ФЕДЕРАЛЬНОЕ АГЕНТСТВО
ПО ТЕХНИЧЕСКОМУ РЕГУЛИРОВАНИЮ И МЕТРОЛОГИИ
|
|
НАЦИОНАЛЬНЫЙ |
ГОСТ Р (Руководство |
Государственная система
обеспечения
единства измерений
СТАНДАРТНЫЕ ОБРАЗЦЫ
МАТЕРИАЛОВ
(ВЕЩЕСТВ)
Общие статистические
принципы определения
метрологических характеристик
ISO Guide 35:2006
Reference materials - General and statistical principles for certification
(MOD)
|
|
Москва Стандартинформ 2012 |
Предисловие
Цели и принципы стандартизации в Российской Федерации установлены Федеральным законом от 27 декабря 2002 г. № 184-ФЗ «О техническом регулировании», а правила применения национальных стандартов Российской Федерации - ГОСТ Р 1.0-2004 «Стандартизация в Российской Федерации. Основные положения»
Сведения о стандарте
1 ПОДГОТОВЛЕН Федеральным государственным унитарным предприятием «Уральский научно-исследовательский институт метрологии» (ФГУП «УНИИМ») Федерального агентства по техническому регулированию и метрологии и Подкомитетом ПК 53.1 «Стандартные образцы» Технического комитета по стандартизации ТК 53 на основе собственного аутентичного перевода на русский язык международного документа, указанного в пункте 4
2 ВНЕСЕН Управлением метрологии Федерального агентства по техническому регулированию и метрологии
3 УТВЕРЖДЕН И ВВЕДЕН В ДЕЙСТВИЕ Приказом Федерального агентства по техническому регулированию и метрологии от 23 декабря 2010 г. № 989-ст
4 Настоящий стандарт модифицирован по отношению к международному документу Международной организации по стандартизации - Руководство ИСО 35:2006 «Референтные материалы - Общие и статистические принципы испытания» (ISO Guide 35:2006 «Reference materials - General and statistical principles for certification») путем внесения технических отклонений, объяснение которых приведено во введении к настоящему стандарту
5 В настоящем стандарте реализовано положение 9 статьи 2 Федерального закона от 26 июня 2008 г. № 102-ФЗ «Об обеспечении единства измерений»
Информация об изменениях к настоящему стандарту публикуется в ежегодно издаваемом информационном указателе «Национальные стандарты», а текст изменений и поправок - в ежемесячно издаваемых информационных указателях «Национальные стандарты». В случае пересмотра (замены) или отмены настоящего стандарта соответствующее уведомление будет опубликовано в ежемесячно издаваемом информационном указателе «Национальные стандарты». Соответствующая информация, уведомления и тексты размещаются также в информационной системе общего пользования- на официальном сайте Федерального агентства по техническому регулированию и метрологии в сети Интернет
Содержание
Введение к настоящему стандарту
Стандартные образцы (СО), предназначенные для воспроизведения, хранения и передачи величин, характеризующих состав и свойства веществ (материалов) [при поверке, калибровке, градуировке средств измерений, аттестации и контроле показателей точности методик измерений и испытаний, оценивании метрологических характеристик средств измерений и др.], должны иметь установленные метрологические характеристики, включающие в себя аттестованное значение, границу погрешности и/или расширенную неопределенность аттестованного значения СО.
Цель настоящего стандарта заключается в установлении общих и статистических принципов определения метрологических характеристик стандартных образцов, гармонизированных с соответствующими принципами, установленными руководством ИСО 35:2006 «Референтные материалы - Общие и статистические принципы испытания» (ISO Guide 35:2006 «Reference materials - General and statistical principles for certification») (далее - Руководство ИСО 35:2006) Комитета по стандартным образцам Международной организации по стандартизации (ИСО РЕМКО). С учетом терминологии, представленной в переводе на русский язык Международного словаря по метрологии - VIM-3, Руководство ИСО 35:2006 распространяется на стандартные образцы (reference materials) и аттестованные стандартные образцы (certified reference materials). В Российской Федерации для обеспечения единства измерений в соответствии с Федеральным законом № 102-ФЗ «Об обеспечении единства измерений» и ГОСТ 8.315-97 «Государственная система обеспечения единства измерений. Стандартные образцы состава и свойств веществ и материалов. Основные положения» используются стандартные образцы различных категорий. С учетом современных требований к стандартным образцам, используемым при проведении измерений, требований прослеживаемости стандартных образцов, требований к изготовителям стандартных образцов, изложенных в руководстве ИСО 34 (ISO Guide 34 «General requirements for the competence of reference material producers»), P 50.2.061-2008 «Государственная система обеспечения единства измерений. Общие критерии компетентности производителей стандартных образцов», и выполнений ими этих требований в настоящем стандарте термины «reference material» (RM), «certified reference material» (CRM), «certification» представлены соответственно как «стандартный образец» (СО), «аттестованный стандартный образец» (АСО).
Руководство ИСО 35:2006 разработано с учетом положений Руководства по выражению неопределенности в измерении Международной организации по стандартизации [«Guide to Expression of Uncertainty in Measurement» (GUM)], поэтому параметры, связанные с результатами измерений и характеризующие рассеяние значений, которые могли бы быть обоснованно приписаны измеряемой величине, представлены в терминах «неопределенности».
Настоящий стандарт модифицирован по отношению к Руководству ИСО 35:2006 путем внесения редакционных правок текста с учетом правил и норм русского языка, включения дополнительных положений и изменения его структуры. Текст стандарта оформлен в соответствии с требованиями национальной стандартизации, в частности примеры, представленные в тексте стандарта, выделены полужирным шрифтом «курсив» уменьшенного размера. Дополнительные положения, учитывающие особенности национальной стандартизации, в тексте стандарта приведены в рамках из тонких линий, а информация с объяснением причин включения этих положений приведена в примечаниях, в этих же рамках.
Ниже перечислены конкретные изменения и дополнения, которые приведены в настоящем стандарте относительно Руководства ИСО 35:2006, а также некоторые пояснения, касающиеся используемой терминологии:
- наименование стандарта изменено относительно наименования указанного международного документа для приведения его в соответствие с требованиями национальной стандартизации;
- положения стандарта распространяются на общие и статистические принципы определения метрологических характеристик стандартных образцов;
- из структурного элемента «Введение» исключен последний абзац ввиду того, что в Российской Федерации в сфере государственного регулирования обеспечения единства измерений используются только стандартные образцы утвержденных типов, имеющие установленные метрологические характеристики, представляемые в паспорте СО;
- раздел «Обозначения и сокращения» дополнен сокращением «СО - стандартный образец», «АСО - аттестованный стандартный образец»;
- в разделе «Нормативные ссылки» приведены нормативные документы, действующие и используемые в Российской Федерации, взамен некоторых нормативных документов, указанных в Руководстве ИСО 35:2006. Приложение ДА настоящего стандарта включает в себя сведения о соответствии ссылочных национальных и межгосударственных стандартов международным стандартам, использованным в качестве ссылочных в примененном международном стандарте. Руководства ИСО 32, 33 и 34 (ISO Guide 32 «Calibration in analytical chemistry and use of certified reference materials», ISO Guide 33 «Uses of certified reference materials», ISO Guide 34) Международной организации по стандартизации исключены из раздела «Нормативные ссылки» и перенесены в структурный элемент «Библиография»;
- в раздел «Термины и определения» включено положение о применении терминов, определенных действующими в Российской Федерации нормативными документами; термины «стандартный образец», «аттестованный стандартный образец», «кратковременная стабильность», «долговременная стабильность», «срок службы стандартного образца» приведены согласно Руководству ИСО 35:2006;
- в тексте стандарта (разделы 5 - 10) приведены примечания, заключенные в рамку из тонких линий, касающиеся возможности использования при определении метрологических характеристик СО алгоритмов, представленных в национальных нормативных документах: РМГ 93-2009 «Государственная система обеспечения единства измерений. Оценивание метрологических характеристик стандартных образцов», Р 50.2.031-2003 «Государственная система обеспечения единства измерений. Стандартные образцы состава и свойств веществ и материалов. Методика оценивания характеристики стабильности», РМГ 55-2002 «Государственная система обеспечения единства измерений. Стандартные образцы состава чистых органических веществ. Методы аттестации», МИ 3174-2009 «Государственная система обеспечения единства измерений. Стандартные образцы материалов (веществ). Установление прослеживав мости аттестованных значений»;
- наименование пункта 9.4.2.3 «Технические требования» исключено. Нумерация пунктов «Требуемое число результатов измерений», «Число единиц (экземпляров) и повторных измерений», «Методы измерений», «Представление результатов измерений» изменена на состоящую из четырех цифр в соответствии с требованиями ГОСТ Р 1.5-2004 «Стандартизация в Российской Федерации. Стандарты национальные Российской Федерации. Правила построения, изложения, оформления и обозначения»;
- структурный элемент «Библиография» дополнен Руководствами ИСО 31 (ISO Guide 31 «Reference materials - Contents of certificates and labels»), ИСО 33, ИСО 34 Международной организации по стандартизации и нормативными документами, действующими в Российской Федерации, регламентирующими требования к определению метрологических характеристик стандартных образцов (Р 50.2.061-2008, РМГ 93-2009, Р 50.2.031-2003, РМГ 55-2002, МИ 3174-2009), а также документом, регламентирующим требования к отчету по разработке стандартного образца (МИ 3112-2008 «Государственная система обеспечения единства измерений. Стандартные образцы материалов (веществ). Содержание и оформление отчета о разработке»);
- из структурного элемента «Библиография» и из текста исключены некоторые ссылки на публикации в зарубежных изданиях, носящие рекомендательный характер, но недоступные для пользователей стандарта и не принятые для применения в Российской Федерации;
- слова, фразы, включенные в текст стандарта для учета особенностей российской национальной стандартизации, выделены шрифтом «курсив»;
- введен раздел 11 «Сличение стандартных образцов». Включение этого раздела обусловлено положениями действующих в качестве национальных рекомендаций МИ 3257-2009 и РМГ 56-2002, относящихся к сличениям стандартных образцов, которые могут быть проведены в процессе или после проведения работ по определению метрологических характеристик стандартных образцов;
- структура настоящего стандарта незначительно изменена по отношению к Руководству ИСО 35:2006. Сопоставление структур настоящего стандарта и указанного международного документа приведено в приложении ДБ.
Введение
Производство и аттестация стандартных образцов (СО) - это основные виды деятельности по улучшению и поддержанию всемирной системы измерений. В соответствии с Руководствами ИСО 32 (ISO Guide 32 «Calibration in analytical chemistry and use of certified reference materials»), 33 (ISO Guide 33 «Uses of certified reference materials») аттестованные стандартные образцы используются для градуировки средств измерений, для контроля точности результатов измерений, для аттестации методик (методов) измерений, а также для приписывания значений другим материалам, которые, в свою очередь, могут быть приняты в качестве аттестованных стандартных образцов (далее-АСО). АСО используются для установления прослеживаемости к опорным значениям, описываемым шкалами порядковых величин (например, шкалой октанового числа), и к значениям условных опорных шкал. Чистые вещества в виде СО используются для поддержания международной температурной шкалы.
Для изготовителей аттестованных стандартных образцов подготовлены Руководства ИСО [Руководства ИСО 31, 32, 33, а также 34 (ISO Guide 34 «General requirements for the competence of reference material producers»)], которые помогают при производстве и аттестации стандартных образцов, обеспечивая, таким образом, качество произведенных АСО. В Руководстве ИСО 34 установлены требования, которым должна удовлетворять система менеджмента качества изготовителя АСО, тогда как в настоящем стандарте даны разъяснения о том, как реализовать эти требования. На достаточно общем уровне настоящий стандарт предлагает модели определения однородности, стабильности СО, определения значений аттестуемой характеристики АСО. Руководство ИСО 31 описывает формат и содержание сопроводительного документа аттестованного стандартного образца.
Настоящий стандарт в определенной степени представляет собой интерпретацию Руководства по выражению неопределенности в измерении Международной организации по стандартизации «Guide to Expression of Uncertainty in Measurement» (GUM) в отношении особенностей производства АСО. В тех случаях, где возможно, в настоящем стандарте даны ссылки на GUM, так как в последнем представлено подробное описание оценки неопределенности результата измерений. Настоящий стандарт служит дополнением GUM в части предоставления рекомендаций по включению неопределенностей, обусловленных неоднородностью и нестабильностью аттестованного стандартного образца, в неопределенность аттестованного значения АСО и по оцениванию вклада этих составляющих в бюджет неопределенности.
Настоящий стандарт разработан в целях оптимизации этапов производства стандартных образцов, однако применение положений стандарта без тщательного анализа может стать причиной неправильного установления аттестованных значений АСО и их неопределенностей. Пользователь настоящего стандарта должен учитывать, что этот документ не может заменить критическое мышление и профессиональное мастерство. Качество АСО зависит, в равной степени, как от выполнения представленных рекомендаций, так и от использования подходящих процедур и методов измерений.
Для выполнения конкретных задач по аттестации СО требуются исследование материала стандартного образца, изучение методов измерений, используемых при определении однородности, стабильности, аттестованного значения СО, а также знание статистических приемов, необходимых для правильной обработки и интерпретации экспериментальных данных. Соединение этих необходимых составляющих придает процессу производства и аттестации СО достаточную сложность. Наибольшие затруднения может вызвать сочетание знаний, необходимых для успешного выполнения поставленных задач.
Значительная часть положений настоящего стандарта может быть применена при производстве СО. Такие требования, как прослеживаемость аттестованного значения, необходимость полной оценки неопределенности измерений, относятся к большинству СО, что позволяет использовать их в качестве мер для калибровки, градуировки или средств для контроля показателей точности методик измерений, или для приписывания значения другому материалу.
ГОСТ Р 8.694 - 2010 (Руководство ИСО 35:2006)
НАЦИОНАЛЬНЫЙ СТАНДАРТ РОССИЙСКОЙ ФЕДЕРАЦИИ
Государственная система обеспечения единства измерений
СТАНДАРТНЫЕ ОБРАЗЦЫ МАТЕРИАЛОВ (ВЕЩЕСТВ)
Общие статистические принципы определения
метрологических характеристик
State system for ensuring the
uniformity of measurements.
Standard reference materials (substances).
General statistical principles of determination of metrological characteristics
Дата введения - 2012 - 07 - 01
Настоящий стандарт устанавливает общие и статистические принципы разработки и определения метрологических характеристик стандартных образцов (СО). Положения настоящего стандарта способствуют пониманию и развитию методов оценивания аттестованных значений СО, их неопределенностей, установлению метрологической прослеживаемости СО.
Стандартные образцы, метрологические характеристики которых определены в соответствии с настоящим стандартом, сопровождаемые паспортом СО, являются аттестованными стандартными образцами (АСО). Настоящий стандарт описывает принципы определения метрологических характеристик АСО, обеспечивающих сравнимость, точность результатов измерений, метрологическую прослеживаемость результатов измерений к национальным или международным эталонам или установленным опорным значениям.
Примечания
1 Для получения сравнимых результатов измерений в разных лабораториях, в разный период времени необходимо обеспечить прослеживаемость измерений к соответствующей единице Международной системы единиц (СИ) или установленному опорному значению в соответствии с [1]. Аттестованные стандартные образцы играют ключевую роль при внедрении концепции прослеживаемости результатов измерений в сферы деятельности, связанные с изучением состава и свойств веществ и материалов. В лабораториях АСО используют в качестве легкодоступных эталонов для установления прослеживаемости к национальным или международным эталонам. Прослеживаемость аттестованных значений АСО к единицам СИ или к другим согласованным международным единицам устанавливают при проведении работ по определению метрологических характеристик АСО.
2 Изготовители АСО, осуществляющие определение метрологических характеристик АСО, должны соответствовать требованиям, изложенным в международном стандарте [2] и рекомендациях [3].
Настоящий стандарт описывает общие принципы способов определения аттестованных значений СО, прослеживаемых к принятым опорным значениям, охватывая материалы (матрицы) различных видов (от газовых смесей до биологических материалов) и различных свойств (от химического состава до физических и иммунологических свойств). Наряду с применением общих подходов, описанных в настоящем стандарте, при выборе процедур изготовления и определения метрологических характеристик СО в каждом конкретном случае следует учитывать особенности материала.
Описанные в настоящем стандарте статистические методы предполагают нормальное распределение результатов измерений. В случае если распределение результатов измерений отличается от нормального, предпочтение должно быть отдано другим статистическим методам их обработки с целью получить достоверную оценку аттестованных значений СО и связанных с ними неопределенностей.
В настоящем стандарте использованы нормативные ссылки на следующие стандарты:
ГОСТ Р 8.691 -2010 Государственная система обеспечения единства измерений. Стандартные образцы материалов (веществ). Содержание паспортов и этикеток
ГОСТ Р 50779.10-2000 Статистические методы. Вероятность и основы статистики. Термины и определения
ГОСТ Р ИСО 5725-1 -2002 Точность (правильность и прецизионность) методов и результатов измерений. Часть 1. Основные положения и определения
ГОСТ Р ИСО 5725-2-2002 Точность (правильность и прецизионность) методов и результатов измерений. Часть 2. Основной метод определения повторяемости и воспроизводимости стандартного метода измерений
ГОСТ Р ИСО 5725-3-2002 Точность (правильность и прецизионность) методов и результатов измерений. Часть 3. Промежуточные показатели прецизионности стандартного метода измерений
ГОСТ Р ИСО 5725-4-2002 Точность (правильность и прецизионность) методов и результатов измерений. Часть 4. Основные методы определения правильности стандартного метода измерений
ГОСТ 8.315-97 Государственная система обеспечения единства измерений. Стандартные образцы состава и свойств веществ и материалов. Основные положения
ГОСТ 8.531-2002 Государственная система обеспечения единства измерений. Стандартные образцы состава монолитных и дисперсных материалов. Способы оценивания однородности
Примечание - При пользовании настоящим стандартом целесообразно проверить действие ссылочных стандартов по ежегодно издаваемому информационному указателю, составленному на 1 января текущего года, и по соответствующим ежемесячно издаваемым информационным указателям, опубликованным в текущем году. Если ссылочный стандарт заменен (изменен), то при пользовании настоящим стандартом следует руководствоваться заменяющим (измененным) стандартом. Если ссылочный стандарт отменен без замены, то положение, в котором дана ссылка на него, применяется в части, не затрагивающей эту ссылку.
В настоящем стандарте применены термины, определенные в ГОСТ Р 50779.10, ГОСТ Р ИСО 5725-1, ГОСТ Р ИСО 5725-4, рекомендациях [4], а также следующие термины с соответствующими определениями:
3.1 стандартный образец: Образец материала (вещества), достаточно однородный и стабильный по отношению к одному или нескольким определенным свойствам, которые были установлены, чтобы он был пригодным для предполагаемого использования в измерительном процессе.
Примечания
1 Стандартный образец - это родовое понятие.
2 Свойства могут быть количественными или качественными (например, идентичность веществ или образцов).
3 Стандартные образцы используют для градуировки средств измерений, при разработке методик измерений, для установления значений свойств других материалов.
3.2 аттестованный стандартный образец: Стандартный образец, одно или несколько свойств которого установлены метрологически обоснованными процедурами, сопровождаемый паспортом СО, в котором приведены значения этих свойств с указанием их неопределенности и утверждение о метрологической прослеживаемости.
Примечания
1 Понятие «значение» может включать в себя и качественные характеристики.
2 Требования к метрологически обоснованным процедурам, используемым при производстве и определении метрологических характеристик СО, приведены в международном стандарте [2], рекомендациях [3] и в настоящем стандарте.
3 Национальный стандарт ГОСТ Р 8.691 устанавливает содержание паспорта АСО.
4 Производство АСО проводят организации, соответствующие требованиям международного стандарта [2] и/или рекомендациям [3].
3.3 кратковременная стабильность: Стабильность значения аттестуемой характеристики стандартного образца во время его транспортирования в установленных условиях перевозки.
3.4 долговременная стабильность: Стабильность значения аттестуемой характеристики стандартного образца в установленных условиях хранения.
3.5 срок службы стандартного образца; срок службы СО: Интервал времени, в течение которого экземпляр стандартного образца может быть использован.
Примечания
1 Срок службы СО - это интервал времени, исчисляемый с момента вскрытия экземпляра стандартного образца, в течение которого СО может быть использован по назначению.
2 Примечание 1 введено из-за необходимости пояснения термина «срок службы СО» вследствие его отсутствия в других национальных стандартах Российской Федерации, освещающих вопросы разработки, определения метрологических характеристик стандартных образцов.
В настоящем стандарте применены следующие сокращения и обозначения:
СО - стандартный образец;
АСО - аттестованный стандартный образец;
Ai - оценка смещения (дисперсионный анализ1));
1) В Руководстве ИСО 35:2006 дисперсионный анализ обозначен ANOVA.
А - число групп (дисперсионный анализ);
Вi - оценка смещения (дисперсионный анализ);
b - число подгрупп (дисперсионный анализ);
e - оценка погрешности (дисперсионный анализ2));
2) В тексте настоящего стандарта термин «погрешность» используется в строго статистическом значении, т. е. как разность между измеренным значением величины и его действительным или принятым опорным значением.
eij - оценка погрешности измерения;
k - коэффициент охвата;
MS - средний квадрат (дисперсионный анализ);
SS - сумма квадратов (дисперсионный анализ);
F - F-критерий;
n - число результатов измерений;
р - число лабораторий в межлабораторном эксперименте;
п0 - (эффективное) число элементов (под)групп [дисперсионный анализ);
s - стандартное отклонение;
sbb - стандартное отклонение, обусловленное неоднородностью между экземплярами;
- стандартное отклонение
результатов измерений, полученных в условиях промежуточной прецизионности;
Slts - стандартное отклонение, обусловленное долговременной нестабильностью;
Sr - стандартное отклонение повторяемости;
Sstab - стандартное отклонение, обусловленное нестабильностью;
Ssts - стандартное отклонение, обусловленное кратковременной нестабильностью;
Swb - стандартное отклонение, обусловленное неоднородностью внутри экземпляра;
ubb - стандартная неопределенность, обусловленная неоднородностью между экземплярами;
uchar - стандартная неопределенность, обусловленная способом определения аттестованного значения;
uCRM - стандартная неопределенность аттестованного значения;
ults - стандартная неопределенность, обусловленная долговременной нестабильностью;
usts - стандартная неопределенность, обусловленная кратковременной нестабильностью;
UCRM - расширенная неопределенность аттестованного значения;
xchar -значение аттестуемой характеристики;
xCRM -аттестованное значение АСО;
xmeas - измеренное значение аттестуемой характеристики;
umeas - неопределенность результата измерений;
хij - результат отдельного измерения в эксперименте (дисперсионный анализ);
dxbb - погрешность, обусловленная неоднородностью между экземплярами;
dxits - погрешность, обусловленная долговременной нестабильностью;
dxsts -погрешность, обусловленная кратковременной нестабильностью;
m - среднее значение совокупности (математическое ожидание);
MSamong - дисперсия, обусловленная результатами измерений величины в различных экземплярах образца;
MSwithin - дисперсия, обусловленная результатами измерений величины в одном экземпляре образца;
- квадрат стандартного
отклонения результатов измерений величины в одном экземпляре образца;
b0 - коэффициент регрессии;
b1 - коэффициент регрессии;
s(b1) - стандартное отклонение коэффициента Ь,;
MSreg - среднее значение квадрата вследствие регрессии;
X - время;
u(Y0) - неопределенность первоначального значения аттестуемой характеристики;
Y0 - значение аттестуемой характеристики в начальный момент времени;
Y - значение аттестуемой характеристики в текущий момент времени;
b' - скорость изменения значений аттестуемой характеристики;
vMswithin - число степеней свободы дисперсии MSwithin;
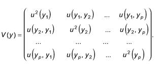
V(y) - ковариационная матрица;
u(Х) - неопределенность измерения времени;
c2 - критерий аппроксимации;
q - число исследуемых проб;
w - весовой коэффициент;
Р - доверительная вероятность.
Примечание - В некоторых разделах используются дополнительные обозначения величин, иллюстрирующие типичные подходы для решения статистических задач.
Перед началом проведения работ, связанных с производством и определением метрологических характеристик СО, необходимо составить план эксперимента. Основная часть планирования экспериментальных работ заключается в установлении требуемого количества исходного материала СО, а также в выборе способов, методик (методов) измерений, используемых при определении однородности, стабильности, значений аттестуемой характеристики материала СО. Выбор числа отбираемых проб особенно важен при планировании работ. Число проб и количество исходного материала зависят от различных факторов. В разделах об исследовании однородности (раздел 7), стабильности (раздел 8), установлении значений свойств и неопределенности результатов измерений (разделы 9 и 10) даны рекомендации по планированию и проведению работ по определению метрологических характеристик СО.
Примечание - Исследование возможности выполнения тех или иных запланированных работ может быть включено в состав плана эксперимента.
Подготовка программ разработки и определения метрологических характеристик СО начинается с определения того, какой АСО должен быть произведен.
Пример - «Предусмотрено производство аттестованного стандартного образца состава почвы, со следующими нормированными метрологическими характеристиками: допускаемым диапазоном аттестованных значений массовой концентрации элементов от... до... г/см3 и допускаемым относительным значением неопределенности аттестованных значений менее или равным z %. Разрабатываемый СО предназначен для метрологического обеспечения методик (методов) измерений массовой концентрации элементов в почве... методом......
Примечания
1 Программа разработки СО может быть представлена в виде технического задания на разработку СО с учетом положений ГОСТ 8.315, программа определения метрологических характеристик СО может быть оформлена с учетом положений, изложенных в настоящем стандарте и рекомендациях [5].
2 Введение примечания 1 обусловлено рекомендациями нормативных документов ГОСТ 8.315 и [5], действующих в Российской Федерации, в части требований к оформлению технического задания на разработку СО и программы определения метрологических характеристик СО.
Формулировка задачи работ должна охватывать цель программ разработки и определения метрологических характеристик СО. При подготовке программы разработки необходимо указать, какой именно СО и какой конкретной матрицы предполагается разрабатывать.
В разрабатываемой программе определения метрологических характеристик СО подготовка к проведению работ должна быть подробно изложена. Нормирование неопределенности аттестованного значения СО должно свидетельствовать о том, что СО будет соответствовать своему назначению.
Неопределенность значений величин, воспроизводимых эталонами или другими АСО, используемыми в экспериментальных работах, должна быть значительно меньше, чем неопределенность аттестованных значений создаваемого СО.
Правильный выбор опорных значений, к которым будет установлена прослеживаемая связь аттестованных значений АСО, считают основополагающим при разработке программы определения метрологических характеристик СО. Выбор в большой степени зависит от доступности опорных значений и возможности лабораторий выполнять необходимые измерения. В связи с тем, что АСО используются преимущественно для обеспечения прослеживаемости последующих измерений, выбор опорных значений, обеспечивающих в дальнейшем прослеживаемость аттестованных значений АСО, является решающим как в метрологическом, так и в коммерческом отношении.
Следует установить область, в которой планируется применять АСО. В большинстве случаев цели и задачи разработки СО определяют область применения СО, но иногда необходимы дополнительные уточнения. Область применения СО, указываемая в паспорте СО, не исключает другие сферы его применения. Область применения СО может быть регламентирована законодательными, нормативно-правовыми актами, национальными, отраслевыми стандартами, стандартами предприятий.
Примечания
1 Возможность применения СО по назначению, не указанному в паспорте СО, должна быть подтверждена дополнительным экспериментом.
2 Введение примечания 1 обусловлено необходимостью пояснения возможности применения СО по назначению, не указанному в паспорте СО.
Перед началом экспериментальных работ необходимо установить возможность перевозки планируемых к изготовлению АСО согласно действующим правилам. Многие АСО представляют опасность для здоровья человека при непосредственном воздействии материала. Правильный выбор и применение надлежащей упаковки и соответствующей маркировки - одни из главных требований при транспортировании потенциально опасной продукции. Необходимо соблюдение условий и правил транспортирования опасных материалов, которые установлены соответствующими документами. Перед реализацией программ разработки и определения метрологических характеристик СО должен быть проведен всесторонний анализ требований к транспортированию и упаковке материала создаваемого АСО.
Первоочередная задача разработки и аттестации СО заключается в установлении необходимого количества исходного(ых) материала(ов), из которого(ых) будет изготовлен (А)СО с требуемыми свойствами. Следует учитывать, что для матричных материалов могут существовать ограничения, связанные со свойствами этих материалов. Некоторые комбинации «материал-свойство» очень редкие или могут быть редкими в сочетании с другими свойствами, что требует поиска компромиссных решений. В некоторых случаях может быть использован метод смешивания и/или добавок.
Количество необходимого материала определяется следующим:
- числом экземпляров разрабатываемого (А)СО;
-числом проб, необходимых для исследования однородности;
-числом проб, необходимых для исследования стабильности;
- числом проб, необходимых для установления значения аттестуемой характеристики материала АСО;
- числом проб, необходимых для исследования возможности выполнения программ разработки и определения метрологических характеристик СО;
- количеством материала, необходимого для одного измерения.
Необходимое количество исходного материала АСО - это коммерческий фактор, который должен быть заранее спланирован. Важно определить количество экземпляров или комплектов АСО, которые пред-полагается реализовать в течение срока годности АСО. В связи с тем, что срок годности СО зависит от стабильности материала, этот параметр также влияет на количество необходимого исходного материала.
Пример - Микробиологическим материалам свойственна ограниченная стабильность, поэтому их срок годности короче, чем у горных пород. Для равного количества экземпляров СО, которое предполагается реализовать за год, количество экземпляров СО микробиологического материала будет меньше, чем количество экземпляров СО горных пород. Для определения метрологических характеристик СО микробиологических материалов потребуется большее число проб, необходимых для проверки стабильности в первый(ые) год(ы) и/или в течение всего срока годности СО.
Исследование возможности выполнения программ разработки и определения метрологических характеристике проводят в тех случаях, когда возникают сомнения в получении достаточно однородного и стабильного АСО. Для выбора наилучшего способа приготовления материала СО, выбора стабильного материала или определения пригодности его для достижения поставленной цели необходимо включение в программу определения метрологических характеристик СО исследований, связанных с возможностью выполнения всех запланированных работ.
Исследование возможности выполнения программ проводят в целях предоставления возможности лабораториям, участвующим в работах по определению значений аттестуемых характеристик материала АСО, проверить свои средства измерений, оборудование, отработать методики (методы) измерений. Для таких исследований рекомендуется иметь партию материала, не отличающегося или незначительно отличающегося по свойствам или составу от исходного материала АСО.
Предполагаемый срок службы и срок годности АСО относятся к важным параметрам, которые необходимо учитывать при планировании работ по определению метрологических характеристик СО. Для увеличения срока службы и/или срока годности АСО должны быть приняты меры, учитывающие природу факторов, влияющих на стабильность материала.
Примеры
1 Чрезмерное высушивание или слишком высокая влажность могут дестабилизировать материал. Во многих случаях влажность играет ключевую роль в механизмах, ведущих к нестабильности матрицы и ее параметров.
2 Для прекращения бактериальной активности в СО биологических материалов может быть предусмотрена стерилизация или пастеризация материала. Однако следует учитывать, что эти меры могут негативно влиять на свойства материала.
3 Введение различных добавок во время приготовления растворов может увеличить срок службы и/или срок годности СО.
Предварительная информация о стабильности и условиях хранения материала СО может быть получена из литературных источников.
Срок годности СО зависит от условий хранения, тщательности исследования стабильности СО, объективности выбора влияющих факторов и полученных оценок (см. 8.5).
В настоящем подразделе даны общие, но не исчерпывающие рекомендации, касающиеся приготовления материалов СО. Представлены наиболее часто встречающиеся положения, требующие тщательного предварительного рассмотрения перед реализацией методики приготовления СО, определения метрологических характеристик СО.
Синтетические материалы, такие как чистые вещества, растворы и газовые смеси, готовят способом, отличным от приготовления большинства матричных материалов. При создании материалов на основе веществ высокой чистоты для уменьшения содержания примесей могут быть использованы дополнительные методы очистки. Выбор этих методов зависит от основного, представляющего интерес компонента. Методы очистки включают в себя дистилляцию, перегонку и/или перекристаллизацию. После очистки исходного материала СО партию АСО готовят с учетом рекомендаций, описанных в 5.7 - 5.9.
Примечания
1 Многие растворы и газовые смеси готовят с использованием метода гравиметрии, для которого легко может быть установлен бюджет неопределенности. Степень чистоты исходных материалов и неопределенность ее оценки входят в модель расчета значений величин, характеризующих состав материала СО, и их неопределенности.
2 При приготовлении материала СО может быть использован волюмометрический метод, относительно простой в реализации, но, как правило, характеризующийся более высокой неопределенностью, чем гравиметрический метод.
Способ приготовления материала СО путем смешивания двух или более матриц применяют в том случае, если предполагают, что значение величины, устанавливаемое при аттестации СО, будет относительно высоким или низким. Этот процесс лучше всего осуществлять с применением матриц аналогичных видов.
При смешивании материалы должны находиться в таком состоянии, чтобы отсутствовали агломераты частиц. Поскольку влага в смешиваемых материалах служит основным фактором агломерации, сушка материалов на воздухе, как правило (но не всегда), приводит к исчезновению агломератов при смешивании.
Необходимо учитывать, что в ряде случаев агломераты могут не исчезнуть при смешивании и некоторый уровень агломерации частиц может быть неизбежен.
Пример - В соевом порошке агломераты сохраняются при содержании влаги менее 2 %.
Следующее требование к надлежащему смешиванию исходных материалов состоит в том, чтобы плотность смешиваемых образцов и распределение размера их частиц были подобными. Это существенно уменьшит опасность сегрегации. Использование подходящей технологии, правильное применение методов уменьшения размеров частиц и смешивания позволят получить партию достаточно однородного и стабильного материала.
Рекомендуется проводить исследование однородности нескольких порций смешанного материала относительно устанавливаемых при аттестации величин, характеризующих состав или свойство.
Примечание - Для получения сведений об однородности материала СО исследование допускается проводить, используя небольшое количество порций. Считают, что результаты измерений определяемой величины в 10 пробах могут быть достаточными для принятия решения о пригодности смешанного материала для дальнейших исследований.
В некоторых случаях метод введения добавок рассматривают как один из наиболее подходящих при изготовлении материала СО.
Пример - Метод введения добавок может быть применен при изготовлении АСО состава:
- полихлорированных бифенилов в свином жире, материал которых при повышенных температурах представляет собой жидкость;
- растворов, металлов и сплавов, масел;
- газовых смесей и др.
Особенность применения метода введения добавок состоит в необходимости достижения достаточной однородности и стабильности материала АСО. Правильное использование метода введения добавок позволяет получить материал, отвечающий требованиям однородности и стабильности даже для твердых материалов.
Одним из способов реализации метода введения добавок при использовании твердых материалов может быть применение метода «начального смачивания», заключающегося в том, что добавляемый компонент растворяют в необходимом количестве растворителя, достаточном для полного смачивания поверхности твердого материала. Растворитель должен быть выбран таким образом, чтобы можно было контролировать его испарение.
Примечания
1 Если скорость испарения слишком высока, добавка снова может выделиться из пор и образовать скопления. В этом случае связь добавки с поверхностью не будет достаточной, что может влиять на стабильность и однородность материала.
2 Слишком малые скорости испарения могут привести к миграции других компонентов, присутствующих в матрице, и даже к их потере.
Для ряда групп матричных АСО применение метода введения добавок считают неподходящим способом получения материала с требуемыми значениями характеристик, поскольку это может стать причиной получения материала АСО, отличающегося от материала реальной пробы.
Примечание - Могут возникнуть различия в составе материалов, т е. соединения, встречающиеся в природе и введенные в качестве добавки, могут быть различными, что будет влиять на их способность, например, к экстракции.
Необходимо контролировать эквивалентность добавляемого материала к природным (загрязненным) материалам (при условии, если не поставлена специальная иная задача) в целях создания представительного материала АСО по отношению к реальным пробам.
Выбранный исходный материал, как правило, подвергают нескольким этапам подготовки при изготовления материала СО. Этапы изготовления материала СО могут включать в себя сушку, измельчение, просеивание, консервацию, разделение и/или фасовку. При планировании работ по созданию СО должны быть заранее выбраны агрегатное состояние, состав (свойства) исследуемого материала.
Материал СО, в ряде случаев, может представлять собой экстракт какого-либо компонента, выделенного из исследуемой матрицы. Однако предпочтительнее, чтобы процедура приготовления материала СО позволяла сохранять матрицу исходного материала, несмотря на то что в результате этого процесса неоднородность материала может быть уменьшена, а стабильность - увеличена.
Примечание - Поставка стандартного образца, материал которого представляет собой экстракт, не позволит проверить правильность проведения процедуры экстракции в лаборатории потребителя.
Выбор способа приготовления материала проводят с учетом требований к аттестованному значению, неопределенности аттестованного значения АСО, к сроку службы, сроку годности АСО, к способу применения АСО.
При выполнении программы определения метрологических характеристик СО необходимо провести исследование однородности с целью продемонстрировать достаточную однородность материала СО между экземплярами в партии. Оценка неопределенности, обусловленной изменением состава (свойств) между экземплярами СО в партии, позволяет установить составляющую часть неопределенности аттестованного значения АСО.
В случае если материал однородный (например, раствор), определение межэкземплярной неоднородности также необходимо. При исследовании твердых материалов СО, включая суспензии и осадки, необходимо предусмотреть исследование внутрэкземплярной неоднородности для определения наименьшей представительной пробы.
Число проб необходимых, для определения однородности, зависит, преимущественно, от числа проб, необходимых при исследовании однородности между экземплярами СО. Минимальное число произвольно отбираемых экземпляров СО, как правило, варьируемое от 10 до 30, не должно быть менее 10.
При определении оптимального числа проб для исследования однородности рекомендуются использовать статистически обоснованные методы, учитывающие влияние неопределенности, обусловленной измерениями. Число отбираемых проб зависит от объема партии, выбранные экземпляры должны быть представительными по отношению ко всей партии материала АСО. При выполнении этого требования необходимо учитывать неопределенность измерений, являющуюся (в условиях повторяемости) функцией стандартного отклонения повторяемости и числа параллельных измерений.
В ГОСТ 8.531, [4] приведены конкретные рекомендации по планированию и проведению работ по исследованию однородности материала СО.
Примечание - Введение положения обусловлено требованиями национальных нормативных документов ГОСТ 8.531 и рекомендаций [4] в части исследования однородности СО.
Исследование стабильности проводят в целях подтверждения стабильности материала СО или оценки степени его нестабильности после приготовления. Достаточно стабильные материалы могут обладать нестабильностью по отношению к одному или нескольким аттестованным значениям СО.
Стабильность материала АСО может различаться в условиях:
- хранения (долговременная стабильность);
- транспортирования (кратковременная стабильность).
Долговременная стабильность определяет степень остаточной нестабильности аттестованного значения АСО при заданных условиях хранения. Необходимо установить данные условия и провести исследование устойчивости стабильности материала в этих условиях. Исходная температура должна быть выбрана таким образом (если это возможно), чтобы значение аттестуемой характеристики материала СО не изменялось, т е. материал АСО сохранял свою стабильность.
Примечание - Многие биологические и природные материалы проявляют определенную степень нестабильности, несмотря на старания определить (установить) оптимальные условия хранения.
Условия транспортирования следует выбирать таким образом, чтобы изменение значения аттестованной характеристики материала АСО во время транспортирования не превышало изменения значения аттестованной характеристики АСО в условиях хранения у изготовителя. В тех случаях, когда условия транспортирования АСО (например, от изготовителя потребителю) влияют на стабильность материала больше, чем условия хранения, неопределенность, обусловленная кратковременной нестабильностью, должна быть составляющей неопределенности аттестованного значения АСО.
В ходе экспериментальных работ требуется провести исследование кратковременной стабильности СО при различных температурах с целью изучить влияние температуры на свойства материала СО.
Примечание - Необходимость исследования определяется тем, что во время транспортирования температура материала может изменяться от минус 50 °С до плюс 70 °С, что, в свою очередь, может изменять состав, свойства материала, изменять значения метрологических характеристик АСО.
По результатам исследований должны быть установлены условия транспортирования СО, разработана инструкция по упаковке материала СО. Исследование кратковременной стабильности, как правило, занимает 1 - 2 мес, но этот срок может быть продлен при одновременном установлении оптимальных условий хранения.
Исследование стабильности требует значительного количества экземпляров материала СО. Для каждого отдельного эксперимента необходимо иметь более одного экземпляра. В связи с тем, что исследования долговременной стабильности продолжаются, как правило, 24 - 36 мес и включают в себя 5 - 6 экспериментов, то для измерений при каждой температуре требуется не менее 10 - 12 экземпляров. Если планом эксперимента предусмотрены исследования при различных температурах, то число экземпляров должно быть увеличено соответственно. Для исследования кратковременной стабильности используют 3 - 5 отдельных экспериментов в течение двух недель.
При исследовании кратковременной стабильности в условиях фиксированной температуры необходимое число экземпляров составляет 6 - 10. При исследовании кратковременной стабильности в условиях различных температур необходимое число экземпляров должно быть соответственно увеличено.
Примечание - При выборе числа экземпляров, требующихся для исследования стабильности, необходимо учитывать неоднородность материала. Если материал неоднороден, то необходимо выполнять отдельные измерения с использованием нескольких экземпляров, а не проводить повторные измерения на малом числе экземпляров.
При определении стабильности СО предпочтительно работать в условиях повторяемости. В противном случае стандартная неопределенность, обусловленная нестабильностью, будет излишне увеличена из-за влияния условий промежуточной прецизионности.
Исследования в условиях повторяемости могут быть проведены при использовании изохронного плана эксперимента. Метод предусматривает хранение всех проб в условиях температур, при которых изменение значения аттестуемой характеристики материала СО минимально или отсутствует. Пробы находятся при выбранной температуре до тех пор, пока величина, характеризующая состав или свойство, во всех пробах не будет измерена. Время каждого эксперимента определяется временем, прошедшим с момента помещения экземпляров в условия выбранной температуры, до момента, когда интересующая величина, характеризующая состав или свойство, всех экземпляров будет измерена.
Для классического плана эксперимента (8.2) следует выбрать методику измерений с низким значением стандартного отклонения промежуточной прецизионности.
Примечания
1 Поскольку достигнуть высокой воспроизводимости результата измерений по выбранной методике измерений сложнее, чем высокой повторяемости, предпочтительнее использовать изохронный план эксперимента.
2 Неопределенность результатов измерений при использовании классического плана эксперимента всегда будет больше, чем неопределенность результатов измерений при использовании изохронного плана. Это означает, что срок годности СО, который может быть установлен при изохронном исследовании стабильности, будет длиннее, чем срок годности СО, установленный при исследовании стабильности с использованием классического плана.
3 Экспериментальный план исследования стабильности, включая определение оптимального числа отдельных экспериментов и числа отбираемых проб, может быть основан на статистической модели. В связи с тем, что в большинстве исследований стабильности используют эмпирическую модель, число отдельных экспериментов должно быть достаточно велико, чтобы можно было оценить применимость модели. Например, для линейной модели требуется не менее трех-четырех точек (моментов времени), но чаще - больше, чтобы получить более точную оценку. Для моделей с большим числом параметров число экспериментов (отсчетов) должно быть увеличено соответственно.
В [4], [6] приведены конкретные рекомендации к планированию и проведению работ по оцениванию стабильности материала СО.
Примечание - Включение положения обусловлено требованиями национальных нормативных документов - рекомендаций [4], [6] в части исследования стабильности СО.
Методика измерений, используемая при определении однородности, должна иметь достаточные повторяемость и селективность.
Методика измерений, используемая при определении стабильности, предусматривающая проведение измерений в разные дни, должна иметь достаточную селективность и относительно низкое значение стандартного отклонения промежуточной прецизионности.
Методики измерений, используемые при определении стабильности, однородности, значения аттестуемой характеристики СО, могут быть различными. Установленная прослеживаемость результатов измерений при оценивании однородности, стабильности, определении значений аттестуемой характеристики материала СО к общему опорному значению позволит избежать многих затруднений. Таким опорным значением может быть АСО с установленной прослеживаемостью, пригодный для калибровки, поверки, градуировки средств измерений и контроля точности результатов измерений, полученных при выполнении различных методик измерений. Обеспечение прослеживаемости результатов измерений при определении значений аттестуемой характеристики материала СО является важным требованием.
При определении значения аттестуемой характеристики СО, особенно реальных матриц, предпочтительно использовать различные методики измерений и привлекать разные лаборатории. Результаты измерений, полученные по различным методикам измерений или различными лабораториями, должны быть прослеживаемы к опорным значениям, выбранным при планировании эксперимента.
Определение значения аттестуемой характеристики может быть выполнено:
a) с использованием одной методики измерений;
b) с использованием различных методик измерений и/или различных лабораторий.
Подход b) относится к экспериментальной модели, известной как межлабораторный способ определения аттестованного значения (далее - межлабораторный эксперимент). Способ предусматривает взаимодействие координатора и участников межлабораторного эксперимента. Методики измерений, используемые при межлабораторном эксперименте, должны иметь прослеживаемую связь к установленному опорному значению, предпочтительно к единице СИ.
Примечание - Задача установления прослеживаемости результатов измерений выходит далеко за рамки измерений, она затрагивает и процедуру пробоподготовки образца. Процедура пробоподготовки может включать в себя изменение физического состояния, химического состава исследуемого материала, например разложение материала, экстрагирование веществ, подлежащих определению.
Требования к измерениям, проводимым при определении однородности, стабильности, значения аттестуемой характеристики, могут быть объединены при оценивании аттестованного значения АСО и стандартной неопределенности аттестованного значения. Полученные результаты измерений должны относиться к одной и той же «шкале», все измерения должны быть выполнены с использованием поверенных (калиброванных) и (при необходимости) градуированных средств измерений. При привлечении дополнительных лабораторий использование определенного типа АСО или СО позволило бы подтвердить согласованность между результатами измерений.
Примечание - Решение указанной задачи связано, с одной стороны, с правильным выбором опорного значения и установлением, таким образом, метрологической прослеживаемости, с другой стороны - со способностью продемонстрировать достоверность и согласованность результатов измерений, полученных на различных стадиях эксперимента.
В нормативных документах - ГОСТ 8.531 и рекомендациях[3] - [7]представлены конкретные рекомендации по выбору методик измерений для определения однородности, стабильности, значений аттестуемой характеристики СО.
Примечание - Включение положения обусловлено требованиями национальных нормативных документов - ГОСТ 8.531 и рекомендаций [3]-[7] в части исследования стабильности, однородности, установления значений аттестуемой характеристики материала СО.
Аттестация АСО описана в разделе 11.
Создание СО включает в себя следующие этапы:
- выбор материала (матрицы) СО, аттестуемых характеристик, их допускаемых значений и значений их неопределенностей;
- планирование процедуры отбора исходных материалов для приготовления материала СО;
- планирование процедуры приготовления материала СО;
- выбор методик (методов) измерений, подходящих для определения однородности;
- выбор методик (методов) измерений, подходящих для определения стабильности;
- выбор способа определения аттестованного значения;
- отбор материала СО;
- выбор методик(и) [методов(а)] измерений, подходящих для определения значений аттестуемой характеристики материала СО;
- определение однородности материала СО;
- определение стабильности материала СО;
- определение значений аттестуемой характеристики материала СО;
- обработка результатов измерений, полученных при определении однородности, стабильности, значений аттестуемой характеристики материала СО, включая полную оценку неопределенности результатов измерений;
- аттестация АСО.
Основой для любой оценки неопределенности результатов измерений служит руководство [8]. В большинстве программ, связанных с выпуском АСО, для расчета неопределенности аттестованного значения может быть использован подход, изложенный в разделе 8 руководства [8]. В общем виде алгоритм оценивания неопределенности аттестованного значения АСО может быть изложен следующим образом:
a) выражают соотношение между устанавливаемой величиной и всеми входными1) величинами, от которых функционально зависит значение величины.
1) Величины, входящие в состав уравнения, используемого для расчета значения определяемой величины.
Примечание - Функциональная зависимость, включающая в себя все величины, которые могут внести значительный вклад в суммарную стандартную неопределенность аттестованного значения АСО, представляет модель измерений;
b) определяют значения всех входных величин либо на основе статистического анализа серии данных, либо иными средствами;
c) рассчитывают стандартную неопределенность всех входных величин, используя оценку типа А для величин, полученных в результате статистического анализа, или оценку типа В для всех остальных величин;
d) проводят оценку ковариации, связанную с любыми входными величинами;
e) рассчитывают аттестованное значение АСО по результатам определения значений аттестуемой характеристики;
f) рассчитывают суммарную стандартную неопределенность аттестованного значения АСО с учетом стандартных неопределенностей и ковариаций, связанных с входными величинами, используя алгоритм, указанный в разделе 5 руководства [8];
g) определяют коэффициент охвата k для расчета расширенной неопределенности UCRM, для которой допускается, что интервал [xCRM - UCRM, xCRM + UCRM ] содержит заданную долю распределения значений, которые обоснованно могут быть приписаны к характеристике, значение которой устанавливают при аттестации. При выборе коэффициента охвата учитывают требуемую доверительную вероятность (как правило 0,95), плотность распределения вероятности и, при необходимости, число степеней свободы;
h) аттестованное значение АСО должно быть представлено вместе с расширенной неопределенностью UCRM и коэффициентом охвата k.
В подавляющем большинстве случаев необходимо следовать этому алгоритму.
Примечание - При других ситуациях следует выбрать другие подходы. Такие ситуации предусматривают, например, случаи, когда отсутствует замкнутая математическая форма модели, описывающая взаимосвязь между аттестованным значением АСО и входными величинами. В этих случаях для оценивания неопределенности аттестованного значения АСО допускается использовать другие статистические методы, включая метод Монте-Карло, если они согласуются с руководством [8].
Конкретное описание того, как могут быть оценены составляющие неопределенности, приведено в руководстве [8].
Оценивание неопределенности аттестованного значения СО может быть осуществлено в соответствии с рекомендациями [4].
Примечание - Включение положения обусловлено рекомендациями национального нормативного документа [4] в части оценивания неопределенности аттестованного значения СО.
К составляющим неопределенности аттестованного значения АСО относятся неопределенность, обусловленная неоднородностью, долговременной и кратковременной нестабильностью. Рекомендации по установлению этих составляющих неопределенности приведены в разделах 7 и 8. Некоторые дополнительные рекомендации по установлению неопределенности результатов измерений, используемых при расчете аттестованного значения АСО, приведены в разделах 9 и 10.
Установление подходящей модели измерений, осуществляемой при определении метрологических характеристик конкретного СО, следует проводить с учетом всех деталей выполняемых процедур по изготовлению и определению значений аттестуемой характеристики СО. Одно из основных требований к такой модели заключается в необходимости учета всех факторов, которые могут внести существенный вклад в неопределенность аттестованного значения АСО. Поэтому при определении суммарной стандартной неопределенности аттестованного значения АСО следует учитывать то, что кроме установления значений аттестуемой характеристики, важную роль играет исследование однородности, долговременной и кратковременной стабильности. Неопределенность аттестованного значения СО может включать в себя следующие составляющие неопределенности, обусловленные:
- способом определения аттестованного значения;
- неоднородностью материала СО;
- кратковременной нестабильностью СО;
- долговременной нестабильностью СО.
Все эти факторы могут внести существенный вклад в неопределенность аттестованного значения АСО.
Примечание - Оценка неопределенностей не предназначена и не должна быть использована для объяснения ошибок, неправильного применения и неправильного транспортирования АСО и т д. Это согласуется с рекомендациями руководства [8], (пункт 3.4.8).
Модель измерений может быть выражена следующим образом:
|
xCRM = xchar + dхbb + dxlts + dxsts, |
(1) |
где xCRM - аттестованное значение АСО;
xchar - установленное значение аттестуемой характеристики партии или экземпляра материала;
dхbb - погрешность, обусловленная неоднородностью между экземплярами;
dxlts и dxsts - погрешности, обусловленные, соответственно, долговременной и кратковременной не-стабильностями.
Как правило, исследования однородности и стабильности планируют таким образом, чтобы значения этих составляющих погрешности были равны нулю при неравенстве нулю их неопределенностей.
При допущении независимости переменных величин суммарная стандартная неопределенность аттестованного значения АСО uCRM может быть выражена как
|
|
(2) |
где uchar - стандартная неопределенность, обусловленная способом определения аттестованного значения;
ubb - стандартная неопределенность, обусловленная неоднородностью между экземплярами;
ults - стандартная неопределенность, обусловленная долговременной нестабильностью;
usts - стандартная неопределенность, обусловленная кратковременной нестабильностью.
Суммарная стандартная неопределенность аттестованного значения АСО должна быть установлена с учетом срока годности АСО (раздел 8).
Примечание - Иногда параметр, определяющий долговременную стабильность, является функцией времени как, например, для АСО изотопного состава радиоактивных веществ. В бюджете неопределенности аттестованных значений АСО этого типа следует учитывать зависимость аттестованного значения от времени.
Общие рекомендации по выбору модели измерений представлены в руководстве [8] и в ряде других документов, например в рекомендациях [4]. Некоторые конкретные рекомендации по моделированию и оценке результатов измерений приведены в разделах 7 - 10 настоящего стандарта.
В ряде случаев допускается отклониться от основной модели. Это ситуации, когда транспортирование образцов не предусмотрено или указано, что неопределенность, приведенная в паспорте СО, не учитывает неопределенность, обусловленную кратковременной нестабильностью материала СО.
Пример - Образец, чувствительный к повышенным температурам, транспортируют шесть недель от изготовителя к потребителю. Изготовителем предусмотрено транспортирование АСО в течение одной недели. В этих условиях аттестованные значения АСО могут претерпеть значительные изменения. Изготовитель АСО должен представить в паспорте АСО информацию о сроках исследования кратковременной стабильности, регламентировать сроки и условия транспортирования.
Конкретные рекомендации по оценке составляющих такой неопределенности даны в разделах 7 - 10.
Кроме упомянутых источников неопределенности в бюджет неопределенности аттестованного значения АСО следует включить источники, с которыми, как правило, сталкиваются при проведении измерений. В руководстве [8] перечислены эти источники неопределенности. При установлении бюджета неопределенности рекомендуется придерживаться этого перечня.
Методики измерений, используемые при проведении измерений, как правило, имеют метрологические характеристики, поэтому бюджет неопределенности этих методик может быть учтен при оценивании неопределенности аттестованного значения АСО.
Примечания
1 Любое изменение в конкретной методике измерений должно сопровождаться пересмотром ее бюджета неопределенности.
2 Часто бюджет неопределенности методик измерений содержит суммарные составляющие, т. е. составляющие неопределенности, которые зависят от нескольких других. Эти суммарные составляющие неопределенности могут привести к ковариациям (см. 6.1). Оценка ковариаций и корреляций имеет решающее значение для получения правильной оценки суммарной стандартной неопределенности аттестованного значения АСО. Для упрощения процесса обнаружения ковариаций рекомендуется документировать, какие составляющие неопределенности содержатся в составляющих суммарной неопределенности. Эта документация позволяет относительно быстро провести идентификацию возможных источников ковариаций и корреляций. В приложении F руководства [8] даны некоторые дополнительные рекомендации в отношении того, как оценивать полученные ковариаций.
Большинство статистических методов косвенно или прямо требуют принятия допущений, касающихся плотности распределения вероятности исследуемых переменных величин. Рекомендации, изложенные в руководстве [8], не являются исключением, поскольку в ходе оценки требуется определение или допущение определенного вида плотности распределения вероятности. Модели, используемые при аттестации СО, не являются исключением из этого правила, так как они построены с учетом основной статистической теории. Чаще эти предположения скорее косвенные (например, при использовании определенного статистического метода оценки типа В), чем прямые. Для многих статистических методов допускается, например, нормальное распределение результатов измерений. Это допущение также лежит в основе значительной части положений, представленных в настоящем стандарте. Для большинства результатов измерений величин, характеризующих состав, это допущение справедливо, хотя для других результатов измерений (например, малых содержаний компонентов), это допущение может быть недействительно.
Анализ регрессии и дисперсионный анализ основаны на допущении о том, что результаты измерений имеют нормальное распределение. Тем не менее эти статистические подходы пригодны для результатов измерений, имеющих унимодальную функцию распределения, если они используются для установления дисперсий.
Примечание- Проблема возникает в тех случаях, когда экспериментально установленное распределение результатов измерений, полученных при оценивании значений аттестуемой характеристики, имеет многочисленные максимумы. В худшем случае это означает, что отсутствует согласованность результатов измерений, представленных различными лабораториями и/или методиками измерений. В этом случае после тщательного анализа измерительных возможностей выбранных лабораторий и/или характеристик методик (методов) измерений эксперимент по определению значения аттестуемой характеристики СО может быть проведен повторно.
Приписывание аттестованного значения осуществляют при условии, если установлена согласованность результатов измерений в соответствии с рекомендациями [4], полученных по методикам измерений и/или различными лабораториями. Незначительные расхождения могут быть устранены путем введения дополнительной составляющей неопределенности, учитывающей этот эффект.
При условии согласованности результатов измерений, полученных лабораториями с применением определенной методики (метода) измерений, результаты межлабораторного исследования материала СО могут быть использованы для определения аттестованного значения АСО, зависящего от методики (метода) измерений.
При отсутствии согласованности результатов измерений, полученных лабораториями, и невозможности решить проблему путем группирования результатов измерений, полученных с применением определенной методики (метода) измерений, результаты измерений, полученные по межлабораторному эксперименту, не могут быть использованы для установления аттестованного значения АСО.
Часто возникают проблемы при использовании отношений, например, при исследованиях стабильности [9]. Следует отметить, что отношение двух нормально распределенных величин не обязательно может быть нормально распределенным [10]. Реальное распределение отношения двух переменных зависит как от распределений этих переменных, так и от значений параметров функций этих распределений. В тех случаях, когда значение аттестуемой характеристики может быть равно нулю как, например, в случае измерения цвета, использование отношений может привести к проблемам, поскольку при этом отношения будут иметь распределение Коши [10]. Для этого распределения невозможно оценить дисперсию. Как следствие, на основе принятого распределения вероятности невозможно оценить неопределенность результата измерений.
Составляющие неопределенности результатов измерений могут быть уменьшены до минимума правильным применением закона распределения неопределенности, т е. включением необходимых членов ковариации между двумя переменными, образующими отношение. Такое «уменьшение неопределенности» считают желательным эффектом [9]; использование функции распределения неопределенности результатов измерений имеет преимущество для изготовленных СО по отношению к функции распределения отношений и одновременно это ведет к желаемому эффекту «устранения некоторых составляющих неопределенности» [11].
Коэффициент охвата, используемый при реализации подхода g), описанного в 6.1, определяют с учетом функции распределения значения свойства (как правило, нормальное распределение) и доверительной вероятности (как правило 0,95). Как следствие, с учетом указанного приписывают коэффициент охвата k = 2 (нормальное распределение, доверительная вероятность 0,95). Если число степеней свободы оценки параметра менее 14, то вместо коэффициента охвата может быть использован квантиль t-распределения.
В случаях когда распределение значений аттестуемой характеристики ассиметричное, как, например, результат подсчета числа частиц в единице объема, следующего распределению Пуассона, необходимо указывать доверительный интервал результата измерений.
С течением времени значение аттестуемой характеристики АСО может измениться по сравнению с аттестованным значением. Если значение аттестованной характеристики АСО выходит за пределы диапазона, указанного в паспорте, возможны два основных варианта решения этой проблемы:
- изъятие этого АСО/СО;
- проведение повторной аттестации АСО/СО.
Выбор варианта зависит как от технических, так и от экономических факторов.
Изъятие АСО обосновывают изменением содержания одного или нескольких компонентов матрицы, что может быть обнаружено в результате определения долговременной стабильности (см. 8.4).
Изъятие АСО из обращения на рынке может быть предпочтительным вариантом, если оставшаяся партия образца стала слишком малочисленной для проведения повторной аттестации.
Повторная аттестация подразумевает повторное проведение полного или частичного определения однородности, стабильности и/или аттестованного значения АСО, работ по разделу 12. Причиной повтор-ной аттестации (при экономической целесообразности) может быть также улучшение измерительной возможности в какой-либо конкретной области. Несмотря на то что метрологические характеристики АСО стабильны, в целях уменьшения неопределенности аттестованного значения АСО следует изменить условия определения значения аттестуемой характеристики и, тем самым, провести повторную аттестацию АСО.
При изменении аттестованного значения АСО повторная аттестация материала должна быть выполнена обязательно.
Пример - Даже при хранении в оптимальных условиях наблюдается изменение теплотворной способности угля, что, в свою очередь, требует по истечении срока годности АСО угля повторных исследований и аттестации.
Большинство АСО изготавливают в виде экземпляров (например, упаковок, пробирок, бутылок или отдельных образцов). Эти экземпляры при приготовлении большинства материалов СО необходимо разделить на годные к применению экземпляры. Часть экземпляров партии, как правило, от 10 до 30, должны быть использованы для исследования однородности.
Примечание - Существуют различные способы отбора экземпляров из партии, например случайный отбор, совокупный случайный отбор, систематический отбор. Случайный отбор или совокупный случайный отбор наиболее часто применяют на практике.
Результаты определения однородности между экземплярами позволяют дать оценку одной из составляющих неопределенности аттестованного значения СО (см. раздел 6). Значение этой составляющей неопределенности может существенно изменяться в зависимости от природы материала СО. Этот вид исследований однородности применим в случае, когда паспорт СО распространяется на партию СО.
Влияние другого вида неоднородности - неоднородности внутри экземпляра может быть значительно уменьшено при наличии специальных указаний в инструкции по применению. Эти указания могут предусматривать повторное перемешивание образца, а для дисперсных материалов - минимальную навеску-наименьшую представительную пробу материала, которую при отборе допускается рассматривать как представительную для материала СО в пределах установленной неопределенности аттестованного значения.
Предполагается, что материалы СО, приготовленные в виде растворов или чистых соединений (если в них аттестуют содержание основного вещества), имеют высокую степень однородности. Тем не менее для этих материалов может наблюдаться неоднородность, например из-за градиента плотности или наличия металлов, содержащих абсорбированные или адсорбированные газы. Цель исследования однородности этих материалов состоит, преимущественно, в обнаружении примесей, помех или дефектов, которые могут возникнуть вследствие недостаточной проработки технологии приготовления. В этих случаях ожидается, что во время определения однородности между экземплярами будет обнаружен очень незначительный, если не пренебрежимо малый, вклад неопределенности. Но даже в тех случаях, когда может предполагаться идеальная однородность, это предположение должно быть подтверждено экспериментально в рамках определения однородности.
Такие материалы, как порошковые смеси, руды, сплавы и т д., неоднородны по составу по своей природе. Такие материалы стандартных образцов должны быть исследованы на неоднородность.
Неопределенность, обусловленная неоднородностью между экземплярами, может быть незначительной или даже пренебрежимо малой по сравнению с неопределенностью, связанной, например, с исследованием стабильности или установлением значения аттестуемой характеристики, но в некоторых случаях неизбежно то, что она будет равна или больше неопределенности, обусловленной способом установления значения аттестуемой характеристики. Многое зависит от технологических приемов уменьшения неоднородности партии, применяемых на стадии приготовления материала.
Материал считают идеально однородным относительно аттестуемой характеристики, если отсутствуют расхождения между значениями этой характеристики в разных частях материала. Однако на практике материал признают однородным, если расхождение между значениями этой характеристики в различных частях материала пренебрежимо мало по сравнению с составляющей неопределенности, установленной, например, по результатам определения аттестованного значения АСО.
Существуют ограничения оценки неопределенности, обусловленной неоднородностью между экземплярами иbb. Следует учитывать этот фактор, возникающий вследствие влияния, например, методики измерений.
Примечание - В частности, если для оценки неоднородности используют методики измерений с недостаточной повторяемостью, существует риск неверной оценки неопределенности, обусловленной неоднородностью, следовательно, пробы, отобранные для измерений, должны быть достаточно большими, чтобы этот вид отбора пробы не вносил значительного вклада в неопределенность, обусловленную повторяемостью измерений (см. 7.10).
При определении межэкземплярной неоднородности иbb следует использовать методики измерений с высокой повторяемостью.
В настоящем подразделе рассмотрена неоднородность массы материала в целом, так как для большинства СО наиболее важен этот тип неоднородности.
Примечание - Существуют исключения, например, при анализе пластины или фольги необходима оценка неоднородности поверхности материала. Чаще всего наиболее значима неоднородность вдоль поверхности, а не в направлении, перпендикулярном к поверхности.
Большинство рассуждений в этом подразделе также справедливы для других типов неоднородности, но предложенные рекомендации следует сопоставлять с конкретными рекомендациями других нормативных документов.
В идеальном случае неоднородность материала СО должна быть оценена для каждой аттестуемой характеристики. Для СО, исследуемых на относительно большое число характеристик, определение степени неоднородности всех характеристик может быть обременительно как экономически, так и физически, а в некоторых случаях - нецелесообразно. Следует учитывать, что качество выпущенного СО зависит (среди прочего) и от оценки межэкземплярной неоднородности.
На практике степень однородности СО может (при определенных условиях) быть оценена только для определенных характеристик, если установлено, что определение степени неоднородности по всем компонентам нецелесообразно. Важно, чтобы эти характеристики были правильно выбраны с учетом установленных химических или физических зависимостей.
Примеры
1 Оцененная степень неоднородности некоторых сопутствующих компонентов в материале СО может дать основание предположить аналогичную степень неоднородности для остальных элементов.
2 В случае СО бурого угля неоднородность является функцией распределения золы и серы, поскольку вносит наибольший вклад по сравнению с неоднородностью других характеристик образца.
Во всех случаях должно быть получено дополнительное доказательство однородности характеристик, не подтвержденных экспериментально при исследовании однородности.
Примечание - Такое доказательство однородности характеристик может быть получено, например, из литературных источников, при исследовании стабильности или при определении значений параметров состава и свойств материала.
Полученное доказательство должно позволить количественно перенести значение экспериментально установленной неоднородности от одной характеристики на другую с обоснованием того, что степень неоднородности оценена правильно.
Измерения, проводимые при исследовании однородности,
необходимо выполнять в условиях повторяемости. Кроме того, стандартное отклонение
повторяемости методики измерений по ГОСТ
Р ИСО 5725-1 должно быть незначительным. Следует, по возможности,
стремиться к такой ситуации, при которой неопределенность, обусловленная
многократными измерениями свойства одного экземпляра (sr /
), будет значительно меньше, чем
(ожидаемая) суммарная стандартная неопределенность аттестованного значения АСО.
Примечание - В некоторых случаях могут быть использованы альтернативные подходы [10] в дополнение к описанному, что приводит к лучшей оценке неопределенности.
Измерения должны быть выполнены таким образом, чтобы можно было отделить тренд результатов измерений аттестуемой характеристики в партии образцов. Это может быть достигнуто путем повторных измерений аттестуемой характеристики в образцах, используемых при исследовании однородности, в случайном порядке. Порядок измерений может быть изменен.
Пример - Для исследования однородности используют 10 порций образцов. Проводят три повторных измерения. Схема выполнения измерений может быть следующей:
Повторное измерение № 1: 1 - 3 - 5 - 7 - 9 - 2 - 4 - 6 - 8 - 10.
Повторное измерение № 2: 10 - 9 - 8 - 7 - 6 - 5 - 4 - 3 - 2 - 1.
Повторное измерение № 3: 2 - 4 - 6 - 8 - 10 - 1 - 3 - 5 - 7 - 9.
Тренд вследствие дрейфа в измерениях может быть обнаружен путем анализа этого тренда в точном порядке выполнения измерений. Зависимость результатов измерений от качества приготовления материала может быть обнаружена путем анализа полученных средних значений результатов измерений аттестуемой характеристики каждого экземпляра (порции) как функции от их порядкового номера. При этом порядковый номер пробы должен быть установлен на стадии приготовления.
Схема отбора, применяемая для выбора экземпляров (изделий) при исследовании неоднородности, может быть случайной, совокупной случайной и, в некоторых случаях, - систематической. Она должна учитывать возможные недостатки метода приготовления материала СО, позволяя, таким образом, провести критическую проверку изготовленной партии. Разделение партии на выборки рекомендуется во многих случаях, так как при этом гарантируется равномерное распределение экземпляров, выбранных для исследования однородности. Систематические схемы могут быть применены в тех случаях, когда практически отсутствует риск не заметить систематических изменений значений аттестуемой характеристики в партии.
Измерения следует выполнять таким образом, чтобы тренды, обусловленные изменением значения аттестуемой характеристики в образцах, и тренды, обусловленные очередностью выполнения измерений, не влияли друг на друга.
Примечание - В схеме измерений это может быть достигнуто, например, рандомизацией отбора экземпляров в сочетании с изменением порядка измерения.
Перед определением значения стандартной неопределенности, обусловленной межэкземплярной неоднородностью, полученные экспериментальные данные должны быть проверены на тренды. В 8.3.1 основной способ анализа тренда приведен для случая исследования стабильности.
Примечание - Эта методология может быть также использована для результатов измерений, полученных при исследовании межэкземплярной однородности партии.
Если по результатам исследований установлен существенный тренд значений аттестуемой характеристики в экземплярах материала СО, то изготовленную партию считают неподходящей для дальнейшей аттестации.
Тренд в результатах измерений в ряде случаев может быть учтен независимо от того, значим ли он статистически или незначим. Метод анализа тренда и, при необходимости, внесение поправки на дрейф средства измерений, может быть реализован применением образца для контроля, значение величины которого может быть измерено используемым средством измерений.
При обнаружении тренда значения аттестуемой характеристики в партии материала СО может быть использован повторный план процедуры разделения партии материала СО на части для эффективного исключения тренда.
Модель измерений при исследовании однородности с использованием i = 1, ..., а экземпляров и j = 1, ..., ni измерений может быть представлена в виде
|
Xij = m + Ai + eij, |
(3) |
где Xij - результат единичного измерения при исследовании однородности;
m - математическое ожидание хij, которое равно значению общего среднего (среднее средних значений), при числе повторных измерений, стремящихся к бесконечности.
Если измерения несмещенные, то m равно истинному значению. Члены Ai и eij - оценка смещения при установлении неоднородности между экземплярами и случайная погрешность измерения соответственно. Дисперсии этих членов - это дисперсия неоднородности между экземплярами и дисперсия повторяемости соответственно.
Примечание - Предполагают, что Ai и eij статистически независимы, неоднородность между экземплярами не влияет на повторяемость результатов измерений и наоборот. Кроме того, предполагают, что переменные Ai и eij имеют нормальное распределение.
Для определения неоднородности между экземплярами могут быть разработаны различные планы эксперимента. В приложении А приведены статистические подходы по применению однофакторного и двухфакторного дисперсионного анализа, в приложении В - некоторые примеры.
Цель определения однородности между экземплярами заключается в оценивании изменения значений аттестуемой характеристики между ними.
Две типичные экспериментальные модели определения однородности между экземплярами изображены на рисунках 1 и 2.
Рисунок 1 - Схема определения межэкземплярной неоднородности
На рисунке 1 продемонстрирована схема определения межэкземплярной неоднородности, предусматривающая отбор выборочных проб (проб в выборке) из экземпляров. При такой схеме эксперимента вследствие того, что из каждого экземпляра были взяты многочисленные пробы, дисперсия результатов измерений величины «между экземплярами» является функцией стандартного отклонения результатов измерений величины в различных экземплярах, тогда как дисперсия результатов измерений величины «внутри экземпляров» является функцией стандартного отклонения результатов измерений величины внутри экземпляров и учитывает расхождения результатов измерений, обусловленные, в том числе, отбором проб и пробоподготовкой.
Рисунок 2 - Альтернативная схема определения межэкземплярной неоднородности
На рисунке 2 представлена схема эксперимента для случая, когда отбор выборочных проб (проб в выборке) от экземпляров невозможен или не проведен, например, по экономическим причинам. При этой схеме эксперимента дисперсия результатов измерений величины «между экземплярами» является функцией стандартного отклонения результатов измерений величины в различных экземплярах, тогда как дисперсия результатов измерений величины «внутри экземпляров» является функцией стандартного отклонения результатов измерений величины внутри экземпляров и учитывает расхождения результатов измерений, обусловленные, в том числе, пробоподготовкой.
На образцах, пригодных для проведения одного измерения, п - число повторных измерений, равно 1. В тех случаях, где выборка позволяет выполнить многочисленные измерения после преобразования, п, как правило, будет больше. В тех случаях, где п > 1, результаты измерений могут быть обработаны с помощью дисперсионного анализа [см раздел А.1 (приложение А) и раздел В.2 (приложение В)].
Если используется однофакторный дисперсионный анализ, тогда sbb в обоих случаях может быть рассчитано по формуле
|
(4) |
где
-
дисперсия результатов измерений;
п0 - среднее число результатов параллельных измерений.
В этих случаях дисперсия между
экземплярами
идентична
.
Оценивание неопределенности, обусловленной межэкземплярной неоднородностью материала СО, может быть проведено в соответствии с рекомендациями [4].
Примечание - Включение положения обусловлено требованиями национального нормативного документа [4] в части оценивания неопределенности, обусловленной неоднородностью материала СО.
Не всегда целесообразно проводить определение однородности, используя методику измерений с достаточной повторяемостью. В этих случаях допускается использовать альтернативный подход, позволяющий максимально оценить возможные влияния. Если ubb - стандартная неопределенность, обусловленная неоднородностью между экземплярами, включаемая в суммарную стандартную неопределенность, то
|
(5) |
Правая часть этого выражения представляет собой квадрат стандартной неопределенности, обусловленной результатами измерений величины в одном экземпляре. Левая часть представляет выражение, обусловленное влиянием неопределенности между экземплярами, установленное методом дисперсионного анализа. Дисперсия повторяемости может быть получена отдельно или принята равной MSwithin.
Различные подходы, связанные с оцениванием неопределенности, учитывающей недостаточную повторяемость методики измерений помимо результата, полученного по формуле (4), рассмотрены в [12]. Влияние стандартного отклонения повторяемости на sbb может быть учтено при использовании выражения
|
(6) |
где MSwithin - дисперсия, обусловленная результатами измерений величины в одном экземпляре образца, полученными в условиях повторяемости;
- число степеней свободы дисперсии MSwithin.
Примечание - Это выражение основано на положении о том, что для sbb может быть установлен доверительный интервал и что полуширина 95 %-ного доверительного интервала, преобразованная в стандартную неопределенность, может быть рассмотрена как степень влияния повторяемости методики измерений на оценку sbb. Это выражение служит примером того, как могут быть учтены затруднения при оценке неоднородности. Могут быть разработаны и другие методы, но они должны отвечать критериям, приведенным в уравнении (5).
Определение однородности внутри экземпляра проводят только в тех случаях, когда экземпляры исходного материала СО могут быть разделены на выборочные пробы (пробы в выборке). Во многих случаях невозможно получить точную оценку дисперсии, обусловленной неоднородностью внутри экземпляра. Стандартное отклонение повторяемости методики измерений следует всегда учитывать при оценке внутриэкземплярной неоднородности. Это приводит к повышению оценки стандартной неопределенности, обусловленной неоднородностью внутри экземпляра СО swb, по сравнению с реальным значением неопределенности. На рисунке 3 представлена схема исследования неоднородности внутри экземпляра.
Из экземпляра отбирают многочисленные навески (пробы), пробоподготовку которых проводят один раз (см. рисунок 3).
Рисунок 3 - Схема определения внутриэкземплярной неоднородности
Минимальный размер пробы определяют на основании исследований неоднородности внутри экземпляра с использованием различных навесок. В связи с тем, что стандартное отклонение, обусловленное неоднородностью внутри экземпляра, зависит от числа частиц, определяющих свойство, то по возможности следует установить минимальное число частиц (или минимальную навеску).
Примечания
1 Минимальный размер пробы может быть определен путем экстраполяции. Экстраполяция стандартных отклонений, обусловленных результатами измерений величины внутри экземпляров различных размеров, может быть использована для нахождения наименьшего размера пробы, который не влияет на повторяемость результатов измерений этой величины. В связи с тем, что стандартное отклонение, обусловленное неоднородностью внутри экземпляра, как правило, представляет собой завышенную оценку, минимальный размер пробы также будет завышенной оценкой.
2 Минимальный размер проб может быть установлен в ходе оценки равенства значений стандартного отклонения результатов измерений величины, полученных с использованием конкретного размера пробы материала, и стандартного отклонения повторяемости методики измерений. Такая оценка может быть проведена путем сравнения дисперсий со значением критерия c2 (более подробные сведения см. в руководстве [13]). Размер пробы, использованной в таком эксперименте, допускается считать минимальным размером пробы.
Оценивание неопределенности, обусловленной внутриэкземплярной неоднородностью материала СО, может быть осуществлено в соответствии с рекомендациями [4].
Примечание - Включение положения обусловлено требованиями национального нормативного документа - рекомендаций [4] в части оценивания неопределенности, обусловленной неоднородностью материала СО.
Существуют два типа стабильности, которые следует рассмотреть при аттестации стандартных образцов:
- долговременная стабильность;
- кратковременная стабильность.
Долговременная стабильность материала стандартного образца связана с неизменностью аттестованного значения СО при хранении у изготовителя и потребителя СО. Кратковременная стабильность связана с неизменностью аттестованного значения СО при транспортировании. В некоторых случаях невозможно поддерживать условия, обеспечивающие стабильность материала СО во время транспортирования, в этом случае следует внести поправку на дополнительную неопределенность значений свойств.
Для расчета неопределенности аттестованного значения АСО, указываемого в паспорте, важна правильная оценка долговременной и кратковременной стабильности.
При аттестации СО должны быть установлены сведения о том, что может происходить с образцом при несоблюдении требуемых условий транспортирования.
Примечания
1 Это знание позволяет изготовителю дать лучшие рекомендации, а пользователю - получить продукт надлежащего качества.
2 В ряде случаев для изготовителя и пользователя АСО рекомендуется проверка АСО перед его первым использованием в целях проверки соответствия аттестованного значения, указанного в паспорте, и возможности его дальнейшего использования.
Исследования стабильности, выполняемые в процессе аттестации, проводят не только для оценивания неопределенности, обусловленной нестабильностью материала, но и для выбора надлежащих условий хранения и транспортирования.
Существуют два основных плана эксперимента для проведения работ по определению стабильности согласно рекомендациям [4], [6], [12], [14]:
- классическое исследование стабильности;
- изохронное исследование стабильности.
При классическом исследовании стабильности отдельные пробы, изготовленные в одно и тоже время (в виде партии) по одной и той же методике приготовления, измеряют через определенные промежутки времени. В этом случае измерения выполняют в условиях промежуточной прецизионности, что приводит к относительно высокой неопределенности из-за нестабильности измерительной системы.
При изохронном исследовании стабильности измерения проводят в условиях повторяемости.
Примечания
1 Термин «изохронный» означает, что измерения выполняют в одно и то же время, измерения не распределяют в течение всего исследования стабильности, как это осуществляют при классическом подходе.
2 Изохронный подход уменьшает разброс результатов измерений во времени, улучшая, таким образом, «разрешающую способность» исследования стабильности. Изохронное исследование стабильности, как правило, приводит к меньшей неопределенности, чем классическое. Преимущество этой модели заключается в возможности определения условий, при которых не происходит изменения свойств или изменения происходят, но с такой скоростью, как при условиях, выбранных для хранения.
3 Изохронный план эксперимента предназначен специально для определения стабильности партии СО, его не рекомендуется использовать при определении стабильности отдельного экземпляра СО.
Оба плана эксперимента подходят для исследования долговременной и кратковременной стабильности. При проведении исследований кратковременной стабильности хранение материала осуществляют в рекомендуемых (заданных) условиях упаковки и транспортирования. Чем более ограничены условия транспортирования, тем меньше может быть объем исследований.
Примечания
1 Рекомендуется устанавливать такие условия транспортирования, при которых изменения, обусловленные нестабильностью материала, будут меньше, чем при хранении материала. В этом случае допускается не включать в программу определения метрологических характеристик СО исследование кратковременной нестабильности.
2 Для некоторых видов материалов СО (например, клинических, биологических и природных) не всегда очевидно, что условия транспортирования могут быть соблюдены, что позволило бы пренебречь исследованиями влияния условий транспортирования на материал.
При отсутствии сведений о влиянии температуры на состав и свойства материала СО исследование кратковременной стабильности необходимо проводить при различных температурах для получения информации о приемлемых условиях хранения и транспортирования.
Такое исследование должно занимать 2 мес, но может быть продлено до 6 - 12 мес для получения информации о долговременной стабильности. При длительном исследовании стабильности диапазон температур может быть сокращен до необходимого, так как по истечении двух месяцев исследование проводят для установления условий хранения.
Исследование кратковременной стабильности должно быть проведено при температурах, которые возможны при транспортировании.
Примечание - Необходимо учитывать что интервал температур, при которых транспортируют АСО, может варьироваться от минус 50 °С до плюс 70 °С.
Интервал времени, в течение которого проводят исследование кратковременной стабильности, должен быть равен периоду, предусмотренному для транспортирования АСО.
Примечания
1 Если время транспортирования ограничено, например тремя неделями, то исследование кратковременной стабильности в течение трех-четырех недель будет достаточным.
2 Транспортирование СО должно быть организовано таким образом, чтобы время, затрачиваемое для транспортирования, было как можно меньше.
Рекомендации по планированию работ при исследовании стабильности СО представлены также в [4] и [6].
Примечание - Включение положения обусловлено требованиями национальных нормативных документов - рекомендаций [4] и [6] в части исследования стабильности СО.
На первом этапе анализа результатов определения стабильности необходимо проверить возможность возникновения тренда в результатах измерений. При незначительной нестабильности, когда неизвестен основной кинетический механизм, подходящей моделью может быть линейная аппроксимация. В случаях, когда установлен вид зависимости нестабильности от влияющих факторов, следует использовать его в качестве аппроксимирующей модели. Для линейных моделей расчеты наиболее простые, при этом оценку тренда на значимость проводят с использованием F-критерия.
При отсутствии установленного кинетического механизма основная модель простой линейной регрессии может быть выражена в виде
|
Y = b0 + b1Х + e, |
(7) |
где b0 и b1 - коэффициенты регрессии;
e - случайная составляющая погрешности измерений;
X - время;
Y - значение аттестуемой характеристики АСО.
Примечание - Вывод выражений для оценивания параметров b0 и b1 как и расчет разного рода дисперсий, осуществляют по тому же алгоритму, что и вывод выражений в дисперсионном анализе.
С учетом набора из п наблюдений Y по отношению к X для каждого Yi может быть приведено следующее выражение:
|
Yi = b0 + b1Xi + ei. |
(8) |
Примечание - Зачастую для каждого Xi будет более одного значения Yi вследствие повторения измерений, использования более одной упаковки за один раз и т. д. Эти особенности должны быть включены в модель конкретного алгоритма исследования стабильности.
Параметры регрессии допускается рассчитать, используя выражения, представленные ниже. Для оценки параметра b1 может быть использована формула
|
|
(9) |
Оценка отрезка, отсекаемого на оси координат, может быть рассчитана по формуле
|
|
(10) |
Оценку стандартного отклонения s(b1) рассчитывают по формуле
|
(11) |
где
|
|
(12) |
Оценку дисперсии V(b0) рассчитывают по формуле
|
|
(13) |
при этом отмечают, что b1 и Y не коррелированы.
Основываясь на стандартном отклонении b1 делают выводы. Предполагают, что если СО стабилен, то b1 равно нулю. Используя уравнение (11) и соответствующий t-фактор (при числе степеней свободы, равном п- 2), b1 исследуют на значимость, используя параметр s(b1) или данные таблицы дисперсионного анализа для линейной регрессии (таблица 1). Проверку равенства коэффициента b1 нулю выполняют, формируя t-статистику (для числа степеней свободы п - 2 и стандартного отклонения s(b1)) и сравнивая ее с квантилем t-распределения. Проверку гипотезы выполняют с использованием F-критерия, вычислением статистики по результатам обработки данных методом дисперсионного анализа (таблица 1).
Таблица 1 - Таблица дисперсионного анализа для линейной регрессии
|
Число |
Сумма |
Среднее значение |
F |
|
|
Вследствие регрессии |
1 |
|
MSreg |
|
|
Относительно регрессии (остаточный) |
n - 2 |
|
|
- |
|
Общий, скорректированный
для среднего значения |
n - 1 |
|
- |
- |
Сумму квадратов b1|b0
обозначают как
, которую трактуют как «сумма
квадратов для b1 после того, как
введена поправка на b0». Среднее
значение квадрата относительно регрессии (s2)
является оценкой для свойства, обозначенного как
и называемого
дисперсией относительно регрессии.
На основании данных F-таблицы (таблица 1) проводят исследование отношения MSreg/s2 на значимость. В таблице 1 приведена необходимая информация о степенях свободы. Преимущество использования F-таблицы взамен метода с использованием t-критерия заключается в следующем:
- F-таблица формируется большинством систем программного обеспечения;
- F-таблица может быть перенесена на другие модели регрессии, что делает их широко применимыми.
Независимо от того, какой вид критерия используют, результат будет иметь значение только в случае, если стандартное отклонение повторяемости методики измерений, возможно обусловленное неоднородностью между экземплярами, достаточно мало.
Примечание - Влияние неоднородности между экземплярами может быть уменьшено, если использовать несколько экземпляров на каждый момент времени (в условиях одного эксперимента). Такое действие может быть необходимым, когда sbb равно или больше, чем стандартное отклонение повторяемости результатов измерений.
Если наблюдается изменение значения аттестуемой характеристики, это означает, что материал не может быть использован в качестве материала СО. Критерий для принятия такого решения должен быть основан на нормируемом значении неопределенности аттестованного значения СО, на предполагаемом сроке его годности и сведениях о тренде за этот период времени.
Примечание - Если в течение предполагаемого срока годности наблюдается существенный тренд значения аттестуемой характеристики СО (с учетом неопределенности аттестованного значения СО), тогда либо материал не может быть использован для изготовления СО с заданным сроком годности в связи с недостаточной стабильностью, либо следует сократить срок годности СО.
При определении стабильности СО необходимо учитывать:
- повторяемость измерений;
- нестабильность материала;
- параметры промежуточной прецизионности;
- (не)однородность между экземплярами (при аттестации партии).
Из этого перечня видно, что там, где возможно, следует использовать изохронный, а не классический план эксперимента, так как это уменьшает число составляющих, которые необходимо рассматривать. В типичном изохронном исследовании стабильности учитывают только три составляющие неопределенности, которые могут быть разделены с помощью полного двухфакторного дисперсионного анализа. Неопределенность измерений в таком эксперименте может быть выражена в виде
|
|
(14) |
где sstab - стандартное отклонение, обусловленное нестабильностью;
sbb - стандартное отклонение, обусловленное неоднородностью между экземплярами;
sr - стандартное отклонение повторяемости.
Индекс i относится к моментам времени, j - к экземплярам и k - к повторным измерениям.
Как в случае исследования однородности, качество оценки sstab зависит от sbb и sr . Неоднородность между экземплярами влияет на качество оценки нестабильности, что неизбежно, так как это свойство дисперсионного анализа [10], [15]. Обработка результатов может быть проведена с помощью двухфакторного дисперсионного анализа, аналогично случаю, описанному в разделе А.2 (приложение А). Оценка sbb может быть проведена по результатам исследования стабильности.
Примечания
1 Если исследование стабильности проводят при разных температурах, то значение sbb, рассчитанное по результатам измерений исследуемой величины при нормальной температуре, будет наилучшим, так как допускается, что при этой температуре материал стабилен.
2 Если при какой-либо температуре материал нестабилен, то изменения, протекающие в этом материале, будут влиять на полученную оценку sbb.
В ряде случаев предполагают, что однородность и стабильность материала независимы друг от друга. Часто это справедливо, но могут быть исключения. При значительной неоднородности между экземплярами возможно отличие стабильности материала от экземпляра к экземпляру, так как стабильность материала (наряду с другими факторами) зависит от его состава. Присутствие определенного дестабилизирующего компонента влияет на однородность всей партии и может стать причиной корреляции однородности и стабильности.
В классической схеме эксперимента выражение для оценки неопределенности может быть представлено:
|
|
(15) |
где добавлен один
член -
- стандартное отклонение
результатов измерений, полученных в условиях промежуточной прецизионности. Этот
член характеризует изменчивость измерительной системы в целом.
Примечания
1 Измерения при классической схеме определения нестабильности выполняют в условиях промежуточной прецизионности, что ведет к невозможности разделения нестабильности измерительной системы и исходного материала СО. В результате неопределенность, обусловленная нестабильностью, будет всегда больше при классическом плане эксперимента по сравнению с неопределенностью, установленной при изохронном эксперименте.
2 Другая возможность оценивания неопределенности, обусловленной нестабильностью, заключается в использовании неопределенности линии регрессии с наклоном, равным нулю [10].
Различные бюджеты (sstab, sbb, sr) могут быть определены из соответствующих средних значений квадратов (М). В разделе А.2 (приложение А) представлен двухфакторный дисперсионный анализ, используемый при оценке стабильности материала СО.
Алгоритмы оценки неопределенности, обусловленной нестабильностью материала СО, приведены в рекомендациях [4], [6].
Примечание - Включение положения обусловлено рекомендациями национальных нормативных документов [4], [6] в части определения стабильности СО.
Мониторинг стабильности следует проводить в течение срока годности СО.
Примечание - Основная проблема использования результатов исследования стабильности заключается в том, что теоретически они объясняют только прошлое, а не настоящее и не будущее. Изменение некоторых свойств материала, обусловленное нестабильностью, может происходить достаточно медленно. Однако в ряде случаев возможно резкое, непредсказуемое изменение свойств, что, в свою очередь, означает непригодность СО к дальнейшему применению. В связи с этим необходим мониторинг стабильности СО.
Мониторинг может быть проведен с использованием классического плана эксперимента. Условия мониторинга должны быть выбраны такими, которые позволили получить объективную оценку стабильности СО.
Примечания
1 При проведении мониторинга стабильности использование классического плана эксперимента предпочтительно, поскольку изохронный план эксперимента предоставляет данные только в конце определения стабильности, в то время как для мониторинга стабильности важно иметь информацию об изменении характеристик материала в течение срока годности АСО.
2 Мониторинг стабильности не всегда служит основанием для изменения неопределенности аттестованного значения АСО, так как мониторинг только демонстрирует, что неопределенность, указанная в паспорте АСО, все еще достоверна.
В ряде случаев альтернативой классическому мониторингу стабильности может быть и использование изохронного плана эксперимента для проведения полунепрерывного определения стабильности. На рисунке 4 показан пример этого вида мониторинга.
При транспортировании экземпляры материала СО хранят при соответствующих температурах. После этой стадии аттестуемая характеристика всех экземпляров материала СО должна быть измерена в условиях повторяемости. В ряде случаев измерения занимают больше времени, чем один день, это означает, что работа в строгих условиях повторяемости невозможна. Срок годности материала определяют по результатам исследований (см. 8.5).
Рисунок 4 - Полунепрерывное определение стабильности
Примечание - Причина ограниченной непрерывности полунепрерывного определения стабильности связана с использованием изохронных измерений: выполняют серию измерений при определении стабильности, после чего делают перерыв в определении стабильности. После такого перерыва по результатам оценивания стабильности может быть пересмотрена неопределенность аттестованного значения АСО, так как новые данные о стабильности могут быть использованы в качестве возобновленной оценки неопределенности, обусловленной нестабильностью. В сущности, такой перерыв возможен из-за того, что каждое изохронное исследование стабильности проводят с использованием одной градуировочной характеристики. Построение такой градуировочной характеристики необходимо при каждом новом исследовании. В классическом плане эксперимента каждое измерение, как правило, проводят после построения новой градуировочной характеристики, что влияет на разброс результатов измерений.
Неопределенность результатов измерений, полученных при мониторинге стабильности, должна существенно отличаться от неопределенности, установленной при определении долговременной и кратковременной стабильности. Желательно, чтобы неопределенность результатов измерений при мониторинге стабильности umeas, была значительно меньше, чем неопределенность аттестованного значения АСО uCRM. Однако такая ситуация не всегда возможна. Измерения должны быть выполнены таким образом, чтобы их достоверность не демонстрировалась использованием исследуемого АСО. Пригодность АСО может быть подтверждена при условии, если подтверждена достоверность результатов измерений. Если выполнено условие
|
|
(16) |
где XCRM - аттестованное значение АСО;
Xmeas - измеренное значение аттестуемой характеристики;
k - соответствующий коэффициент охвата при доверительной вероятности 0,95, то материал может быть рассмотрен как достаточно стабильный и стабильность подтверждена.
Если стабильность установлена, то аттестованное значение АСО и его расширенная неопределенность повторно подтверждены.
Примечание - Для достижения достоверности результатов измерений, полученных при мониторинге стабильности СО, необходимо, чтобы значение неопределенности umeas было как можно меньше и не превышало значения неопределенности результатов измерений, получаемых пользователем АСО при измерениях, проводимых по аналогичной методике (методу) измерений.
Если мониторинг стабильности или непрерывное изохронное исследование стабильности указывает на то, что аттестованное значение АСО больше не достоверно в пределах своей неопределенности, то необходимы (см. также 6.7) следующие операции:
- изъятие стандартного образца;
- проведение повторной аттестации.
Алгоритмы оценки неопределенности, обусловленной нестабильностью материала СО, приведены в рекомендациях [4], [6].
Примечание - Включение положения обусловлено требованиями национальных нормативных документов [4], [6] в части исследования стабильности СО.
Срок годности АСО и стандартная неопределенность, обусловленная долговременной стабильностью, взаимосвязаны. Значение аттестуемой характеристики У изменяется линейно относительно первоначального значения Y0
|
|
(17) |
где b' - постоянная относительная скорость изменения, являющаяся функцией времени X. Неопределенность результата измерений аттестуемой характеристики может быть оценена с учетом неопределенности независимых переменных u(Y0), и(Х) и и(b')
|
|
(18) |
Как показано в [16], последний член может быть взят за основу отношения между стандартной неопределенностью, обусловленной долговременной нестабильностью, и сроком годности. При этом последняя частная производная равна X - времени, прошедшему после определения аттестованного значения АСО. При использовании приближения первого порядка за время Х выведено выражение
|
|
(19) |
Это выражение составляет основу для оценки неопределенности, обусловленной долговременной стабильностью ults, при отсутствии значимых изменений в течение срока годности АСО X.
Алгоритмы оценивания срока годности СО приведены в рекомендациях [6].
Примечание - Включение положения обусловлено требованиями национального нормативного документа [6] в части исследования стабильности СО.
Существует ряд технически обоснованных подходов для определения значений аттестуемых характеристик материала СО. Они включают в себя измерение одним или несколькими методами с привлечением одной или нескольких лабораторий. Оптимальный подход к определению значений аттестуемых характеристик устанавливают в зависимости от типа АСО, от требований к его метрологическим характеристикам, к применению АСО, к квалификации привлекаемых лабораторий, к методике (методу) измерений.
Как настоящий раздел, так и раздел 10 ограничены случаем определения значения одной аттестуемой характеристики.
Примечание - В ряде случаев аттестуемые характеристики могут быть выражены в виде спектров. Содержание разделов 9 и 10 может быть применено и к этим случаям, при этом расчеты не будут более сложными, чем при определении значений других аттестуемых характеристик. Для этого потребуются знания методов статистического моделирования для применения концепций, изложенных в настоящем стандарте. Такие факторы, как межэкземплярная неоднородность, долговременная стабильность и, если возможно, кратковременная стабильность, также применимы к случаям рассмотрения таких свойств, как спектры.
Для использования АСО в качестве эталона необходимо, чтобы аттестованные значения имели прослеживаемую связь к соответствующим единицам СИ или опорным значениям. Имеется несколько способов установления такой прослеживаемой связи, их правильный выбор необходимо провести с учетом назначения АСО. Существуют следующие способы:
- необходимо, по возможности, установить прослеживаемость аттестованных значений СО к единицам СИ и выразить их в соответствующих единицах;
- многие СО воспроизводят единицу, определяемую стандартизованной методикой (методом) измерений; эти СО должны иметь прослеживаемую связь с результатами измерений, полученными в строгом соответствии с этой стандартизованной методикой (методом) измерений;
- стандартные образцы могут быть прослеживаемы к другим эталонам или опорным значениям, включая аттестованные значения АСО, прослеживаемость которых установлена, и СО.
Существуют также шкалы порядка, поддерживаемые частично посредством СО, включая, например, шкалы октанового числа бензина.
Примечания
1 В Российской Федерации при измерениях и испытаниях, проводимых в области рН-метрии, используют меры рН утвержденного типа, внесенные в реестр утвержденных типов средств измерений.
2 Примечание 1 введено для учета требований национальной стандартизации.
Часто, но не всегда шкалы поддерживаются в соответствии с установленной процедурой создания материала СО. Если это реализуется, то следует строго придерживаться такой процедуры.
Ситуация более сложная для многих матричных образцов. Несмотря на то что аттестованное значение СО может иметь прослеживаемость к соответствующим единицам через, например, градуировочную характеристику используемого средства измерений, построенную, например, с применением АСО, прослеживаемость которых установлена, такие этапы, как пробоподготовка образца, не могут иметь прослеживаемости. Полнота подготовки пробы к измерениям может быть оценена посредством использования эталона (если таковой имеется в наличии) или посредством использования другого АСО или СО. В ряде случаев подготовку пробы к измерениям проводят в соответствии со стандартизованной методикой (методом) измерений, используемой в программах определения метрологических характеристик СО. В других случаях возможна только оценка согласованности результатов измерений, полученных лабораториями, использующими одну и ту же методику (метод) измерений. В этом случае определение аттестованного значения СО проводят по согласованным независимым результатам измерений (см. раздел 10).
Прослеживаемость результатов измерений, как правило, обеспечивают использованием при проведении измерений поверенных (калиброванных) средств измерений, соответствующих эталонов или АСО, измерение значения свойств которых проведено с использованием эталонов. Если сведения о прослеживаемости АСО указаны в паспорте, то применение этого АСО предпочтительно по сравнению с другими СО. Адекватность принятых мер для обеспечения надлежащей градуировки средств измерений и прослеживаемости результатов измерений может быть проверена, например, с помощью специально разработанных и изготовленных образцов. Для реализации этой цели образцы предоставляют без указания аттестованного значения (и его неопределенности), позволяя, таким образом, провести оценку градуировочной характеристики. Аттестованные стандартные образцы могут быть использованы для демонстрации точности результатов измерений, полученных при измерениях.
Пробоподготовка образца во многих случаях представляет собой важную часть методики измерений. В некоторых случаях не существует вариантов проверки методики измерений. На рисунке 5 представлены некоторые типичные варианты установления и демонстрации прослеживаемости результата измерений.
Рисунок 5 - Часть измерительной цепи
Матричные АСО, матричные СО могут быть использованы для демонстрации точности результатов измерений. Использование этих СО обеспечивает прослеживаемость результатов измерений, но его не следует считать прямой демонстрацией прослеживаемости. Матричные образцы демонстрируют определенную степень контроля измерений согласно руководству [13], что служит предпосылкой достижения прослеживаемости результатов измерений, получаемых при аттестации исследуемых СО.
Чистые матричные материалы, чистые экстракты и др. могут быть использованы в целях проверки способности методики (метода) измерений демонстрировать результаты измерений, незначительно отличающиеся от нуля (для случаев, когда значение измеряемой величины ниже предела обнаружения) или для установления поправки или поправочного коэффициента.
Градуировку, поверку, калибровку средств измерений необходимо проводить по эталонам или АСО, имеющим прослеживаемость к соответствующим национальным или международным эталонам, или в случае отсутствия последних - к принятым опорным значениям. Градуировка, поверка, калибровка средств измерений должны обеспечивать точные измерения, чтобы не вносить излишней дополнительной неопределенности. Опорным значением может быть единица СИ, воспроизводимая эталоном (например, для измерений многих физических свойств или состава), или условная шкала (например, для характеристик, обусловленных методом), хранимая национальным метрологическим институтом или (в случае отсутствия в последнем соответствующего эталона) метрологическими институтами иностранных государств.
Добавки, холостые пробы-добавки и т д. могут быть использованы для исследования каких-либо участков измерительной цепи или при установлении значений аттестуемой характеристики материала СО. Степень, с которой установлена или продемонстрирована прослеживаемость, зависит от того, как эти пробы-добавки приготовлены и как им приписаны значения.
Для установления и демонстрации прослеживаемости результатов измерений, возможно, потребуется контролировать:
-взвешивание пробы;
-чистоту реактивов, растворителей, «чистых материалов»;
- градуировку, поверку, калибровку средств измерений, калибровку (поверку) мерной посуды;
- помехи в измерительном сигнале;
- подходящие и обоснованные статистические методы для проведения расчетов; -загрязнения, потери, недостатки в измерительном процессе.
Эти все факторы могут быть подвергнуты надлежащему контролю путем подтверждения правильности методики измерений. Правильность любой методики измерений, применяемой при проведении измерений, должна быть надлежащим образом подтверждена, соответствие любого результата измерений, полученного с использованием этой методики измерений, требованиям, установленным в процессе подтверждения правильности методики измерений, должно быть продемонстрировано. Оценка согласованности результатов измерений, полученных при межлабораторном эксперименте, может быть частью подтверждения правильности методики измерений. При использовании условных (эмпирических) методов обязательна согласованность результатов измерений, полученных при межлабораторном эксперименте. Рекомендуется пользоваться результатами признанных межлабораторных сравнительных испытаний.
Рекомендации по установлению прослеживаемости аттестованных значений СО представлены в [2], [17]. При установлении прослеживаемости СО следует руководствоваться принятыми поверочными схемами.
Примечание - Включение положения обусловлено требованиями, предъявляемыми к установлению прослеживаемости СО.
Аттестованное значение АСО, как правило, представляет собой наилучшую оценку «истинного» значения. В некоторых случаях измеренное значение не может быть представлено как «истинное» значение, поэтому принимают значение аттестуемой характеристики, полученное с использованием указанной методики измерений. Перед определением метрологических характеристик СО требуется указание допускаемого диапазона аттестованных значений АСО и метода измерений, для которого АСО будет предназначен.
Предполагают, что аттестованные значения не отклоняются от «истинного» значения более чем на значение установленной неопределенности. Установленная неопределенность аттестованного значения АСО должна учитывать все составляющие неопределенности, свойственные процессу измерений, а также изменения материала между экземплярами (однородность) и во времени (стабильность).
Различают четыре основных способа определения значения аттестуемой характеристики:
a) по результатам измерений в одной лаборатории с применением одного (первичного) метода;
b) по результатам измерений, полученным в одной лаборатории с применением двух или нескольких независимых методик (методов) измерений;
c) по результатам измерений, полученным в сети лабораторий с использованием одной или нескольких методик (методов) измерений;
d) по результатам измерений, полученным в сети лабораторий с применением одной методики (метода) измерений, дающей ограниченную методом оценку аттестованного значения.
Примечания
1 В рекомендациях [4] указанные способы представлены как «способы определения аттестованного значения». Возможно использование способа определения аттестованного значения СО «по процедуре приготовления» [4]. При этом экспериментальная проверка установленного значения аттестованной характеристики обязательна.
2 Включение примечания 1 обусловлено положениями, принятыми в рекомендациях [4].
Наиболее важный фактор, который следует рассмотреть при выборе способа установления значения аттестуемой характеристики, -это степень, с которой различные составляющие неопределенности будут вносить вклад в неопределенность аттестованного значения АСО. Подход а) при определении значений аттестуемой характеристики АСО часто ограничен случаями проведения поверки (калибровки) отдельного средства измерений.
Пример - Для случая определения значений аттестуемой характеристики, относящейся к химическому составу, в 9.5.2 приведен типичный пример обоснованности подхода а).
Для большинства матричных АСО подход а) связан с риском пропустить матричные эффекты и/или влияния. Для этих АСО рекомендуется иметь не менее двух независимых результатов измерений, полученных независимыми (первичными) методами измерений в различных лабораториях, чтобы свести к минимуму такой риск. Выбор наилучшего способа определения аттестованного значения зависит как от имеющихся методов, так и от матрицы СО.
Важную группу методов измерений, которые могут быть использованы, прежде всего, для подхода а), но также и для подхода b), составляют первичные методы измерений. В области химических измерений такой метод определен Консультативным комитетом по количеству вещества следующим образом [16]:
«Первичный метод измерений - это метод, имеющий наивысшие метрологические свойства, действие которого может быть полностью описано и понято и для которого неопределенность может быть указана в единицах СИ.
Первичный прямой метод обеспечивает измерение неизвестной величины без ссылки на эталон единицы этой же величины.
Первичный метод, основанный на измерении отношения, обеспечивает измерение значения отношения неизвестной к эталону единицы той же самой величины, его действие может быть полностью описано с помощью уравнения измерений».
Из этого определения следует, что одна из стратегий определения аттестованного значения СО заключается в использовании первичного метода измерений [18]. Однако первичные методы измерений не всегда могут быть использованы, так как они существуют не для всех величин. Для многих СО измерение значения исследуемого свойства настолько сложно, что его невозможно описать до той степени, которая необходима для установления расширенной неопределенности в единицах СИ.
Консультативный комитет по количеству вещества определил несколько методов, потенциально относящихся к первичным методам измерений [19]:
- масс-спектрометрия с изотопным разбавлением;
- кулонометрия;
- гравиметрия;
- титриметрия;
- понижение температуры застывания.
Примечание - Ожидается, что этот перечень со временем будет расширен.
Гравиметрия широко используется как метод приготовления газовых смесей [20] и растворов. Метод понижения температуры застывания может быть использован как прямой метод определения чистоты материала [21]. Метод масс-спектрометрии с изотопным разбавлением широко используется при проведении измерений для определения значения аттестуемой характеристики СО, а также при высокоточных измерениях для других целей.
Концепция определения значения аттестуемой характеристики материала СО, основанная на согласованности методик измерений и/или лабораторий, базируется, как минимум, на двух допущениях:
a) имеется совокупность методик измерений и/или лабораторий, в равной степени позволяющих оценить значения аттестуемых характеристик материала СО и представить результаты измерений с приемлемой точностью;
b) (подразумевается) расхождения между отдельными результатами измерений как в процессе, так и между методиками измерений и/или лабораториями имеют статистический характер независимо от вызывающих эти расхождения причин (различий между измерительными процедурами, персоналом, оборудованием и т д.).
Каждое среднее значение результатов измерений, полученное по методике измерений и/или лабораторией, заранее рассматривают как несмещенную оценку значения аттестуемой характеристики материала. Как правило, среднее из средних значений результатов измерений, полученное по методике измерений и/или лабораторией, считают наилучшей оценкой этой характеристики. Кроме того, каждый из результатов, полученных в ходе совместного исследования, должен отвечать требованиям в отношении прослеживаемости, как указано в 9.2. В случае если распределение результатов измерений отличается от нормального распределения (что может быть, например, при определении следовых концентраций элементов), то для оценивания аттестованного значения СО целесообразно использовать такие робастные статистики, как медиана или усеченное среднее.
На практике число методик измерений и лабораторий, имеющихся для реализации программы определения метрологических характеристик СО, ограничено. Поэтому в большинстве случаев невозможно полностью использовать модель рандомизированного плана эксперимента. Кроме того, допущение о принадлежности к одной и той же совокупности всех результатов измерений, полученных разными методиками (методами) измерений и/или лабораториями, следует рассматривать с осторожностью. Даже на современном уровне могут существовать расхождения в характеристиках методов измерений, а также в неопределенностях лабораторий, вследствие чего допущение о единой совокупности будет необоснованным.
Кроме того, чтобы этот вид плана эксперимента был обоснованным, необходимо принять допущение о том, что все результаты измерений всех методик измерений и/или лабораторий имеют прослеживаемую связь (см. 9.2) с соответствующим установленным опорным значением. Опорные значения, как правило, тщательно выбирают при разработке совместного исследования в рамках определения значения аттестуемой характеристики СО.
Часто для такого совместного исследования требуется привлечение большого числа лабораторий для рандомизации погрешностей, ассоциированных с определенными этапами серии операций, необходимых для получения значения аттестуемой характеристики СО. Такие этапы, как правило, включают в себя пробоподготовку [например, экстракцию или разрушение (деструкцию) пробы, дальнейшую обработку преобразованной пробы (например, очистку) и др.]. В этих случаях при нецелесообразности проводить полную оценку неопределенности результата измерений, полученного по одной методике измерений (и в одной лаборатории), предложенный подход должен быть предпочтителен другим подходам, описанным в настоящем разделе.
Общая процедура определения значения аттестуемой характеристики материала АСО в ходе совместных исследований схематически изображена на рисунке 6. К каждому этапу, который может быть рас-смотрен отдельно, предъявляют определенные требования, которые необходимо выполнить перед тем, как приступить к следующему этапу.
Рисунок 6 - Схема межлабораторного эксперимента
9.4.2.2 Руководство и график выполнения работ
Руководство межлабораторными исследованиями осуществляет, прежде всего, организация, отвечающая за реализацию работ по определению метрологических характеристик СО. Она должна предоставить всем участникам достаточный объем руководящих материалов для успешного проведения работ. Для достижения положительных результатов совместное исследование должно иметь четко поставленную цель, быть правильно спланированным и организованным в соответствии с четкими, точными руководящими документами, которым участвующие лаборатории и/или операторы смогут легко следовать. Участие в такой программе в качестве оператора или лаборатории подразумевает согласие следовать этим руководящим документам. В эти руководящие документы включают указание сроков выполнения работ, числа экземпляров материала СО, числа параллельных измерений на экземпляр (единицу) материала СО, методов измерений, при необходимости - размера навески и т д.
В руководящих документах следует учитывать рекомендации, изложенные в 9.2 и 9.3; они должны быть приведены в инструкциях для того, чтобы все участвующие стороны были знакомы с требованиями к качеству и прослеживаемости результатов измерений. В этих руководствах должны также содержаться механизмы подтверждения допущений, принятых относительно результатов измерений и их качества.
Организатор должен установить график выполнения работ (т е. сроки рассылки образцов, способ рассылки), предоставить четкие инструкции отправителям и получателям по хранению образцов и обращению с ними. Организатор должен также указать срок представления результатов измерений. Этот график должен быть согласован между организатором и участвующими лабораториями.
9.4.2.3 Требуемое число результатов измерений
Число методик (методов) измерений, используемых для определения значения аттестуемой характеристики, часто ограничено. В случае если используются различные методики (методы) измерений, то необходимо проводить оценивание согласованности результатов измерений. При подтверждении согласованности результатов измерений рассчитывают среднее значение результатов измерений.
В случае если оценку неопределенности аттестованного значения СО устанавливают через рандомизацию как можно большего числа факторов во время эксперимента, то предпочтителен межлабораторный подход. Этими лабораториями могут также быть различные подразделения или группы в пределах одной организации. Минимальное число участвующих лабораторий в эксперименте зависит от сложности необходимой измерительной процедуры. Чем сложнее процедура, тем значительнее ожидаются межлабораторные расхождения, требующие, таким образом, увеличения числа участвующих лабораторий для получения значения аттестуемой характеристики СО. Однако на практике чем сложнее процедура, тем меньше число лабораторий, способных выполнить эту процедуру. В крайних случаях разработчик СО может отказаться от проведения межлабораторного эксперимента, равно как и от материала СО.
При наличии хорошо обоснованных методик измерений число лабораторий, привлеченных к определению значения аттестуемой характеристики материала СО, может быть невелико -две или три. Типичный пример такого случая - использование первичных методов измерений для матричных СО.
В ряде случаев минимальное число участвующих лабораторий может быть от шести до восьми. Если существует вероятность получить статистически, а также технически необоснованные результаты измерений, то минимальное число лабораторий должно быть не менее 10, а предпочтительно - 15. Полученные результаты измерений должны быть проверены на выбросы в целях дальнейшего оценивания аттестованного значения СО и его неопределенности.
При отсутствии первичных методов измерений идеально использование трех методов (если это воз-можно) и не менее десяти компетентных лабораторий.
9.4.2.4 Число единиц (экземпляров) и повторных измерений
При проведении повторных измерений достаточно иметь два экземпляра материала СО, число повторных измерений, распределенных в течение двух дней, должно быть не менее шести. Все измерения предпочтительно проводить, используя независимые градуировочные характеристики. Если результаты совместного исследования предполагается использовать для подтверждения однородности материала СО, то каждой участвующей лаборатории необходимо определить значения аттестуемых характеристик, как минимум, для трех - четырех экземпляров материала СО.
Организатор межлабораторного эксперимента может рекомендовать участникам использовать одну методику измерений. Этот подход пригоден при измерении величин, значения которых определяют конкретным методом (например, температуры вспышки в открытом тигле). В противном случае организатор должен разрешить каждой участвующей лаборатории использовать методику измерений по своему выбору при условии, что имеются доказательства обоснованности выбора таких методик измерений. Организатор должен стремиться к представительности основных методик (методов) измерений, подходящих для определения аттестуемых характеристик, и добиваться согласия всех участвующих сторон в отношении того, какие методики (методы) измерений будут использоваться каждой лабораторией.
Кроме того, организатор должен потребовать, чтобы все методики измерений, применяемые при определении значения аттестуемой характеристики СО, были надлежащим образом обоснованы и результаты каждого измерения, выполненного в процессе аттестации, могли быть проверены по предварительно установленным критериям качества.
Примечание - Во многих новых областях измерений обоснование имеющихся методик измерений иногда осуществляют только путем межлабораторного сличения, как описано в ГОСТ Р ИСО 5725-2, что может быть достаточно для характеристик, зависящих от методики измерений.
Важной характеристикой используемых методик измерений является ее прослеживаемость к единицам СИ или принятым опорным значениям.
Встреча с представителями участвующих в эксперименте лабораторий (до рассылки проб и проведения измерений) позволит всем привлеченным сторонам согласовать виды работ, которые предстоит выполнить входе межлабораторного эксперимента, и обсудить возможные проблемы и/или трудности.
9.4.2.6 Представление результатов измерений
Могут быть использованы несколько способов представления результатов измерений.
Первый способ предусматривает представление лабораториями результата измерений с расширенной неопределенностью и коэффициентом охвата. Предпочтительно, чтобы каждая лаборатория представляла полный бюджет неопределенности с указанием всех составляющих неопределенности; эти сведения могут облегчить проведение оценки любых ковариаций между результатами измерений.
Если информация о неопределенности результатов измерений не требуется, тогда участвующие лаборатории должны представить все полученные результаты измерений (не средние значения). Число значащих цифр результатов измерений должно соответствовать рекомендациям программы определения метрологических характеристик СО.
В обоих случаях рекомендуется представлять в достаточном объеме план измерительной процедуры для лучшего понимания всех предварительных этапов измерительного процесса (например, при химическом анализе - этапов разложения образца и разделения представляющих интерес аналитов). Следует приводить ссылки на источники информации (при необходимости).
Традиционно наиболее точные измерения величин в единицах СИ и их производных выполняют в национальных метрологических институтах. В национальных метрологических институтах все источники погрешности и неопределенности тщательно исследуют, методики (методы) измерений совершенствуют в течение многих лет для оценивания и уменьшения составляющих неопределенности. В случае если измерительные возможности национального метрологического института подтверждены, то измерения соответствующих величин выполняют с наибольшей точностью. В случае если при определении метрологических характеристик СО лаборатория национального метрологического института применяет методики измерений собственной разработки, не используемые ранее при ключевых сличениях, то сведения об этом должны быть дополнительно указаны.
Демонстрация измерительных возможностей лабораторий, принимающих участие в определении метрологических характеристик СО, обеспечение качества и прослеживаемости результатов измерений необходимы для подтверждения компетентности лабораторий. Любая вновь создаваемая лаборатория, планирующая принимать участие в определении метрологических характеристик СО, должна участвовать в расширенных (по возможности, ключевых) сличениях для подтверждения измерительных возможностей, а также для подтверждения того, что ни один из важных факторов, вносящих вклад в неопределенность результатов измерений, не остался неучтенным.
Особое внимание следует уделять физическим свойствам, которые невозможно определить в режиме калибровки. Как правило, оценка неопределенности результатов измерений, полученных при определении значений аттестуемой характеристики с использованием методики измерений, не может быть установлена более точно, чем в режиме калибровки. Это необходимо учитывать при определении значения аттестуемой характеристики материалов, связанной с такими свойствами, как теплопроводность, шероховатость и т д. В этих случаях совместное исследование (см. раздел 10) может быть наиболее подходящим способом определения значения аттестуемой характеристики материалов. Дополнительная сложность состоит в том, что для многих методик измерений указанных величин, включая измерения как физических свойств, так и химического состава, не организованы (ключевые) сличения.
Ключевые сличения также, как и другие виды лабораторных сличений, повышают доверие к неопределенности, рассчитанной лабораториями индивидуально. Результаты таких сличений используются для улучшения моделей и/или оценок их переменных величин и/или неопределенностей. При отсутствии необходимости в улучшениях такого рода участие в этих сличениях представляет собой важное средство демонстрации измерительных возможностей лаборатории. Сличения позволяют обнаружить погрешности, не учтенные должным образом, и ситуации, когда некоторые влияющие на измерения параметры недостаточно полно контролируют и/или оценивают.
Определение аттестованного значения СО на основе результатов измерений одной лаборатории может, несмотря на все усилия, заключать в себе риски возникновения ошибок, которые не следует недооценивать. Лаборатории национальных метрологических институтов, проводящие измерение какого-либо физического свойства, должны участвовать в ключевых сличениях, а также в обсуждении результатов сличений с участниками сличений в целях решения проблем, связанных с возможными расхождениями. Если национальные метрологические институты проводят измерения не собственными силами, то до начала работ необходимо установить прослеживаемость измерений участвующих лабораторий к единице СИ или опорному значению, воспроизводимому эталоном, АСО или мерой соответствующих национальных метрологических институтов.
Если при определении значения аттестуемой характеристики СО возможно применение нескольких аттестованных методик измерений, то необходимо сравнение метрологических характеристик этих методик измерений. Методики измерений должны иметь одинаковые метрологические характеристики, в противном случае при определении значения аттестуемой характеристики материала стандартного образца будет предпочтительна методика измерений, обеспечивающая получение результата измерений с большей точностью.
Возможны ситуации, когда лаборатория, сравнив метрологические характеристики имеющейся в ее распоряжении методики измерений с метрологическими характеристиками других методик измерений, может принять решение о доработке своей методики измерений для уменьшения значения неопределенности.
9.5.2.1 Стандартные образцы чистых веществ
Чистые вещества формируют основу большинства цепочек прослеживаемости в химии. Термин «чистый» относится к идеализированной ситуации: не существует веществ с массовой долей основного вещества 100 %, в веществе всегда присутствуют незначительные примеси. Установление степени чистоты веществ - необходимое условие обеспечения прослеживаемости в химических измерениях. Аттестованные стандартные образцы используются лабораториями для приготовления градуировочных растворов, определения значений аттестуемой характеристики других АСО или приготовления исходных АСО, таких как, например, растворы, газовые смеси и др. При введении СО в качестве добавок важно, чтобы исходные материалы были тщательно проанализированы.
Наряду с прямым методом определения содержания примесей (например, методом понижения температуры замерзания), чистота веществ может быть установлена посредством дифференциальных методов с привлечением химических методов анализа по схеме, приведенной ниже:
- составляют перечень возможных примесей (как правило, на основе процесса, который был использован при производстве этого вещества);
- в исследуемом веществе определяют каждую из возможных примесей;
- чистоту рассчитывают с использованием дифференциального метода.
Измерения, необходимые для определения содержания примесей, часто очень сложны, так как концентрация большинства примесей близка к пределам обнаружения и/или определения. Для определения концентрации примесей могут быть привлечены различные методики измерений, лаборатории или подходы, описанные в 9.4.2. Это может привести к высоким относительным неопределенностям (массовой, молярной, объемной) доли этих примесей. Оценка неопределенностей также непроста, поскольку близость математических пределов (количество вещества и массовые доли определяются только между 0 и 1) может создать дополнительные проблемы, включая получение отрицательных значений оценок таких долей в соответствии с руководством [13].
Формула для расчета доли основного компонента у следующая.
|
|
(20) |
где k - число примесей,
Xi -доля i-й примеси в материале.
Суммарную стандартную неопределенность доли основного компонента рассчитывают по формуле
|
|
(21) |
что следует непосредственно из формулы распределения неопределенностей в соответствии с руководством [8] к выбранной модели измерений.
Часто доля некоторых веществ х, равна нулю вследствие того, что эти примеси действительно либо отсутствуют, либо значение этих долей ниже предела обнаружения метода измерений. Если предел обнаружения используют для установления значений концентрации примеси, то этот предел должен также быть использован для установления стандартной неопределенности, указывающей, что данный предел обнаружения представляет собой наивысший уровень концентрации конкретной примеси, которую невозможно обнаружить.
Общие рекомендации по оценке метрологических характеристик стандартных образцов чистых органических веществ приведены в [7].
Измерение массовой доли основного вещества может быть проведено с применением таких методов, как кулонометрия, гравиметрия и др. При использовании этих методов исследуемые материалы необходимо дополнительно проанализировать на содержание примесей в целях подтверждения результатов измерений, полученных указанными выше методами.
Примечание - Включение указанных положений обусловлено не только рекомендациями [7] в части оценки метрологических характеристик стандартных образцов чистых органических веществ, но и сложившейся практикой измерения массовой доли основного вещества в материалах с применением первичных методов.
9.5.2.2 Газовые смеси и синтетические стандартные образцы
Синтетические АСО, такие как растворы и газовые смеси, широко используют для градуировки. Эти АСО часто готовят с помощью средств измерений, применяемых в гравиметрии.
Если гравиметрический метод применяют для приготовления основного объема раствора, который затем подвергают процедурам отбора проб и разлива во флаконы, то процедура определения метрологических характеристик СО может включать в себя следующие этапы:
- этап 1: оценивание состава готового раствора с учетом результатов гравиметрии;
- этап 2: проверку гравиметрического метода с использованием подходящего аналитического метода; -этап 3: определение однородности между экземплярами;
- этап 4: определение стабильности для определения долговременной стабильности.
Влияние неопределенности результатов измерений от этапов 2 и 3 может быть незначимо (см. разделы 7 и 8), но их необходимо учитывать. Если они пренебрежимо малы, то их значение не будет оказывать влияния на суммарную стандартную неопределенность аттестованного значения АСО. Неопределенность результатов измерений, обусловленная проверкой гравиметрического метода, должна быть включена в модель вместе с неопределенностью, обусловленной гравиметрическими измерениями. Суммарную стандартную неопределенность аттестованного значения АСО рассчитывают по формуле
|
|
(22) |
где ugrav -стандартная неопределенность результата измерения, обусловленная процедурой приготовления;
uver - стандартная неопределенность результата измерений, обусловленная проверкой результатов измерений, полученных по гравиметрическому методу, с использованием подходящего другого - физического, физико-химического или химического метода.
Газовые смеси готовят гравиметрическим методом. С учетом процедуры приготовления состав газовых смесей может быть выражен в виде массовой, молярной или объемной доли компонентов. Исходными газами для приготовления газовых смесей могут быть газовые смеси или чистые газы (см. 9.5.1).
Примечания
1 В международном стандарте [24] представлен пример, иллюстрирующий способ приписывания значения аттестуемой характеристике газовых смесей, приготовленных методом гравиметрии.
2 При установлении значений аттестуемой характеристики газов, выпускаемых партиями в баллонах, применяют другие методы [25]. Из этих газов в дальнейшем приготовляют методом гравиметрии газовые смеси, используемые в качестве стандартных образцов для градуировки. Подробное описание бюджета неопределенности указанных методов приведено в рекомендациях [22].
Гравиметрический метод приготовления газовых смесей и установление значения величины по процедуре приготовления могут не учитывать то, что состав газовой смеси, входящей в баллон, может отличаться от состава газовой смеси, выходящей из баллона, вследствие явлений абсорбции и/или десорбции. Поэтому должна быть проведена проверка состава газовой смеси с целью исключить ошибки, которые могут быть допущены в процессе приготовления. Для этого необходимо сравнить количество вещества, значение которого установлено по результатам гравиметрического метода, с количеством вещества, значение которого установлено другим физико-химическим методом. Работы по определению метрологических характеристик стандартного образца могут быть продолжены в том случае, если количество вещества, значение которого установлено по результатам гравиметрического метода, совпадает с количеством вещества, значение которого установлено по результатам проверки.
9.5.2.3 Холостые пробы-добавки и матрицы холостых проб
Метод добавок холостых проб и/или холостых матриц в исследуемые образцы применяют при приготовлении АСО состава. При реализации этого метода применяют тот же подход, что и при приготовлении синтетических АСО. При реализации этого метода необходимо подтверждать, что добавляемый материал - действительно холостая проба, не включает в свой состав компоненты, содержание которых устанавливают при аттестации. При определении значения аттестуемой характеристики АСО следует учитывать количество холостой пробы и/или холостой матрицы, добавляемой при приготовлении материала СО.
Составляющие бюджета неопределенности при использовании рассматриваемого способа могут быть аналогичны тем, которые описаны в 9.5.2.2.
Примечание - Если существуют проблемы в преобразовании пробы (см. 9.2) или в определении неопределенности, то может быть также применен один из подходов, описанных в 9.4. Реальный выбор зависит от рекомендаций, изложенных в 9.2 и 9.3.
В химии, биохимии и других областях многие величины определяют с использованием конкретных методов измерений и с помощью конкретного оборудования. Примерами могут служить механические свойства материалов, активность ферментов и т д. Результаты этих измерений могут отличаться значительной изменчивостью.
Как и в любом другом измерении, результаты измерений зависят от условий их проведения. Но в нормативных документах условия проведения измерений не всегда описывают достаточно подробно, у оператора отсутствует возможность проверить правильность интерпретации и использования этих описанных процедур, поэтому возникает необходимость применения СО.
В тех случаях, когда результат измерений зависит от использования конкретной установки или средства измерений, имеется возможность, но чрезвычайно трудоемкая и дорогостоящая, подтвердить, что это средство измерений удовлетворяет всем техническим требованиям. Простой способ избежать этой проверки - проведение измерений аттестуемой характеристики в стандартных образцах. Удовлетворительные результаты измерений означают, что средство измерений и методика измерений пригодны для проведения измерений, измерения могут быть рассмотрены как имеющие прослеживаемость к единице величины шкалы порядка, значение которой установлено соответствующим стандартом, или к единице величины условной опорной шкалы.
Работа по определению значений аттестуемых характеристик, описываемых шкалой порядка или условной опорной шкалой, требует применения тех же самых принципов, которые были изложены выше.
Примечания
1 В Российской Федерации при измерениях и испытаниях, проводимых в области рН-метрии, используют меры рН утвержденного типа, внесенные в реестр утвержденных типов средств измерений.
2 Примечание 1 введено для учета требований национальной стандартизации.
Измерения таких параметров, как масса, объем, длина или температура, должны быть точными и прослеживаемыми и, следовательно, могут потребовать проведения большого объема калибровок соответствующих средств измерений. Необходимо исследование влияния различных параметров методики измерений на результаты измерения. Калибровку (градуировку, поверку) средств измерений следует проводить независимо в нескольких лабораториях во избежание единообразного смещения, которое может появиться в результате согласованности результатов измерений и вызвать иллюзию точности.
Эмпирическая оценка результатов измерений может быть проведена в соответствии с каким-либо правилом или определенным набором правил, необязательно формулируемых в виде математических уравнений. Для рассматриваемых в настоящем стандарте технических целей правила и зависимости выражают в виде математических уравнений, называемых моделями. Существуют два основных вида этих моделей:
- теоретические модели, описывающие установленные (чаще всего физические) зависимости между влияющими переменными методики измерений и значением определяемого свойства. Уравнения считают точными и применяют для вычисления значения. На втором этапе ту же самую модель измерения используют для оценки неопределенности, приписываемой влияющим переменным;
- эмпирические (основанные на опыте) модели, описывающие предполагаемые зависимости между случайными переменными и определенными параметрами исходных (предполагаемых) распределений. Эти модели используют с целью разработать процедуры определения приемлемой оценки статистических параметров рассматриваемых случайных переменных.
Также существуют модели, представляющие собой смешанный вид из двух вышеуказанных, часто называемые полуэмпирическими моделями. Примеры строго эмпирических моделей приведены в приложении А, в котором описаны процедуры дисперсионного анализа для различных влияющих факторов. Теоретические и полуэмпирические модели и их использование при оценке неопределенности описаны в руководстве [8].
За исключением способа а) по 9.3, согласно которому форма представления результатов измерений состоит из одного или нескольких отдельных результатов измерений, полученных по одной методике измерений, и неопределенности (см. ниже), представляемые данные могут быть оформлены в виде таблицы, содержащей:
1) соответствующую оценку аттестуемой характеристики (оценка среднего) и указание неопределенности;
2) определенное число результатов однократных измерений аттестуемой характеристики (повторные измерения) для каждой участвующей лаборатории.
Форма представления 1) позволяет провести оценку на основе неопределенности (10.7) при условии, что участвующие лаборатории имеют подходящие измерительные модели, тогда как форма представления 2) («классическая») требует статистической оценки, основанной на предположении об исходных функциях распределения.
Результаты, представляемые участвующими лабораториями, оценивают в соответствии с процедурой, изображенной на рисунке 7.
Рисунок 7 - Обработка результатов измерений
Для удобства обработки результатов измерений и для представления будущих заключений результаты совместных исследований должны быть сгруппированы с учетом аттестуемой характеристики и оформлены в виде таблицы. Эта таблица должна включать в себя сведения о лаборатории, о методике измерений, отдельные результаты измерений, среднее значение результатов измерений и соответствующее стандартное отклонение. Если участвующие лаборатории определяли значение аттестуемой характеристики для более чем одного экземпляра СО, то рекомендуется представлять среднее значение, полученное из результатов измерений аттестуемой характеристики внутри экземпляров, среднее значение, полученное из результатов измерений, полученных по совокупности результатов измерений, и соответствующие стандартные отклонения. Если участвующая лаборатория представила более одного набора результатов измерений для аттестуемой характеристики, полученного с применением разных методик измерений, каждый набор результатов измерений следует подвергать обработке отдельно от результатов другого набора.
Допускается использовать две формы представления результатов измерений в зависимости от того, требуется ли представление неопределенностей результатов измерений каждой лабораторией. Если от участвующих лабораторий требуется представление неопределенностей их результатов измерений, тогда достаточно указания результата измерений, его расширенной неопределенности и коэффициента охвата. Однако предпочтительно, чтобы каждая лаборатория указывала полную модель неопределенности со все-ми неопределенностями, что упростило бы оценку любых ковариаций между результатами измерений.
Если не требуется информация о неопределенности, тогда участвующие лаборатории должны представлять отдельные результаты измерений, а не средние значения. Число значащих цифр результатов измерений должно соответствовать требованиям программы определения метрологических характеристик СО.
В обоих случаях рекомендуется, чтобы схема применяемой измерительной процедуры была представлена достаточно подробно для понимания всех предварительных этапов измерительного процесса (например, в химическом анализе - этапов разложения пробы и отделения представляющих интерес образцов). Следует включать ссылки на источники информации (когда это целесообразно).
Нахождение приемлемого алгоритма оценки математического ожидания случайной переменной тес-но связано или с предполагаемым, или с установленным исходным распределением, выраженным в большинстве случаев как плотность распределения вероятностей. Во многих случаях распределение может быть представлено графически, путем построения гистограммы. Если не были приняты допущения, оценка данных по целому ряду измеренных значений может быть полностью основана на исследовании их распределений:
- с использованием подходящих процедур оценки, например оценки гистограммы;
- методом моментов при достаточном числе измерений.
Другие распределения, как правило используемые для количественного определения вкладов неопределенности, также симметричны, как, например, прямоугольное или треугольное распределение со-гласно руководству [8].
Рекомендации, представленные в 10.5 и 10.6, относятся к нормальному распределению результатов измерений (кроме случаев, касающихся оценки вкладов неопределенности типа В), по этой причине может быть необходима проверка распределения имеющихся результатов измерений для обоснования выбранного подхода.
Если множество результатов образуют две или более группы, то допускается сделать вывод об отсутствии согласованности между методиками измерений и/или лабораториями. Необходимо рассмотреть следующие случаи:
a) если между группами результатов измерений и методиками измерений присутствует корреляция и расхождение между средними значениями этих групп статистически и физически значимо, тогда единое аттестованное значение СО не может быть найдено; в этом случае требуется улучшение измерительных процедур;
b) если между этими группами и измерительными процедурами корреляция отсутствует и расхождение между этими группами статистически и физически значимо, то может потребоваться более широкое объединение результатов измерений для улучшения относительно неэффективных имеющихся методик измерений.
Незначительные расхождения между результатами измерений от разных методик измерений могут быть устранены путем введения дополнительной составляющей неопределенности. Целесообразность этого подхода может быть установлена только после определения значения этой составляющей неопределенности и подтверждения соответствия полученной таким образом суммарной стандартной неопределенности, связанной с аттестованным значением АСО, критериям, установленным при определении метрологических характеристик СО.
Если большинство результатов измерения образуют единую группу, может быть принят вывод об одновершинном (унимодальном) распределении. Наиболее подходящую оценку аттестованного значения представляет собой среднее значение результатов измерений.
При одновершинном (унимодальном) распределении следует принять решение об обоснованности допущения о нормальности. Это решение может быть основано на визуальном наблюдении гистограммы, на проверке гипотезы о нормальном распределении либо на прошлом опыте рассмотрения вида распределения результатов.
В некоторых случаях результаты могут быть преобразованы способами, позволяющими их распределение аппроксимировать нормальным распределением. К некоторым наиболее часто применяемым способам преобразования относятся логарифмирование, представление результатов в квадратичной или экспоненциальной форме.
Для определения аттестованных значений СО и их неопределенностей допущение о функции распре-деления менее критично, чем для исследований на наличие выбросов. В связи с тем, что большинство описательных статистик основано на нормальном распределении, рекомендуется проверить согласованность распределения результатов измерений с нормальным распределением и возможность преобразования, позволяющего использовать статистические методы, допускающие нормальное распределение результатов измерений.
Независимо от формы представления наборы результатов измерений следует проверять визуально и графически перед применением любой из процедур, описанных в 10.5 и 10.6. Любая выявленная аномалия должна быть исследована на возможные тривиальные (ошибка при передаче, опечатка и т д.) и нетривиальные (сбой оборудования и т д.) причины. При подтверждении ошибок и сбоев соответствующие результаты должны быть отвергнуты.
Кроме того, результаты измерений должны быть проверены на наличие технически необоснованных результатов. Технически необоснованные результаты обнаруживают, внимательно изучая отчеты об измерениях. Технически необоснованный результат необязательно может быть статистически необоснованным результатом. Анализируемый результат измерений может входить в диапазон приемлемых результатов измерений, но условия, при которых получен результат измерений, могут не соответствовать условиям, предусмотренным в методике измерений. Технически необоснованные результаты измерений должны быть удалены из наборов данных.
В случаях когда значение результата измерений получено при реализации методики измерений, основанной на первичном методе с установленной неопределенностью, это значение с соответствующей неопределенностью принимают как аттестованное значение АСО. При наличии серии результатов измерений за окончательный результат измерений, как правило, принимают среднее значение. В этом случае расширенная неопределенность результата измерений -это расширенная неопределeнность методики измерений.
1) серии значений, каждое из которых сопровождается указанием неопределенности;
2) серии измерений каждой лаборатории.
В первой ситуации указания неопределенности должны, как часть отбраковки данных, проходить проверку достоверности, например с использованием описания методики измерений. Тогда эти данные могут проходить обработку, как описано в 10.7.
Если имеются серии измерений, то результаты измерений могут быть обработаны как описано в рекомендациях [4] и приложении А настоящего стандарта. Эта процедура может включать в себя проверку:
a) на значимость расхождений между средними значениями результатов измерений, полученных лабораториями. Данная процедура служит основой для принятия решений о том, следует ли рассчитывать среднее значение из числа средних значений лабораторий;
b) вида распределения результатов измерений и выбросов в наборе данных, используемых в соответствии с решением, принятым согласно перечислению а);
с) на резко отклоняющиеся дисперсии результатов измерений, полученных в различных лабораториях, в совокупности результатов измерений (при необходимости, т е. при наличии аномальной дисперсии).
Если совокупность результатов измерений имеет нормальное распределение, тогда среднее значение, выбранное в перечислении а), допускается рассматривать как значение, полученное при определении значения аттестуемой характеристики. Если значение аттестуемой характеристики представляет собой только среднее средних значений результатов измерений, т е.
|
|
(23) |
тогда суммарное стандартное отклонение среднего средних значений результатов измерений получают на основе стандартного отклонения s, квадрат которого оценивают по формуле
|
|
(24) |
Стандартная неопределенность
|
|
(25) |
В формулах (23) - (25) p обозначает число лабораторий. Правильность этого выражения в значительной степени определяется независимостью значений Yi. Поэтому следует проверить, до какой степени справедливо допущение о независимости результатов измерений от методик измерений или лабораторий. Эта проверка важна особенно для больших значений p (см. 10.6.2).
При использовании разных методов измерений в одной лаборатории возможны две формы представления результатов измерений:
1) серия значений результатов измерений, каждое из которых сопровождено указанием неопределенности;
2) серия значений результатов измерений каждой лаборатории.
В первом случае предполагается установление значений аттестуемой характеристики и неопределенности результатов измерений посредством использования выбранных методик измерений. В этом случае применяют подход, описанный в 10.7.
Подход, описанный в 10.5.2, используют для второго случая. Необходимо, чтобы хотя бы для одной из методик измерений был известен полный бюджет неопределенности, что позволит проверить оценку неопределенности и оценить смещение результата измерений. (Это не приводит к дополнительному требованию, так как все использованные методики измерений должны отвечать требованиям прослеживаемости, изложенным в 9.2).
Результаты измерений величины, определяемой конкретным методом, обрабатывают тем же способом, который описан в 10.5.2.
Если отклонение единичного результата измерений или совокупности результатов измерений поточности или прецизионности по сравнению с другими результатами данной совокупности соответственно больше, чем обоснованные статистические флуктуации, относящиеся к данному распределению плотности вероятности, то такой результат измерений вызывает сомнение как статистически неправильный результат (выброс). Поэтому эффективность обнаружения выбросов зависит от обоснованности допущения о плотности распределения. В равной степени важно иметь достаточное число результатов измерений и информацию о процедуре их проведения, для того чтобы принимать правильные допущения относительно выбросов. Проверка на выбросы должна быть прерогативой специалиста по статистике в отношении как выбора обоснованных подходов на исследование выбросов, так и проведения анализа.
Резко отклоняющиеся результаты измерений могут быть на всех этапах межлабораторного исследования: могут быть оценены как выбросы единичных результатов измерений, так и подгруппы результатов измерений (например, сгруппированные по экземплярам). Выбросы должны быть удалены или в редких случаях (например, ошибка при расчетах) заменены исправленными результатами. Выбросы следует удалять только при условии их выявления несколькими способами. Выбросы в дисперсиях следует удалять только в крайних случаях, т е. если они противоречат набору данных. Дополнительные измерения, как правило, неприемлемы, поскольку условия, при которых будут получены результаты измерений, уже не одни и те же для всех результатов измерений.
Примечание - Часто проводят разграничение между квазивыбросами и выбросами (см., например, ГОСТ Р ИСО 5725-2). Квазивыбросы, как правило, должны быть сохранены в наборе данных, тогда как выбросы должны быть исключены. Это в большинстве случаев послужит гарантией того, что оценка неопределенности не станет недооцененной.
Неопределенность, установленная в 10.5.1, представляет собой неопределенность от способа определения аттестованного значения СО uchar.
Если результаты измерений, представленные лабораториями, сопровождены указаниями неопределенности, тогда используют метод, описанный в 10.7, и рассчитанную неопределенность принимают как стандартную неопределенность, обусловленную способом определения аттестованного значения СО uchar.
Если лаборатории представляют только серию результатов измерений, стандартное отклонение результатов измерений считают стандартной неопределенностью, обусловленной способом определения аттестованного значения uchar. Если у неопределенности и/или смещения общие источники, тогда стандартное отклонение результатов измерений необходимо дополнять оценками для этих источников неопределенности.
Если результаты измерений, представленные лабораториями, сопровождены указаниями неопределенности, тогда используют метод, описанный в 10.7, рассчитанную неопределенность принимают как стандартную неопределенность, обусловленную способом установления значения аттестуемой характеристики материала СО uchar.
Оценку неопределенности результатов измерений величин, определяемых методикой измерений, проводят тем же способом, который описан в 10.6.2.
После того как установлены неопределенности результатов измерений, полученных при определении значений аттестуемой характеристики СО, проводят оценивание аттестованного значения АСО и суммарной стандартной неопределенности.
Аттестованное значение АСО может быть установлено как среднее или средневзвешенное значение результатов измерений. Если установлены модели неопределенности, тогда выражение для суммарной стандартной неопределенности может быть получено, использованием формулы по оцениванию неопределенностей (согласно руководству [8], раздел 5), включающих в себя дополнительный источник неопределенности, учитывающий любой значительный разброс в результатах измерений лабораторий.
Суммарная стандартная неопределенность, обусловленная способом определения аттестуемой характеристики материала СО, может быть рассчитана по формуле
|
|
(26) |
где рассмотрены четыре типа неопределенностей:
- тип I - неопределенности отдельной лаборатории;
- тип II - неопределенности, общие для всех лабораторий;
- тип III - неопределенности, общие для групп лабораторий;
- тип IV - расхождения между результатами измерений участвующих лабораторий.
Оценивание неопределенности результатов измерений вручную трудоемко и не исключает возникновения ошибок. Если все составляющие неопределенности установлены, то они могут быть использованы для расчета значений всех видов неопределенностей автоматически. Это может быть выполнено разными путями - либо путем прямого определения значений отдельных составляющих неопределенности, либо, например, при использовании c2-аппроксимации1).
1) Этот метод также известен как метод наименьших квадратов или «аппроксимация методом наименьших квадратов». c2 - аппроксимация отличается от аппроксимации методом наименьших квадратов только масштабным коэффициентом, позволяющим проводить оценку статистического критерия Х2 после процедуры аппроксимации.
Метод аппроксимации по критерию c2 состоит в следующем. Составляют матричное уравнение
|
|
(27) |
где а - значение аттестуемой характеристики;
yi - результаты измерений, полученные входе межлабораторного эксперимента;
х - вектор плана эксперимента. Для этого конкретного случая все значения хi известны, если выбрана функциональная зависимость. Для данной ситуации х1 = х2 = хр = 1. Для результатов измерений у должны быть установлены значения неопределенности. Это учитывают в ковариационной матрице дисперсии, определяемой как
|
|
(28) |
Указанная матрица, имеющая размеры р×р, симметрична (т е. верхний треугольник может содержать те же элементы, что и нижний треугольник). Ковариацию между каждой парой лабораторий оценивают путем поиска всех переменных величин, включенных в расчет результата измерений и идентификацию общих величин. Для такого поиска не имеет значения, являются ли эти составляющие общими для двух или большего числа лабораторий. Процесс попарного изучения любых существующих ковариаций позволяет во время его проведения не делать различия между неопределенностями типа II и типа III (см. 10.7.1).
После создания ковариационной матрицы V(y) задача аппроксимации может быть определена как
|
j(а) = (y - Xa)T V-1(y - Xa). |
(29) |
Аттестованное значение может быть рассчитано по формуле
|
a = xchar = CXT V-1 y, |
(30) |
где
|
C = (XT V-1 X)-1, |
(31) |
его дисперсия - по формуле
|
|
(32) |
Существуют различные алгоритмы для решения задачи аппроксимации. При этом следует учесть, что матрица V эквивалентна V(y) при условии, если содержит все составляющие неопределенности. В противном случае к V(y) необходимо добавить дополнительную ковариационную матрицу дисперсии. Построение такой матрицы аналогично построению V(y), при котором часто заполняется только диагональ.
Данный метод представляет собой прямую реализацию описанной модели, но никоим образом не является единственным методом. Перед его использованием следует установить наличие или отсутствие выбросов (см. 10.5.5). Аналогично следует проанализировать заявленные неопределенности относительно правильности их оценки и, при необходимости, соответственно адаптировать схему задания веса (см. 10.5.1).
Примечание - Необходимо учитывать, что метод аппроксимации по критерию c2 чувствителен к резко отклоняющимся результатам измерений и к правильности оценки взвешенных значений.
При оценке результатов измерений, полученных в ходе эксперимента по 10.6.2, 10.6.4 и частично по 10.6.3, используют дисперсионный анализ. При оценке составляющих неопределенности, обусловленных неоднородностью между экземплярами [см., например, 10.8.2 и А.2 (приложение А)], или при определении аттестованного значения по результатам измерений, полученных в рамках межлабораторного эксперимента [см. А.3 (приложение А)], также применяют метод дисперсионного анализа. В других случаях используют метод расчета среднего средних значений результатов измерений.
Результаты межлабораторного исследования могут служить в качестве окончательного подтверждения однородности материала СО. Для этой цели выполняют двухфакторный иерархический план эксперимента, при котором используют pq исследуемых проб, р лабораторий и/или методик (методов) измерений. Каждая лаборатория измеряет значение аттестуемой характеристики в q пробах, выполняя п параллельных измерений в исследуемой пробе (более подробную информацию об определении однородности см. в разделе 7). В разделе А.2 (приложение А) приведен алгоритм расчета соответствующих дисперсий.
Для определения аттестованного значения могут быть использованы различные способы: определение среднего значения, определение робастного среднего значения. В настоящем разделе описан способ преобразования выражения для расчета среднего значения результата измерения с учетом параметров, полученных от применения дисперсионного анализа, в выражение для стандартной неопределенности, обусловленной способом определения аттестованного значения uchar .
Среднее значение результата измерений межлабораторного эксперимента х может быть определено следующим образом:
|
|
(33) |
где хi - результаты измерений;
wi - веса, которые основаны на числе наблюдений, неопределенности результатов измерений лабораторий или на каких-либо других факторах. Это выражение предполагает, что веса определены таким образом, что их сумма равна единице.
Если все хi сопровождаются указанием неопределенности, тогда стандартная неопределенность, обусловленная способом определения аттестованного значения, может быть выражена в виде
|
|
(34) |
при условии, что все хi взаимно независимы. Этот основной метод может быть также применен к подходам, изложенным в 10.4. При использовании заявленных неопределенностей последние должны быть проверены на достоверность (см. также 10.6.1). Если данные о неопределенности отсутствуют, то при расчете среднего из средних значений (см. 10.5.2. и 10.6.2) может быть оценена неопределенность.
Рекомендации по определению неопределенности, обусловленной способами определения аттестованного значения СО, а также расширенной неопределенности аттестованного значения СО приведены в [4].
Примечание - Включение данного положения обусловлено рекомендациями [4] в части определения неопределенности, обусловленной способами определения аттестованного значения СО.
В рамках экспериментальных работ может быть проведено сличение стандартных образцов - сравнение метрологических характеристик стандартных образцов в целях установления возможности взаимной замены сличаемых стандартных образцов при их использовании в соответствии с на-значением.
Сличение СО проводят в случаях выпуска повторной партии СО с имеющимися экземплярами СО из партии предыдущего выпуска, в том числе при внесении изменений в методику измерений, программу определения метрологических характеристик СО, технологию приготовления материала СО. В обоснованных случаях сличения стандартных образцов проводят в рамках аттестации стандартных образцов в целях утверждения типа.
Сличение СО может быть проведено в целях оценивания корреляции метрологических характеристик СО с известными аттестованными стандартными образцами более высокого метрологического уровня (в случаях, когда установление прослеживаемости СО к эталону невозможно) в соответствии с международным стандартом [2].
Примечания
1 Участие изготовителя СО в сличении СО может быть расценено как демонстрация его измерительных возможностей.
2 Включение положения в том числе обусловлено рекомендациями [22], [23], действующими в Российской Федерации.
Заключительным этапом работ по определению метрологических АСО является оформление отчета по определению метрологических характеристик АСО в соответствии с рекомендациями [26].
В рамках аттестации СО предусмотрены проверка (метрологическая экспертиза) документации по определению метрологических характеристик АСО, принятие решения о подписании сопроводительного документа (паспорта) АСО.
Примечание - Включение положения об оформлении отчета по результатам определения метрологических характеристик СО обусловлено рекомендациями [26], а также сложившейся мировой практикой в части оформления результатов аттестации стандартных образцов.
Требования к паспорту АСО установлены в ГОСТ Р 8.691 и руководстве [27].
Примечания
1 Паспорт, сопровождаемый АСО, является кратким изложением работ по определению метрологических характеристик АСО, включающих в себя выбор материала, оценку его пригодности, измерение значений аттестуемых характеристик.
2 Паспорт АСО должен включать в себя следующие сведения:
- наименование и адрес организации-изготовителя;
- наименование документа;
- номер партии (экземпляра);
- наименование СО;
- назначение;
- метрологические характеристики;
- срок годности экземпляра или периодичность повторных определений метрологических характеристик СО;
- описание СО;
- методики (методы) измерений, использованные при определении метрологических характеристик СО;
- утверждение о прослеживаемости;
- инструкцию по применению;
- условия хранения и транспортирования;
- требования безопасности;
- комплект поставки;
- дату выпуска или последнюю дату повторного определения метрологических характеристик экземпляра (партии) СО;
- дополнительные сведения, в том числе сведения о системе менеджмента качества изготовителя АСО; инициалы, фамилию и подпись ответственного за аттестацию СО лица, наименование органа (под-разделения), осуществившего аттестацию АСО.
- инициалы, фамилии и подписи ответственных за выпуск СО лиц.
3 Включение примечания 1 обусловлено требованиями к паспорту стандартных образцов, установленными ГОСТ Р 8.691 и руководством [27].
Несмотря на то что дополнительная информация, кроме той, которая содержится в паспорте АСО, может не потребоваться, она должна быть доступна пользователю АСО.
В паспорте АСО следует указать имя должностного лица, представляющего орган (подразделение), осуществляющее аттестацию АСО, указывающее, что данная персона принимает на себя ответственность за содержание паспорта АСО.
Примечание - Предпочтительнее оставить на усмотрение органа (подразделения), проводившего работы по аттестации СО, решение о подписании паспорта АСО.
А.1 Однофакторный дисперсионный анализ
Рассмотрен случай наличия a групп, каждая из которых содержит ni членов. В идеальном случае число членов в группах должно быть равным, но на практике это бывает не всегда. Следует отметить, что, чем совокупность результатов измерений менее полная, тем хуже качество оценок.
Разброс результатов измерений может быть выражен через суммы квадрата отклонений, известные также как «суммы квадратов». Эти суммы квадратов выражают отклонения на разных (иерархических) уровнях в дисперсионном анализе [28]. Так называемые средние квадраты, полученные в ходе развернутой программы, могут быть преобразованы в дисперсии следующим образом:
|
|
(A.1) |
|
|
(A.2) |
где
|
|
(A.3) |
Если недостающие данные
отсутствуют, то n0 становится равным n. Представленный механизм допускает описать разброс результатов
измерений различными составляющими неопределенности. При отсутствии каких-либо
межгрупповых влияний ожидается, что
равно
нулю. Если вследствие различных причин, связанных с экспериментом, значение
отрицательное,
то его приравнивают к нулю.
Пример - При исследовании однородности между экземплярами sA соответствует стандартному отклонению между экземплярами sbb. В этом случае каждый экземпляр рассматриваю как группу.
А.2 Случайные эффекты иерархического эксперимента: двухфакторный дисперсионный анализ
Эту модель применяют при использовании результатов измерений для подтверждения однородности, а также - для оценки значения аттестуемой характеристики материала СО. Эта схема эксперимента проиллюстрирована на рисунке А.1 для конкретного случая межлабораторных исследований. Если эксперимент предполагает использование нескольких методик (методов) измерений, то план эксперимента, может быть общим.
Результаты измерений могут быть выражены в виде уравнения
|
|
(A.4) |
где xijk - k-й результат измерения величины в экземпляре образца у, представленный методикой измерений и/или лабораторией i;
Аi - погрешность методики измерений и/или лаборатории i;
Bij - погрешность результата измерений j-й исследуемой пробы, полученного по конкретной методике измерений и/или конкретной лабораторией i;
eijk - погрешность результата измерения.
Оценивают следующие параметры: среднее значение результатов измерений, рассчитанное из совокупности результатов измерений, межлабораторное стандартное отклонение sL, стандартное отклонение результатов измерений величины между экземплярами sbb и стандартное отклонение повторяемости sr. Перечисленные параметры связаны с указанными выше видами погрешности следующим образом:
|
|
(A.5) |
|
|
(A.6) |
|
|
(A.7) |
При оценке стандартного отклонения, обусловленного неоднородностью между экземплярами sbb, должны быть учтены положения, описанные в 7.9.
Все эти параметры могут быть оценены одновременно с помощью дисперсионного анализа, если имеется одинаковое число результатов параллельных измерений [одинаковое число параллельных измерений по каждой исследуемой пробе и одно и то же число исследуемых проб, аттестуемую характеристику в которых измеряют в лаборатории и/или с применением конкретной методики (метода) измерений] после исключения любых технически и статистически необоснованных результатов. Если это требование дисперсионного анализа невыполнимо, то значимость дисперсии между экземплярами допускается определить другими средствами (см. раздел 7).

А - изменчивость между лабораториями; В - изменчивость
между экземплярами;
W - повторяемость измерений
Рисунок
А.1 - Схема проведения совместных исследований одновременно с
исследованием однородности партии [определение значения аттестуемой
характеристики материала СО (двухфакторный план эксперимента)]
Примеры теоретических деталей и дополнительные методы для сбалансированного и несбалансированного дисперсионного анализа приведены в [29], [30]. Обсуждение применения дисперсионного анализа в сочетании с определением значения аттестуемой характеристики материала СО приведено в [11], [25] [31], [32].
Определение значений аттестуемой характеристики СО (двухфакторный план эксперимента):
А - межлабораторная изменчивость;
В - изменчивость между экземплярами;
W - повторяемость измерений.
Ниже приведены формулы расчета
вышеуказанных параметров. Среднее значение результатов измерений
рассчитывают
по формуле
|
|
(A.8) |
где p - число лабораторий;
bj - число экземпляров, анализируемых в лаборатории и/или с применением метода измерений i;
nij - число повторных измерений, проводимых с применением каждого экземпляра ij. Дисперсии рассчитывают следующим образом:
|
|
(A.9) |
|
|
(A.10) |
|
|
(A.11) |
|
|
(A.12) |
|
|
(A.13) |
|
|
(A.14) |
|
|
(A.15) |
|
|
(A.16) |
|
|
(A.17) |
Средние квадраты (MS) могут также быть получены при использовании стандартной программы табличных расчетов или пакета статистического программного обеспечения. В приведенных выражениях учитывают отсутствующие и/или удаленные (недействительные) результаты измерений. Для полного набора данных допускается использовать более простые формулы, приведенные в ГОСТ Р ИСО 5725-3.
Эту модель используют в случае, если исследование однородности между экземплярами проводят другими средствами (см. раздел 7). Схема эксперимента проиллюстрирована на рисунке А.2. Результаты измерений могут быть представлены как
|
|
(A.18) |
где xjj - j-й результат измерения, полученный в лаборатории и/или с применением методики измерений i;
Аj - погрешность методики измерений и/или лаборатории i;
eij - погрешность измерений.
А - изменчивость между лабораториями; W - повторяемость измерений
Рисунок А.2 - Однофакторный дисперсионный анализ: план совместного исследования однородности и определения значения аттестуемой характеристики материала СО
Обозначения - те же, что и для двухфакторного плана
эксперимента [см. раздел А.2 (приложение А)]. Оценивают следующие
параметры: среднее по совокупности
, межлабораторное
стандартное отклонение sL и
стандартное отклонение повторяемости sr. Эти
параметры связаны с остаточными членами, как описано в разделе А.2
(приложение А).
Оценки параметров получают, используя следующие выражения:
|
|
(A.19) |
|
|
(A.20) |
|
|
(A.21) |
где обозначения те же, что и в разделе А.1 (приложение А).
Приведенные в настоящем приложении примеры предназначены, главным образом, для демонстрации применения статистических подходов в соответствии с разделами 7 - 10.
Статистические рекомендации настоящего стандарта носят общий характер и не всегда предоставляют оптимальное решение для конкретной задачи. При оценке результатов измерений имеется много дополнительных задач (например, проверка достоверности данных, обнаружение выбросов, оценка расчетов неопределенности на достоверность, устойчивость алгоритмов программного обеспечения), которые находятся за рамками настоящего стандарта, но могут быть так же важны, как выбор правильного статистического подхода.
В настоящем приложении приведены отдельные части программ определения метрологических характеристик СО для иллюстрации статистических рекомендаций, представленных в настоящем стандарте. Уместность этих примеров следует рассматривать в связи с заявлениями, приведенными в начале раздела В.1. Важным критерием при выборе примеров оценки неопределенности должно быть выполнение условия распределения результатов измерений, близкого к распределению Гаусса.
Расширенная неопределенность аттестованного значения СО IRMM/IFCC-452 (у-глютамилтрансфераза) [33] оценена путем объединения вкладов неопределенностей, обусловленных способом определения аттестованного значения СО, неоднородностью и нестабильностью
|
|
(B.1) |
Использован коэффициент охвата k = 2. Условия транспортирования выбраны таким образом, чтобы не учитывать дополнительную неопределенность от нестабильности, обусловленную изменениями при транспортировании. Следовательно, usts = 0. Все другие неопределенности выражены в относительной форме1).
1) Относительные неопределенности допускается объединять только в том случае, если все неопределенности выражены по отношению к одному значению. В случае сомнения предпочтительнее объединять стандартные неопределенности, выраженные в абсолютных единицах.
Установлено, что относительная стандартная неопределенность, обусловленная способом определения аттестованного значения СО uchar, равна 0,61 %, ubb и uits равны 0,29 % и 0,78 % соответственно. Таким образом, установлено, что расширенная неопределенность UCRM равна2)
2) Единица МЕ/дм3 (международная единица на дм3) - это единица активности ферментов.
|
|
(В.2) |
Эта неопределенность основана на сроке годности 6 лет. Срок годности может быть увеличен, если будет получено дальнейшее доказательство стабильности материала в соответствии с [34].
В.3 Исследование однородности
В ходе работ, связанных с определением метрологических характеристик стандартного образца массовой доли хрома в почве, проведено исследование однородности между экземплярами. В таблице В.1 приведены результаты исследования однородности.
Таблица В.1 - Результаты исследования однородности между экземплярами
Массовая доля, млн-1
|
Результат № 1 |
Результат № 2 |
Результат № 3 |
|
|
1 |
121,30 |
128,74 |
119,91 |
|
2 |
120,87 |
121,32 |
119,24 |
|
3 |
122,44 |
122,96 |
123,45 |
|
4 |
117,60 |
119,66 |
118,96 |
|
5 |
110,65 |
112,34 |
110,29 |
|
6 |
117,30 |
120,70 |
121,49 |
|
7 |
115,27 |
121,45 |
117,48 |
|
8 |
118,96 |
123,78 |
123,29 |
|
9 |
118,67 |
116,67 |
114,58 |
|
10 |
126,24 |
123,51 |
126,20 |
|
11 |
128,65 |
122,02 |
121,93 |
|
12 |
126,84 |
124,72 |
123,14 |
|
13 |
122,61 |
128,48 |
126,20 |
|
14 |
118,95 |
123,82 |
118,11 |
|
15 |
118,74 |
118,23 |
117,38 |
|
16 |
119,74 |
121,78 |
121,01 |
|
17 |
121,21 |
123,28 |
116,38 |
|
18 |
129,30 |
124,10 |
122,02 |
|
19 |
136,81 |
129,80 |
128,47 |
|
20 |
127,81 |
117,66 |
122,90 |
Данные могут быть также представлены как группа средних значений, стандартных отклонений и членов в каждой группе. По результатам, приведенным в таблице В.1, рассчитаны для каждого экземпляра средние значения, дисперсии и число результатов измерений (таблица В.2).
Таблица В.2 - Средние значения массовой доли хрома, дисперсия и число результатов измерений
|
Среднее значение массовой доли, млн-1 |
Дисперсия |
Число результатов измерений |
|
|
1 |
123,32 |
22,54 |
3 |
|
2 |
120,48 |
1,20 |
3 |
|
3 |
122,95 |
0,26 |
3 |
|
4 |
118,74 |
1,10 |
3 |
|
5 |
111,09 |
1,20 |
3 |
|
6 |
119,83 |
4, 95 |
3 |
|
7 |
118,07 |
9,81 |
3 |
|
8 |
122,01 |
7,04 |
3 |
|
9 |
116,64 |
4,18 |
3 |
|
10 |
125,32 |
2,45 |
3 |
|
11 |
124,20 |
14,85 |
3 |
|
12 |
124,90 |
3,45 |
3 |
|
13 |
125,76 |
8,76 |
3 |
|
14 |
120,29 |
9,50 |
3 |
|
15 |
118,12 |
0,47 |
3 |
|
16 |
120,84 |
1,06 |
3 |
|
17 |
120,29 |
12,54 |
3 |
|
18 |
125,14 |
14,06 |
3 |
|
19 |
131,69 |
20,08 |
3 |
|
20 |
122,79 |
25,76 |
3 |
Рассчитанные параметры для анализа дисперсии приведены в таблице В.3.
Таблица В.3 - Таблица дисперсионного анализа для исследования однородности между экземплярами
|
SS |
Степень свободы |
MS |
|
|
Внутри экземпляров |
1 037,1 |
19 |
54,59 |
|
Между экземплярами |
330,5 |
40 |
8,26 |
|
Полное расхождение |
1 367,6 |
59 |
- |
Дисперсию между экземплярами оценивают по формуле
|
|
(В.3) |
Стандартное отклонение результатов измерений между экземплярами представляет собой корень квадратный этой дисперсии
|
|
(B.4) |
Стандартное отклонение повторяемости может быть рассчитано с учетом MSwithin
|
|
(B.5) |
В.4 Однородность между экземплярами с учетом ограниченной повторяемости методики измерений
Подход, описанный в 7.9, может быть проиллюстрирован следующим образом. Ткань свиной почки была разбавлена хлоридом натрия и гомогенизирована [33]. После двойного осаждения продукт был подвергнут очистке хроматографическим методом на колонке DEAE Trisacryl, затем на гидроксилапатитовой колонке. В качестве матрицы был выбран белок бычьей сыворотки с массовой концентрацией 60 г/дм3, так как его добавление не изменяет каталитические свойства частично очищенного фермента. Процедуру заполнения материала СО в ампулы контролировали взвешиванием 101 ампулы через равные промежутки времени. Изменение значения аттестуемой характеристики материала СО за время заполнения материала в ампулы не было обнаружено. В дальнейшем материал СО был лиофилизирован.
В материале СО было проведено измерение массовой доли примесных ферментов, воды, остаточного кислорода, основного компонента. По результатам проверки материал СО был признан пригодным для проведения дальнейших исследований в рамках определения метрологических характеристик СО.
Оценка однородности материала СО была проведена по
результатам измерений, полученным из предыдущих исследований по определению
значения аттестуемой характеристики материала СО. Были проанализированы
материалы 20 ампул. Измерения повторяли три раза каждый день в течение двух
дней. По результатам измерений, полученным в течение двух дней, был выполнен
дисперсионный анализ. Были рассчитаны стандартное отклонение результатов
измерений аттестуемой характеристики внутри ампул swb,
между ампулами sbb и определено
влияние расхождений на стандартное отклонение результатов измерений аттестуемой
характеристики между ампулами
. Результаты
анализа дисперсии, включая оценку дисперсии на разных этапах исследований,
приведены в таблице В.4.
Таблица В.4 - Результаты измерения аттестуемой характеристики в ткани свиной почки
|
Значение величины |
|
|
Среднее, МЕ/дм3 |
67,78 |
|
MSamong, (МЕ/дм3)2 |
1,76 |
|
MSwithin, (МЕ/дм3)2 |
1,63 |
|
sr, % |
1,88 |
|
sbb, % |
0,22 |
|
|
0,29 |
Стандартное отклонение результатов измерений, полученных для различных экземпляров, рассчитано по формуле
|
|
(B.6) |
На основании полученного результата было установлено, что sbb равно 0,147 МЕ/дм3. Поскольку две группы проводили по три измерения каждая, следовательно п = п0 = 6. Значение sr может быть рассчитано из MSwithin
|
|
(B.7) |
При использовании выражения (6) из 7.9 может быть получена оценка стандартной неопределенности, характеризующей неоднородность между экземплярами
|
|
(B.8) |
В.5 Исследование стабильности и срок годности
Проведено исследование стабильности СО массовой доли хрома в почве. Экспериментальные данные представлены в таблице В.5.
Таблица В.5 - Результаты исследования стабильности
|
Массовая доля хрома, млн-1 |
|
|
0 |
97,76 |
|
12 |
101,23 |
|
24 |
102,14 |
|
36 |
97,72 |
В связи с тем, что не существует физической и химической моделей, описывающих механизм нестабильности исходного материала (почвы) стандартного образца, в качестве эмпирической модели используют прямолинейную зависимость. Значение массовой доли хрома определено графически (при пересечении прямой с осью координат) и соответствует (в пределах неопределенности) значению аттестуемой характеристики СО, коэффициент b1 уравнения прямой близок к нулю.
Коэффициент b1 уравнения прямой рассчитывают, используя следующее уравнение
|
|
(B.9) |
где
|
|
(В.10) |
Отрезок, отсекаемый на оси координат, рассчитывают по формуле
|
|
(B.11) |
Стандартное отклонение точек от прямолинейной зависимости рассчитывают по формуле
|
|
(B.12) |
На основании полученных результатов значение s = 2,8237 млн-1, неопределенность коэффициента s(b1) рассчитывают, используя выражение
|
|
(B.13) |
Коэффициент Стьюдента для п - 2 степеней свободы и Р = 0,95 (95 %-ная доверительная вероятность) равен 4,30.
Поскольку
|
|
(B.14) |
коэффициент b1 принимают незначимым, что свидетельствует о стабильности материала в течение исследуемого периода времени.
Параметры дисперсионного анализа для линейной регрессии приведены в таблице В.6.
Таблица В.6 - Таблица дисперсионного анализа для линейной регрессии
|
Степень свободы |
SS |
MS |
F |
Р |
|
|
Регрессия |
1 |
0,031205 |
0,031205 |
0,003914 |
0,956 |
|
Остаточная |
2 |
15,947 |
7,9733 |
|
|
|
Полная |
3 |
15,978 |
|
|
|
Значение Р показывает, что регрессия незначима.
В соответствии с 8.5 неопределенность, обусловленную долговременной нестабильностью, рассчитывают по формуле
|
ults = sb1t = 0,105233 · 36 = 3,78 млн-1 |
(В.15) |
для срока годности t = 36 мес. Ограничивающий фактор в этом примере связан с относительно скудными данными по стабильности. Ожидают, что действительный эффект от нестабильности хрома в почве будет значительно меньше.
В.6 Определение значения аттестуемой характеристики с использованием дисперсионного анализа
Следующий пример описывает определение метрологических характеристик СО с использованием стандартизованной методики измерения концентрации g-глютамилтрансферазы (ГГТ) при температуре 37 °С. Определение аттестованного значения проводят с учетом оценки согласованности между результатами измерений, полученными в разных лабораториях, применяющих стандартизованную методику измерений каталитической концентрации показателя при температуре 37 X. Каждая лаборатория получила семь ампул лиофилизированного материала ГГТ, пробы для внутреннего контроля качества, стандартизованную методику измерений, сведения о форме представления результатов измерений и другой информации. Каждый день в течение двух дней проводили восстановление содержимого трех ампул, измеряли каталитическую концентрацию ГГТ в материале каждой ампулы. Для контроля точности результатов измерений параллельно с измерением концентрации ГГТ в материале СО проводили измерение концентрации ГГТ в контрольном материале.
Прослеживаемость гравиметрии, волюмометрии и термометрии была продемонстрирована и задокументирована. Прослеживаемость спектрофотометрического метода была подтверждена посредством использования СО состава раствора бихромата калия.
Было заранее оговорено, что относительное стандартное отклонение результатов измерений, полученные при межлабораторном эксперименте, превышающее 2,5 %, не может быть принято при оценке аттестованного значения СО. В связи с тем, что результаты измерений одной лаборатории были смещены относительно опорного значения пробы для внутреннего контроля качества, было решено не использовать результаты измерений этой лаборатории. В таблице В.7 приведены результаты измерений, полученные в лабораториях, среднее значение результатов измерений, стандартное отклонение и относительное стандартное отклонение результатов измерений.
Таблица В.7 - Результаты измерения значения аттестуемой характеристики, полученные при межлабораторном эксперименте
|
Результаты эксперимента, МЕ/дм3 |
Среднее |
Стандартное |
Относительное |
||||||
|
1 |
118,1 |
118,9 |
119,0 |
118,1 |
118,1 |
119,2 |
118,6 |
0,5 |
0,4 |
|
4 |
112,6 |
112,6 |
110,6 |
114,0 |
114,0 |
114,0 |
113,0 |
1,3 |
1,2 |
|
5 |
111,9 |
113,7 |
110,3 |
112,4 |
113,0 |
110,9 |
112,0 |
1,3 |
1,1 |
|
7 |
111,1 |
111,4 |
115,1 |
109,3 |
111,0 |
109,7 |
111,3 |
2,1 |
1,8 |
|
8 |
113,0 |
115,0 |
112,6 |
112,6 |
113,7 |
113,1 |
113,3 |
0,9 |
0,8 |
|
9 |
113,3 |
112,4 |
113,8 |
110,2 |
112,5 |
114,4 |
112,8 |
1,5 |
1,3 |
|
10 |
114,0 |
115,3 |
114,9 |
113,7 |
114,3 |
112,8 |
114,2 |
0,9 |
0,8 |
|
11 |
116,8 |
116,9 |
117,4 |
116,7 |
117,0 |
116,6 |
116,9 |
0,3 |
0,2 |
|
13 |
112,6 |
113,0 |
113,7 |
111,7 |
113,6 |
111,0 |
112,6 |
1,1 |
1,0 |
|
14 |
114,9 |
115,5 |
114,5 |
115,7 |
115,5 |
115,4 |
115,3 |
0,5 |
0,4 |
|
15 |
117,1 |
118,6 |
117,9 |
116,4 |
117,7 |
118,4 |
117,7 |
0,8 |
0,7 |
|
16 |
113,9 |
112,5 |
111,0 |
111,1 |
110,8 |
112,4 |
112,0 |
1,2 |
1,1 |
Результаты, приведенные в таблице В.8, получены при использовании однофакторного дисперсионного анализа.
Таблица В.8 - Результаты однофакторного дисперсионного анализа, рассчитанные по результатам, приведенным в таблице В.7
|
SS |
Степень свободы |
MS |
|
|
Между группами |
388,64 |
11 |
35,33 |
|
Внутри групп |
76,45 |
60 |
1,27 |
|
Всего |
465,09 |
71 |
|
Среднее средних значений результатов измерений рассчитывают по формуле
|
|
(В.16) |
Поскольку набор данных полный (каждая из групп содержит п = 6 результатов измерений), среднее по совокупности может быть также рассчитано как среднее средних
|
|
(В.17) |
Неопределенность среднего средних значений результатов измерений равна
|
|
(В.18) |
при условии, что
|
|
(B.19) |
и
|
|
(B.20) |
B.7 Определение значения аттестуемой характеристики материала СО с использованием взвешенного среднего
Лабораториям, участвующим в межлабораторном исследовании материала СО, было дано задание оценить значение результатов измерений и их неопределенность. Прослеживаемость результатов измерений была подтверждена с помощью: 1) раствора с известной массовой долей хрома; 2) контрольного образца, достаточно полно исследованного для проведения проверки, например правильности предварительной пробоподготовки образца. При использовании этих средств на первом этапе необходимо определить, продемонстрировали ли участвующие лаборатории достаточный контроль точности результатов измерений. Результаты определения аттестуемой характеристики в исследуемом материале СО приведены в таблице В.9. Во второй колонке таблицы В.9 приведены результаты измерений значений аттестуемой характеристики хi, в третьей колонке - значения стандартной неопределенности результатов измерений ui. По данным оценки результатов измерений значений аттестуемой характеристики в контрольных образцах было подтверждено допущение о достоверности указаний неопределенности1).
1) В случае недостоверных указаний неопределенности задание весу данным на основе описанного здесь подхода, как правило, не проводят.
Таблица В.9 - Обработка результатов измерения массовой доли хрома в почве (мин-1)
|
xi, |
ui, |
|
w |
|
|
1 |
135 |
12 |
0,00694 |
0,0375 |
|
2 |
122 |
8 |
0,01563 |
0,0845 |
|
3 |
123 |
9 |
0,01235 |
0,0667 |
|
4 |
117 |
8 |
0,01563 |
0,0845 |
|
5 |
102 |
8 |
0,01563 |
0,0845 |
|
6 |
120 |
10 |
0,01000 |
0,0541 |
|
7 |
121 |
8 |
0,01563 |
0,0845 |
|
8 |
124 |
12 |
0,00694 |
0,0375 |
|
9 |
114 |
8 |
0,01563 |
0,0845 |
|
10 |
133 |
8 |
0,01563 |
0,0845 |
|
11 |
124 |
12 |
0,00694 |
0,0375 |
|
12 |
13 |
8 |
0,01563 |
0,0845 |
|
13 |
131 |
11 |
0,00826 |
0,0447 |
|
14 |
123 |
13 |
0,00592 |
0,0320 |
|
15 |
121 |
11 |
0,00826 |
0,0447 |
|
16 |
123 |
10 |
0,01000 |
0,0541 |
Значения w' получены по формуле
|
|
(B.21) |
В целях удовлетворения условию о том, что весовые коэффициенты дают в сумме единицу, для получения окончательных значений весов проведен расчет по формуле
|
|
(B.22) |
Значения этих весовых коэффициентов приведены в последней колонке таблицы В.9. Среднее значение результатов измерений рассчитано по формуле
|
|
(B.23) |
Соответствующая стандартная неопределенность рассчитана по формуле
|
|
(B.24) |
Таблица ДА.1
|
Обозначение ссылочного национального стандарта |
Степень соответствия |
Обозначение и наименование соответствующего международного стандарта или документа |
|
MOD |
Руководство ИСО 31:2000 «Стандартные образцы материалов (веществ). Содержание паспортов и этикеток» |
|
|
IDT |
ИСО 3534.1:1993 «Статистические методы. Вероятность и основы статистики. Термины и определения» |
|
|
IDT |
ИСО 5725-1:1994 «Точность (правильность и прецизионность) методов и результатов измерений. Часть 1. Основные положения и определения» |
|
|
IDT |
ИСО 5725-2:1994 «Точность (правильность и прецизионность) методов и результатов измерений. Часть 2. Основной метод определения повторяемости и воспроизводимости стандартного метода измерений» |
|
|
IDT |
ИСО 5725-3:1994 «Точность (правильность и прецизионность) методов и результатов измерений. Часть 3. Промежуточные показатели прецизионности стандартного метода измерений» |
|
|
IDT |
ИСО 5725-4:1994 «Точность (правильность и прецизионность) методов и результатов измерений. Часть 4. Основные методы определения правильности стандартного метода измерений» |
|
|
IDT |
ИСО 5725-5:1998 «Точность (правильность и прецизионность) методов и результатов измерений. Часть 5. Альтернативные методы определения прецизионности стандартного метода измерений» |
|
|
В настоящей таблице использованы следующие условные обозначения степени соответствия стандартов: - IDT - идентичные стандарты; - MOD - модифицированные стандарты. |
||
Сопоставление структуры настоящего стандарта со
структурой примененного
международного документа
Таблица ДБ.1
|
Структура настоящего стандарта |
Структура международного документа Руководство ИСО 35:2006 |
|
1 Область применения |
1 Область применения |
|
2 Нормативные ссылки |
2 Нормативные источники |
|
3 Термины и определения |
3 Термины, определения и обозначения |
|
4 Обозначения и сокращения |
4 Символы (и аббревиатуры терминов) |
|
5 Планирование определения метрологических характеристик стандартного образца |
5 Планирование проекта по аттестации |
|
5.1 Общие положения |
5.1 Общие положения |
|
5.2 Подготовка программ |
5.2 Подготовка проекта |
|
5.3 Вопросы транспортирования |
5.3 Вопросы транспортирования |
|
5.4 Отбор исходного материала |
5.4 Сбор исходного материала |
|
5.5 Исследование возможности выполнения программ |
5.5 Анализ разрешимости проекта |
|
5.6 Предполагаемый срок службы и срок годности |
5.6 Требуемый срок службы и срок годности |
|
5.7 Приготовление материалов |
5.7 Приготовление материалов |
|
5.7.1 Вводная часть |
5.7.1 Вводная часть |
|
5.7.2 Синтетические материалы |
5.7.2 Синтетические материалы |
|
5.7.3 Смешивание материалов |
5.7.3 Смешивание материалов |
|
5.7.4 Добавки |
5.7.4 Добавки |
|
5.7.5 Гомогенизация и деление |
5.7.5 Гомогенизация и деление |
|
5.8 Определение однородности |
5.8 Исследование однородности |
|
5.9 Определение стабильности |
5.9 Исследование стабильности |
|
5.10 Выбор методик измерений |
5.10 Выбор методов измерений |
|
5.11 Аттестация |
5.11 Аттестация |
|
5.12 Краткое изложение работ |
5.12 Итог проекта |
|
6 Оценивание неопределенности результатов измерений |
6 Оценка неопределенности измерения |
|
6.1 Основа для определения неопределенности аттестованного значения (аттестованного) стандартного образца |
6.1 Основа для оценки неопределенности величины свойства (А)СО |
|
6.2 Модель измерений |
6.2 Основная модель характеризации |
|
6.3 Источники неопределенности |
6.3 Источники неопределенности |
|
6.4 Функции распределения |
6.4 Вопросы с функциями распределения |
|
6.5 Использование отношений |
6.5 Использование отношений |
|
6.6 Выбор коэффициента охвата |
6.6 Выбор коэффициента охвата |
|
6.7 Повторная аттестация |
6.7 Повторная аттестация |
|
7 Определение однородности |
7 Исследование однородности |
|
7.1 Вводная часть |
7.1 Вводная часть |
|
7.2 Материалы |
7.2 Материалы |
|
7.3 Понятие однородности |
7.3 Понятие однородности |
|
7.4 Индикаторы однородности |
7.4 Практика |
|
7.5 Измерения |
7.5 Измерения |
|
7.6 Статистически обоснованные схемы отбора проб и анализ тренда |
7.6 Статистически обоснованный дискретный анализ схем и направления |
|
7.7 Определение однородности |
7.7 Оценка исследования однородности |
|
7.8 Определение однородности между экземплярами |
7.8 Исследование однородности между экземплярами |
|
7.9 Недостаточная повторяемость методик измерений |
7.9 Недостаточная повторяемость метода измерения |
|
7.10 Внутриэкземплярная неоднородность |
7.10 Внутриэкземплярная неоднородность |
|
8 Исследование стабильности |
8 Исследование стабильности |
|
8.1 Типы стабильности |
8.1 Типы (не)стабильности |
|
8.2 Планирование эксперимента |
8.2 Проекты экспериментов |
|
8.3 Оценка результатов измерений |
8.3 Оценка результатов |
|
8.3.1 Анализ тренда |
8.3.1 Анализ тренда |
|
8.3.2 Оценка неопределенности в отсутствие тренда |
8.3.2 Оценка неопределенности в отсутствие тренда |
|
8.4 Мониторинг стабильности |
8.4 Мониторинг стабильности |
|
8.4.1 Эксперимент |
8.4.1 Эксперимент |
|
8.4.2 Оценка неопределенности |
8.4.2 Оценка неопределенности |
|
8.5 Определение срока годности стандартного образца |
8.5 Определение срока годности по долгосрочной устойчивости |
|
9 Определение значений свойств |
9 Определение значений свойств |
|
9.1 Вводная часть |
9.1 Введение |
|
9.2 Установление и демонстрация прослеживаемости |
9.2 Установление и демонстрация прослеживаемости |
|
9.3 Способы определения значений аттестуемой характеристики |
9.3 Практические методы |
|
9.4 Выполнение измерений |
9.4 Проект измерения |
|
9.4.1 Измерения одним или несколькими методами в одной лаборатории |
9.4.1 Измерение одним или более методами в одной лаборатории |
|
9.4.2 Измерения в нескольких лабораториях |
9.4.2 Стратегии, включающие многочисленные лаборатории |
|
9.4.2.1 Концепция |
9.4.2.1 Концепция |
|
9.4.2.2 Руководство и график выполнения работ |
9.4.2.2 Управление и спецификация |
|
* |
9.4.2.3 Технические требования |
|
9.4.2.3 Требуемое число результатов измерений (9.4.2.3.1) |
9.4.2.3.1 Требуемое число результатов |
|
9.4.2.4 Число единиц (экземпляров) и повторных измерений (9.4.2.3.2) |
9.4.2.3.2 Число единиц и повторных измерений |
|
9.4.2.5 Методы измерений (9.4.2.3.3) |
9.4.2.3.3 Методы измерений |
|
9.4.2.6 Представление результатов измерений (9.4.2.3.4) |
9.4.2.3.4 Представление результатов |
|
9.5 Особенности определения значений аттестуемой характеристики |
9.5 Рассмотрение особенностей, связанных со свойствами |
|
9.5.1 Стандартные образцы физических свойств |
9.5.1 СО физических свойств |
|
9.5.2 Стандартные образцы химического состава |
9.5.2 СО химического состава |
|
9.5.2.1 Стандартные образцы чистых веществ |
9.5.2.1 ССО чистых веществ |
|
9.5.2.2 Газовые смеси и синтетические стандартные образцы |
9.5.2.2 Синтетические СО и газовые смеси |
|
9.5.2.3 Холостые пробы-добавки и матрицы холостых проб |
9.5.2.3 Холостые пробы и чистые матрицы |
|
9.5.3 Определение значений величин условных шкал и шкал порядка |
9.5.3 Характеризация стандартных свойств |
|
10 Оценка результатов измерений и неопределенности |
10 Данные и оценивание неопределенности |
|
10.1 Модели |
10.1 Модели |
|
10.3 Распределения |
10.3 Распределения |
|
10.4 Отбраковка результатов измерений |
10.4 Отбраковка данных |
|
10.5 Оценивание результатов измерений |
10.5 Оценка данных |
|
10.5.1 Один метод в одной лаборатории |
10.5.1 Метод а): единственный метод в единственной лаборатории |
|
10.5.2 Группа методов и/или лабораторий |
10.5.2 Метод с): сеть методов и/или лабораторий |
|
10.5.3 Разные методы в одной лаборатории |
10.5.3 Метод b): Многочисленные методы в единственной лаборатории |
|
10.5.4 Результат измерений величины, определяемой методом |
10.5.4 Метод d): метод, определяющий параметр |
|
10.5.5 Анализ результатов измерений на совместимость и наличие выбросов |
10.5.5 Обработка крайних величин |
|
10.6 Оценивание неопределенности, обусловленной способом определения аттестованного значения |
10.6 Оценка неопределенности |
|
10.6.1 Один метод в одной лаборатории |
10.6.1 Метод а): единственный метод в единственной лаборатории |
|
10.6.2 Группа методов и/или лабораторий |
10.6.2 Метод с): сеть методов и/или лабораторий |
|
10.6.3 Разные методы в одной лаборатории |
10.6.3 Метод b): Многочисленные методы в единственной лаборатории |
|
10.6.4 Результаты измерений величин, определяемых методом |
10.6.4 Метод d): метод, определяющий параметр |
|
10.7 Оценивание суммарной стандартной неопределенности, обусловленной способом определения аттестованного значения |
10.7 Составляющие неопределенности |
|
10.7.1 Вводная часть |
10.7.1 Основы |
|
10.7.2 Аппроксимациях2 |
10.7.2 Аппроксимация Х2 |
|
10.8 Специальные вопросы |
10.8 Специфические вопросы |
|
10.8.1 Оценивание результатов измерений с использованием дисперсионного анализа |
10.8.1 Оценка данных с использованием дисперсионного анализа |
|
10.8.2 Подтверждение однородности в рамках межлабораторного исследования |
10.8.2 Подтверждение однородности как часть общего анализа |
|
10.8.3 Суммарная стандартная неопределенность аттестованного значения |
10.8.3 Комбинированная стандартная неопределенность величины свойства |
|
11 Сличение стандартных образцов** |
- |
|
12 Аттестация |
11 Аттестация |
|
Приложение А (справочное) Статистические подходы |
Приложение А (информационное) Статистические методы |
|
Приложение В (справочное) Примеры |
Приложение А (информационное) Примеры |
|
Приложение ДА (справочное) Сведения о соответствии ссылочных национальных и международных стандартов международным стандартам и документам, использованным в качестве ссылочных в примененном международном стандарте |
|
|
Приложение ДБ (справочное) Сопоставление структуры настоящего стандарта со структурой примененного международного документа |
- |
|
Библиография |
Библиография |
|
* Данный раздел исключен, его подразделы представлены в виде разделов с нумерацией из четырех цифр. Нумерация подразделов, представленная пятью цифрами, исключена вследствие требований ГОСТР 1.5 - 2004. ** Данный раздел введен с учетом положений рекомендаций, действующих в Российской Федерации, вследствие необходимости включения сведений о работах по сличению стандартных образцов, которые могут быть проведены в рамках аттестации стандартных образцов. Примечание - После заголовков разделов (подразделов) настоящего стандарта приведены в скобках номера аналогичных им разделов (подразделов) международного стандарта. |
|
|
Cuide JCGM 200:2008 |
International Vocabulary of Metrology - VIM |
|
|
|
(ISO/IEC Guide 99:2007) |
Международный словарь по метрологии |
|
ISO Guide 34 |
General requirements for the competence of reference material producers |
|
|
Рекомендации по метрологии |
Государственная система обеспечения единства измерений. Общие критерии компетентности производителей стандартных образцов |
|
|
Рекомендации по межгосударственной стандартизации |
Государственная система обеспечения единства измерений. Оценивание метрологических характеристик стандартных образцов |
|
|
Рекомендации по метрологии |
Государственная система обеспечения единства измерений. Стандартные образцы состава и свойств веществ и материалов. Общие требования к программам и методикам аттестации |
|
|
Рекомендации по метрологии |
Государственная система обеспечения единства измерений. Стандартные образцы состава и свойств веществ и материалов. Методика оценивания характеристики стабильности |
|
|
Рекомендации по межгосударственной стандартизации РМГ 55-2002 |
Государственная система обеспечения единства измерений. Стандартные образцы состава чистых органических веществ. Методы аттестации |
|
|
Guide to Expression of Uncertainty in Measurement. ISO, Geneva, 1993; (русский перевод: Руководство по выражению неопределенности измерения. Перевод с английского под редакцией В. А. Слаева. ВНИИМ. - СПб, 1999) |
||
|
Griepink B., Maier E., Muntau H., Wells D.E., The certification of the contents of six chlorobipbenyls (Nos 28, 52, 101, 118, 153 and 180) in dried sludge. CRM 392. EUR 12823 EN. Luxemburg 1990 |
||
|
Rice J.A. Mathematical statistics and data analysis. 2nd edition. Duxbury Press, Belmont CA 1995. Chapters 3 and 4 |
||
|
Van der Veen A.M.H., Linsinger T.P.J, Lamberty A, Pauwels J., Uncertainty calculations in the certification of reference materials. 4. Characterisation and certification. Accreditation and Quality Assurance. 6. 2001. p. 290-294 |
||
|
Linsinger T.P.J., Pauwels J., Van der Veen A.M.H., Schimmel H., Lamberty A., Homogeneity and Stability of Reference Materials. Accreditation and Quality Assurance. 6. 2001. p. 20-25 |
||
|
ISO Guide 33 |
Uses of certified reference materials |
|
|
Lamberty A., Schimmel H., Pauwels J., The study of the stability of reference materials by isochronous measurements, Fresenius J. Anal. Chemistry. 360. 1997. p. 359-361 |
||
|
Ellison S.L.R, Rosslein M., Williams A. (eds.), Eurachem/Citac Guide - Quantifying uncertainty in analytical measurement. LGC. London 2000 |
||
|
Minutes from the fifth meeting (February 1998) of the Consultative Committee on the Quantity of Material (CCQM) of the Bureau International des Poids et Mesures (BIPM). Sèvres. France. 1988 |
||
|
Рекомендации по метрологии МИ 3174 - 2009 |
Государственная система обеспечения единства измерений. Стандартные образцы материалов (веществ). Установление прослеживаемости аттестованных значений |
|
|
May W., Parris R., Beck C, Fassett J., Greenberg R., Guenther F, Kramer G., Wise S., Gills T, Colbert J., Gettings R., MacDonald B., Definition and terms and modes used at NIST for value-assignment of reference materials for chemical measurements. NIST Special Publication 260-136. Gaithersburg MD. January 2000 |
||
|
Kaarls R., Quinn T.J., The Comitè Consultatif pour la Quantitè de Matière: a brief review of its origin and present activities. Metrologia. 34. 1997. p. 1-5 |
||
|
Alink A., Van der Veen A.M.H., “Uncertainty calculations for the preparation of primary gas mixtures. 1. Gravimetry”. Metrologia. 37. 2000. p. 641-650 |
||
|
Blaine R.L., Schoff C.K. (eds.) Purity Detenninations by Thermal Methods. ASTM STP 838. ASTM. Philadelphia. 1984 |
||
|
Рекомендации по метрологии |
Государственная система обеспечения единства измерений. Стандартные образцы материалов (веществ). Методика сличения |
|
|
Рекомендации по межгосударственной стандартизации РМГ 56-2002 |
Государственная система обеспечения единства измерений. Комплекты стандартных образцов состава веществ и материалов. Методика взаимного сличения |
|
|
ISO 6142:2001 |
Gas analysis - Preparation of calibration gas mixtures - Gravimetric method |
|
|
Guenther F.R., Dorko W.D., Miller W.R., Rhoderick G.C., The NIST Traceable Reference Material Program for gas standards. NIST Special Publication 260-126. Gaithersburg MD. July 1996 |
||
|
Рекомендации по метрологии. |
Государственная система обеспечения единства измерений Стандартные образцы материалов (веществ). Содержание и оформление отчета о разработке |
|
|
ISO Guide 31 |
Reference materials - Contents of certificates and labels |
|
|
Van der Veen A.M.H., Pauwels J., Uncertainty calculations in the certification of reference materials. 1. Principles of analysis of variance, Accreditation and Quality Assurance, 5 (2000), pp. 464-169 |
||
|
Cox M.G., Forbes A.B., Harris P.M., SSfM Best Practice Guide 4 - Discrete modelling, Centre for Mathematics and Scientific Computing, NPL, Teddington (UK), Version 1.1, March 2002 |
||
|
Cox M.G., Dainton M.P, Harris P.M., SSfM Best Practice Guide 6 - Uncertainty and statistical modelling, Centre for Mathematics and Scientific Computing, NPL. Teddington (UK). March 2001 |
||
|
Van der Veen A.M.H., Linsinger T.P.J, Pauwels J., Uncertainty calculations in the certification of reference materials. 2. Homogeneity study, Accreditation and Quality Assurance. 6. 2001. p. 26-30 |
||
|
Van der Veen A.M.H., Linsinger T.P.J., Lamberty A., Pauwels J., Uncertainty calculations in the certification of reference materials. 3. Stability study, Accreditation and Quality Assurance. 6. 2001. p. 257-263 |
||
|
Linsinger T, Kristiansen N, Schimmel H, Pauwels J et al. (2000). Catalytic Concentration of g-Glutamyltransferase (GGT) determined by the IFCC-Method at 37 °C. IRMM/IFCC-452. EUR19577EN |
||
|
Schiele F., Siest G., Moss D.W., Colinet E. The certification of the catalytic concentration of gammaglutamyltransferase in a reconstituted lyophilized material (CRM 319). 1986. CEC Report EUR 10628 EN |
||
Ключевые слова: стандартные образцы, метрологические характеристики стандартных образцов, аттестованное значение стандартного образца, неопределенность аттестованного значения стандартного образца