State system for ensuring the uniformity of measurements. The uniformity of measuring radiant intensity and irradiance in the wavelength range from 0,2 to 25,0. Methods of verification

ФЕДЕРАЛЬНОЕ АГЕНТСТВО
ПО ТЕХНИЧЕСКОМУ РЕГУЛИРОВАНИЮ И МЕТРОЛОГИИ

РЕКОМЕНДАЦИИ
ПО МЕТРОЛОГИИ

Р 50.2.073-2010

Государственная система обеспечения единства измерений

СРЕДСТВА ИЗМЕРЕНИЙ СИЛЫ ИЗЛУЧЕНИЯ
И ЭНЕРГЕТИЧЕСКОЙ ОСВЕЩЕННОСТИ
НЕПРЕРЫВНОГО ОПТИЧЕСКОГО ИЗЛУЧЕНИЯ
В ДИАПАЗОНЕ ДЛИН ВОЛН
от 0,2 до 25,0 мкм

Методика поверки

Москва

Стандартинформ

2011

Предисловие

Цели и принципы стандартизации в Российской Федерации установлены Федеральным законом от 27 декабря 2002 г. № 184-ФЗ «О техническом регулировании», а правила применения национальных стандартов Российской Федерации - ГОСТ Р 1.0-2004 «Стандартизация в Российской Федерации. Основные положения»

Сведения о рекомендациях

1 РАЗРАБОТАНЫ Федеральным государственным унитарным предприятием «Всероссийский научно-исследовательский институт оптико-физических измерений» (ФГУП «ВНИИОФИ»)

2 ВНЕСЕНЫ Управлением метрологии Федерального агентства по техническому регулированию и метрологии

3 УТВЕРЖДЕНЫ И ВВЕДЕНЫ В ДЕЙСТВИЕ Приказом Федерального агентства по техническому регулированию и метрологии от 21 декабря 2010 г. № 843-ст

4 ВВЕДЕНЫ ВПЕРВЫЕ

Информация об изменениях к настоящим рекомендациям публикуется в ежегодно издаваемом информационном указателе «Руководящие документы, рекомендации и правила», а текст изменений и поправок - в ежемесячно издаваемых информационных указателях «Национальные стандарты». В случае пересмотра (замены) или отмены настоящих рекомендаций соответствующее уведомление будет опубликовано в ежемесячно издаваемом информационном указателе «Национальные стандарты». Соответствующая информация, уведомление и тексты размещаются также в информационной системе общего пользования - на официальном сайте Федерального агентства по техническому регулированию и метрологии в сети Интернет

Содержание

1 Область применения. 2

2 Нормативные ссылки. 2

3 Операции поверки. 3

4 Средства поверки. 3

5 Требования безопасности и требования к квалификации поверителей. 3

6 Условия поверки. 3

7 Подготовка к поверке. 4

8 Проведение поверки. 4

9 Оформление результатов поверки. 6

Приложение А (обязательное) Схема оптической системы для поверки средств измерений силы излучения и энергетической освещенности. 7

Библиография. 7

 

РЕКОМЕНДАЦИИ ПО МЕТРОЛОГИИ

Государственная система обеспечения единства измерений

СРЕДСТВА ИЗМЕРЕНИЙ СИЛЫ ИЗЛУЧЕНИЯ И ЭНЕРГЕТИЧЕСКОЙ ОСВЕЩЕННОСТИ
НЕПРЕРЫВНОГО ОПТИЧЕСКОГО ИЗЛУЧЕНИЯ В ДИАПАЗОНЕ ДЛИН ВОЛН
от 0,2 до 25,0 мкм

Методика поверки

State system for ensuring the uniformity of measurements.
Means of measuring the radiant intensity and irradiance in the wavelength range from 0,2 to 25,0 mm.
Verification procedure

Дата введения - 2012-01-01

1 Область применения

Настоящие рекомендации распространяются на рабочие эталоны (РЭ) и рабочие средства измерений (РСИ) силы излучения и энергетической освещенности непрерывного оптического излучения в диапазоне длин волн от 0,2 до 25,0 мкм (излучатели и неселективные приемники излучения в составе рабочих эталонов, рабочие излучатели, приемники излучения и радиометры), предусмотренные государственной поверочной схемой по ГОСТ 8.195, и устанавливают методику их первичной и периодической поверок.

2 Нормативные ссылки

В настоящих рекомендациях использованы нормативные ссылки на следующий стандарт:

ГОСТ 8.195-89 Государственная система обеспечения единства измерений. Государственная поверочная схема для средств измерений спектральной плотности энергетической яркости, спектральной плотности силы излучения и спектральной плотности энергетической освещенности в диапазоне длин волн от 0,25 до 25,00 мкм; силы излучения и энергетической освещенности в диапазоне длин волн от 0,2 до 25,0 мкм

Примечание - При пользовании настоящими рекомендациями целесообразно проверить действие ссылочного стандарта в информационной системе общего пользования - на официальном сайте Федерального агентства по техническому регулированию и метрологии в сети Интернет или по ежегодно издаваемому информационному указателю «Национальные стандарты», который опубликован по состоянию на 1 января текущего года, и по соответствующим ежемесячно издаваемым информационным указателям, опубликованным в текущем году. Если ссылочный стандарт заменен (изменен), то при пользовании настоящими рекомендациями следует руководствоваться заменяющим (измененным) стандартом. Если ссылочный стандарт отменен без замены, то положение, в котором дана ссылка на него, применяется в части, не затрагивающей эту ссылку.

3 Операции поверки

При проведении поверки должны быть выполнены операции, указанные в таблице 1.

Таблица 1

Наименование операции

Номер подраздела, пункта методики поверки

Внешний осмотр

8.1

Опробование

8.2

Определение метрологических характеристик

8.3

Определение силы излучения и энергетической освещенности поверяемых излучателей

8.3.1

Определение коэффициента преобразования поверяемых (РЭ или рабочих) приемников излучения и радиометров

8.3.2

Определение основной относительной погрешности средства измерений

8.3.3

4 Средства поверки

При проведении поверки должны быть применены средства поверки, указанные в таблице 2.

Таблица 2

Наименование средства поверки

Технические и метрологические характеристики. Ссылочный нормативный документ

Вторичный эталон единиц силы излучения и энергетической освещенности - для поверки рабочих эталонов

Среднее квадратическое отклонение (СКО) результата сличений с государственным эталоном не более 0,5 · 10-2. Аттестован в установленном порядке. ГОСТ 8.195

Рабочий эталон единиц силы излучения и энергетической освещенности - для поверки рабочих средств измерений

Основная относительная погрешность не более 1,0 %. Аттестован в установленном порядке. ГОСТ 8.195

5 Требования безопасности и требования к квалификации поверителей

5.1 К проведению поверки допускают лиц, аттестованных в качестве поверителей оптических приборов в соответствии с правилами по метрологии [1], изучивших настоящие рекомендации и эксплуатационную документацию на средства измерений и исследуемый прибор, имеющих квалификационную группу не ниже III в соответствии с правилами по охране труда [2].

5.2 При проведении поверки следует соблюдать требования, установленные правилами по охране труда [2], правилами устройства электроустановок [3], правилами эксплуатации электроустановок [4].

6 Условия поверки

6.1 При выполнении поверки должны быть соблюдены следующие условия:

- температура окружающей среды - (20 ± 5) °С;

- относительная влажность - (65 ± 20) %;

- атмосферное давление - (101 ± 4) кПа;

- напряжение питающей сети - (220 ± 22) В;

- частота питающей сети - (50 ± 1) Гц.

6.2 В лабораторных условиях оптическую систему для поверки средств измерений силы излучения и энергетической освещенности (далее - оптическая система) устанавливают в местах, защищенных от прямого освещения солнечными лучами и других ярких источников света; средства измерений и дополнительное оборудование размещают не ближе 1,5 м от обогревательных приборов. В помещении должна быть обеспечена приточно-вытяжная вентиляция.

6.3 Время непрерывной работы при поверке, включая время прогрева, - не более 8 ч.

7 Подготовка к поверке

7.1 Подготовку к поверке средств измерений проводят в соответствии с техническим описанием и инструкцией по эксплуатации на данное средство измерений, утвержденными в установленном порядке.

7.2 Средства поверки [РЭ или образцовые средства измерений (ОСИ)] и поверяемые средства (ОСИ или РСИ) устанавливают в соответствии со схемой оптической системы [рисунок A.1 (приложение А)], где в качестве эталонных должны быть использованы следующие средства измерений:

Эталонные излучатели:

- модель черного тела МЧТ 1200;

- светоизмерительная лампа СИС 107-1500;

- светоизмерительная лампа СИС 107-1000. Эталонные приемники излучения:

- эталонный неселективный полостной термостолбик типа ПП-2;

- эталонный неселективный полостной термостолбик типа ПП-1;

- эталонный неселективный приемник излучения ФОА-20.

7.3 Оптическую систему для поверки средств измерений силы излучения и энергетической освещенности юстируют в соответствии с технической документацией, утвержденной в установленном порядке.

8 Проведение поверки

8.1 Внешний осмотр

При внешнем осмотре устанавливают соответствие поверяемого средства измерений следующим требованиям:

- отсутствие видимых механических повреждений, отсутствие загрязнений и царапин на рабочих поверхностях оптических элементов;

- наличие технической документации у поверяемых средств измерений;

- отсутствие повреждений кабелей и соединителей;

- четкость и различимость маркировок.

8.2 Опробование

Опробование средств измерений проводят в соответствии с техническим описанием и инструкцией по эксплуатации на данные средства измерений (для РЭ - в соответствии с правилами хранения и применения эталона), утвержденными в установленном порядке.

8.3 Определение метрологических характеристик

8.3.1 Определение силы излучения и энергетической освещенности поверяемых излучателей

Силу излучения и энергетическую освещенность поверяемых излучателей определяют методом прямых измерений неселективным приемником излучения (РЭ).

Неселективный приемник излучения устанавливают перед поверяемым излучателем так, чтобы расстояние между телом накала излучателя и апертурной диафрагмой приемника и радиометра было 1 м. Далее измеряют сигнал приемника U = U1 - U0, где U1 - световое значение; U0 - «темновое» значение при закрытой заслонке, установленной перед излучателем.

Результат единичного измерения силы излучения Ii и энергетической освещенности Еi вычисляют по формулам

(1)

(2)

где Ui - сигнал эталонного полостного приемника излучения, работающего в соответствующем режиме измерения;

К0 - коэффициент преобразования эталонного приемника излучения. Проводят серию из 10наблюдений при одном режиме питания излучателей и определяют средние значения силы излучения  и энергетической освещенности :

(3)

(4)

а также средние квадратические отклонения результатов измерений силы излучения Si и энергетической освещенности SE:

(5)

(6)

8.3.2 Определение коэффициента преобразования поверяемых (РЭ или рабочих) приемников излучения и радиометров

Коэффициент преобразования поверяемых приемников излучения определяют методом прямых измерений. Перед излучателем рабочего эталона последовательно устанавливают эталонный и поверяемый приемники излучения.

Коэффициент преобразования поверяемого приемника излучения К, рассчитывают по формуле

(7)

где U0 - сигнал эталонного приемника;

U1 - сигнал поверяемого приемника;

К0 - известный коэффициент преобразования эталонного приемника (из свидетельства о поверке эталонного приемника вторичного или рабочего эталона).

При поверке радиометров с аналого-цифровым преобразователем и индикацией уровня энергетической освещенности коэффициент преобразования рассчитывают по формуле

(8)

где Е0 - значение энергетической освещенности, измеренной с помощью эталонного приемника излучения;

Е1 - значение энергетической освещенности по показаниям индикатора поверяемого радиометра.

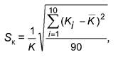
Проводят серию из 10 наблюдений и определяют среднее значение коэффициента преобразования  и среднее квадратическое отклонение результата измерений Sк:

(9)

(10)

где Ki, - рассчитанное значение коэффициента преобразования;

i - номер наблюдения в серии.

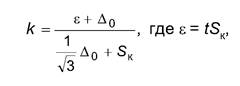
8.3.3 Определение основной относительной погрешности средств измерений

Основную относительную погрешность поверяемого средства измерений D определяют по формуле

(11)

где Dо - предел допускаемой относительной погрешности измерений вторичного (или рабочего) эталона, взятый из свидетельства о метрологической аттестации;

k - коэффициент, рассчитанный по формуле

(12)

t - коэффициент Стьюдента для п = 10 и доверительной вероятности, равной 0,95;

Sк - среднее квадратическое отклонение результата измерений.

Средство измерений считают прошедшим поверку, если основная относительная погрешность не превышает предела допускаемой погрешности средства измерений по ГОСТ 8.195, равного 1,0 % для рабочих эталонов и составляющего от 1 % до 6,0 % для рабочих средств измерений.

Результаты поверки средств измерений вносят в протокол.

9 Оформление результатов поверки

9.1 При положительных результатах первичной и периодической поверок, проведенных в органах государственной метрологической службы, выдают свидетельство о государственной поверке установленной формы.

9.2 При положительных результатах первичной или периодической поверки, проведенной ведомственной метрологической службой, в паспорте на поверяемое средство измерений делают запись, заверенную в порядке, установленном ведомственной метрологической службой.

9.3 При отрицательных результатах поверки, проведенной в органах государственной метрологической службы, свидетельство о поверке аннулируют и выдают извещение о непригодности и изъятии из обращения и эксплуатации поверяемого средства измерений.

9.4 При отрицательных результатах поверки, проведенной ведомственной метрологической службой, в паспорте на средство измерений делают запись о запрещении выпуска в обращение или применения поверяемого средства измерений.

Приложение А

(обязательное)

Схема оптической системы для поверки средств измерений силы излучения
и энергетической освещенности

Рисунок А.1

Библиография

[1]

Правила по метрологии

ПР 50.2.012-94

Государственная система обеспечения единства измерений. Порядок аттестации поверителей средств измерений

[2]

ПОТ Р М-016-2001,

РД 153-34.0-03.150-00

Межотраслевые правила по охране труда (правила безопасности) при эксплуатации

электроустановок. Утверждены Приказом Минэнерго РФ от 27.12.2000 г. № 13, Постановлением Минтруда РФ от 05.01.2000 г. № 3

[3]

ПЭУ

Правила устройства электроустановок. Утверждены Приказом Минэнерго РФ от 08.07.2002 г. № 204

[4]

ПЭЭП

Правила технической эксплуатации электроустановок потребителей. Утверждены Приказом Минэнерго РФ от 13.01.2003 г. № 6

 

Ключевые слова: сила излучения, энергетическая освещенность, неселективные приемники, радиометры