом снижения коррозионных отказов обсадных колонн. Метод технологичен, не требует остановки работы скважины при проведении строительно-монтажных работ.
Однако широкому промышленному внедрению метода катодной защиты должны предшествовать научно-исследовательские и проектно-изыскательские работы, которые должны учитывать особенности геологического разреза и сроки разработки месторождения, конструкции скважин и плотность подземных коммуникаций. При этом особое внимание должно уделяться конструкциям анодных заземлений, местам их расположения по отношению к защищаемому объекту и посторонним подземным коммуникациям для исключения или сведения к минимуму вредного влияния блуждающих токов установок катодной защиты на незащищенные сооружения.
Данная инструкция составлена на основании многолетних научно-исследовательских и опытно-промысловых работ по катодной защите обсадных колонн на Ромашкинском нефтяном месторождении. Она не учитывает условия вечной мерзлоты. Однако методические вопросы и рекомендации, изложенные в инструкции, могут быть использованы при обосновании и проектировании катодной защиты на крупных нефтяных месторождениях отрасли с учетом их конкретных особенностей.
1.1.1. Коррозия металла обсадных труб вызывается его низкой термодинамической устойчивостью в пластовых водах, содержащих такие агрессивные компоненты, как сероводород и углекислота.
1.1.2. Различие физико-химических параметров вод отдельных разрезов скважины (температура, рН, ионный и газовый состав) в ряде случаев может вызвать увеличение скорости коррозии труб за счет протекания макрокоррозионных токов.
1.1.3. Наличие межпластовых перетоков пластовой жидкости в затрубном пространстве скважины улучшает обмен коррозионной среды и, как следствие, резко увеличивает скорость коррозии обсадных труб.
1.1.4. Качественное цементирование предотвращает коррозию обсадной колонны за счет пассивации и исключения возможности межпластовых перетоков.
1.1.5. Коррозия обсадных труб развивается неравномерно и преимущественно носит язвенный характер, вызывающий появление сквозных отверстий (течей) на трубах.
1.1.6. Обсадные трубы подвержены интенсивной наружной коррозии по всей глубине скважины в интервале отсутствия цементного камня за счет наличия в разрезе водоносных горизонтов.
1.1.7. Капитальные ремонты скважин по ликвидации негерметичности колонн (цементирование нарушенного интервала колонны, установка латок) не останавливают коррозионные процессы в других интервалах колонны, поэтому после появления первого нарушения, как правило, имеют место повторные нарушения с достаточно большой частотой.
1.1.8. Надежная изоляция проявляющих и поглощающих водоносных пластов в процессе бурения скважины способствует снижению коррозионного разрушения обсадных труб.
1.2.1. Необходимость катодной защиты обсадных колонн от наружной коррозии на начальной стадии разработки нефтяного месторождения устанавливается в зависимости от величины скорости коррозии труб.
1.2.2. Необходимость защиты обсадных колонн при условии отсутствия или устранения внутренней коррозии определяют по критерию
(1)
где Т - планируемый срок службы скважины, годы; Dd - допустимое коррозионное уменьшение толщины стенки труб, мм; К - скорость проникновения коррозии, мм/год. При В > 0 катодная защита необходима, а при В £ 0 защита не требуется.
1.2.3. Необходимость катодной защиты при условии наличия и нерентабельности устранения внутренней коррозии обсадных труб определяют с учетом ее скорости путем сравнения сроков службы обсадных колонн с катодной защитой и без нее и дальнейшего экономического анализа.
1.2.4. Величину скоростей внутренней и наружной коррозии наиболее достоверно можно определить непосредственными измерениями на извлеченных обсадных трубах. Скорость коррозии определяется как отношение глубины максимальной каверны к фактическому сроку службы обсадной колонны до ее извлечения.
1.2.5. Ориентировочно скорость коррозии обсадных труб можно оценить в лаборатории путем определения скорости коррозии образцов трубной стали в наиболее агрессивных водах разреза месторождения в динамических и статических условиях. Если имеются сведения о межпластовых перетоках вод в заколонном пространстве скважин, то используют скорость коррозии, определенную в динамических условиях. При этом скорость движения электролита относительно образца должна соответствовать скорости движения пластовой воды относительно обсадной трубы в скважине.
1.2.6. При отсутствии сильных агрессивных компонентов в пластовых водах месторождения или при полном цементировании колонны в ряде случаев заметная коррозия обсадных труб может обусловливаться макрокоррозионными токами. Скорость такой коррозии определяют снятием кривой падения напряжения по колонне двухконтактным зондом (например, И-10, И-31, К-3 и т.д.).
1.2.7. Скорость коррозии труб в анодной зоне колонны Kа рассчитывается по формуле
(2)
где DU1 и DU2 - величины падения напряжения на концах исследуемого участка анодной зоны, измеренные двухконтактным зондом, В; l - длина второго участка, м; Dl - расстояние между контактами зонда (обычно 7,5 м), м; rc - продольное электрическое сопротивление 1 м обсадной трубы ом/м; Дс - диаметр обсадной трубы, м.
1.2.8. Необходимость применения катодной защиты обсадных колонн на средней или поздней стадии разработки месторождения устанавливается путем сравнения прогнозных кривых динамики ежегодных коррозионных нарушений обсадных колонн без катодной защиты, и после ее внедрения.
1.2.9. Прогнозирование динамики ежегодных нарушений обсадных колонн производится на базе фактических динамических рядов количества ежегодных нарушений для каждой группы скважин определенного возраста*. Для этого динамические ряды аппроксимируются математической зависимостью вида
N = f(t), (3)
где N - количество ежегодных нарушений обсадных колонн; t - число лет с момента появления первых нарушений в данной группе скважин в форме натурального ряда чисел (1, 2, 3 ... .).
____________
*) В случае, если фактических статистических данных по нарушениям недостаточно, то прогнозирование приближенно можно вести для всех скважин месторождения.
1.2.10. Прогнозирование динамики ежегодных нарушений после внедрения катодной защиты, обеспечивающий степень защиты Р в наиболее агрессивном интервале колонны, производится по формуле:
N¢ = f[t¢(1 - P) + t3](1 - P), (4)
где t¢ - время появления N¢ нарушений в годах после внедрения защиты, принимающее значения с интервалом 1/1-Р, т.е. 1/1-Р, 2/1-Р, ..., n/1-Р; t3 - период времени с момента появления первых нарушений до года внедрения защиты, годы; Р - степень защиты, определяемая по п.п. 2.3.9., в долях единицы.
1.2.11. Эффективность катодной защиты определяется экономическим расчетом на основе величины снижения коррозионных потерь, вычисляемой по формуле
где Ni - прогнозное количество ежегодных нарушений обсадных колонн без катодной защиты; N¢i - то же с катодной защитой; n - натуральное число, равное сроку расчета эффективности защиты (от года внедрения защиты до проектного конца разработки месторождения).
1.2.12. Внедрение катодной защиты целесообразно, если все расходы на катодную защиту не больше расходов на производство капитальных ремонтов по восстановлению герметичности обсадных колонн (или другие методы защиты от коррозии), количество которых определяется из прогнозной кривой без катодной защиты.
2.1.1. Сущность катодной (электрохимической) защиты заключается в смещении (поляризации) электродного потенциала металлов при помощи внешнего источника постоянного тока (станции катодной защиты - СКЗ) в сторону отрицательных значений. Причем степень защиты сооружения зависит от величины смещения электродного потенциала (электрохимической поляризации).
2.1.2. Катодная защита обсадных колонн скважин осуществляется присоединением отрицательного полюса источника постоянного тока (СКЗ) к обсадной колонне на устье скважины и положительного полюса к вспомогательному заземлению, называемому анодным. Защитный ток, появляющийся в такой цепи, входит в обсадную колонну через всю ее поверхность и смещает электродный потенциал в отрицательную сторону.
2.1.3. Катодная защита обсадных колонн нефтяных скважин может осуществляться по двум схемам: индивидуальной и групповой (совместной).
2.1.4. При индивидуальной защите одна или несколько смежных скважин с помощью кабельных дренажных линий подключается к катодной установке, состоящей из СКЗ и анодного заземления (приложение 2, рис. 8 - 12).
2.1.5. При групповой совместной защите все скважины, относящиеся к данной групповой установке (ГУ), защищаются одной катодной установкой, причем нефтесборные коллекторы используются в качестве токопроводов к скважинам (приложение 3, рис. 13).
2.1.6. Выбранные схемы катодной защиты обсадных колонн должны исключить вредное влияние токов катодной установки (блуждающих токов) на соседние незащищенные подземные металлические сооружения.
2.1.7. Вредное влияние характеризуется появлением на постороннем сооружении анодных зон (участков выхода блуждающих токов из сооружения), где истинная плотность тока утечки более 85 мА/м2 или смещение потенциала сооружения в положительную сторону более 0,1 В.
2.1.8. Возможность вредного влияния катодной установки устраняют применением дренажа (постороннее сооружение электрически соединяют с обсадной колонной через определенное сопротивление) или соблюдением при проектировании и строительстве системы безопасных расстояний от анодного заземления до постороннего сооружения (табл. 1).
Таблица 1.
|
Расстояние от сооружения до заземления, м |
||||||||||||||||
|
Сопротивление изоляции сооружения, Ом×м2 |
||||||||||||||||
|
0 |
5 - 50 |
50 - 200 |
более 200 |
|||||||||||||
|
Ток СКЗ, А |
Ток СКЗ, А |
Ток СКЗ, А |
Ток СКЗ, А |
|||||||||||||
|
10 |
15 |
20 |
30 |
10 |
15 |
20 |
30 |
10 |
15 |
20 |
30 |
10 |
15 |
20 |
30 |
|
|
12 и менее |
5 |
6 |
8 |
10 |
20 |
30 |
50 |
70 |
30 |
40 |
70 |
100 |
40 |
50 |
110 |
150 |
|
12 - 20 |
4 |
5 |
6 |
8 |
12 |
15 |
25 |
35 |
15 |
20 |
30 |
40 |
20 |
25 |
35 |
60 |
|
20 - 36 |
3 |
3 |
4 |
5 |
4 |
6 |
7 |
10 |
5 |
7 |
8 |
12 |
5 |
8 |
10 |
15 |
|
36 - 60 |
3 |
3 |
3 |
3 |
3 |
3 |
3 |
3 |
3 |
3 |
3 |
3 |
3 |
3 |
3 |
3 |
2.2.1. Поскольку параметры катодной защиты обсадных колонн в значительной мере зависят от гидрогеологической характеристики разреза скважин, то все скважины месторождения (площади), намеченные к катодной защите, группируются по этому признаку. В дальнейшем сбор исходного и первичного экспериментального материалов, а также расчеты по определению параметров защиты производятся для каждой группы с учетом ее особенностей.
2.2.2. Для расчета и проектирования катодной защиты обсадных колонн необходимы следующие исходные данные:
а) сводные геологические разрезы отдельных групп с кривыми КС и ПС;
б) конструкция скважин (диаметр, толщина стенки и глубина спуска обсадных труб, высота подъема цементного камня);
в) длина, диаметр, толщина стенки труб, глубина прокладки в грунте и сопротивление изоляционного покрытия нефтесборного коллектора;
д) удельное электрическое сопротивление верхних слоев грунта (в интервале 0 - 20 м от поверхности земли);
е) удельное электрическое сопротивление пород разреза месторождения (площади);
ж) ионный и газовый состав, величина рН пластовых вод разреза месторождения;
з) план месторождения (площади) или отдельных его участков, где нанесены все ликвидированные, действующие и проектируемые подземные металлические сооружения, их основные параметры, а также точки измерения удельного электрического сопротивления верхних слоев грунта, значения которого в виде таблицы прилагается к плану.
2.2.3. Проектированию катодной защиты должны предшествовать опытные работы, в результате которых необходимо получить следующие первичные экспериментальные материалы для каждой группы скважин:
а) катодные поляризационные кривые «плотность тока - электрохимическая поляризация» трубной стали для наиболее агрессивных пластовых вод разрезов скважин с временем экспозиции при каждом значении плотности тока не менее 10 суток (могут быть использованы естественные или синтетические пластовые воды, состав и компоненты которых в процессе опыта поддерживаются в узких пределах изменения путем периодической смены среды);
б) кривые падения напряжения по обсадной колонне, снятые двухконтактным устройством (зонды И-10, И-31, контактор К-3 и т.д.) для наиболее типичных по конструкции скважин группы в процессе опытной катодной защиты при, как минимум, трех значениях защитного тока: 5, 10 и 20 А (время экспозиции при каждом значении тока не менее 24 часов; нефтесборный коллектор электрически изолирован от обсадной колонны);
в) если в разрезе скважин выше уровня цементного камня имеются пласты с аномально высоким (низким) удельным электрическим сопротивлением, дополнительно устанавливается влияние удаления анодного заземления от скважины на распределение падения напряжения по колонне, для чего получают кривые падения напряжения при удалениях заземления на 30, 100, 200 и 400 м.
2.3.1. Ток, необходимый для обеспечения заданной степени защиты обсадной колонны в наиболее агрессивном интервале разреза (без учета потребления его нефтесборным коллектором), устанавливается экспериментально для каждой группы скважин.
2.3.2. Определение наиболее агрессивного интервала разреза производят путем анализа поляризационных кривых и скоростей коррозии стали в пластовых водах, кривых падения напряжения по колонне в естественных условиях в случае преобладания макрокоррозии, а также статистических данных о приуроченности коррозионных течей к отдельным интервалам глубины скважин. Дальнейшие расчеты базируются на степени защиты этого интервала.
2.3.3. Из кривых распределения падения напряжения по обсадной колонне, полученных в процессе опытной катодной защиты, рассчитывают распределение плотности защитного тока по обсадной колонне для вышеупомянутого интервала по формуле
2.3.4. По значению плотности защитного тока из поляризационных кривых трубной стали, в пластовых водах этого интервала определяют распределение электрохимической поляризации по колонне.
2.3.5. На основе кривых распределения электрохимической поляризации по длине выделенного интервала для трех - четырех значений защитного тока (например 5, 10, 20 и 30 А) строят кривую зависимости средневзвешенного значения электрохимической поляризации в данном интервале от величины защитного тока. Средневзвешенное значение поляризации для интервала определяется по формуле
где Н - общая длина интервала, м; Dji и hi - поляризация (В) и длина (м) i-го участка интервала; n - число выделенных участков с различными значениями поляризации.
2.3.6. Отроят кривую зависимости среднего значения поляризации от величины защитного тока.
2.3.7. Необходимую величину электрохимической поляризации, обеспечивающей требуемую степень защиты обсадной колонны в данном интервале, определяют по известной формуле
где Р - требуемая степень защиты обсадной колонии в долях единицы.
2.3.8. Если катодная защита внедряется на начальной стадии разработки месторождения, то требуемая степень защиты определяется по формуле
(9)
где Dd - допустимое коррозионное уменьшение толщины стенки труб, мм; К - скорость наружной коррозии труб, мм/год; Т - проектируемый срок службы скважины, год.
а) строят кривые зависимостей степени защиты выделенного интервала колонны от величины защитного тока исходя из п.п. 2.3.6 и формулы (8) и затрат на катодную защиту (суммы затрат на электроэнергию и строительство анодного заземления) Ст от величины защитного тока по формуле
где Up - рабочее напряжение на выходе СКЗ, которое составляет 70 - 80 % от максимального, В; Тз - общий срок действия катодной защиты, лет; Сз - стоимость 1 кВт×час электроэнергии, руб./кВт-час; h - к.п.д. СКЗ; Со - стоимость 1 м анодного заземления, руб./м; Rо - сопротивление анодного заземления в расчете на 1 м длины, Ом м; DСс - превышение стоимости используемой СКЗ над стоимостью базовой СКЗ, применяемой при минимальном значении заданного защитного тока, руб.; Та - срок амортизации СКЗ, лет; См - ежегодная плата за 1 кBA установленной мощности, руб./год×кВА; Nс - потребляемая мощность СКЗ, КВА; К - коэффициент, учитывающий расход тока нефтесборным коллектором (индивидуальная защита: К = 1,1 - 1,2 при Rиз > 1000 Ом×м, К = 1,3 - 1,5 при Rиз < 1000 Ом×м; групповая защита: К = 1,8 - 2,0 при Rиз > 1000 Ом×м, К = 3,0 - 3,6 при Rиз < 1000 Ом×м);
б) на базе этих кривых строят кривую зависимости затрат на катодную защиту от степени защиты данного интервала для всех защищаемых скважин месторождения (площади);
в) по формулам (4) и (5) строят кривую зависимости величины снижения коррозионных потерь за весь срок действия катодной защиты от степени защиты Р;
г) строят кривую зависимости экономического эффекта за счет снижения коррозионных потерь (без учета затрат на катодную защиту, не зависящих от защитного тока) от величины степени защиты;
д) из последней кривой, имеющей максимум, определяют требуемую степень защиты, а по ней - необходимую величину защитного тока обсадной колонны.
2.3.10. Полученная величина защитного тока обсадной колонны для данной группы скважин округляется до ближайшего целого числа и дальнейшие расчеты по определению параметров катодной защиты основываются на ней.
2.4.1. Расстояние между скважиной и анодным заземлением - важный технологический параметр катодной защиты, от которого зависит ее экономичность.
2.4.2. Установление защитного тока обсадной колонны (Jo) и все экспериментальные исследования катодной защиты производятся при технологически оптимальном удалении анодного заземления от скважины.
2.4.3. При отсутствии в геологическом разрезе скважин пластов с
аномально высоким (низким) значением удельного электрического сопротивления
технологически оптимальное удаление анодного заземления составляет 100 - 150 м.
Для скважин, имеющих такие пласты, ![]()
2.4.4. В процессе промышленного внедрения катодной защиты сооружение анодного заземления производится на экономически оптимальном удалении анодного заземления, которое рассчитывается по формуле
где Ск - стоимость строительства 1 м кабельной линии, включая стоимость кабеля, руб/м.
2.4.5. В случае сооружения анодного заземления на удалении, обличающемся (меньшем) от технологически оптимального удаления от защищаемой скважины, защитный ток обсадной колонны (без учета потребления части его нефтесборным коллектором) определяется по формуле
где Jo - защитный ток обсадной колонны, определенный экспериментально по п. 2.3 при технологически оптимальном удалении анодного заземления от скважины, А.
2.5.1. Величина тока СКЗ, необходимая для защиты одной обсадной колонны с учетом потребления части ее нефтесборным коллектором, определяется по формуле
где
- защитный ток обсадной колонны, А; Zo - безразмерный параметр, определяемый по формуле
где Z, r, g, L - соответственно входное сопротивление (Ом), продольное сопротивление (Ом/м), коэффициент утечки (м-1) и длина (м) (индексы с и к относятся соответственно к обсадной колонне и коллектору).
2.5.2. Коэффициент утечки обсадной колонны и коллектора определяются по формуле
где R - переходное сопротивление колонны или коллектора, Ом×м.
2.5.3. Продольные сопротивления колонны или коллектора можно определять по формуле
(16)
где rст - электрическое сопротивление трубной стали (rст = 0,22 - 0,28 Ом×мм2/м); d - толщина стенки труб, мм; Д - наружный диаметр труб, мм.
2.5.4. Переходное сопротивление нефтесборного коллектора находится решением трансцендентного уравнения
где Rиз - сопротивление наружной противокоррозионной изоляции коллектора, Ом×м; Дк - диаметр, м; hк - глубина укладки в траншее, м; r - удельное сопротивление почвы в районе прохождения коллектора, Ом×м,
2.5.5. Переходное сопротивление обсадной колонны определяется по формуле
где Дс - диаметр обсадных труб, м; rп - средневзвешенное удельное сопротивление пластов в разрезе скважины, Ом×м.
(19)
где Нс - глубина скважины, м; п - число пластов в разрезе с различными электрическими сопротивлениями; Hi - мощность i-го пласта разреза, м; ri - удельное сопротивление i-го пласта разреза, Ом×м.
2.5.6. Общая величина тока СКЗ в случае защиты нескольких скважин одной установкой определяется по формуле
(20)
где n - число защищаемых скважин; Ji - ток для защиты одной обсадной колонны, определяемый по формуле (13).
2.5.7. При защите одной установкой двух или более скважин на СКЗ устанавливается блок сопротивлений с целью улучшения распределения тока по скважинам. Величина сопротивлений определяется из приложения 4.
2.5.8. Требуемое сопротивление анодного заземления определяется по формуле
(21)
где Rпр - сопротивление дренажных кабелей (проводов), Ом:
(22)
где rм - удельное электрическое сопротивление материала проводов, Ом×мм2/м; lа - длина анодного кабеля (провода), м; Sa и Sк - соответственно сечения анодного и катодного кабелей (проводов), мм2; lк - длина катодного кабеля (провода) наиболее удаленной скважины, м; n - число скважин, защищаемых одной установкой.
2.6.1. Для обеспечения требуемого распределения тока СКЗ по скважинам коллекторы скважин при групповой защите отделяются друг от друга изолирующими фланцами на IV и к концу каждого коллектора подается расчетное значение тока, определяемое по формуле
2.6.2. Общий ток СКЗ групповой установки определяется из выражения
(24)
где n - число защищаемых скважин в группе.
2.6.3. Для перераспределения тока СКЗ по скважинам в соответствии с рассчитанными значениями защитного тока каждой скважины J отрицательный полюс СКЗ соединяется с коллекторами через блок добавочных сопротивлений согласно приложению 3.
2.6.4. При условиях r1 = 0 и J1×Z1 > J2×Z2 > … Jn×Zn величины добавочных сопротивлений блока рассчитываются по формуле
(25)
где ri - величины добавочных сопротивлений, Ом; Zi - общие входные сопротивления систем «коллектор - скважина», Ом; Ji - расчетные токи, определяемые по формуле 23.
2.6.5. Общее входное сопротивление системы «коллектор - скважина» рассчитывается по формуле
(26)
2.6.6. Требуемое сопротивление анодного заземления и общая мощность катодной установки определяется так же, как по п.п. 2.5.8 и 2.5.9.
2.6.7. Ток катодной установки при групповой защите может составить 100 - 200 А и более. При отсутствии в наличии СКЗ на такие нагрузки потребуется параллельная работа двух и более однотипных станций катодной защиты. Условием согласованной параллельной работы нескольких СКЗ является точное совпадение выходных напряжений. В практических условиях выходные напряжения CКЗ не должны различаться более, чем на 2 - 3 %.
2.7.1. Тип анодного заземления выбирается исходя из грунтовых условий (уровень грунтовых вод, влажность и удельное электрическое сопротивление грунта), наличия свободных площадок, величины тока защиты.
2.7.2. При уровне грунтовых вод не ниже 10 м эффективно строительство вертикальных заземлений длиной 20 - 30 м, оснащенных малорастворимыми электродами (ферросилидовыми и графитированными).
2.7.3. Глубинные анодные заземления длиной более 40 - 50 м могут применяться при групповой катодной защите.
2.7.4. Если уровень грунтовых вод ниже 10 м, более рационально сооружение подпочвенных (вертикальных, горизонтальных, смешанных) заземлений.
2.7.5. В грунтах с высоким удельным электрическим сопротивлением (более 50 Ом×м) применение малорастворимых заземлителей нецелесообразно. В этих условиях рекомендуется применять стальные электроды с засыпкой, снижающей сопротивление растеканию (например, кокс); если удельное сопротивление выше 100 Ом×м, снижение сопротивления заземления может быть достигнуто подсаливанием грунта вокруг заземления.
2.7.6. Применение коксовой засыпки с целью снижения скорости растворения стальных электродов рекомендуется при достаточной влажности грунта (влажность более 5 %).
2.7.7. Сопротивление электрода заземления, установленного вертикально в грунте с выходом на поверхность земли определяется по формуле
где r - удельное сопротивление грунта, Ом×м; lэ - длина электрода, м; d - диаметр электрода, м.
2.7.8. Если вертикальный электрод заглублен в землю (торец не выступает на поверхности), то его сопротивление рассчитывается по формуле
где t - расстояние от поверхности земли до верхнего торца электрода, м.
2.7.9. Сопротивление горизонтального заземления определяют из выражения
где hэ - глубина установки электрода (расстояние от уровня земли до середины электрода), м.
2.7.10. Если электрод заземления установлен в коксовой засыпке, то в формулах (27, 28 и 29) вместо d подставляют диаметр коксовой оболочки и к рассчитанным значениям прибавляют сопротивление засыпки, определяемому по формуле
(30)
где rзс и dзс - удельное сопротивление материала (Ом×м) и диаметр коксовой оболочки (м).
2.7.11. Сопротивления вертикального анодного заземления, оснащенного ферросилидовыми электродами, могут быть определены из приложения 5.
2.7.12. При параллельном соединении нескольких электродов в единый контур (соединение кабелем) общее сопротивление заземления находится из выражения
где n - количество электродов; Кэ - коэффициент экранирования (использования), определяемый из приложения 6.
2.7.13. Поскольку требуемое сопротивление заземления известно по п.п. 2.5.8, формулы 27 - 31 и табл. 4 (приложение 5) используют для решения обратной задачи: по заданному сопротивлению анодного заземления определяется количество электродов и их размеры (lэ и d).
2.8.1. От правильности выбора места для анодного заземления зависит как экономичность катодной защиты, так и степень вредного влияния на соседние посторонние сооружения.
2.8.2. При выборе места для сооружения анодного заземления следует руководствоваться следующими условиями:
а) расстояние до защищаемой скважины по п. 2.4.;
б) расстояние до ближайших посторонних трубопроводов, не имеющих металлической связи с защищаемой скважиной - магистральных трубопроводов, водоводов при защите нефтяных и любых трубопроводов, кроме водоводов, при защите нагнетательных скважин - должно соответствовать п.п. 2.1.8 и 2.1.9;
в) расстояние до собственного коллектора (водовода) нефтяной (нагнетательной) скважины не менее 20 м;
г) с целью экономии затрат на строительство дренажных линий заземление должно размещаться по возможности ближе к источнику напряжения 220 В (к трансформаторной подстанции);
д) при прочих одинаковых условиях предпочтение следует отдавать более влажным участкам местности с низким удельным сопротивлением грунта и высоким уровнем грунтовых вод.
3.1.1. Все работы по строительству и монтажу системы катодной защиты обсадных колонн скважин должны выполняться подрядным способом на основе проектной документации.
3.1.3. Строительству анодных заземлений и дренажных линий должны предшествовать следующие инженерно-изыскательские работы на каждом защищаемом объекте (скважине, ГУ):
а) выбор и отметка места для сооружения анодного заземления;
б) измерение удельного электрического сопротивления грунта в районе анодного заземления в нескольких точках;
в) выбор трассы кабельных дренажных линий и линии питания СКЗ;
г) нанесение места анодного заземления и трассы кабельных линий на плане объекта с указанием всех расстояний и размеров; план объекта должен включать также все подземные и надземные коммуникации и сооружения и их характеристики (длина, диаметр, толщина стенки, состояние и ориентировочное сопротивление наружной противокоррозионной изоляции трубопроводов, их удаление от защищаемых скважин и места анодного заземления).
3.1.3. Сооружение вертикального анодного заземления глубиной 20 м и более включает следующие работы:
а) бурение скважины диаметром 161 - 243 мм буровой установкой (УГБ-ЗАМ, УГБ-50А, УГБ-50М и др.);
б) обсаживание скважины стальными трубами диаметром 100 - 194 мм, толщиной стенки 6 - 10 мм, соединенными между собой электросваркой;
в) сборка и спуск в скважину гирлянды из малорастворимых электродов (ферросилидовых, графитированных).
3.1.4. В случае нехватки малорастворимых электродов, оснащение ими анодных заземлений может производиться постепенно по мере поступления в течение 2 - 3 лет, а до их спуска в качестве электрода служат обсадные трубы.
3.1.5. При наличии в достаточном количестве малорастворимых электродов обсаживание скважины производится только в неустойчивых грунтах.
3.1.6. Сооружение горизонтального анодного заземления включает следующие работы:
а) отрыв траншеи на глубину промерзания грунта (длина и количество траншей определяется проектом);
б) установка электродов (в достаточно влажных грунтах электроды могут устанавливаться в коксовую засыпку);
в) присоединение (кабелем, стальной полосой или уголком) электродов в общий контур;
г) изоляция полосы (уголка) и мест приварки или присоединения битумом или другими изоляционными материалами;
д) засыпка траншеи с уплотнением грунта.
3.1.7. Сооружение подпочвенного заземления с ферросилидовыми, графитированными и упакованными электродами включает следующие работы:
а) отрыв траншеи глубиной 0,9 м (длина определяется количеством электродов);
б) бурение шурфов для установки электродов глубиной 3 м, диаметром 250 мм;
в) установка электродов в шурф;
г) засыпка шурфа с тщательной утрамбовкой коксовой мелочью или мягким грунтом;
д) присоединение электродов в траншее в общий контур и надежная изоляция мест соединения;
е) засыпка траншеи грунтом.
3.1.8. После окончания строительства анодного заземления замеряют сопротивление цепи «обсадная колонна - заземление» измерителем заземления M-416 или MC-08, МС-07. Измеренное значение не должно превышать расчетного сопротивления анодного заземлителя по п.п. 2.5.8. В противном случае устраивают дополнительные заземлители.
3.1.9. Сооружение кабельных линий включает следующие работы:
а) разбивка и планировка трассы;
б) рытье траншеи механизированными средствами (баровой машиной БР Т-100 М, экскаваторами Э-153, ЭТН-124, ЭТЦ-161, установкой УКС и т.д.);
в) подготовка траншеи;
г) прокладка кабеля;
д) засыпка траншеи.
3.2.1. Станция катодной защиты типа КСС (или СКСУ) монтируется на специальной опоре или трансформаторной подстанции в соответствии с типовым проектом или чертежами. Все отклонения от проектной документации допускаются лишь при предварительном согласовании с проектирующей организацией.
3.2.2. Станция катодной защиты монтируется на высоте 1,2 - 1,5 м от поверхности земли.
3.2.3. Отверстия в кожухе CК3 для прохода проводов и кабелей необходимо снабдить изолирующими втулками.
3.2.4. Концы кабелей, вводимых в СКЗ, защищают от механических повреждений трубами или уголками, нижняя часть которых углублена в землю на 40 - 50 см.
3.2.5. Если СКЗ монтируется на специальной опоре, то корпус ее заземляется в общий контур заземления на скважине в соответствии с требованиями ПУЭ (правил устройства электроустановок).
3.2.6. Присоединение дренажного кабеля к обсадной колонне производится с помощью приваренного к ней болта. Разрешается временно, до первого капитального или подземного ремонта на скважине присоединять дренажный кабель к болту нижнего фланца устьевой арматуры.
3.2.7. Особое внимание следует уделять качеству изоляции места соединения дренажного кабеля с анодным заземлением во избежание растворения контакта и жил кабелей под действием анодного тока.
3.3.1. Наладку СКЗ и проверку эффективности их работы производит строительная или эксплуатирующая организация. Могут быть также привлечены специализированные организации.
3.3.2. Наладка СКЗ включает следующие работы:
а) ревизию (проверка механических и электрических креплений, контактов, электроизмерительных приборов, предохранителей и т.д.) СКЗ до монтажа и пробное включение на определенное внешнее сопротивление с целью проверки выходных параметров при различных положениях переключателей централизованно в условиях мастерской (лаборатории);
б) проверку мест соединения дренажных кабелей (проводов) с анодным заземлением, обсадной колонной и СКЗ;
в) проверку наличия и качества соединений защитного заземления;
г) измерение естественного потенциала обсадной колонны на устье скважины;
д) включение и вывод на режим СКЗ;
е) измерение потенциала колонны с целью проверки полярности кабеля катодной цепи (отрицательный потенциал колонны должен возрастать);
ж) запись №№ объектов (скважин, ГУ), защищаемых одной катодной установкой, параметров защиты (ток, напряжение на выходе СКЗ, токи, распределяемые по отдельным скважинам, естественный потенциал и потенциал после включения СКЗ каждой скважины) в журнал произвольной формы.
3.3.3. После окончания всех строительно-монтажных и наладочных работ производится приемка катодной защиты специально созданной комиссией по нефтегазодобывающему управлению (НГДУ).
3.3.4. Строительно-монтажная организация представляет комиссии исполнительную документацию, в состав которой входят:
а) схемы включения СКЗ и рабочие чертежи на устройство защиты, скорректированные строительно-монтажной организацией в соответствии с фактическим выполнением монтажных работ;
б) акты на выполнение скрытых работ (сооружение анодных и защитных заземлений, прокладка кабелей в траншее);
в) электрические паспорта на СКЗ (форма 1, приложение 7);
г) результаты наладки СКЗ.
3.3.5. Приемка в эксплуатацию катодных установок оформляется актом, в котором должны быть указаны недостатки принимаемых работ (если они имеются), а также пути и сроки их устранения.
4.1. Ввод в эксплуатацию системы катодной защиты производится после приемки заказчиком по акту.
4.2. Эксплуатацию системы катодной защиты, а также контроль за коррозионным состоянием всех промысловых коммуникаций осуществляют специальные службы катодной защиты, входящие в состав эксплуатирующего предприятия (НГДУ) и подчиняющиеся непосредственно главному энергетику предприятия.
4.3. В задачу службы катодной защиты входят:
а) эксплуатация средств системы катодной защиты;
б) согласование защитных мероприятий, проектируемых другими организациями;
в) обследование коррозионного состояния всех подземных металлических промысловых коммуникаций и обсадных колонн;
г) прием в эксплуатацию новых средств электрохимической защиты;
д) монтаж и наладка новых средств электрохимической защиты как по проектам самой службы защиты, так и по проектам других организаций;
е) контроль за строительством новых средств защиты.
4.4. Численность персонала службы катодной защиты определяется из расчета обслуживания одним монтером катодной защиты 40 - 50 СКЗ (в зависимости от местных условий эта норма может меняться). Кроме того, служба каждого предприятия (НГДУ) должна иметь специализированную мастерскую для производства среднего и капитального ремонтов СКЗ.
4.5. Служба катодной защиты состоит из нескольких групп, оснащенных транспортным средством (передвижной лабораторией электрохимзащиты или любым автомобилем с закрытым кузовом) для производства технического осмотра СКЗ, контрольных измерений и перевозки оборудования и материалов.
4.6. Для каждой СКЗ необходимо иметь журнал контроля ее работы (форма 2, приложение 7), в который заносят результаты технического осмотра и измерений.
4.7. Технический осмотр, текущий и средний ремонты выполняются по графикам, утвержденным главным инженером предприятия (НГДУ) из расчета: технический осмотр СКЗ - 2 раза в месяц, текущий ремонт - раз в месяц, средний ремонт - раз в полгода.
4.8. При техническом осмотре СКЗ производят:
а) внешний осмотр всех элементов катодной защиты;
б) проверку исправности предохранителей и надежности их крепления;
в) очистку корпуса СКЗ снаружи и внутри;
г) проверку параметров катодной защиты.
4.9. При проверке параметров измеряют ток СКЗ, токи, распределяемые по скважинам (в случае защиты нескольких скважин), напряжение на выходе СКЗ и потенциалы обсадной колонны (общий и в момент кратковременного отключения тока СКЗ) на устье скважины.
4.10. При обнаружении снижения защитного тока не более, чем на 20 % от проектного значения необходимо привести его в соответствие с проектом путем увеличения напряжения на выходе СКЗ переключателями.
4.11. Значительное самопроизвольное снижение защитного тока свидетельствует либо об ухудшении контактных соединений дренажной цепи, либо о существенном растворении электродов анодного заземления. В первом случае устраняют дефект в контакте, во втором - меняют электроды заземления или строят новое заземление.
4.12. В процессе длительной эксплуатации системы катодной защиты по ряду причин (ухудшение защитных свойств цементного камня, изменение гидродинамической ситуации в заколонном пространстве, образование катодных осадков в т.д.) степень защищенности обсадных труб может измениться. Поэтому регулярно (через 3 - 5 лет) необходимо уточнять величину защитного тока обсадной колонны для каждой группы скважин по описанной выше методике определения защитного тока.
5.1.1. Строительство установок катодной защиты обсадных колонн скважин должно быть выполнено по проекту в соответствии со СНиП III-А 11-70 «Техника безопасности в строительстве» и «Правилами устройства электроустановок».
5.1.2. К выполнению работ по катодной защите обсадных колонн допускаются лица, прошедшие вводный инструктаж, инструктаж по технике безопасности на рабочем месте, а также сдавшие экзамены в объеме соответствующих разделов «Правил безопасности в нефтегазодобывающей промышленности» Госгортехнадзора CССP, «Техники безопасности в строительстве» СНиП, а также «Правил устройства электроустановок» Министерства энергетики и электрификации СССР.
5.1.3. При выполнении работ по защите обсадных колонн работающий персонал должен быть обеспечен спецодеждой и средствами индивидуальной защиты (предохранительные пояса, диэлектрические перчатки и т.п.).
5.2.1. Бурение скважин под анодные заземления производят механизированно установками разведочного или специального бурения. При бурении скважин следует руководствоваться едиными правилами безопасности при геологоразведочных работах.
5.2.2. Место для бурения скважины под анодное заземление должно удовлетворять требованиям настоящей Инструкции и согласоваться с представителями эксплуатирующей организации.
5.2.3. Электроды анодного заземления спускаются в скважину в собранном виде на канате диаметром не менее 11 мм с соблюдением правил техники безопасности для машиниста грузоподъемного крана и такелажника.
5.3.1. Земляные работы в зоне расположения действующих подземных коммуникаций следует производить с письменного разрешения организации, ответственной за эксплуатацию этих коммуникаций, под наблюдением производителя работ и в присутствии представителя эксплуатирующей организации. К разрешению на производство указанных работ должен быть приложен план с указанием глубины заложения коммуникаций.
5.3.2. Рыть траншеи в местах прохождения подземных трубопроводов и кабелей следует с особой предосторожностью, пользуясь исключительно лопатами.
5.3.3. При случайном обнаружении подземного кабеля или трубопровода во время рытья необходимо приостановить работу и сообщить об этом техническому руководителю.
5.3.4. При обнаружении на месте работы газа рабочие должны быть немедленно сняты с работы и вновь допущены лишь после устранения причины поступления газа.
5.3.5. При работе с кабельной массой и эпоксидным компаундом необходимо соблюдать инструкции по технике безопасности по соответствующим веществам.
5.4.1. К работе по монтажу СКЗ допускается бригада в составе 2 - 3 человек, обученных производству работ и прошедших инструктаж по технике безопасности, с оформлением наряда на производство работ.
5.4.2. Все металлические части: опора, кожух и корпус СКЗ должны быть надежно заземлены в соответствии с «Правилами устройства электроустановок».
5.4.3. Монтаж линии питания СКЗ производится в последнюю очередь.
5.4.4. Кабель питания СКЗ подключается к нижним клеммам рубильника на трансформаторном пункте (ТП) скважины. На время монтажа линии питания отключаются рубильник и разъединитель ТП, проверяется индикатором отсутствие напряжения на рубильнике, на ручке разъединителя вывешивается предупредительный плакат «Не включать, работают люди».
5.5.1. Приварка контактного болта к обсадной колонне производится после глушения скважины глинистым раствором с разрешения Госгортехнадзора, с ведома пожарной охраны и по письменному разрешению (наряду) технического руководителя предприятия (НГДУ).
5.5.2. Перед началом сварочных работ производят отбор пробы газа у устья скважины и ее анализ на содержание пожаро-взрывоопасных компонентов.
5.5.3. Электросварочные работы должны производиться с соблюдением Правил техники безопасности и производственной санитарии при электро- и газосварочных работах.
5.5.4. К сварочным работам на устье скважины могут допускаться только квалифицированные сварщики, сдавшие экзамены и имеющие соответствующие удостоверения.
5.5.5. Сварщик должен быть обеспечен необходимыми защитными средствами. За работой сварщика должен наблюдать специально выделенный человек.
5.5.6. Запрещаются электро- и газосварочные работы, не связанные с монтажом и ремонтом оборудования и коммуникаций:
а) на расстоянии менее 20 м от резервуаров;
б) на расстоянии менее 50 м от открытых нефтеловушек;
в) на расстоянии менее 20 м от канализационных нефтяных колодцев, стоков и манирольдов.
5.5.7. К самостоятельной сварке термитным способом допускаются только сварщики, которые хорошо изучили и освоили этот вид сварки, а также технику безопасности при термитной сварке.
5.6.1. Персонал, допущенный к обслуживанию СКЗ, должен иметь квалификацию не ниже 3 группы. Работникам, не имеющим права обслуживать СКЗ, разрешается только снимать показания приборов СКЗ. Они должны иметь квалификацию не ниже 2 группы.
5.6.2. При эксплуатации СКЗ обслуживающий персонал должен быть обеспечен средствами изоляции от токоведущих частей: изолирующими подставками, резиновыми ковриками, диэлектрическими галошами, ботами, перчатками и монтерским инструментом с изолированными ручками. Эти средства должны через определенные промежутки времени, согласно правилам электробезопасности, проходить электрические испытания.
5.6.3. При осмотре и ремонте СКЗ, связанных со снятием ее из кожуха, необходимо отключить питание рубильником на ТП.
5.6.4. На СКЗ проведение любых видов работ во время грозы запрещается.
5.6.5. Подача напряжения для опробирования или пуска в эксплуатацию смонтированного электрического оборудования осуществляется по указанию мастера или прораба при условии полного окончания монтажных работ и проверки правильности их выполнения.
5.6.6. При производстве электрических измерений на обсадной колонне или трубопроводе следует выполнять правила техники безопасности при эксплуатации этих сооружений.
5.6.7. При производстве ремонтных работ на скважине, связанных с отсоединением устьевой арматуры, если это может вызвать разрыв цепи катодной защиты, необходимо предварительно отключить СКЗ во избежание образования электрической искры в месте разрыва.
5.6.8. В планах на капитальные, подземные и надземные ремонты на скважине должно быть указано, что скважина находится под катодной защитой, а члены бригады ремонта должны пройти инструктаж.
ПРИЛОЖЕНИЯ
ПРИMЕР
расчета катодной защиты обсадных колонн для Абдрахмановской площади
Ромашкинского месторождения
1. Исходные данные для определения защитного тока обсадной колонны
1.1. В сводном геологическом разрезе скважин отсутствуют пласты с аномально высоким или низким электрическим сопротивлением.
1.2. Разрезы скважин площади по гидрогеологической характеристике однотипные. Однако по высоте подъема цементного камня в заколонном пространстве все скважины можно разделить на 2 группы: первая группа - скважины с полностью зацементированными колоннами, вторая - скважины с частично зацементированными колоннами (причем основные агрессивные водоносные комплексы в разрезе не перекрыты цементным камнем). В дальнейшем в качестве примера расчеты ведем для второй группы.
1.3. Анализы пластовых вод, статистических данных о приуроченности коррозионных поражений к отдельным интервалам, а также поляризационных кривых и скоростей коррозии стали в пластовых водах показывают, что наиболее агрессивным является интервал обсадных колонн 600 - 900 м. Расчет параметров катодной защиты будем вести по степени защиты этого интервала.
1.4. Кривые падения напряжения по колонне, снятые двухконтактным зондом И-31 при значениях защитного тока 5, 10, 20 и 30 А, представлены на рис. 1а.
Рис. 1. Кривые падения напряжения по колонне (а), распределения плотности тока утечки (б) и электрохимической поляризации (в) в выделенном интервале (600 - 900 м) при токах защиты 5, 10, 20 и 30 А.
1.5. На рис. 2 приведена катодная поляризационная кривая трубной стали в статике в наиболее агрессивной воде окско-серпуховского комплекса, содержащей в среднем 300 мг/л сероводорода. Время экспозиции при каждом значении тока поляризации составляло 10 суток, за это время электродный потенциал стали практически полностью стабилизировался.
1.6. Средние параметры обсадных колонн скважин группы следующие: длина 1700 м, диаметр 146 мм, толщина стенки труб 7 мм, удельное электрическое сопротивление материала труб 0,25 Ом×мм2/м.
2. Определение защитного тока обсадной колонны
2.1. Исходя из кривых падения напряжения по формуле 6 рассчитываем распределение плотности тока утечки (рис. 1б), а по плотности тока утечки из поляризационной кривой для стали в пластовой воде (рис. 2) определяем распределения поляризация по колонне в пределах выделенного интервала (рис. 1в).
Рис. 2. Катодная поляризационная кривая трубной стали в сероводородной пластовой воде окско-серпуховского комплекса (300 мг/л H2S).
Рис. 3. Кривая зависимости среднего значения поляризации Dj от тока защиты Jo
2.2. Рассчитываем средневзвешенное значение поляризации в интервале по формуле (7):
![]()
![]()
![]()
![]()
2.3. Строим кривую зависимости среднего значения поляризации от величины защитного тока (рис. 3).
2.4. Поскольку катодная защита применяется на средней стадии разработки месторождения (например, в 1975 году), для определения оптимальной величины степени защищенности Р используем технико-экономический подход.
Таблица 2
|
Количество скважин в каждой группе |
Года появления первых нарушений |
Динамика ежегодных нарушений обсадных колонн |
||
|
без катодной защиты |
с катодной защитой |
|||
|
1 |
2 |
3 |
4 |
5 |
|
1950 - 1953 |
30 |
1960 |
|
|
|
1954 |
31 |
1964 |
|
|
|
1955 |
140 |
1958 |
|
|
|
1956 |
118 |
1961 |
|
|
|
1957 |
45 |
1961 |
|
|
|
1958 |
78 |
1961 |
|
|
|
1959 - 1965 |
110 |
1964 |
|
|
2.5. Все скважины площади с нарушенными колоннами разбиваем на возрастные группы (если фактических нарушений мало, то группы можно расширить, например, в одну группу включают скважины, пробуренные в 1959, 1960, ... , 1965 годах, в этом случае в расчетах используют средний возраст группы).
2.6. На основе имеющихся динамических рядов для каждой группы скважин получаем уравнение регрессии (3), а по ним, задаваясь несколькими значениями степени защищенности Р (например 20, 50, 80 и 90 %) уравнения (4).
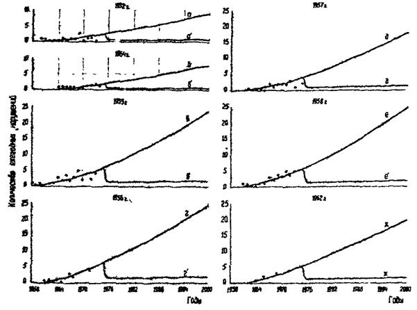
В таблице 2 и на рис. 4 приведены для примера уравнения и кривые при Р = 0,8 (80 %).
2.7. Суммированием по ординате частных кривых для каждой группы получаем интегральные кривые для всех скважин площади (рис. 5).
2.8. Строим кривую зависимости затрат на катодную защиту от величины защитного тока (без учета постоянных затрат) по формуле (10) (рис. 6), где применяем следующие числовые значения констант: Ир = 24 В; Tз = 25 лет; Cэ = 0,007 руб./ кВт-час; h = 0,61; Со = 38 руб./м; Rо = 40 Ом×м; Сс = 100 руб. для КСС-600, Сc = 300 руб. для КCC-1200, базовая СКЗ КСС-300; Та = 10 лет, Cм = 18 руб./год×кВА; Nc = 490 Вт (КСС-300), Nc = 980 Вт (КСС-600), Nc = 1970 Вт (КCC-1200); К = 1,3.
Рис. 4. Частные кривые динамики ежегодных нарушений обсадных колонн без внедрения (а - ж) и с внедрением (а¢ - ж¢) катодной защиты
1 - расчетные кривые; 2 - фактические данные.
Рис. 5. Интегральная кривая динамики ежегодных нарушений при степенях защищенности обсадных колонн: 0, 20, 50, 80 и 90 %.
2.9. Используя формулу (8) и кривую на рис. 3 строим кривую зависимости степени защищенности Р от величины защитного тока Jо (рис. 6.).
Рис. 6. Зависимости затрат на защиту одной скважины С¢т и степени защиты колонны Р от тока катодной защиты (заштрихована область приемлемых значений защитного тока).
2.10. На основе кривых на рис. 6 строим кривую зависимости затрат на катодную защиту для всех защищаемых скважин площади (700 скв.) Ст от степени защищенности Р (рис. 7).
2.11. Из кривой 5 рассчитываем зависимость величины снижения коррозионных нарушений по формуле (5) DN от степени защищенности Р (рис. 7).
2.12. Строим кривую зависимости экономического эффекта (без учета затрат на катодную защиту, не зависящих от защитного тока) за счет внедрения метода Э от степени защищенности Р (рис. 7) по формуле
Э(Р) = DN(Р)×Ср - Ст(Р)
где Сp - стоимость одного капитального ремонта по восстановлению герметичности обсадной колонны (Ср = 16 тыс. руб.). Из этой кривой по точке максимума определяем области приемлемых значений степени защиты 80 - 95 %. В качестве примера дальнейшие расчеты ведем по оптимальной степени защиты Р = 90 %.
2.13. Из кривой Р = Р(Jo) (рис. 6) определяем область приемлемых значений защитного тока 13,3 - 28,5 А и расчетную величину тока, соответствующую принятой степени защиты, Jo = 20 А. Следует отметить, что в дальнейших расчетах может быть принято любое значение защитного тока из указанной области. Меньшие значения защитного тока потребуют меньших первоначальных затрат на катодную защиту. И, наоборот, максимальный режим потребует значительных первоначальных затрат, но в то же время этот режим может быть приемлем при необходимости практически полного исключения коррозионных отказов. Поскольку экономический эффект для значений защитного тока 13,5 - 28,5 А примерно одинаков (максимальное отклонение от оптимального режима всего 4 %), то рабочий режим катодной защиты должен быть согласован с руководством предприятия с учетом располагаемых сил и средств и всей технической политики данной отрасли в отношении сохранения работоспособности основных фондов.
Рис. 7. Зависимости величины снижения коррозионных отказов DN, затрат на катодную защиту всего фонда скважин Ст и экономического эффекта Э от степени защиты Р (заштрихована область приемлемых значений степени защиты).
3. Расчет параметров катодной защиты
3.1. Расчет ведем на примере индивидуальной катодной защиты конкретной скважины при следующих исходных данных: диаметр, толщина стенки труб и длина обсадной колонны соответственно 146 мм, 7 мм и 1700 м; те же параметры для нефтесборного коллектора соответственно 100 мм, 5 мм и 2000 м; сопротивление противокоррозионного изоляционного покрытия коллектора Rиз = 200 Ом×м; среднее удельное сопротивление пород разреза скважины rп = 50 Ом×м, удельное сопротивление грунта r = 30 Ом×м; глубина прокладки коллектора h = 1 м.
3.2. Определяем экономически оптимальное удаление анодного заземления от скважины по формуле (11), принимая Ск = 1,5 руб/м,
![]()
3.3. Определяем защитный ток обсадной колонны, скорректированный с учетом найденного удаления анодного заземления по формуле (12)
![]()
3.4. Рассчитываем переходное сопротивление обсадной колонны по формуле (18) (rc = 82×10-6 Ом/м) методом последовательных приближений. Для этого сначала задается Rс = 50 Ом×м:
![]()
теперь подставляем в формулу найденное значение
![]()
Поскольку последнее значение мало отличается от подставляемого, то последовательные приближения на этом можно закончить, приняв окончательное значение Rc = 56 Ом×м.
3.5. Коэффициент утечки обсадной колонны определяем по формуле (15)

3.6. Тем же методом последовательных приближений, по формуле (17), задаваясь сначала Rк = 300 Ом×м, определяем переходное сопротивление нефтесборного коллектора (rк = 173×10-6 Ом/м):
![]()
![]()
3.7. Коэффициент утечки коллектора
![]()
3.8. Определяем безразмерный параметр - отношение входных сопротивлений колонны и коллектора Zo - по формуле (14)
![]()
3.9 Рассчитываем необходимую величину тока СКЗ по формуле (13)
J = J¢o (Zo + 1) = 21(0,29 + 1) = 27 А.
3.10 Требуемая выходная мощность станции равна
Nc = 1,3×Up×J = 1,3×24×27 = 840 Вт.
3.11 Определяем необходимое сопротивление анодного заземления
![]()
3.12 Выбираем вертикальное анодное заземление с ферросилидовыми электродами длиной 1,4 м и диаметром 60 мм, собранными в виде гирлянды. Глубину залегания и количество электродов в гирлянде определяем из приложения 5. По таблице 4 сопротивление 0,9 Ом имеет заземление глубиной 51 м и количеством электродов 34 шт. Однако с целью сокращения затрат сооружаем два заземлителя глубиной по 24 м и количеством электродов по 16 шт. Расстояние между заземлителями А принимаем равным глубине заземлителя, т.е. А = 24 м (величина А/lэ = 1), тогда коэффициент экранирования, определяемый из приложения 6, будет равен Кэ = 0,84. Общее сопротивление анодного заземления
![]()
Индивидуальная катодная защита скважин
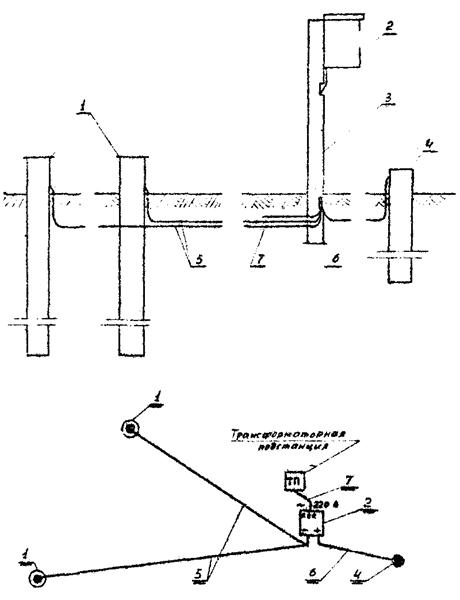
Рис. 8. Общая схема индивидуальной катодной защиты нефтяных скважин.
1 - обсадная колонна; 2 - станция катодной защиты (СКЗ); 3 - опора СКЗ; 4 - анодное заземление; 5 - кабель катодной цепи; 6 - кабель анодной цепи; 7 - кабель питания.

Рис. 9. Схема установки СКЗ типа КСС-600 (СКЗ-300) на опоре для защиты одной скважины
СПЕЦИФИКАЦИЯ
|
№№ поз. |
Наименование |
Ед. изм. |
К-во |
Материал |
Масса, кг |
ГОСТ, нормаль |
|
|
ед. |
общ. |
||||||
|
1. |
СКЗ типа КСС-600 (КСС-300) |
шт. |
1 |
- |
72 (38) |
72 (38) |
- |
|
2. |
Опора для СКЗ |
шт. |
1 |
сталь |
42 |
42 |
- |
|
3. |
Болт М 16´40 с гайкой |
шт. |
4 |
сталь |
0,09 |
0,36 |
|
|
4. |
Кабель АВРБ-500 сеч. 3´10 |
м |
100 |
Алюм. |
0,95 |
95 |
|
|
5. |
Кабель АВРБ-500 сеч. 2´4 |
м |
20 |
Алюм. |
0,44 |
8,8 |
|

Рис. 10. Схема установки СКЗ типа КСС-600 на опоре для защиты двух скважин с узлом сопротивлений
СПЕЦИФИКАЦИЯ
|
№№ поз. |
Наименование |
Ед. изм. |
К-во |
Материал |
Масса, кг |
ГОСТ, нормаль |
|
|
ед. |
общ. |
||||||
|
1. |
СКЗ типа КСС-600 |
шт. |
1 |
- |
72 |
72 |
- |
|
2. |
Опора для СКЗ |
шт. |
1 |
сталь |
42 |
42 |
- |
|
3. |
Болт М 16´40 с гайкой |
шт. |
4 |
сталь |
0,14 |
0,56 |
|
|
4. |
Ящик сопротивлений |
шт. |
1 |
сталь |
3,57 |
3,57 |
- |
|
5. |
Болт М 8´20 |
шт. |
2 |
сталь |
0,013 |
0,026 |
|
|
6. |
Кабель АВРБ-500 сеч. 2´4 |
м |
40 |
Алюм. |
0,44 |
17,6 |
|
|
7. |
Кабель АВРБ-500 сеч. 3´10 |
м |
250 |
Алюм. |
0,95 |
237,5 |
|

Рис. 11. Схема установки СКЗ типа KCC-1200 на опоре для защиты трех (двух) скважин с узлом сопротивлений
СПЕЦИФИКАЦИЯ
|
№№ поз. |
Наименование |
Ед. изм. |
К-во |
Материал |
Масса, кг |
ГОСТ, нормаль |
|
|
ед. |
общ. |
||||||
|
1. |
СКЗ типа ECC-I200 |
шт. |
1 |
- |
92 |
92 |
- |
|
2. |
Болт М 12´70 с гайкой |
шт. |
4 |
сталь |
0,11 |
0,44 |
|
|
3. |
Ящик сопротивлений |
шт. |
1 |
Ст. 3 |
3,57 |
3,57 |
- |
|
4. |
Болт М 8´20 |
шт. |
20 |
сталь |
0,013 |
0,026 |
|
|
5. |
Кабель АВРБ-500 сеч. 3´16 |
м |
200 (150) |
Алюм. |
1,05 |
210 (158) |
|
|
6. |
Кабель АВРБ-500 сеч. 2´4 |
м |
50 |
Алюм. |
0,44 |
22 |
|
|
7. |
Опора для СКЗ |
шт. |
1 |
сталь |
71 |
71 |
- |
|
8. |
Кабель АВРБ-500 сеч. 3´10 |
м |
600 |
Алюм. |
0,95 |
0,95 |
|
Рис. 12. Схема установки СКЗ типа КСС-300 (КСС-600) на трансформаторной подстанции в открытом (а) и закрытом (б) исполнениях.
1 - трансформаторная подстанция (ТП); 2 - станция катодной защиты (СКЗ) типа КCC-300 (КСС-600); 3 - защитная труба для дренажных кабелей.
Групповая катодная защита скважин
Рис. 13. Схема групповой катодной защиты обсадных колонн скважин.
1 - скважины; 2 - нефтесборные коллекторы (шлейфы); 3 - изолирующие фланцы; 4 - глубинное анодное заземление; 5 - блок сопротивлений; 6 - кабельные линии.
Выбор сопротивления, включаемого в катодную цепь скважины при индивидуальной катодной защите нескольких скважин одной катодной установкой
Длина рабочей части сопротивления, составленного из нихромовых проволок с суммарным сечением Sж = 2,5 мм2
Таблица 3
|
l*у, м |
Расстояние (по линии кабеля) от катодной станции до скважины li, метры |
||||||||||||||||||||||||||||||||
|
30 |
40 |
50 |
60 |
70 |
80 |
90 |
100 |
110 |
120 |
130 |
|||||||||||||||||||||||
|
Суммарное сечение рабочих жил дренажного кабеля (жилы - алюминиевые) Sк, мм2 |
|||||||||||||||||||||||||||||||||
|
20 |
25 |
30 |
20 |
25 |
30 |
20 |
25 |
30 |
20 |
25 |
30 |
20 |
25 |
30 |
20 |
25 |
30 |
20 |
25 |
30 |
20 |
25 |
30 |
20 |
25 |
30 |
20 |
25 |
30 |
20 |
25 |
30 |
|
|
40 |
35 |
28 |
23 |
0 |
0 |
0 |
- |
- |
- |
- |
- |
- |
- |
- |
- |
- |
- |
- |
- |
- |
- |
- |
- |
- |
- |
- |
- |
- |
- |
- |
- |
- |
- |
|
50 |
70 |
55 |
46 |
35 |
28 |
23 |
0 |
0 |
0 |
- |
- |
- |
- |
- |
- |
- |
- |
- |
- |
- |
- |
- |
- |
- |
- |
- |
- |
- |
- |
- |
- |
- |
- |
|
60 |
104 |
83 |
68 |
70 |
55 |
46 |
35 |
28 |
23 |
0 |
0 |
0 |
- |
- |
- |
- |
- |
- |
- |
- |
- |
- |
- |
- |
- |
- |
- |
- |
- |
- |
- |
- |
- |
|
70 |
138 |
110 |
91 |
104 |
83 |
68 |
70 |
55 |
46 |
35 |
28 |
23 |
0 |
0 |
0 |
- |
- |
- |
- |
- |
- |
- |
- |
- |
- |
- |
- |
- |
- |
- |
- |
- |
- |
|
80 |
173 |
138 |
114 |
138 |
110 |
91 |
104 |
83 |
68 |
70 |
55 |
46 |
35 |
28 |
23 |
0 |
0 |
0 |
- |
- |
- |
- |
- |
- |
- |
- |
- |
- |
- |
- |
- |
- |
- |
|
90 |
207 |
166 |
137 |
173 |
138 |
114 |
138 |
110 |
91 |
104 |
83 |
68 |
70 |
55 |
46 |
35 |
28 |
23 |
0 |
0 |
0 |
- |
- |
- |
- |
- |
- |
- |
- |
- |
- |
- |
- |
|
100 |
242 |
193 |
160 |
207 |
166 |
137 |
173 |
138 |
114 |
138 |
110 |
91 |
104 |
83 |
68 |
70 |
55 |
46 |
35 |
28 |
23 |
0 |
0 |
0 |
- |
- |
- |
- |
- |
- |
- |
- |
- |
|
110 |
276 |
221 |
182 |
242 |
193 |
160 |
207 |
166 |
137 |
173 |
138 |
114 |
138 |
110 |
91 |
104 |
83 |
68 |
70 |
55 |
46 |
35 |
28 |
23 |
0 |
0 |
0 |
- |
- |
- |
- |
- |
- |
|
120 |
310 |
248 |
205 |
276 |
221 |
182 |
242 |
193 |
160 |
207 |
166 |
137 |
173 |
138 |
114 |
138 |
110 |
91 |
104 |
83 |
68 |
70 |
55 |
46 |
35 |
28 |
23 |
0 |
0 |
0 |
- |
- |
- |
|
130 |
345 |
280 |
228 |
310 |
248 |
205 |
276 |
221 |
182 |
242 |
193 |
160 |
207 |
166 |
137 |
173 |
138 |
114 |
138 |
110 |
91 |
104 |
86 |
68 |
70 |
55 |
46 |
35 |
28 |
23 |
0 |
0 |
0 |
|
140 |
380 |
302 |
250 |
345 |
280 |
228 |
310 |
248 |
205 |
276 |
221 |
182 |
242 |
193 |
160 |
207 |
166 |
137 |
173 |
138 |
114 |
138 |
110 |
91 |
104 |
83 |
68 |
70 |
55 |
46 |
35 |
28 |
23 |
|
150 |
414 |
332 |
273 |
380 |
302 |
250 |
345 |
280 |
228 |
310 |
248 |
205 |
276 |
221 |
182 |
242 |
193 |
160 |
207 |
166 |
137 |
173 |
138 |
114 |
138 |
110 |
91 |
104 |
83 |
68 |
70 |
55 |
46 |
|
160 |
450 |
360 |
296 |
414 |
332 |
273 |
380 |
302 |
250 |
345 |
280 |
228 |
310 |
248 |
205 |
276 |
221 |
182 |
242 |
193 |
160 |
207 |
137 |
137 |
173 |
138 |
114 |
138 |
110 |
91 |
104 |
83 |
68 |
|
170 |
483 |
387 |
318 |
450 |
360 |
296 |
414 |
332 |
273 |
380 |
302 |
250 |
345 |
280 |
228 |
310 |
248 |
205 |
276 |
221 |
182 |
242 |
193 |
160 |
207 |
166 |
137 |
173 |
138 |
114 |
138 |
110 |
91 |
|
180 |
517 |
414 |
341 |
483 |
387 |
318 |
450 |
360 |
296 |
414 |
332 |
273 |
380 |
302 |
250 |
345 |
280 |
228 |
310 |
248 |
205 |
276 |
221 |
182 |
243 |
193 |
160 |
207 |
166 |
137 |
173 |
138 |
144 |
|
190 |
552 |
442 |
364 |
517 |
414 |
341 |
483 |
387 |
318 |
450 |
360 |
293 |
414 |
332 |
273 |
380 |
302 |
250 |
345 |
280 |
228 |
310 |
248 |
205 |
276 |
221 |
182 |
242 |
193 |
160 |
207 |
166 |
137 |
*) lу - расстояние (по линии кабеля) от катодной станции до наиболее удаленной скважины.
Примечания:
1. Ящик с сопротивлениями устанавливается при защите одной станцией двух или более скважин. Количество сопротивлений в ящике на единицу меньше количества защищаемых скважин. Добавочное сопротивление в цепь наиболее удаленной скважины не включается.
2. Сопротивления составляются в виде жгута из нескольких нихромовых проволок, диаметром более 1 мм.
3. Длина рабочей части добавочного сопротивления, включаемого в цепь данной скважины (при условии, что входные сопротивления всех скважин примерно одинаковые), выбирается из таблицы или рассчитывается по формуле: а = rк Sж/rж ×Sк(ly - li); где Sж и rж - сечение и удельное сопротивление жгута; rк - удельное сопротивление жил кабеля.
Сопротивление вертикального анодного заземления, составленного в виде гирлянды из малорастворимых цилиндрических электродов в зависимости от их диаметра (d) и количества, глубины заземления и удельного электрического сопротивления грунта (r)
Таблица 4
|
Глубина залегания (м) и количество электродов (шт.) |
d = 40 мм |
d = 60 мм |
d = 80 мм |
||||||||||||||||||
|
r, Ом×м |
|||||||||||||||||||||
|
10 |
20 |
30 |
40 |
50 |
60 |
70 |
10 |
20 |
30 |
40 |
50 |
60 |
70 |
10 |
20 |
30 |
40 |
50 |
60 |
70 |
|
|
1,5 - 1 шт. |
5,3 |
10,6 |
15,9 |
21,2 |
26,5 |
31,8 |
37,0 |
4,9 |
9,8 |
14,7 |
19,6 |
24,5 |
29,4 |
34,3 |
4,2 |
9,2 |
13,8 |
13,4 |
23,0 |
27,6 |
32,2 |
|
3,0 - 2 |
3,0 |
6,0 |
9,0 |
12,0 |
15,0 |
18,0 |
21,0 |
2,3 |
5,6 |
8,4 |
11,2 |
14,0 |
16,8 |
19,6 |
2,7 |
5,4 |
8,1 |
10,8 |
13,5 |
16,2 |
19,0 |
|
4,5 - 3 |
2,2 |
4,4 |
6,6 |
8,8 |
11,0 |
13,2 |
15,4 |
2,0 |
4,0 |
6,0 |
8,0 |
10,0 |
12,0 |
14,0 |
1,9 |
3,8 |
5,7 |
7,6 |
9,5 |
11,4 |
13,0 |
|
6,0 - 4 |
1,7 |
3,4 |
5,1 |
6,8 |
8,5 |
10,2 |
12,0 |
1,6 |
3,2 |
4,8 |
6,4 |
8,0 |
9,6 |
11,2 |
1,5 |
3,0 |
4,5 |
6,0 |
7,5 |
9,0 |
11,0 |
|
7,5 - 5 |
1,4 |
2,8 |
4,2 |
6,6 |
7,0 |
8,4 |
10,0 |
1,3 |
2,6 |
3,9 |
5,2 |
6,5 |
7,8 |
9,1 |
1,2 |
2,4 |
3,6 |
4,8 |
6,0 |
7,2 |
8,4 |
|
9,0 - 6 |
1,2 |
2,4 |
3,6 |
4,8 |
6,0 |
7,2 |
8,4 |
1,1 |
2,2 |
3,3 |
4,4 |
5,5 |
6,6 |
7,7 |
1,0 |
2,0 |
3,0 |
4,0 |
5,0 |
6,0 |
7,0 |
|
12,0 - 8 |
1,0 |
2,0 |
3,0 |
4,0 |
5,0 |
6,0 |
7,0 |
0,9 |
1,8 |
2,7 |
3,6 |
4,5 |
5,4 |
6,3 |
0,8 |
1,6 |
2,4 |
3,2 |
4,0 |
4,8 |
5,6 |
|
15,0 - 10 |
0,75 |
1,5 |
2,25 |
3,0 |
3,8 |
4,5 |
5,3 |
0,7 |
1,5 |
2,2 |
2,9 |
3,7 |
4,4 |
5,1 |
0,7 |
1,4 |
2,1 |
2,8 |
3,6 |
4,2 |
5,0 |
|
18,0 - 12 |
0,65 |
1,3 |
2,0 |
2,6 |
3,25 |
3,9 |
4,6 |
0,6 |
1,3 |
1,9 |
2,5 |
3,2 |
3,8 |
4,4 |
0,6 |
1,2 |
1,8 |
2,4 |
3,0 |
3,6 |
4,3 |
|
21,0 - 14 |
0,6 |
1,2 |
1,7 |
2,3 |
2,85 |
3,4 |
4,0 |
0,55 |
1,1 |
1,65 |
2,2 |
2,8 |
3,3 |
3,8 |
0,53 |
1,05 |
1,6 |
2,1 |
2,7 |
3,2 |
3,7 |
|
24,0 - 16 |
0,5 |
1,0 |
1,5 |
2,0 |
2,5 |
3,0 |
3,5 |
0,5 |
1,0 |
1,5 |
2,0 |
2,5 |
3,0 |
3,4 |
0,5 |
0,95 |
1,5 |
1,9 |
2,4 |
2,9 |
3,4 |
|
30,0 - 20 |
0,4 |
0,8 |
1,2 |
1,7 |
2,1 |
2,5 |
2,9 |
0,4 |
0,8 |
1,2 |
1,6 |
2,0 |
2,4 |
2,8 |
0,4 |
0,8 |
1,2 |
1,6 |
2,0 |
2,4 |
2,7 |
|
42,0 - 28 |
0,32 |
0,65 |
1,0 |
1,3 |
1,6 |
1,9 |
2,2 |
0,3 |
0,6 |
1,0 |
1,3 |
1,6 |
1,9 |
2,2 |
0,3 |
0,6 |
0,9 |
1,2 |
1,5 |
1,8 |
2,1 |
|
51,0 - 34 |
0,3 |
0,6 |
0,85 |
1,1 |
1,4 |
1,7 |
2,0 |
0,25 |
0,55 |
0,8 |
1,1 |
1,4 |
1,6 |
1,9 |
0,25 |
0,5 |
0,8 |
1,0 |
1,3 |
1,5 |
1,8 |
|
60,0 - 40 |
0,23 |
0,5 |
0,7 |
0,9 |
1,2 |
1,4 |
1,6 |
0,2 |
0,45 |
0,7 |
0,9 |
1,1 |
1,3 |
1,5 |
0,2 |
0,4 |
0,6 |
0,8 |
1,1 |
1,2 |
1,5 |
Коэффициенты экранирования для вертикальных электродов анодного заземления
Таблица 5
|
Отношение расстояния между заземлениями к длине заземлений, A/lэ |
Количество заземлений, n |
Коэффициент экранирования для системы вертикальных заземлений, Кэ |
|
1 |
2 |
0,84 - 0,87 |
|
2 |
2 |
0,90 - 0,92 |
|
3 |
2 |
0,93 - 0,95 |
|
1 |
3 |
0,76 - 0,80 |
|
2 |
3 |
0,85 - 0,88 |
|
3 |
3 |
0,90 - 0,92 |
|
1 |
5 |
0,67 - 0,72 |
|
2 |
5 |
0,79 - 0,83 |
|
3 |
5 |
0,85 - 0,88 |
|
1 |
10 |
0,56 - 0,62 |
|
2 |
10 |
0,72 - 0,77 |
|
3 |
10 |
0,79 - 0,83 |
Коэффициенты экранирования для горизонтального ряда электродов
Таблица 6
|
Отношение расстояния между заземлениями к длине заземлений, A/lэ |
Количество заземлений, n |
Коэффициент экранирования для системы горизонтальных заземлений, Кэ |
|
1 |
2 |
0,85 - 0,87 |
|
2 |
2 |
0,72 - 0,94 |
|
3 |
2 |
0,95 - 0,97 |
|
1 |
3 |
0,79 - 0,81 |
|
2 |
3 |
0,89 - 0,91 |
|
3 |
3 |
0,93 - 0,94 |
|
1 |
5 |
0,72 - 0,74 |
|
2 |
5 |
0,84 - 0,86 |
|
3 |
5 |
0,88 - 0,90 |
|
_________________________________________________________________________ |
|
(ведомство и эксплуатирующая организация) |
|
Название сооружения ______________________________________________________ |
|
ПАСПОРТ |
|
Катодной установки с внешним источником тока |
|
Катодная установка ________________________________________________________ |
|
(наименование источника тока) |
|
Расстояние от сооружения до анодного заземления _____________________________ м |
|
Дата пуска в эксплуатацию __________________________________________________ |
|
Катодная станция |
|
_________________ __________________ |
|
(разновидность) (тип) |
|
_________________ __________________ |
|
(изготовитель) (дата выпуска и завод. №) |
|
Цепь катодной защиты |
|
Характер _________________________________________________________________ |
|
(подземная, воздушная) |
|
Марка, сечение, длина кабелей (проводов) ______________________________________ |
|
Сопротивление _______________ ом |
|
Анодное заземление |
|
материал, конструкция, размеры, количество и общий вес электродов-заземлителей___ _________________________________________________________________________ |
|
Активатор (или засыпка)_____________________________________________________ |
|
(материал, техн. данные, вес) |
|
Удельное сопротивление грунта __________________ Ом×м _______________ |
|
(дата измерения) |
|
Сопротивление растеканию ______________________ Ом ________________ |
|
(дата измерения) |
|
Защитное заземление |
|
материал, конструкция, размеры, количество электродов-заземлителей______________ __________________________________________________________________________ |
|
Сопротивление растеканию _____________ Ом ________________ |
|
(дата измерения) |
|
Питающая электролиния |
|
Разновидность_____________________________________________________________ |
|
(воздушная, подземная) |
|
Напряжение ____________________________ В |
|
Подключена к _____________________________________________________________ |
|
Марка, сечение, длина провода _______________________________________________ |
|
Тип и количество опор (при воздушной электролинии) ____________________________ |
|
_________________________________________________________________________ |
|
Сезонное колебание напряжения от ____________________ до ___________________ В |
|
Обеспеченность питания катодной станции _____________________________________ |
|
_________________________________________________________________________ |
|
«___» _____________ 19__ г. ________________________________________________ |
|
(должность и подпись лица, заполняющего паспорт) |
|
__________________________________________________________________________ |
|
(ведомство и эксплуатирующая организация) |
|
Название сооружения _______________________________________________________ |
ЖУРНАЛ
регистрации измеренных параметров и выполненных профилактических и
ремонтных работ на катодной установке с внешним источником тока
|
Начато «__» ________ 19___ г. Окончено «__» ________ 19___ г. Измерение параметров катодной станции
Измеренные параметры на сооружении Естественный потенциал обсадной колонны на устье скважины (по МЭС) _____________________ мВ __________________ (дата измерения)
Выполненные профилактические и ремонтные работы
|
1. Правила защиты подземных металлических сооружений от коррозии (СН 266-63). М., Госстройиздат, 1964.
2. Правила устройства электроустановок. М., Госэнергоиздат, 1963.
3. СНиП III-В.1-62. Защита подземных металлических сооружений от коррозии. Правила производства и приемки работ. М., Стройиздат, 1965.
4. Временная инструкция по катодной защите промысловых трубопроводов и обсадных колонн скважин от подземной коррозии. М., ОНТИ ВНИИСТ, 1969.
5. Даутов Ф.И., Загиров М.М., Толстов В.П. Прогнозирование динамики нарушений обсадных колонн скважин с катодной защитой. Тр. ТатНИПИнефть, вып. XXXII, Бугульма, 1975.
6. Даутов Ф.И., Загиров М.М. Расчет параметров групповой катодной установки при защите обсадных колонн. Там же.
7. Даутов Ф.И., Загиров М.М. Исследование блуждающих токов в незащищенных подземных сооружениях при катодной защите обсадных колонн. Там же.
8. Максутов Р.А., Юсупов И.Г., Загиров М.М., Даутов Ф.И. Коррозионное разрушение и перспективы катодной защиты обсадных колонн. Там же.
9. Загиров М.М., Даутов Ф.И., Глазов Н.П. Оптимальное расстояние между скважиной и анодным заземлением. НТС «Коррозия и защита в нефтегазовой промышленности», М., ВНИИОЭНГ, 1975, № 12.
10. Глазков В.И. и др. Защита от коррозии протяженных металлических сооружений (справочник). М., «Недра», 1969.
11. СНиП III-А.11-62. Техника безопасности в строительстве. М., Госстройиздат, 1963.
12. Правила безопасности в нефтегазодобывающей промышленности. М., «Недра», 1975.
СОДЕРЖАНИЕ