Приказ
Федеральной службы по экологическому, технологическому и
атомному надзору от 27 марта 2012 г. № 195
"Об утверждении Административного регламента Федеральной службы по
экологическому, технологическому и атомному надзору по исполнению
государственной функции по контролю и надзору за соблюдением требований
пожарной безопасности при ведении взрывных работ"
(в редакции, актуальной с 18 ноября
2017 г.,
с изменениями и дополнениями, внесенными в текст,
согласно приказу Ростехнадзора от 09.10.2017 г. № 414)
В соответствии с постановлением Правительства Российской Федерации от 16 мая 2011 г. № 373 "О разработке и утверждении административных регламентов исполнения государственных функций и административных регламентов предоставления государственных услуг" (Собрание законодательства Российской Федерации, 2011, № 22, ст. 3169; № 35, ст. 5092), постановлением Правительства Российской Федерации от 30 июля 2004 г. № 401 "О Федеральной службе по экологическому, технологическому и атомному надзору" (Собрание законодательства Российской Федерации, 2004, № 32, ст. 3348; 2006, № 5, ст. 544, № 23, ст. 2527; № 52, (ч. 3) ст. 5587; 2008, № 22, ст. 2581, № 46, ст. 5337; 2009, № 6, ст. 738, № 33, ст. 4081, № 49 (ч. 2), ст. 5976; 2010, № 9, ст. 960, № 26, ст. 3350, № 38, ст. 4835; 2011, № 6, ст. 888, № 14, ст. 1935, № 41 (ч. 2), ст. 5750, № 50, ст. 7385) приказываю:
Утвердить прилагаемый Административный регламент Федеральной службы по экологическому, технологическому и атомному надзору по исполнению государственной функции по контролю и надзору за соблюдением требований пожарной безопасности при ведении взрывных работ.
|
Руководитель |
Н.Г. Кутьин |
|
|
|
|
Зарегистрировано в Минюсте РФ 25 июня 2012 г. |
|
|
Регистрационный № 24682 |
|
Административный регламент Федеральной службы по экологическому, технологическому и атомному надзору по исполнению государственной функции по контролю и надзору за соблюдением требований пожарной безопасности при ведении взрывных работ
(утв. приказом Федеральной службы по экологическому,
технологическому и
атомному надзору от 27 марта 2012 г. № 195)
Наименование государственной функции
1. Административный регламент Федеральной службы по экологическому, технологическому и атомному надзору по исполнению государственной функции по контролю и надзору за соблюдением требований пожарной безопасности при ведении взрывных работ (далее - Административный регламент) определяет сроки и последовательность действий (административных процедур) Ростехнадзора, порядок взаимодействия между его структурными подразделениями и должностными лицами, а также его взаимодействие с организациями при исполнении государственной функции по контролю и надзору за соблюдением требований пожарной безопасности при ведении взрывных работ (далее - контроль и надзор в области пожарной безопасности).
Наименование федерального органа исполнительной власти, исполняющего государственную функцию
2. Контроль и надзор в области пожарной безопасности осуществляют центральный аппарат Ростехнадзора и территориальные органы Ростехнадзора.
Контроль и надзор за соблюдением требований пожарной безопасности при ведении взрывных работ осуществляется в рамках контроля и надзора в области промышленной безопасности.
Перечень нормативных правовых актов, регулирующих исполнение государственной функции
3. Исполнение государственной функции по контролю и надзору в области пожарной безопасности осуществляется в соответствии с:
Кодексом Российской Федерации об административных правонарушениях (Собрание законодательства Российской Федерации, 2002, № 1 (ч. 1), ст. 1; № 18, ст. 1721; № 30, ст. 3029; № 44, ст. 4295, 4298; 2003, № 1, ст. 2; № 27 (ч. 1), ст. 2700; № 27 (ч. 2), ст. 2708, 2717; № 46 (ч. 1), ст. 4434, 4440; № 50, ст. 4847, 4855; № 52 (ч. 1), ст. 5037; 2004, № 19 (ч. 1), ст. 1838; № 30, ст. 3095; № 31, ст. 3229; № 34, ст. 3529, 3533; № 44, ст. 4266; 2005, № 1 (ч. 1), ст. 9, 13, 37, 40, 45; № 10, ст. 762, 763; № 13, ст. 1077, 1079; № 17, ст. 1484; № 19, ст. 1752; № 25, ст. 2431; № 27, ст. 2719, 2721; № 30 (ч. 1), ст. 3104; № 30 (ч. 2), ст. 3124, 3131; № 40, ст. 3986; № 50, ст. 5247; № 52 (ч. 1), ст. 5574, 5596; 2006, № 1, ст. 4, 10; № 2, ст. 172, 175; № 6, ст. 636; № 10, ст. 1067; № 12, ст. 1234; № 17 (ч. 1), ст. 1776; № 18, ст. 1907; № 19, ст. 2066; № 23, ст. 2380, 2385; № 28, ст. 2975; № 30, ст. 3287; № 31 (ч. 1), ст. 3420, 3432, 3433, 3438, 3452; № 43, ст. 4412; № 45, ст. 4633, 4634, 4641; № 50, ст. 5279, 5281; № 52 (ч. 1), ст. 5498; 2007, № 1 (ч. 1), ст. 21, 25, 29, 33; № 7, ст. 840; № 15, ст. 1743; № 16, ст. 1824, 1825; № 17, ст. 1930; № 20, ст. 2367; № 21, ст. 2456; № 26, ст. 3089; № 30, ст. 3755; № 31, ст. 4001, 4007, 4008, 4015; № 41, ст. 4845; № 43, ст. 5084; № 46, ст. 5553; № 49, ст. 6034, 6065; № 50, ст. 6246; 2008, № 10 (ч. 1), ст. 896; № 18, ст. 1941; № 20, ст. 2251, 2259; № 29 (ч. 1), ст. 3418; № 30 (ч. 1), ст. 3582, 3601, 3604; № 45, ст. 5143; № 49, ст. 5738, ст. 5745, ст. 5748; № 52, ст. 6227, ст. 6235, ст. 6236, ст. 6248; 2009, № 1, ст. 17; № 7, ст. 771, ст. 777; № 19, ст. 2276; № 23, ст. 2759, ст. 2767, ст. 2776; № 26, ст. 3120, ст. 3122, ст. 3131, ст. 3132; № 29, ст. 3597, ст. 3599, ст. 3635, ст. 3642; № 30, ст. 3735, ст. 3739; № 45, ст. 5265, ст. 5267; № 48, ст. 5711, ст. 5724, ст. 5755; № 52, ст. 6406, ст. 6412; 2010, № 1, ст. 1; № 11, ст. 1169, ст. 1176; № 15, ст. 1743, ст. 1751; № 18, ст. 2145; № 19, ст. 2291; № 21, ст. 2524, ст. 2525, ст. 2526, ст. 2530; № 23, ст. 2790; № 25, ст. 3070; № 27, ст. 3416, ст. 3429; № 28, ст. 3553; № 29, ст. 3983; № 30, ст. 4000, ст. 4002, ст. 4005, ст. 4006, ст. 4007; № 31, ст. 4155, ст. 4158, ст. 4164, ст. 4191, ст. 4192, ст. 4193, ст. 4195, ст. 4198, ст. 4206, ст. 4207, ст. 4208; № 41, ст. 5192; № 46, ст. 5918; № 49, ст. 6409; № 50, ст. 6605; № 52, ст. 6984, ст. 6996; 2011, № 1, ст. 23, № 1, ст. 29, № 1, ст. 33, № 7, ст. 901, № 1, № 7, ст. 905, ст. 54, № 15, ст. 2041, № 17, ст. 2312, № 19, ст. 2714, № 19, ст. 2715, № 19, ст. 2769; № 23, ст. 3267; ст. 3260; № 27, ст. 3873, № 29, ст. 4289, № 29, ст. 4290, № 29, ст. 4291, № 30 (ч. 1), ст. 4573, № 30 (ч. 1), ст. 4584, № 30 (ч. 1), ст. 4590, № 30 (ч. 1), ст. 4591, № 30 (ч. 1), ст. 4598, № 30 (ч. 1), ст. 4601, № 45, ст. 6325, ст. 6326, ст. 6334, № 46, ст. 6406, № 47, ст. 6601, ст. 6602, № 48, ст. 6730, 6732, № 49, ст. 7025, ст. 7042, ст. 7056, ст. 7061, № 50, ст. 7345, 7346, ст. 7351, ст. 7352, ст. 7355, ст. 7362, ст. 7366; 2012, № 6, ст. 621; № 10, ст. 1166, № 15, ст. 1723, 1724, № 18, ст. 2126, № 19, ст. 2278);
Арбитражным процессуальным кодексом Российской Федерации (Собрание законодательства Российской Федерации, 2002, № 30, ст. 3012; 2004, № 31, ст. 3282; № 45, ст. 4377; 2005, № 14, ст. 1210; № 48, ст. 5123; 2006, № 1, ст. 8; № 15, ст. 1643; 2007, № 41, ст. 4845; 2008, № 13, ст. 1352; № 18, ст. 1941; № 24, ст. 2798; № 30 (ч. 1), ст. 3594; № 49, ст. 5727; 2009, № 26, ст. 3122, № 29, ст. 3642; 2010, № 11, ст. 1169, № 18, ст. 2145, № 31, ст. 4163, № 31, ст. 4197, № 52, ст. 6994; 2011, № 15, ст. 2038; 2011, № 29, ст. 4291, № 29, ст. 4301, № 49, ст. 7067, № 50, ст. 7364);
Федеральным законом от 21 декабря 1994 г. № 69-ФЗ "О пожарной безопасности", (Собрание законодательства Российской Федерации, 1994, № 35, ст. 3649; 1995, № 35, ст. 3503; 1996, № 17, ст. 1911; 1998, № 4, ст. 430; 2000, № 46, ст. 4537; 2001, № 1, ст. 2; № 33, ст. 3413; 2002, № 1, ст. 2; № 30, ст. 3033; 2003, № 2, ст. 167; 2004, № 19 (ч. 1), ст. 1839; № 27, ст. 2711; № 35, ст. 3607; 2005, № 14, ст. 1212; № 19, ст. 1752; 2006, № 6, ст. 636; № 44, ст. 4537; № 50, ст. 5279; № 52 (ч. 1), ст. 5498; 2007, № 18, ст. 2117; № 43, ст. 5084; 2008, № 30 (ч. 1), ст. 3593; 2009, № 11, ст. 1261, № 29, ст. 3635, № 45, ст. 5265, № 48, ст. 5717; 2010, № 30, ст. 4004, № 40, ст. 4969; 2011, № 1, ст. 54; № 30, ст. 4590, ст. 4591, ст. 4596, № 46, ст. 6407, № 49, ст. 7023);
Федеральным законом от 21 июля 1997 г. № 116-ФЗ "О промышленной безопасности опасных производственных объектов" (Собрание законодательства Российской Федерации, 1997, № 30, ст. 3588; 2000, № 33, ст. 3348; 2003, № 2, ст. 167; 2004, № 35, ст. 3607; 2005, № 19, ст. 1752; 2006, № 52 (ч. 1), ст. 5498; 2009, № 1, ст. 17, ст. 21; 2009, № 52, ст. 6450; 2010, № 30, ст. 4002, № 31, ст. 4195, ст. 4196; 2011, № 27, ст. 3880, № 30 (ч. 1), ст. 4590, ст. 4591, ст. 4596, № 49 (ч. 1) ст. 7025);
Федеральным законом от 26 декабря 2008 № 294-ФЗ "О защите прав юридических лиц и индивидуальных предпринимателей при осуществлении государственного контроля (надзора) и муниципального контроля" (Собрание законодательства Российской Федерации, 2008, № 52 (ч. 1), ст. 6249; 2009, № 18 (ч. 1), ст. 2140, № 29, ст. 3601; № 48, ст. 5711; № 52 (ч. 1), ст. 6441; 2010, № 17, ст. 1988; № 18, ст. 2142; № 31, ст. 4160, ст. 4193, ст. 4196; № 32, ст. 4298; 2011, № 1, ст. 20; № 17, ст. 2310; № 23, ст. 3263; № 27, ст. 3880; № 30 (ч. 1), ст. 4590; № 48, ст. 6728; 2012, № 19, ст. 2281);
Федеральным законом от 2 мая 2006 г. № 59-ФЗ "О порядке рассмотрения обращений граждан Российской Федерации" (Собрание законодательства Российской Федерации, 2006, № 19, ст. 2060; 2010, № 27, ст. 3410, № 31, ст. 4196);
Федеральным законом от 27 июля 2004 г. № 79-ФЗ "О государственной гражданской службе Российской Федерации" (Собрание законодательства Российской Федерации, 2004, № 31, ст. 3215; 2006, № 6, ст. 636; 2007, № 10, ст. 1151; № 16, ст. 1828; № 49, ст. 6070; 2008, № 13, ст. 1186; № 30 (ч. 2), ст. 3616; № 52 (ч. 1), ст. 6235; 2009, № 29, ст. 3597; ст. 3624; № 48, ст. 5719, № 51, ст. 6159, 2010, № 5, ст. 459, № 7, ст. 704, № 49, ст. 6413, 2011, № 1, ст. 31; № 27, ст. 3866, № 29, ст. 4295, № 48, ст. 6730, № 49, ст. 7333, № 50, ст. 7337);
постановлением Правительства Российской Федерации от 30 июля 2004 г. № 401 "О Федеральной службе по экологическому, технологическому и атомному надзору" (Собрание законодательства Российской Федерации, 2004 г., № 32, ст. 3348; 2006, № 5, ст. 544, № 23, ст. 2527, № 52 (ч. 3), ст. 5587; 2008, № 22, ст. 2581, № 46, ст. 5337; 2009, № 6, ст. 738, № 33, ст. 4081, № 49 (ч. 2), ст. 5976; 2010, № 9, ст. 960, № 26, ст. 3350, № 38, ст. 4835; 2011, № 6, ст. 888, № 14, ст. 1935, № 41 (ч. 2), ст. 5750, № 50, ст. 7385);
постановлением Правительства Российской Федерации от 30 июня 2010 г. № 489 "Об утверждении Правил подготовки органами государственного контроля (надзора) и органами муниципального контроля ежегодных планов проведения плановых проверок юридических лиц и индивидуальных предпринимателей" (Собрание законодательства Российской Федерации, 2010, № 28, ст. 3706; 2012 № 2, ст. 301);
постановлением Правительства Российской Федерации от 28 апреля 2015 г. № 415 "О Правилах формирования и ведения единого реестра проверок" (Собрание законодательства Российской Федерации, 2015, № 19, ст. 2825; 2016, № 51, ст. 7406) (далее - постановление Правительства Российской Федерации от 28 апреля 2015 г. № 415);
постановлением Правительства Российской Федерации от 18 апреля 2016 г. № 323 "О направлении запроса и получении на безвозмездной основе, в том числе в электронной форме, документов и (или) информации органами государственного контроля (надзора), органами муниципального контроля при организации и проведении проверок от иных государственных органов, органов местного самоуправления либо подведомственных государственным органам или органам местного самоуправления организаций, в распоряжении которых находятся эти документы и (или) информация, в рамках межведомственного информационного взаимодействия" (Собрание законодательства Российской Федерации, 2016, № 17, ст. 2418);
постановлением Правительства Российской Федерации от 16 мая 2011 г. № 373 "О разработке и утверждении административных регламентов исполнения государственных функций и административных регламентов предоставления государственных услуг (Собрание законодательства Российской Федерации, 2011, № 22, ст. 3169; № 35, ст. 5092; 2012, № 28, ст. 3908; № 36, ст. 4903; № 50, ст. 7070; № 52, ст. 7507; 2014, № 5, ст. 506);
постановлением Правительства Российской Федерации от 16 мая 2011 г. № 373 "О разработке и утверждении административных регламентов исполнения государственных функций и административных регламентов предоставления государственных услуг" (Собрание законодательства Российской Федерации, 2011, № 22, ст. 3169, № 35, ст. 5092);
приказом Минэкономразвития России от 30 апреля 2009 г. № 141 "О реализации положений Федерального закона "О защите прав юридических лиц и индивидуальных предпринимателей при осуществлении государственного контроля (надзора) и муниципального контроля" (зарегистрирован Минюстом России 13 мая 2009 г., регистрационный № 13915; Российская газета, 2009, № 85) в редакции приказов Минэкономразвития России от 24 мая 2010 г. № 199 (зарегистрирован Минюстом России 6 июля 2010 г., регистрационный № 17702; Российская газета, 2010, № 156) и от 30 сентября 2011 г. № 532 (зарегистрирован Минюстом России 10 ноября 2011 г., регистрационный № 22264; Российская газета, 2011, № 260) - далее приказ Минэкономразвития России от 30 апреля 2009 г. № 141.
Предмет государственного контроля (надзора)
4. Предметом государственного контроля (надзора) является соблюдение субъектом хозяйственной деятельности требований пожарной безопасности при ведении взрывных работ.
Права и обязанности должностных лиц при осуществлении государственного контроля (надзора)
5. Должностными лицами, обладающими полномочиями исполнять государственную функцию по контролю и надзору в области пожарной безопасности, являются:
5.1. В центральном аппарате Ростехнадзора:
руководитель Ростехнадзора и его заместители;
начальники управлений и их заместители, начальники отделов в составе управлений и их заместители, другие должностные лица, осуществляющие функции контроля и надзора, в пределах своей компетенции.
5.2. В территориальных органах Ростехнадзора:
руководители территориальных органов и их заместители;
начальники отделов в составе территориальных органов и их заместители;
главные государственные инспекторы, старшие государственные инспекторы, государственные инспекторы и другие должностные лица территориальных органов, осуществляющие функции контроля и надзора, в пределах своей компетенции.
6. Должностные лица Ростехнадзора проводят проверки выполнения юридическими лицами требований пожарной безопасности при ведении взрывных работ, установленных законодательными и иными нормативными правовыми актами Российской Федерации, и принимают меры по их результатам (далее - мероприятия по контролю) в отношении:
юридических лиц;
должностных лиц в пределах их компетенции.
7. Организация и проведение мероприятий по контролю в отношении лиц, указанных в п. 6 настоящего Административного регламента, осуществляются в соответствии с принципами законности и презумпции их добросовестности.
8. Должностные лица Ростехнадзора при осуществлении государственного контроля (надзора) обязаны:
а) своевременно и в полной мере исполнять предоставленные в соответствии с законодательством Российской Федерации полномочия по предупреждению, выявлению и пресечению нарушений требований в области пожарной безопасности при ведении взрывных работ;
б) соблюдать законодательство Российской Федерации, права и законные интересы проверяемого лица;
в) проводить проверку на основании распоряжения или приказа руководителя, заместителя руководителя органа государственного контроля (надзора);
г) проводить проверку только во время исполнения служебных обязанностей, выездную проверку только при предъявлении служебных удостоверений, копии распоряжения или приказа руководителя, заместителя руководителя органа государственного контроля (надзора) и в случае, предусмотренном законодательством, после согласования с органом прокуратуры по месту осуществления деятельности таких проверяемых лиц, копии документа о согласовании проведения проверки;
д) не препятствовать руководителю, иному должностному лицу или уполномоченному представителю проверяемого лица, присутствовать при проведении проверки и давать разъяснения по вопросам, относящимся к предмету проверки;
е) предоставлять руководителю, иному должностному лицу или уполномоченному представителю проверяемого лица, присутствующим при проведении проверки, информацию и документы, относящиеся к предмету проверки;
ж) знакомить руководителя, иное должностное лицо или уполномоченного представителя проверяемого лица, с результатами проверки;
з) учитывать при определении мер, принимаемых по фактам выявленных нарушений, соответствие указанных мер тяжести нарушений, их потенциальной опасности для жизни, здоровья людей, для животных, растений, окружающей среды, безопасности государства, для возникновения чрезвычайных ситуаций природного и техногенного характера, а также не допускать необоснованное ограничение прав и законных интересов проверяемых лиц;
и) доказывать обоснованность своих действий при их обжаловании проверяемым лицом в порядке, установленном законодательством Российской Федерации;
к) соблюдать сроки проведения проверки;
л) не требовать от проверяемого лица документы и иные сведения, представление которых не предусмотрено законодательством Российской Федерации;
м) перед началом проведения выездной проверки по просьбе руководителя, иного должностного лица или уполномоченного представителя проверяемого лица, ознакомить их с положениями административного регламента (при его наличии), в соответствии с которым проводится проверка;
н) осуществлять запись о проведенной проверке в журнале учета проверок (при наличии);
о) истребовать документы и (или) информацию необходимые при осуществлении государственного контроля (надзора) и включенные в перечень, определенный Правительством Российской Федерации в соответствии с частью 8 статьи 7 Федерального закона от 26 декабря 2008 г. № 294-ФЗ "О защите прав юридических лиц и индивидуальных предпринимателей при осуществлении государственного контроля (надзора) и муниципального контроля", в рамках межведомственного информационного взаимодействия от иных государственных органов, органов местного самоуправления либо подведомственных государственным органам или органам местного самоуправления организаций, в распоряжении которых находятся указанные документы;
п) знакомить руководителя, иное должностное лицо или уполномоченного представителя юридического лица, индивидуального предпринимателя, его уполномоченного представителя с документами и (или) информацией, полученными в рамках межведомственного информационного взаимодействия;
р) вносить сведения о плановых и внеплановых проверках юридических лиц и индивидуальных предпринимателей, об их результатах и о принятых мерах по пресечению и (или) устранению последствий выявленных нарушений в единый реестр проверок, являющийся федеральной государственной информационной системой, в порядке, установленном постановлением Правительства Российской Федерации от 28 апреля 2015 г. № 415.
Права и обязанности лиц, в отношении которых осуществляются мероприятия по контролю (надзору)
9. Руководитель, иное должностное лицо или уполномоченный представитель проверяемого лица, при проведении проверки имеют право:
а) непосредственно присутствовать при проведении проверки, давать объяснения по вопросам, относящимся к предмету проверки;
б) получать от органа государственного контроля (надзора), их должностных лиц информацию, которая относится к предмету проверки;
в) знакомиться с результатами проверки и указывать в акте проверки о своем ознакомлении с результатами проверки, согласии или несогласии с ними, а также с отдельными действиями должностных лиц органа государственного контроля (надзора);
г) на возмещение вреда, причиненного при осуществлении государственного контроля (надзора);
д) обжаловать действия (бездействие) должностных лиц органа государственного контроля (надзора), повлекшие за собой нарушение прав проверяемого лица при проведении проверки, в административном и (или) судебном порядке в соответствии с законодательством Российской Федерации;
е) привлекать Уполномоченного при Президенте Российской Федерации по защите прав предпринимателей либо уполномоченного по защите прав предпринимателей в субъекте Российской Федерации к участию в проверке;
ж) знакомиться с документами и (или) информацией, полученной должностными лицами Ростехнадзора и его территориальных органов в рамках межведомственного информационного взаимодействия от иных государственных органов, органов местного самоуправления либо подведомственных государственным органам или органам местного самоуправления организаций, в распоряжении которых находятся эти документы и (или) информация;
з) представлять документы и (или) информацию, запрашиваемые в рамках межведомственного информационного взаимодействия, в Ростехнадзор (его территориальный орган) по собственной инициативе.
10. Пункт 10 утратил силу согласно приказу Ростехнадзора от 9 октября 2017 г. № 414.
Описание результата исполнения государственной функции
11. Конечным результатом исполнения государственной функции по контролю и надзору в области пожарной безопасности является повышение состояния защищенности личности, имущества, общества и государства от пожаров и их последствий посредством принятия мер, предусмотренных законодательными и иными нормативными правовыми актами Российской Федерации, по результатам проверок за соблюдением лицами, указанными в п. 6 настоящего Административного регламента, требований пожарной безопасности.
12. Исполнение государственной функции по контролю и надзору в области пожарной безопасности заканчивается:
составлением и вручением по результатам проверки актов, а при выявлении нарушений соблюдения требований промышленной безопасности - предписаний на их устранение (далее - предписание);
возбуждением дела об административном правонарушении и составлением протокола об административном правонарушении;
составлением протокола о временном запрете деятельности;
вынесением постановления по делу об административном правонарушении;
подготовкой и направлением ответа по результатам рассмотренного обращения физического или юридического лица;
подготовкой и направлением при необходимости информации в органы внутренних дел, прокуратуры, государственной регистрации субъектов предпринимательской деятельности и другие надзорные органы для принятия мер в соответствии с законодательством Российской Федерации.
13. Должностные лица Ростехнадзора при осуществлении государственного контроля (надзора) имеют право привлекать к проведению выездной проверки проверяемого лица экспертов, экспертные организации, не состоящие в гражданско-правовых и трудовых отношениях с проверяемыми лицами и не являющиеся аффилированными лицами проверяемых лиц.
Порядок информирования о правилах исполнения государственной функции
14. Информация о порядке исполнения государственной функции предоставляется:
посредством размещения на официальном Интернет-сайте Ростехнадзора;
непосредственно в управлениях центрального аппарата и территориальных органах Ростехнадзора;
с использованием средств телефонной связи, а также при устном или письменном обращении.
Предоставление информации об осуществлении Ростехнадзором (его территориальными органами) государственной функции осуществляется также путем внесения сведений о плановых и внеплановых проверках юридических лиц и индивидуальных предпринимателей, об их результатах и о принятых мерах по пресечению и (или) устранению последствий выявленных нарушений в единый реестр проверок в порядке, установленном постановлением Правительства Российской Федерации от 28 апреля 2015 г. № 415.
15. Место нахождения центрального аппарата Ростехнадзора: г. Москва, ул. А. Лукьянова, д. 4, стр. 1 и г. Москва, ул. Таганская, д. 34, стр. 1.
Почтовый адрес для направления документов и обращений: 105066, г. Москва, ул. А. Лукьянова, д. 4, стр. 1.
Электронный адрес для обращений в Ростехнадзор: rostehnadzor@gosnadzor.ru.
Телефон справочной службы Ростехнадзора: 411-60-45.
Официальный сайт Ростехнадзора: www.gosnadzor.ru.
16. Для управлений центрального аппарата Ростехнадзора устанавливается следующий график (режим) работы:
|
понедельник |
9.00 - 18.00 |
|
вторник |
9.00 - 18.00 |
|
среда |
9.00 - 18.00 |
|
четверг |
9.00 - 18.00 |
|
пятница |
9.00 - 16.45 |
Продолжительность перерыва рабочего дня для отдыха и питания (приема пищи) устанавливается в соответствии с законодательством Российской Федерации.
17. Сведения о местонахождении, контактных телефонах, Интернет-адресах территориальных органов Ростехнадзора приведены в приложении № 1 к настоящему Административному регламенту и размещаются на Интернет-сайте Ростехнадзора и Интернет-сайтах территориальных органов Ростехнадзора.
18. Информация об исполнении государственной функции предоставляется непосредственно в помещениях ответственного структурного подразделения Ростехнадзора, ответственного подразделения территориального органа Ростехнадзора, а также по телефону, электронной почте, посредством ее размещения в сети "Интернет" на официальном сайте Ростехнадзора (www.gosnadzor.ru), на официальных сайтах территориальных органов Ростехнадзора и в Федеральной государственной информационной системе "Единый портал государственных и муниципальных услуг (функций)" (http://www.gosuslugi.ru).
19. График (режим) работы территориального органа определяется служебным распорядком, утвержденным приказом руководителя территориального органа.
Территориальные органы Ростехнадзора осуществляют прием граждан не реже двух раз в неделю из расчета не менее 6 часов в день.
20. На информационных стендах в помещениях и Интернет-сайтах Ростехнадзора и территориальных органов Ростехнадзора размещается следующая информация:
образцы заполнения форм документов, необходимых для обращения в Ростехнадзор;
порядок рассмотрения обращений и получения консультаций;
порядок обжалования решений, действий или бездействия должностных лиц Ростехнадзора;
план проведения мероприятий по контролю на текущий год;
информация о месте приема, а также об установленных для приема днях и часах.
20.1. Предоставление информации по вопросам исполнения Ростехнадзором государственной функции осуществляется должностными лицами Ростехнадзора или его территориальных органов по письменным жалобам (обращениям), по телефону, электронной почте, а также при обращении в устной форме во время приема уполномоченным лицом.
20.2. Предоставление информации по письменным жалобам (обращениям), поступившим в Ростехнадзор или его территориальный орган в соответствии с их компетенцией, осуществляется в форме письменных ответов в порядке, установленном законодательством Российской Федерации.
Сведения о размере платы за услуги организации (организаций) участвующей (участвующих) в исполнении государственной функции, взимаемой с лица, в отношении которого проводятся мероприятия по контролю (надзору)
Подраздел исключен согласно приказу Ростехнадзора от 9 октября 2017 г. № 414.
Срок исполнения государственной функции
22. Срок проведения проверки составляет не более чем 30 рабочих дней со дня начала ее проведения.
В отношении одного субъекта малого предпринимательства общий срок проведения плановых выездных проверок не может превышать пятьдесят часов для малого предприятия и пятнадцать часов для микропредприятия в год.
23. В исключительных случаях, связанных с необходимостью проведения сложных и (или) длительных исследований, испытаний, специальных экспертиз и расследований на основании мотивированных предложений должностных лиц Ростехнадзора (территориального органа Ростехнадзора), проводящих выездную плановую проверку, срок проведения выездной плановой проверки может быть продлен руководителем Ростехнадзора (территориального органа Ростехнадзора), но не более чем на двадцать рабочих дней, в отношении малых предприятий не более чем на пятьдесят часов, микропредприятий не более чем на пятнадцать часов.
24. Пункт 24 исключен согласно приказу Ростехнадзора от 9 октября 2017 г. № 414.
24.1. Пункты 24.1 - 24.10 исключены согласно приказу Ростехнадзора от 9 октября 2017 г. № 414.
25. Исполнение государственной функции по контролю и надзору в области пожарной безопасности включает в себя следующие административные процедуры:
организацию исполнения государственной функции по контролю и надзору в области пожарной безопасности;
подготовку и проведение проверок;
оформление результатов проверок;
контроль за исполнением выданных предписаний;
организацию учета документации по контролю и надзору в области пожарной безопасности;
направление в органы государственной власти в соответствии с их компетенцией материалов и заявлений по признакам правонарушений, преступлений, связанных с нарушением установленных законодательными и иными нормативными правовыми актами Российской Федерации требований пожарной безопасности.
Организация исполнения государственной функции по контролю и надзору в области пожарной безопасности
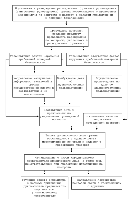
26. Блок-схема исполнения Ростехнадзором государственной функции по контролю и надзору в области пожарной безопасности приведена в приложении № 2 к настоящему Административному регламенту.
27. Территориальные органы Ростехнадзора ведут перечни юридических лиц, ведущих взрывные работы, в отношении которых осуществляется контроль и надзор в области пожарной безопасности (далее - поднадзорные организации).
28. Распоряжением (приказом) руководителя территориального органа Ростехнадзора назначаются ответственные структурные подразделения (отделы) за осуществление контроля и надзора в отношении поднадзорных организаций.
29. Проверки осуществляются как в плановом, так и во внеплановом порядке в форме выездной и (или) документарной проверки.
30. Выездные проверки проводятся на территориях и в помещениях поднадзорных организаций. При этом проверке подлежит соблюдение требований пожарной опасности, установленных в отношении организаций, опасных производственных объектов, технологических установок, технических устройств, зданий, сооружений и иного имущества.
31. Плановые проверки проводятся в соответствии с установленными планами работы Ростехнадзора и его территориальных органов.
32. Основаниями для проведения внеплановых проверок являются:
а) истечение срока исполнения юридическим лицом, индивидуальным предпринимателем ранее выданного предписания об устранении выявленного нарушения обязательных требований,;
б) поступление в Ростехнадзор (его территориальные органы) обращений и заявлений граждан, в том числе индивидуальных предпринимателей, юридических лиц, информации от органов государственной власти (должностных лиц федеральных органов исполнительной власти в области промышленной безопасности), органов местного самоуправления, из средств массовой информации о фактах нарушений обязательных требований, о несоответствии обязательным требованиям используемых зданий, помещений, сооружений, технических устройств, оборудования и материалов, осуществляемых технологических процессов, если такие нарушения создают угрозу причинения вреда жизни, здоровью людей, вреда животным, растениям, окружающей среде, безопасности государства, имуществу физических и юридических лиц, государственному или муниципальному имуществу, угрозу возникновения аварий и (или) чрезвычайных ситуаций техногенного характера либо влекут причинение такого вреда, возникновение аварий и (или) чрезвычайных ситуаций техногенного характера;
в) наличие приказа (распоряжения) руководителя (заместителя руководителя) Ростехнадзора (его территориального органа) о проведении внеплановой проверки, изданного в соответствии с поручением Президента Российской Федерации или Правительства Российской Федерации либо на основании требования прокурора о проведении внеплановой проверки в рамках надзора за исполнением законов по поступившим в органы прокуратуры материалам и обращениям.
33. Планирование проверок.
33.1. Плановые проверки проводятся на основании разрабатываемого Ростехнадзором ежегодного плана проведения плановых проверок. План проведения проверок составляется и утверждается в соответствии с Правилами подготовки органами государственного контроля (надзора) и органами муниципального контроля ежегодных планов проведения плановых проверок юридических лиц и индивидуальных предпринимателей, утвержденными постановлением Правительства Российской Федерации от 30 июня 2010 г. № 489.
В ежегодном плане проведения плановых проверок указываются следующие сведения:
1) наименования юридических лиц, деятельность которых подлежит плановым проверкам;
2) адрес места нахождения юридического лица, адрес места фактического осуществления деятельности юридического лица, адреса места нахождения объектов юридического лица;
3) основной государственный регистрационный номер;
4) идентификационный номер налогоплательщика;
5) цель и основание проведения каждой плановой проверки;
6) дата начала и сроки проведения каждой плановой проверки;
7) форма проведения проверки;
8) наименование территориального органа и/или подразделения центрального аппарата Ростехнадзора, осуществляющего плановую проверку. При проведении плановой проверки органами государственного контроля (надзора) совместно указываются наименования всех участвующих в такой проверке органов.
Ежегодный план, разрабатываемый Ростехнадзором, включает сведения утвержденных ежегодных планов ее территориальных органов о проведении плановых проверок юридических лиц на территориях субъектов Российской Федерации и федеральных округов.
Указанный ежегодный план разрабатывается Ростехнадзором до 31 декабря года, предшествующего году проведения плановых проверок.
Ежегодный план размещается на официальном сайте Ростехнадзора в сети Интернет, за исключением сведений ежегодных планов, распространение которых ограничено или запрещено в соответствии с законодательством Российской Федерации.
33.2. Основанием для включения плановой проверки в ежегодный план проведения плановых проверок является истечение периода, установленного пунктом 33.3 настоящего Административного регламента, начиная со дня:
а) принятия в порядке, установленном Правительством Российской Федерации, решения о вводе в эксплуатацию после строительства, технического перевооружения, реконструкции и капитального ремонта опасного производственного объекта, в том числе используемых при эксплуатации опасного производственного объекта зданий, помещений, сооружений, технических устройств, оборудования и материалов;
б) регистрации опасного производственного объекта в государственном реестре опасных производственных объектов;
в) окончания проведения последней плановой проверки.
33.3. Проведение плановых проверок юридических лиц, индивидуальных предпринимателей, эксплуатирующих опасные производственные объекты, осуществляется со следующей периодичностью:
а) в отношении опасных производственных объектов I или II класса опасности не чаще чем один раз в течение одного года;
б) в отношении опасных производственных объектов III класса опасности не чаще чем один раз в течение трех лет.
33.4. Ежегодный план проведения плановых проверок Ростехнадзора утверждается руководителем Ростехнадзора.
33.5. Ежегодные планы проведения плановых проверок территориальных органов Ростехнадзора формируются в каждом территориальном органе Ростехнадзора и принимаются руководителями территориальных органов Ростехнадзора.
Ответственным за разработку ежегодного плана проведения плановых проверок территориального органа Ростехнадзора является руководитель территориального органа Ростехнадзора.
33.6. В ежегодный план проведения плановых проверок Ростехнадзора и его территориальных органов могут вноситься изменения в следующих случаях:
а) исключение проверки из ежегодного плана:
в связи с невозможностью проведения плановой проверки деятельности юридического лица вследствие его ликвидации, невозможностью проведения проверки индивидуального предпринимателя вследствие прекращения физическим лицом деятельности в качестве индивидуального предпринимателя;
в связи с прекращением юридическим лицом или индивидуальным предпринимателем деятельности, эксплуатации (использования) опасных производственных объектов, подлежащих проверке;
в связи с изменением класса опасности подлежащего проверке опасного производственного объекта;
в связи с принятием решения об отнесении опасного производственного объекта к определенному классу опасности либо решения об изменении присвоенного класса опасности;
принятия решения об исключении соответствующей проверки из ежегодного плана в случаях, предусмотренных статьей 26.1 Федерального закона от 26 декабря 2008 г. № 294-ФЗ "О защите прав юридических лиц и индивидуальных предпринимателей при осуществлении государственного контроля (надзора) и муниципального контроля";
в связи с наступлением обстоятельств непреодолимой силы;
б) изменение указанных в ежегодном плане сведений о юридическом лице или индивидуальном предпринимателе:
в связи с изменением адреса места нахождения или адреса фактического осуществления деятельности юридического лица или индивидуального предпринимателя;
в связи с реорганизацией юридического лица;
в связи с изменением наименования юридического лица, а также изменением фамилии, имени и отчества индивидуального предпринимателя.
33.7. В ежегодные планы проведения плановых проверок территориальными органами Ростехнадзора изменения вносятся по решению руководителей территориальных органов Ростехнадзора.
В план проведения плановых проверок Ростехнадзора изменения вносятся по решению руководителя Ростехнадзора.
Сведения о внесенных в ежегодный план проведения плановых проверок изменениях направляются в течение 3 рабочих дней со дня их внесения в соответствующий орган прокуратуры на бумажном носителе (с приложением копии в электронном виде) заказным почтовым отправлением с уведомлением о вручении либо в форме электронного документа, подписанного электронной подписью, а также размещаются на официальном сайте Ростехнадзора и его территориальных органов в сети Интернет в порядке, предусмотренном пунктом 6 Правил подготовки органами государственного контроля (надзора) и органами муниципального контроля ежегодных планов проведения плановых проверок юридических лиц и индивидуальных предпринимателей, утвержденных постановлением Правительства Российской Федерации от 30 июня 2010 г. № 489, в течение 5 рабочих дней со дня внесения изменений.
33.8. О проведении плановой проверки юридическое лицо, индивидуальный предприниматель уведомляются Ростехнадзором (его территориальными органами) не позднее чем за три рабочих дня до начала ее проведения посредством направления копии приказа (распоряжения) руководителя (заместителя руководителя) Ростехнадзора, его территориального органа о начале проведения плановой проверки заказным почтовым отправлением с уведомлением о вручении и (или) посредством электронного документа, подписанного усиленной квалифицированной электронной подписью и направленного по адресу электронной почты юридического лица, индивидуального предпринимателя, если такой адрес содержится соответственно в едином государственном реестре юридических лиц, едином государственном реестре индивидуальных предпринимателей либо ранее был представлен юридическим лицом, индивидуальным предпринимателем в Ростехнадзор (его территориальный орган), или иным доступным способом.
34. Проведение документарных и выездных проверок.
34.1. Предметом документарной проверки являются:
сведения, содержащиеся в документах юридического лица, индивидуального предпринимателя, устанавливающих их организационно-правовую форму, права и обязанности;
документы, используемые при осуществлении юридическим лицом, индивидуальным предпринимателем деятельности и связанные с исполнением ими обязательных требований, исполнением предписаний и постановлений Ростехнадзора (его территориального органа).
34.2. В процессе проведения документарной проверки должностными лицами Ростехнадзора (его территориального органа) в первую очередь рассматриваются документы юридического лица, индивидуального предпринимателя, имеющиеся в распоряжении Ростехнадзора (его территориальных органов), акты предыдущих проверок, материалы рассмотрения дел об административных правонарушениях и иные документы о результатах осуществленных в отношении этих юридического лица, индивидуального предпринимателя мероприятий по контролю.
34.2. В случае, если достоверность сведений, содержащихся в документах, имеющихся в распоряжении Ростехнадзора (его территориальных органов) вызывает обоснованные сомнения либо эти сведения не позволяют оценить исполнение юридическим лицом, индивидуальным предпринимателем обязательных требований, Ростехнадзор (его территориальные органы) направляет в адрес юридического лица, индивидуального предпринимателя мотивированный запрос с требованием представить иные необходимые для рассмотрения в ходе проведения документарной проверки документы. К запросу прилагается заверенная печатью копия приказа руководителя (заместителя руководителя) Ростехнадзора или руководителя (заместителя руководителя) территориального органа Ростехнадзора о проведении документарной проверки.
Указанные в запросе документы представляются в виде копий, заверенных печатью (при ее наличии) и соответственно подписью индивидуального предпринимателя, его уполномоченного представителя, руководителя, иного должностного лица юридического лица. Юридическое лицо, индивидуальный предприниматель вправе представить указанные в запросе документы в форме электронных документов, подписанных усиленной квалифицированной электронной подписью.
34.3. В случае, если в ходе документарной проверки выявлены ошибки и (или) противоречия в представленных юридическим лицом, индивидуальным предпринимателем документах либо несоответствие сведений, содержащихся в этих документах, сведениям, содержащимся в имеющихся у Ростехнадзора (его территориальных органов) документах и (или) полученным в ходе осуществления государственного контроля (надзора), информация об этом направляется юридическому лицу, индивидуальному предпринимателю с требованием представить в течение десяти рабочих дней необходимые пояснения в письменной форме.
В случае, если после рассмотрения представленных пояснений и документов либо при отсутствии пояснений Ростехнадзор (его территориальный орган) установит признаки нарушения обязательных требований, должностные лица Ростехнадзора (его территориального органа) вправе провести выездную проверку.
34.4. Выездная проверка проводится по месту нахождения юридического лица, месту осуществления деятельности индивидуального предпринимателя и (или) по месту фактического осуществления их деятельности.
34.5. Выездная проверка проводится в случае, если при документарной проверке не представляется возможным:
а) удостовериться в полноте и достоверности сведений, имеющихся в распоряжении Ростехнадзора (его территориального органа) документах юридического лица, индивидуального предпринимателя;
б) оценить соответствие деятельности юридического лица, индивидуального предпринимателя обязательным требованиям без проведения соответствующего мероприятия по контролю.
34.6. Выездная проверка начинается с предъявления служебного удостоверения должностными лицами Ростехнадзора (его территориальных органов), обязательного ознакомления руководителя или иного должностного лица юридического лица, индивидуального предпринимателя, его уполномоченного представителя с приказом (распоряжением) руководителя, заместителя руководителя Ростехнадзора (его территориального органа) о назначении выездной проверки и с полномочиями проводящих выездную проверку лиц, а также с целями, задачами, основаниями проведения выездной проверки, видами и объемом мероприятий по контролю, составом экспертов, представителями экспертных организаций, привлекаемых к выездной проверке, со сроками и с условиями ее проведения.
34.7. Заверенные печатью копии приказа (распоряжения) руководителя (заместителя руководителя) Ростехнадзора или руководителя (заместителя руководителя) территориального органа Ростехнадзора вручаются под роспись должностными лицами Ростехнадзора (его территориальных органов), проводящими проверку, руководителю, иному должностному лицу или уполномоченному представителю юридического лица, индивидуальному предпринимателю, его уполномоченному представителю одновременно с предъявлением служебных удостоверений. По требованию подлежащих проверке лиц должностные лица Ростехнадзора (его территориальных органов) обязаны представить информацию о Ростехнадзоре, его территориальных органах, а также об экспертах, экспертных организациях в целях подтверждения своих полномочий.
По просьбе руководителя, иного должностного лица или уполномоченного представителя юридического лица, индивидуального предпринимателя, его уполномоченного представителя должностные лица Ростехнадзора (его территориальных органов) обязаны ознакомить подлежащих проверке лиц с нормативными правовыми актами, регулирующими вопросы проведения мероприятий по контролю, включая соответствующие административные регламенты, и порядком их проведения на объектах, используемых юридическим лицом, индивидуальным предпринимателем при осуществлении деятельности.
Подготовка и проведение проверок
35. Основанием для проведения плановой проверки является наступление периода времени, в течение которого Ростехнадзором запланирована в календарном году проверка объекта надзора в соответствии с ежегодным планом проведения плановых проверок.
36. Основания для проведения внеплановой проверки приведены в пункте 32 настоящего Административного регламента.
37. Проверки проводятся на основании распоряжения или приказа руководителя, заместителя руководителя Ростехнадзора (территориального органа Ростехнадзора), оформленного в соответствии с Типовой формой распоряжения или приказа органа государственного контроля (надзора), органа муниципального контроля о проведении проверки юридического лица, индивидуального предпринимателя, утвержденной приказом Минэкономразвития России от 30 апреля 2009 года № 141.
38. При осуществлении планового мероприятия по контролю проверяется соблюдение требований пожарной безопасности согласно программе вопросов проверки, утвержденной руководителем (заместителем руководителя) органа Ростехнадзора.
39. При осуществлении внепланового мероприятия по контролю проверяется соблюдение тех требований пожарной безопасности, информация о нарушении которых явилась поводом для издания распоряжения (приказа) о проведении внепланового мероприятия по контролю.
40. В отношении одного юридического лица плановые проверки проводятся не чаще чем один раз в год.
41. Юридические лица вправе вести журнал учета проверок по типовой форме, утвержденной приказом Минэкономразвития России от 30 апреля 2009 г. № 141.
В журнале учета проверок должностными лицами Ростехнадзора (территориального органа Ростехнадзора) осуществляется запись о проведенной проверке, содержащая сведения о наименовании структурного подразделения центрального аппарата Ростехнадзора (территориального органа Ростехнадзора), датах начала и окончания проведения проверки, времени ее проведения, правовых основаниях, целях, задачах и предмете проверки, выявленных нарушениях и выданных предписаниях, а также указываются фамилии, имена, отчества и должности должностного лица или должностных лиц, проводящих проверку, его или их подписи.
При отсутствии журнала учета проверок в акте проверки делается соответствующая запись.
42. В распоряжении или приказе о проведении проверки указывается:
1) наименование Ростехнадзора (территориального органа Ростехнадзора);
2) фамилии, имена, отчества, должности должностного лица или должностных лиц, уполномоченных на проведение проверки;
3) наименование юридического лица, проверка которого проводится;
4) цели, задачи, предмет проверки и срок ее проведения;
5) правовые основания проведения проверки, в том числе подлежащие проверке обязательные требования;
6) сроки проведения и перечень мероприятий по контролю, необходимых для достижения целей и задач проведения проверки;
7) перечень административных регламентов проведения мероприятий по контролю, административных регламентов взаимодействия;
8) перечень документов, представление которых юридическим лицом необходимо для достижения целей и задач проведения проверки;
9) даты начала и окончания проведения проверки.
43. При проведении проверки должностные лица Ростехнадзора (территориального органа Ростехнадзора) не вправе:
1) проверять выполнение обязательных требований в области пожарной безопасности, если такие требования не относятся к полномочиям Ростехнадзора;
2) осуществлять плановую или внеплановую выездную проверку в случае отсутствия при ее проведении руководителя, иного должностного лица или уполномоченного представителя юридического лица, за исключением случая проведения такой проверки по основанию, предусмотренному подпунктом "б" пункта 2 части 2 статьи 10 Федерального закона от 26 декабря 2008 г. № 294-ФЗ "О защите прав юридических лиц и индивидуальных предпринимателей при осуществлении государственного контроля (надзора) и муниципального контроля";
3) требовать представления документов, информации, образцов продукции, проб обследования объектов окружающей среды и объектов производственной среды, если они не являются объектами проверки или не относятся к предмету проверки, а также изымать оригиналы таких документов;
4) отбирать образцы продукции, пробы обследования объектов окружающей среды и объектов производственной среды для проведения их исследований, испытаний, измерений без оформления протоколов об отборе указанных образцов, проб по установленной форме и в количестве, превышающем нормы, установленные национальными стандартами, правилами отбора образцов, проб и методами их исследований, испытаний, измерений, техническими регламентами или действующими до дня их вступления в силу иными нормативными техническими документами и правилами и методами исследований, испытаний, измерений;
5) распространять информацию, полученную в результате проведения проверки и составляющую государственную, коммерческую, служебную, иную охраняемую законом тайну, за исключением случаев, предусмотренных законодательством Российской Федерации;
6) превышать установленные сроки проведения проверки;
7) осуществлять выдачу юридическим лицам предписаний или предложений о проведении за их счет мероприятий по контролю;
8) проверять выполнение требований, установленных нормативными правовыми актами органов исполнительной власти СССР и РСФСР и не соответствующих законодательству Российской Федерации;
9) проверять выполнение обязательных требований, установленных нормативными правовыми актами, не опубликованными в установленном законодательством Российской Федерации порядке;
10) требовать при проведении документарной проверки у юридического лица, индивидуального предпринимателя сведения и документы, не относящиеся к предмету документарной проверки, а также сведения и документы, которые могут быть получены Ростехнадзором (его территориальными органами) от иных органов государственного контроля (надзора);
11) требовать от юридического лица, индивидуального предпринимателя представления документов и (или) информации, включая разрешительные документы, имеющиеся в распоряжении иных государственных органов, органов местного самоуправления либо подведомственных государственным органам или органам местного самоуправления организаций, включенные в перечень, определенный Правительством Российской Федерации в соответствии с частью 8 статьи 7 Федерального закона от 26 декабря 2008 г. № 294-ФЗ "О защите прав юридических лиц и индивидуальных предпринимателей при осуществлении государственного контроля (надзора) и муниципального контроля";
12) требовать от юридического лица, индивидуального предпринимателя представления информации, которая была представлена ранее в соответствии с требованиями законодательства Российской Федерации и (или) находится в государственных или муниципальных информационных системах, реестрах и регистрах.
44. В рамках мероприятия по контролю могут осуществляться:
визуальный осмотр опасного производственного объекта и технических устройств с целью оценки соответствия требованиям пожарной безопасности;
проверка документов;
отбор образцов (проб), исследования, экспертизы, необходимые для заключения о соответствии опасного производственного объекта требованиям пожарной безопасности.
45. Визуальный осмотр опасного производственного объекта и технических устройств осуществляется в присутствии руководителя юридического лица или иного уполномоченного руководителем должностного лица.
В ходе визуального осмотра фиксируются:
общая характеристика технического состояния пожарной безопасности объекта;
факты нарушений требований пожарной безопасности.
Впоследствии результаты визуального осмотра отражаются в предписании.
46. В ходе проверки документов должностное лицо органа Ростехнадзора вправе потребовать для ознакомления следующую документацию, необходимую для оценки соответствия деятельности поднадзорной организации требованиям промышленной безопасности:
правоустанавливающие документы на юридическое лицо;
договоры аренды помещений, объектов, агрегатов, в том числе договоры лизинга;
официальные издания нормативных правовых актов и нормативных технических документов, устанавливающих правила ведения работ на опасном производственном объекте;
документы распорядительного характера (приказы, распоряжения о назначении лиц, ответственных за безопасную эксплуатацию оборудования, производственный контроль, положения о структурных подразделениях, штатное расписание, должностные инструкции и так далее);
проектную документацию объекта;
регламент технологического процесса;
паспорта (формуляры) оборудования, приборов управления и контроля производственного процесса;
стандарты, технические условия на сырье, материалы и готовую продукцию;
техническую документацию на средства пожаротушения (автоматические, первичные и другие) и пожарной сигнализации;
документы, подтверждающие соответствие имеющихся первичных средств пожаротушения установленным нормативным требованиям.
чертежи оснастки приспособлений;
инструкции по охране труда и технике безопасности;
инструкции о мерах пожарной безопасности;
план пожаротушения и ликвидации аварий;
производственные журналы;
лицензии на осуществление деятельности в области взрывчатых материалов и на эксплуатацию взрывопожароопасных объектов;
разрешения на применение технических устройств на опасных производственных объектах;
заключения экспертизы промышленной безопасности;
декларации промышленной безопасности;
договоры страхования гражданской ответственности владельца опасного объекта за причинение вреда в результате аварии на опасном объекте;
положение об организации и осуществлении производственного контроля за соблюдением требований промышленной (в том числе пожарной) безопасности;
свидетельства и протоколы по обучению и аттестации в области промышленной безопасности работников организации;
планы мероприятий по локализации и ликвидации последствий аварий на опасном производственном объекте;
договоры на обслуживание с профессиональными аварийно-спасательными службами или с профессиональными аварийно-спасательными формированиями или документы об аттестации собственных профессиональных аварийно-спасательных служб или профессиональных аварийно-спасательных формирований, а также нештатных аварийно-спасательных формирований из числа работников;
журналы учета аварий и инцидентов;
уведомления о выполнении предписаний;
документы по техническому расследованию причин аварий, инцидентов и несчастных случаев на опасном производственном объекте.
47. Все мероприятия по контролю, проводимые Ростехнадзором и его территориальными органами, регистрируются и учитываются в журнале учета мероприятий по контролю.
Оформление результатов проверок
48. По результатам проверки должностными лицами Ростехнадзора (территориального органа Ростехнадзора), проводящими проверку, составляется акт в двух экземплярах в соответствии с Типовой формой акта проверки, утвержденной приказом Минэкономразвития России от 30 апреля 2009 г. № 141.
49. В акте проверки указываются:
1) дата, время и место составления акта проверки;
2) наименование Ростехнадзора (территориального органа Ростехнадзора);
3) дата и номер распоряжения или приказа руководителя, заместителя руководителя Ростехнадзора (территориального органа Ростехнадзора) о проведении проверки;
4) фамилии, имена, отчества и должности должностного лица или должностных лиц, проводивших проверку;
5) наименование проверяемого юридического лица, а также фамилия, имя, отчество и должность руководителя, иного должностного лица или уполномоченного представителя юридического лица, присутствовавших при проведении проверки;
6) дата, время, продолжительность и место проведения проверки;
7) сведения о результатах проверки, в том числе о выявленных нарушениях обязательных требований, об их характере и о лицах, допустивших указанные нарушения;
8) сведения об ознакомлении или отказе в ознакомлении с актом проверки руководителя, иного должностного лица или уполномоченного представителя юридического лица, присутствовавших при проведении проверки, о наличии их подписей или об отказе от совершения подписи, а также сведения о внесении в журнал учета проверок записи о проведенной проверке либо о невозможности внесения такой записи в связи с отсутствием у юридического лица указанного журнала;
9) подписи должностного лица или должностных лиц, проводивших проверку.
К акту проверки прилагаются протоколы отбора образцов продукции, проб обследования объектов окружающей среды и объектов производственной среды, протоколы или заключения проведенных исследований, испытаний и экспертиз, объяснения работников юридического лица, на которых возлагается ответственность за нарушение обязательных требований, предписания об устранении выявленных нарушений и иные связанные с результатами проверки документы или их копии.
50. Акт проверки оформляется непосредственно после ее завершения в двух экземплярах, один из которых с копиями приложений вручается руководителю, иному должностному лицу или уполномоченному представителю юридического лица под расписку об ознакомлении либо об отказе в ознакомлении с актом проверки. В случае отсутствия руководителя, иного должностного лица или уполномоченного представителя юридического лица, а также в случае отказа проверяемого лица дать расписку об ознакомлении либо об отказе в ознакомлении с актом проверки акт направляется заказным почтовым отправлением с уведомлением о вручении, которое приобщается к экземпляру акта проверки, хранящемуся в деле Ростехнадзора (территориального органа Ростехнадзора).
51. В случае если для составления акта проверки необходимо получить заключения по результатам проведенных исследований, испытаний, специальных расследований, экспертиз, акт проверки составляется в срок, не превышающий трех рабочих дней после завершения мероприятий по контролю, и вручается руководителю, иному должностному лицу или уполномоченному представителю юридического лица под расписку либо направляется заказным почтовым отправлением с уведомлением о вручении, которое приобщается к экземпляру акта проверки, хранящемуся в деле Ростехнадзора (территориального органа Ростехнадзора).
52. В случае выявления при проведении проверки нарушений юридическим лицом обязательных требований должностные лица, проводившие проверку, в пределах полномочий, предусмотренных законодательством Российской Федерации, обязаны:
1) выдать предписание юридическому лицу об устранении выявленных нарушений с указанием сроков их устранения по рекомендуемому образцу согласно приложению № 3 к Административному регламенту;
2) принять меры по контролю за устранением выявленных нарушений, их предупреждению, предотвращению возможного причинения вреда жизни, здоровью граждан, вреда животным, растениям, окружающей среде, обеспечению безопасности государства, предупреждению возникновения чрезвычайных ситуаций природного и техногенного характера, а также меры по привлечению лиц, допустивших выявленные нарушения, к ответственности.
53. В случае выявления фактов нарушений норм законодательства, нормативных правовых актов в области пожарной безопасности и установления факта неисполнения в срок законного предписания при проведении мероприятия по контролю уполномоченные должностные лица органов Ростехнадзора возбуждают и осуществляют производство по делу об административном правонарушении в порядке, установленном Кодексом Российской Федерации об административных правонарушениях (приложение № 4 к Административному регламенту).
54. Перечень должностных лиц Ростехнадзора, уполномоченных составлять протоколы об административных правонарушениях, приведен в приложении № 5 к Административному регламенту.
55. Регистрация дел об административных правонарушениях, возбужденных и (или) рассмотренных должностными лицами органов Ростехнадзора, а также сведения об их движении отражаются в журнале учета дел об административных правонарушениях и представлений об устранении причин и условий, способствовавших совершению административного правонарушения, рекомендуемый образец которого приведен в приложении № 6 к Административному регламенту.
Контроль за исполнением выданного Ростехнадзором законного предписания
56. Предписание подлежит исполнению в установленные в нем сроки. Сроки исполнения согласовываются с организациями в период оформления предписания.
57. Невыполнение в установленный срок предписания влечет за собой административную ответственность, предусмотренную Кодексом Российской Федерации об административных правонарушениях.
58. Инспекторы осуществляют контроль за исполнением предписаний.
59. Территориальным органом Ростехнадзора может быть рассмотрено ходатайство о продлении срока исполнения предписания. Мотивированное ходатайство о продлении срока исполнения пунктов предписаний представляется на имя руководителя территориального органа Ростехнадзора.
Решение об удовлетворении или отказе в удовлетворении ходатайства и назначении нового срока исполнения предписания либо об изменении полностью или частично требований выданного предписания принимается руководителем (заместителем руководителя) территориального органа Ростехнадзора в срок не более 14 дней со дня его регистрации в территориальном органе Ростехнадзора. При этом решение об отказе в удовлетворении ходатайства должно быть мотивированным.
В случае несогласия с указанным решением его обжалование осуществляется в порядке, установленном законодательством Российской Федерации.
Организация учета документации по контролю и надзору в области пожарной безопасности
60. Территориальные органы Ростехнадзора должны вести:
журнал учета юридических лиц, в отношении которых осуществляется контроль и надзор;
контрольно-наблюдательные дела на каждое юридическое лицо с соответствующим индексом, номером, наименованием и количеством томов;
журнал учета мероприятий по контролю;
журнал учета дел об административных правонарушениях и представлений об устранении причин и условий, способствовавших совершению административного правонарушения;
журнал входящей документации (регистрация входящих документов), в том числе обращений граждан, юридических лиц и индивидуальных предпринимателей по вопросам осуществления контроля и надзора в области пожарной безопасности;
журнал исходящей документации (регистрация исходящих документов), в том числе ответов на обращения граждан, юридических лиц и индивидуальных предпринимателей по вопросам осуществления контроля и надзора в области пожарной безопасности.
61. Порядок ведения журналов, контрольно-наблюдательных дел, дел об административных правонарушениях, находящихся в производстве, определяет руководитель территориального органа Ростехнадзора с учетом оперативного доступа к необходимым материалам. Руководитель территориального органа Ростехнадзора назначает ответственных должностных лиц за их ведение и хранение документов.
Сроки и порядок хранения оконченных журналов, материалов контрольно-наблюдательных дел, в том числе после ликвидации объектов надзора, заполненных карточек личной консультации гражданина, прекращенных дел об административных правонарушениях, а также дел, по которым исполнены постановления, определяются в порядке, установленном Ростехнадзором.
62. Учетные записи о начале мероприятия по контролю вносятся в журнал учета мероприятий по контролю в течение трех рабочих дней после подписания распоряжения. По окончании мероприятия по контролю в течение трех рабочих дней после подписания предписания инспектор докладывает начальнику отдела об исполнении государственной функции и заполняет журнал учета мероприятий по контролю.
63. Контрольно-наблюдательное дело формируется ответственным за осуществление контроля и надзора в области пожарной безопасности инспектором и содержит копии распоряжений (приказов), акты проверок со всеми приложениями, а также в случаях выявления нарушений требований пожарной безопасности копии протоколов и постановлений по делу об административном правонарушении, вынесенных должностными лицами органов Ростехнадзора, предписания по устранению нарушений, оригиналы или копии других документов по вопросам обеспечения пожарной безопасности объектов надзора за последние пять лет.
В контрольно-наблюдательное дело приобщаются документы, полученные только в официальном порядке.
Формирование контрольно-наблюдательного дела на новое юридическое лицо осуществляется в течение десяти дней с момента получения информации о новом объекте надзора.
Направление в органы государственной власти в соответствии с их компетенцией материалов и заявлений по признакам правонарушений, преступлений, связанных с нарушением установленных законодательными и иными нормативными правовыми актами Российской Федерации требований пожарной безопасности
64. Направление в органы прокуратуры, другие правоохранительные органы материалов для решения вопросов о возбуждении дел об административных правонарушениях, уголовных дел по признакам правонарушений, преступлений, связанных с нарушением требований пожарной безопасности, законодательства в области пожарной безопасности, а также подача исковых заявлений в суд осуществляются в порядке и с соблюдением требований Кодекса Российской Федерации об административных правонарушениях, Уголовного кодекса Российской Федерации, Гражданского процессуального кодекса Российской Федерации, Арбитражного процессуального кодекса Российской Федерации и Уголовно-процессуального кодекса Российской Федерации.
65. При выявлении состава правонарушений, преступлений, предусмотренных законодательством Российской Федерации, не относящихся к компетенции Ростехнадзора, должностные лица Ростехнадзора обязаны направить соответствующую информацию в органы исполнительной власти в соответствии с их компетенцией.
66. Отказ в возбуждении дела об административном правонарушении, уголовного дела может быть обжалован в порядке, установленном законодательством Российской Федерации.
Порядок осуществления текущего контроля за соблюдением и исполнением должностными лицами положений Административного регламента и иных нормативных правовых актов, устанавливающих требования к исполнению государственной функции, а также за принятием ими решений
67. Текущий контроль за соблюдением порядка исполнения государственной функции, принятием решений должностными лицами Ростехнадзора осуществляется постоянно в процессе осуществления административных процедур уполномоченными должностными лицами, ответственными за организацию работы по исполнению государственной функции, в соответствии с установленными Регламентом административными процедурами и сроками их осуществления, а также путем проведения проверок исполнения положений Регламента, иных нормативных правовых актов Российской Федерации.
Перечень должностных лиц, осуществляющих текущий контроль за исполнением государственной функции, определяется руководителем (заместителем руководителя) Ростехнадзора, руководителем (заместителем руководителя) территориального органа Ростехнадзора.
Порядок и периодичность осуществления плановых и внеплановых проверок полноты и качества исполнения государственной функции, в том числе порядок и формы контроля за полнотой и качеством исполнения государственной функции
68. Ростехнадзором проводятся плановые и внеплановые проверки полноты и качества исполнения государственной функции его структурными подразделениями, территориальными органами и должностными лицами.
При проведении плановой проверки могут рассматриваться вопросы, связанные с исполнением государственной функции, или вопросы, связанные с исполнением того или иного административного действия Регламента.
Внеплановые проверки проводятся по конкретному обращению (жалобе) граждан и/или юридических лиц.
Периодичность осуществления плановых проверок устанавливается руководителем Ростехнадзора и руководителями территориальных органов Ростехнадзора.
Плановые и внеплановые проверки проводятся на основании приказов (распоряжений) руководителя Ростехнадзора, руководителей территориальных органов Ростехнадзора.
Ответственность должностных лиц Ростехнадзора за решения и действия (бездействие), принимаемые в ходе исполнения государственной функции
69. Персональная ответственность должностных лиц Ростехнадзора устанавливается в их должностных регламентах в соответствии с требованиями законодательства Российской Федерации.
По результатам проведенных проверок в случае нарушений прав граждан и юридических лиц виновные в совершении таких нарушений должностные лица Ростехнадзора привлекаются к ответственности в порядке, установленном законодательством Российской Федерации.
Положения, характеризующие требования к порядку и формам контроля за исполнением государственной функции, в том числе со стороны граждан, их объединений и организаций
70. В целях контроля за исполнением государственной функции со стороны граждан, их объединений и организаций на официальном сайте Ростехнадзора размещается ежегодный план проведения плановых проверок.
71. Для осуществления контроля за исполнением Ростехнадзором государственной функции граждане, их объединения и организации имеют право направлять в Ростехнадзор (его территориальные органы) индивидуальные и коллективные обращения с предложениями по совершенствованию порядка исполнения государственной функции, а также жалобы и заявления на действия (бездействие) должностных лиц Ростехнадзора и принятые ими решения, связанные с исполнением государственной функции.
Информация для заинтересованных лиц об их праве на досудебное (внесудебное) обжалование действий (бездействия) и решений, принятых (осуществляемых) в ходе исполнения государственной функции
72. Действия (бездействие) должностных лиц Ростехнадзора и территориальных органов Ростехнадзора, решения, принятые ими в ходе исполнения государственной функции на основании настоящего Административного регламента, обжалуются в досудебном (внесудебном) порядке.
Предмет досудебного (внесудебного) обжалования
73. Предметом досудебного (внесудебного) обжалования являются действия (бездействие) должностных лиц Ростехнадзора (его территориальных органов), решения, принятые ими в ходе исполнения государственной функции на основании настоящего Административного регламента.
Исчерпывающий перечень оснований для приостановления рассмотрения жалобы и случаев, при которых ответ на жалобу не дается
74. Ростехнадзор (его территориальный орган) при получении письменного обращения (жалобы), в котором содержатся нецензурные либо оскорбительные выражения, угрозы жизни, здоровью и имуществу должностного лица, а также членам его семьи, вправе оставить обращение без ответа по существу поставленных в нем вопросов и сообщить гражданину, направившему обращение, о недопустимости злоупотребления правом.
75. В случае, если в письменном обращении (жалобе) не указана фамилия заявителя, направившего обращение (жалобу), или почтовый адрес, по которому должен быть направлен ответ, ответ на обращение (жалобу) не дается.
76. В случае, если текст письменного обращения (жалобы) не поддается прочтению, ответ на обращение не дается и оно не подлежит направлению на рассмотрение в государственный орган, орган местного самоуправления или должностному лицу в соответствии с их компетенцией, о чем сообщается гражданину, направившему обращение, если его фамилия и почтовый адрес поддаются прочтению.
Обращение, в котором обжалуется судебное решение, возвращается заявителю, направившему обращение (жалобу), с разъяснением порядка обжалования данного судебного решения.
77. В случае, если в обращении (жалобе) заявителя содержится вопрос, на который ему неоднократно давались письменные ответы по существу в связи с ранее направляемыми обращениями (жалобами), и при этом в обращении (жалобе) не приводятся новые доводы или обстоятельства, руководитель государственного органа, должностное лицо либо уполномоченное лицо вправе принять решение о безосновательности очередного обращения (жалобы) и прекращении переписки с заявителем по данному вопросу при условии, что указанное обращение (жалоба) и ранее направляемые обращения (жалобы) направлялись в один и тот же государственный орган. О данном решении уведомляется заявитель, направивший обращение (жалобу).
78. В случае, если ответ по существу поставленного в обращении вопроса не может быть дан без разглашения сведений, составляющих государственную или иную охраняемую федеральным законом тайну, заявителю, направившему обращение, сообщается о невозможности дать ответ по существу поставленного в нем вопроса в связи с недопустимостью разглашения указанных сведений.
79. В случае, если причины, по которым ответ по существу поставленных в обращении вопросов не мог быть дан, в последующем были устранены, заявитель вправе вновь направить обращение в Ростехнадзор или его территориальный орган.
Основания для начала процедуры досудебного (внесудебного) обжалования
80. Основанием для начала процедуры досудебного (внесудебного) обжалования является подача заявителем жалобы.
81. Жалоба подается в Ростехнадзор (его территориальный орган) в письменной форме на бумажном носителе либо в электронной форме.
82. Жалоба может быть направлена по почте, с использованием сети Интернет, официального сайта Ростехнадзора в сети Интернет, а также может быть принята при личном приеме заявителя.
83. Жалоба должна содержать:
а) наименование Ростехнадзора (его территориального органа), фамилию, имя, отчество (последнее - при наличии) должностного лица либо федерального государственного служащего, решения и действия (бездействие) которых обжалуются;
б) фамилию, имя, отчество (последнее - при наличии), сведения о месте жительства заявителя - физического лица либо наименование, сведения о месте нахождения заявителя - юридического лица, а также номер (номера) контактного телефона, адрес (адреса) электронной почты (при наличии) и почтовый адрес, по которому ответ должен быть направлен заявителю;
в) сведения об обжалуемых решениях и действиях (бездействии) Ростехнадзора (его территориального органа), его должностного лица либо федерального государственного служащего;
г) доводы, на основании которых заявитель не согласен с решением и действием (бездействием) Ростехнадзора (его территориального органа), его должностного лица либо федерального государственного служащего.
Права заинтересованных лиц на получение информации и документов, необходимых для обоснования и рассмотрения жалобы
84. При рассмотрении обращения (жалобы) заявители имеют право:
представлять дополнительные документы и материалы либо обращаться с просьбой об их истребовании, в том числе в электронной форме;
знакомиться с документами и материалами, касающимися рассмотрения обращения, если это не затрагивает права, свободы и законные интересы других лиц и если в указанных документах и материалах не содержатся сведения, составляющие государственную или иную охраняемую федеральным законом тайну;
получать письменный ответ по существу поставленных в обращении вопросов, за исключением случаев, указанных в пунктах 92 - 96 Регламента, уведомление о переадресации письменного обращения в государственный орган, орган местного самоуправления или должностному лицу, в компетенцию которых входит решение поставленных в обращении вопросов;
обращаться с жалобой на принятое по обращению решение или на действие (бездействие) в связи с рассмотрением обращения в административном порядке в соответствии с законодательством Российской Федерации;
обращаться с заявлением о прекращении рассмотрения обращения.
85. В случае необходимости в подтверждение своих доводов заявитель прилагает к письменному обращению (жалобе) документы и материалы либо их копии.
Органы государственной власти и должностные лица, которым может быть направлена жалоба в досудебном (внесудебном) порядке
86. В порядке досудебного (внесудебного) обжалования заявитель вправе обратиться для обжалования действий (бездействия) и решений должностных лиц территориальных органов Ростехнадзора, осуществленных (принятых) в ходе исполнения государственной функции, в центральный аппарат или территориальный орган Ростехнадзора письменно, почтовым или факсимильным отправлением, а также в устной форме при личном приеме.
87. Действия должностных лиц центрального аппарата Ростехнадзора и руководителя территориального органа Ростехнадзора, принятые в рамках исполнения государственной функции в соответствии с Регламентом, могут быть обжалованы руководителю Ростехнадзора.
Сроки рассмотрения жалобы
88. Письменное обращение (жалоба), поступившее в центральный аппарат Ростехнадзора или его территориальный орган, рассматривается в течение 30 дней со дня регистрации жалобы.
В исключительных случаях руководитель органа, в который поступило обращение, вправе продлить срок рассмотрения обращения не более чем на 30 дней, уведомив о продлении срока рассмотрения заявителя.
Результат досудебного (внесудебного) обжалования применительно к каждой процедуре обжалования
89. По результатам рассмотрения жалобы на действие (бездействие) должностных лиц, осуществляющих предусмотренную Регламентом государственную функцию, Ростехнадзор (его территориальный орган):
признает правомерными действия заказанных лиц и отказывает в удовлетворении жалобы;
признает действия (бездействие) указанных лиц неправомерными и определяет меры, которые должны быть приняты в целях устранения допущенных нарушений в ходе осуществления административных процедур, предусмотренных Регламентом.
90. Результат досудебного (внесудебного) обжалования сообщается заинтересованному лицу в виде ответа, подписанного руководителем Ростехнадзора или его заместителем, руководителем территориального органа Ростехнадзора или его заместителем, или уполномоченным должностным лицом центрального аппарата Ростехнадзора или его территориального органа.
91. Ответ на обращение (жалобу), поступившее в центральный аппарат Ростехнадзора или его территориальный орган, направляется по почтовому и (или) электронному адресу, указанному в обращении.
92. В ответе по результатам рассмотрения жалобы указываются:
а) наименование органа, рассмотревшего жалобу, должность, фамилия, имя, отчество (последнее - при наличии) его должностного лица, принявшего решение по жалобе;
б) номер, дата, место принятия решения, включая сведения о должностном лице, решение или действие (бездействие) которого обжалуется;
в) фамилия, имя, отчество (последнее - при наличии) или наименование заявителя;
г) основания для принятия решения по жалобе;
д) принятое по жалобе решение;
е) в случае, если жалоба признана обоснованной, - сроки устранения выявленных нарушений;
ж) сведения о порядке обжалования принятого по жалобе решения.
93. Ростехнадзор (его территориальный орган) отказывает в удовлетворении жалобы в следующих случаях:
а) наличие вступившего в законную силу решения суда по жалобе о том же предмете и по тем же основаниям;
б) подача жалобы лицом, полномочия которого не подтверждены в порядке, установленном законодательством Российской Федерации;
в) наличие решения по жалобе, принятого ранее в отношении того же заявителя и по тому же предмету жалобы.
94. Ростехнадзор (его территориальный орган) вправе оставить жалобу без ответа в следующих случаях:
а) наличие в жалобе нецензурных либо оскорбительных выражений, угроз жизни, здоровью и имуществу должностного лица, а также членов его семьи;
б) отсутствие возможности прочитать какую-либо часть текста жалобы, фамилию, имя, отчество (при наличии) и (или) почтовый адрес заявителя, указанные в жалобе.
95. Нарушение должностным лицом, наделенным полномочиями по рассмотрению жалоб на нарушение исполнения государственной функции, порядка или сроков рассмотрения жалобы либо незаконный отказ или уклонение указанного должностного лица от принятия ее к рассмотрению влечет ответственность, предусмотренную законодательством Российской Федерации.
к Административному
регламенту
Федеральной службы по экологическому,
технологическому и атомному надзору
по исполнению государственной функции
по контролю и надзору за соблюдением
требований пожарной безопасности
при ведении взрывных работ
утв. приказом Федеральной службы
по экологическому, технологическому
и атомному надзору от 27 марта 2012 г. № 195
Сведения о почтовых адресах, адресах электронной почты территориальных органов Ростехнадзора, а также адресах сайтов территориальных органов Ростехнадзора
|
Наименование территориального органа |
Адрес, контактная информация |
|
Межрегиональное технологическое управление Федеральной службы по экологическому, технологическому и атомному надзору |
123056, г. Москва, ул. Красина, д. 27, стр. 1; тел.: (495) 254-10-55, 254-17-16; факс: (495) 254-04-77; mos@gosnadzor.ru |
|
Центральное управление Федеральной службы по экологическому, технологическому и атомному надзору |
103031, г. Москва, Газетный пер., д. 3-5, стр. 1; тел.: (495) 629-88-20; факс: (495) 629-15-21; cntr@gosnadzor.ru |
|
Верхне-Донское управление Федеральной службы по экологическому, технологическому и атомному надзору |
394038, г. Воронеж, ул. Конструкторов, д. 82; тел.: (4732) 63-26-12; факс: (4732) 78-91-39; vdon@gosnadzor.ru |
|
Приокское управление Федеральной службы по экологическому, технологическому и атомному надзору |
300041, г. Тула, пр-т Ленина, д. 40; тел.: (4872) 36-26-35, 36-15-86; факс: (4872) 36-26-55; priok@gosnadzor.ru |
|
Северо-Западное управление Федеральной службы по экологическому, технологическому и атомному надзору |
191028, г. Санкт-Петербург, ул. Моховая, д. 3; тел.: (812) 273-55-21; факс: (812) 321-49-88; szap@gosnadzor.ru |
|
Печорское управление Федеральной службы по экологическому, технологическому и атомному надзору |
167000, Республика Коми, г. Сыктывкар, ул. Советская, д. 67; тел./факс: (8212) 20-25-53; pech@gosnadzor.ru |
|
Нижне-Волжское управление Федеральной службы по экологическому, технологическому и атомному надзору |
400074, г. Волгоград, ул. Огарева, д. 15; тел./факс: (8442) 94-14-14; 94-58-58; nvol@gosnadzor.ru |
|
Северо-Кавказское управление Федеральной службы по экологическому, технологическому и атомному надзору |
350033, г. Краснодар, ул. Ставропольская, д. 4; тел./факс: (861) 262-61-00; sevkav@gosnadzor.ru |
|
Западно-Уральское управление Федеральной службы по экологическому, технологическому и атомному надзору |
614094, г. Пермь, ул. Вильвенская, д. 6; тел.: (342) 227-09-69; факс: (342) 227-09-66; zural@gosnadzor.ru |
|
Приволжское управление Федеральной службы по экологическому, технологическому и атомному надзору |
420097, г. Казань, ул. Зинина, д. 4, а/я 35; тел.: (8843) 31-17-77; факс: (8843) 31-17-02; privol@gosnadzor.ru |
|
Средне-Поволжское управление Федеральной службы по экологическому, технологическому и атомному надзору |
443035, г. Самара, ул. Нагорная, д. 136 а; тел.: (846) 992-90-38, 997-20-38, 332-74-71; факс: (846) 992-77-12; srpov@gosnadzor.ru |
|
Волжско-Окское управление Федеральной службы по экологическому, технологическому и атомному надзору |
603000, г. Нижний Новгород, Гребешковский откос, д. 7; тел.: (8314) 34-20-73; факс: (8314) 34-20-81; volok@gosnadzor.ru |
|
Северо-Уральское управление Федеральной службы по экологическому, технологическому и атомному надзору |
625000, г. Тюмень, ул. Хохрякова, д. 10; тел.: (3452) 44-40-13; факс: (3452) 45-32-07; sural@gosnadzor.ru |
|
Уральское управление Федеральной службы по экологическому, технологическому и атомному надзору |
620144, г. Екатеринбург, ул. Большакова, д. 97; тел./факс: (343) 251-46-79; ural@gosnadzor.ru |
|
Сибирское управление Федеральной службы по экологическому, технологическому и атомному надзору |
650002, г. Кемерово, ул. Институтская, д. 3; тел.: (3842) 64-54-20; факс: (3842) 34-24-68; usib@gosnadzor.ru |
|
Забайкальское управление Федеральной службы по экологическому, технологическому и атомному надзору |
672038, г. Чита, ул. Тимирязева, д. 27а, а/я 140; тел.: (3022) 38-25-78; факс: (3022) 35-29-17; zab@gosnadzor.ru |
|
Енисейское управление Федеральной службы по экологическому, технологическому и атомному надзору |
660049, г. Красноярск, пр-т Мира, д. 36; тел.: (3912) 27-53-38; факс: (3912) 27-33-97; enis@gosnadzor.ru |
|
Дальневосточное управление Федеральной службы по экологическому, технологическому и атомному надзору |
680000, г. Хабаровск, ул. Запарина, д. 76; тел.: (4212) 42-03-00; тел./факс: (4212) 32-45-26; dvost@gosnadzor.ru |
|
Сахалинское управление Федеральной службы по экологическому, технологическому и атомному надзору |
693000, г. Южно-Сахалинск, ул. К. Маркса, д. 32; тел.: (4242) 22-48-70; факс: (4242) 23-21-64; sahal@gosnadzor.ru |
|
Северо-Восточное управление Федеральной службы по экологическому, технологическому и атомному надзору |
685000, г. Магадан, ул. Пролетарская, д. 11, к. 425; тел.: (4132) 69-92-68; тел./факс: (4132) 62-13-69; svost@gosnadzor.ru |
|
Ленское управление Федеральной службы по экологическому, технологическому и атомному надзору |
677980, Республика Саха (Якутия), г. Якутск, ул. Кирова, д. 13; тел.: (4112) 42-26-38; факс: (4112) 42-08-40; lensk@gosnadzor.ru |
|
Кавказское управление Федеральной службы по экологическому, технологическому и атомному надзору |
357500, г. Пятигорск, ул. Подстанционная, д. 1б; тел.: (8793) 34-64-64; факс: (8793) 34-65-65; kav@gosnadzor.ru |
|
Межрегиональное управление Федеральной службы по экологическому, технологическому и атомному надзору по Республике Крым и г. Севастополю |
295000, г. Симферополь, ул. Кечкеметская, д. 198 тел.: (3652) 69-00-25; факс: (3652) 69-00-31; criminfo@gosnadzor.ru |
к Административному
регламенту
Федеральной службы по экологическому,
технологическому и атомному надзору
по исполнению государственной функции
по контролю и надзору за соблюдением
требований пожарной безопасности
при ведении взрывных работ
утв. приказом Федеральной службы
по экологическому, технологическому
и атомному надзору от 27 марта 2012 г. № 195
Блок-схема исполнения Ростехнадзором государственной функции по контролю и надзору в области пожарной безопасности

к Административному
регламенту
Федеральной службы по экологическому,
технологическому и атомному надзору
по исполнению государственной функции
по контролю и надзору за соблюдением
требований пожарной безопасности
при ведении взрывных работ
утв. приказом Федеральной службы
по экологическому, технологическому
и атомному надзору от 27 марта 2012 г. № 195
|
Бланк Федеральной службы по экологическому, технологическому и атомному надзору (территориального органа Федеральной службы по экологическому, технологическому и атомному надзору) |
Рекомендуемый образец |
|||||||||||||||||||||||||||||||||||||||||||||||
|
Предписание по результатам проверки соблюдения требований пожарной безопасности № ________ "_____" ________________ 20___ г. "__________________________" дата и время составления предписания ________________________________________________________________________ место составления
На основании Федерального закона "О пожарной безопасности" от 21 декабря 1994 года № 69-ФЗ, Федерального закона "О промышленной безопасности опасных производственных объектов" от 21 июля 1997 года № 116-ФЗ, постановления Правительства Российской Федерации "О Федеральной службе по экологическому, технологическому и атомному надзору" от 30 июля 2004 года № 401 и в соответствии с распоряжением (приказом) Федеральной службы по экологическому, технологическому и атомному надзору (территориального органа Ростехнадзора) от _________________ 20 ______ г. № _____________ "О проведении плановой (внеплановой) комплексной (целевой, оперативной) проверки соблюдения требований пожарной безопасности" в период с "____" ___________ по "____" __________ 20___ г. (дата и время проведения проверки) должностными лицами Федеральной службы по экологическому, технологическому и атомному надзору (территориального органа Ростехнадзора) в составе:
с участием:
в присутствии: ____________________________________________________________ фамилия, имя, отчество, должность представителя юридического лица ______________________________________________________ проведена плановая (внеплановая) комплексная (целевая, оперативная) проверка соблюдения требований пожарной безопасности __________________________________________ полное наименование юридического лица 1. Сведения о результатах плановой (внеплановой) комплексной (целевой, оперативной) проверки соблюдения _________________________________________________________________________ полное наименование юридического лица ______________________________________________________________ требований пожарной безопасности, в том числе о выявленных нарушениях, об их характере, о лицах, на которых возлагается ответственность за совершение этих нарушений:_______________________________________________________________ _________________________________________________________________________ _________________________________________________________________________ _________________________________________________________________________ _________________________________________________________________________ 2. В ходе проверки выявлены следующие нарушения требований пожарной безопасности:
На основании статьи 6 Федерального закона "О пожарной безопасности" от 21 декабря 1994 года № 69-ФЗ, Федерального закона "О промышленной безопасности опасных производственных объектов" от 21 июля 1997 года № 116-ФЗ и в соответствии с пунктом 6.6 Положения о Федеральной службе по экологическому, технологическому и атомному надзору, утвержденного постановлением Правительства Российской Федерации от 30 июля 2004 года № 401, руководителю (представителю) юридического лица (Ф.И.О. должность) предписывается устранить вышеуказанные нарушения в установленные для этого сроки и не позднее ______________ (дата) направить руководителю ___________________________________________________ (наименование органа, издавшего документ о проведении проверки) уведомление об исполнении предписания с приложением документов __________________________________________________________________________. К предписанию прилагаются протоколы (заключения) проведенных исследований (испытаний) и экспертиз, объяснения должностных лиц органов государственного контроля (надзора), работников, на которых возлагается ответственность за нарушения обязательных требований, другие документы или их копии, связанные с результатами мероприятия по контролю
Предписание от ______ ___________ 20___ г. № _____ составлено на _______ страницах в 2 экземплярах. Подписи должностных лиц (лица), проводивших проверку: |
||||||||||||||||||||||||||||||||||||||||||||||||
|
___________________________________________ |
________________________ |
||
|
(ФИО) |
(подпись) |
||
|
___________________________________________ |
________________________ |
||
|
(ФИО) |
(подпись) |
||
|
___________________________________________ |
________________________ |
||
|
(ФИО) |
(подпись) |
||
|
Подписи лиц, участвующих в проверке: |
|
||
|
___________________________________________ |
________________________ |
||
|
(ФИО) |
(подпись) |
||
|
___________________________________________ |
________________________ |
||
|
(ФИО) |
(подпись) |
||
|
Подписи лиц, присутствовавших при проверке: |
|
||
|
___________________________________________ |
________________________ |
||
|
(ФИО) |
(подпись) |
||
|
___________________________________________ |
________________________ |
||
|
(ФИО) |
(подпись) |
||
|
|
|
||
|
С предписанием ознакомлен, экземпляр предписания № 1 на руки получен. |
|||
|
Руководитель (представитель) юридического лица |
|||
|
_____________________________ |
_______________ |
______________________ |
|
|
(ФИО) |
(подпись) |
(дата) |
|
|
От ознакомления с предписанием Руководитель (представитель) юридического лица отказался |
|||
|
_____________________________ |
_______________ |
______________________ |
|
|
(ФИО) |
(подпись) |
(дата) |
|
к Административному
регламенту
Федеральной службы по экологическому,
технологическому и атомному надзору
по исполнению государственной функции
по контролю и надзору за соблюдением
требований пожарной безопасности
при ведении взрывных работ
утв. приказом Федеральной службы
по экологическому, технологическому
и атомному надзору от 27 марта 2012 г. № 195
Порядок возбуждения и осуществления производства по делу об административном правонарушении

к Административному
регламенту
Федеральной службы по экологическому,
технологическому и атомному надзору
по исполнению государственной функции
по контролю и надзору за соблюдением
требований пожарной безопасности
при ведении взрывных работ
утв. приказом Федеральной службы
по экологическому, технологическому
и атомному надзору от 27 марта 2012 г. № 195
Перечень должностных лиц Федеральной службы по экологическому, технологическому и атомному надзору, уполномоченных составлять протоколы об административных правонарушениях
1. В центральном аппарате Федеральной службы по экологическому, технологическому и атомному надзору:
1.1. Руководитель Федеральной службы по экологическому, технологическому и атомному надзору или лицо, исполняющее его обязанности, заместители руководителя.
1.2. Начальники управлений и их заместители, начальники отделов в составе управлений и их заместители и другие должностные лица, осуществляющие функции надзора и контроля, в пределах своей компетенции.
2. В территориальных органах Федеральной службы по экологическому, технологическому и атомному надзору:
2.1. Руководители территориальных органов и их заместители.
2.2. Начальники отделов в составе территориальных органов и их заместители, главные государственные инспекторы, государственные инспекторы и другие должностные лица, осуществляющие функции надзора и контроля, в пределах своей компетенции.
к Административному
регламенту
Федеральной службы по экологическому,
технологическому и атомному надзору
по исполнению государственной функции
по контролю и надзору за соблюдением
требований пожарной безопасности
при ведении взрывных работ
утв. приказом Федеральной службы
по экологическому, технологическому
и атомному надзору от 27 марта 2012 г. № 195
Рекомендуемый образец
Федеральная служба по экологическому, технологическому и атомному надзору
Журнал учета дел об административных правонарушениях
Начат: "____" _____________ 20_____ г.
Окончен: "_____" _____________ 20____ г.
На ______ листах *.
|
№ п/ п |
Дата регистрации № документа (указывается вид документа: протокол или определение) |
Основание привлечения к административной ответственности (указывается статья и часть статьи Кодекса Российской Федерации об административных правонарушениях) |
Кто и когда составил |
Должность, фамилия, имя, отчество лица, в отношении которого составлен протокол (наименование юридического лица) |
Наименование предприятия, объекта, на котором допущено нарушение |
Кем и когда рассмотрено административное дело, результат рассмотрения |
Номер постановления и дата его вынесения |
Дата вручения (направления) постановления |
Дата направления постановления для принудительного исполнения, куда направлено и исходящий номер |
Кем и когда исполнено постановление |
Обжалование (определение) и решение по жалобе (протесту), дата |
Кто и когда составил представление |
Кому направлено представление |
Дата получения ответа на представление |
Примечание |
|
|
|
|
|
|
|
|
|
|
|
|
|
|
|
|
|
|
|
|
|
|
|
|
|
|
|
|
|
|
|
|
|
|
|
|
|
|
|
|
|
|
|
|
|
|
|
|
|
|
|
___________________
* Листы журнала должны быть пронумерованы, прошнурованы и скреплены печатью. Журнал должен быть включен в номенклатуру дел территориального органа Ростехнадзора.