Распоряжение Министерства транспорта РФ
от 11 сентября 2013 г. № МС-91-р
"Об утверждении Программы внедрения композиционных материалов, конструкций и изделий из них в области транспорта"
В соответствии с подпунктом "ж" пункта 7 Перечня поручений Президента Российской Федерации по итогам заседания Совета при Президенте Российской Федерации по модернизации экономики и инновационному развитию России от 24 октября 2012 г., утвержденного Президентом Российской Федерации В.В. Путиным от 12 октября 2012 г. № Пр-3028:
1. Утвердить прилагаемую Программу внедрения композиционных материалов, конструкций и изделий из них в области транспорта.
2. Контроль за исполнением настоящего распоряжения возложить на заместителя Министра А.С. Цыденова.
|
Министр |
М.Ю. Соколов |
Программа внедрения композиционных материалов, конструкций и изделий из них в области транспорта
(утв. распоряжением Министерства транспорта РФ
от 11 сентября 2013 г. № МС-91-р)
Программа внедрения композиционных материалов, конструкций и изделий из них разработана в соответствии с Перечнем поручений Президента Российской Федерации от 12 ноября 2012 г. № Пр-3028 по итогам заседания Совета при Президенте Российской Федерации по модернизации экономики и инновационному развитию России 24 октября 2012 г. и поручениями Председателя Правительства Российской Федерации от 21 ноября 2012 г. № ДМ-П8-6998.
Технологии создания и обработки композиционных материалов включены в перечень критических технологий, создающих существенные предпосылки для развития многих технологических областей разработок и вносящих главный вклад в решение ключевых проблем реализации приоритетных направлений развития науки и технологий при Межотраслевом характере этого вклада. Создание и применение композиционных материалов в транспортной инфраструктуре, конструкциях автомобильных и железных дорог, искусственных сооружений - это основные направления инноваций, соответствующие перечню критических технологий Российской Федерации.
В транспортном комплексе используются традиционные композиционные материалы, к которым по общепринятому определению можно отнести асфальтобетон, цементобетон, укрепленный грунт и др. Настоящая Программа рассматривает современные композиционные материалы, обладающие преимуществами по сравнению с традиционными, благодаря сочетанию свойств слагающих их компонентов, прежде всего, современных армирующих компонентов на основе различных волокон - углеродных, арамидных, полиэфирных и стекловолокон.
К числу основных "современных" композиционных материалов (КМ) или компонентов, их образующих, применительно к транспортной инфраструктуре можно отнести:
конструкционные КМ в виде армированных пластиков, предназначенных для изготовления строительных конструкций - несущих, образующих различные элементы оборудования и обустройства, технологические емкости, элементы; водоотводных сооружений;
современные строительные материалы с повышенными механическими характеристиками в виде тканей, лент, стержней, обеспечивающих создание элементов усиления непосредственно на месте производства работ, в основном при ремонте (усилении) искусственных сооружений;
ламинаты для усиления мостовых сооружений;
армирующие элементы в виде волокон разной длины (в том числе тонкодисперсных - фибры), предназначенные для улучшения свойств асфальтобетонов и цементобетонов;
полимер-битумные композиции для изготовления асфальтобетонов;
геокомпозиты для использования в дренажах (геодрены) и армирования, в частности, армирования насыпей в сложных условиях строительства (армогеокомпозиты).
Преимуществами современных композиционных материалов, при производстве которых обеспечивается получение запрограммированного набора желательных свойств, являются высокая прочность, жесткость, малый вес, технологичность, невосприимчивость к агрессивным внешним факторам, способность повторять практически любые формы конструкции, долговечность. В результате создается возможность получения существенных технико-экономических преимуществ в различных областях применения при строительстве, реконструкции и ремонте транспортной инфраструктуры и искусственных сооружений.
При наличии широкой практики применения композиционных материалов в строительстве за рубежом, в имеющейся отечественной практике применения отсутствует достаточная регламентация этого применения, как в России, так и за рубежом. Создание такой регламентации, учитывая многообразие областей применения композиционных материалов (усиление искусственных сооружений, дорожных конструкций, повышение работоспособности дренажей, сооружений поверхностного водоотвода, повышение долговечности элементов инженерного оборудования и обустройства, создание элементов мостовых сооружений, пролетных строений пешеходных мостов, мобильных покрытий), требует проведения широкого круга научно-исследовательских и опытно-конструкторских работ.
Целью разработки настоящей Программы является создание условий наибольшего благоприятствования для широкого применения современных и эффективных композитов, конструкций и изделий из них в гражданских секторах экономики, введение в практику транспортного строительства современных композиционных материалов, обеспечивающих развитие основных направлений инноваций, соответствующих критическим технологиям увеличения сроков службы транспортных конструкций и искусственных сооружений.
Настоящая Программа предполагает решение следующих задач для достижения указанной цели:
увеличение объемов производства и потребления инновационной продукции композитной отрасли, обеспечивающей снижение стоимости владения и увеличение сроков безремонтной эксплуатации конструкций, изделий, зданий и сооружений, произведенных, построенных или отремонтированных с применением композитов;
повышение эффективности и инновационности государственных закупок, осуществляемых профильными государственными заказчиками и компаниями с государственным участием, подведомственными Минтрансу России, за счет применения композитов, конструкций и изделий из них;
повышение эффективности деятельности государственными заказчиками и компаниями с государственным участием, подведомственными Минтрансу России, за счет применения композитов, конструкций и изделий из них;
обеспечение системного выполнения исследований по приоритетным направлениям и разработка документов технического регулирования в сфере транспорта;
обеспечение единого подхода к классификации, терминам и определениям применительно к современным композиционным материалам в сфере транспорта;
исследование долговечности композиционных материалов и условий их совместной работы в конструкциях из асфальтобетона, цементобетона;
разработка оптимальных конструкций и составов композиционных материалов или их компонентов;
разработка (уточнение) методов проектирования применительно к искусственным сооружениям, дорожным конструкциям, включающим элементы из композиционных материалов;
разработка технологии производства работ с применением композиционных материалов и контроля качества их выполнения;
разработка требований к композиционным материалам и конструкциям с их применением в различных областях их применения;
разработка (уточнение) методов оценки свойств композиционных материалов;
выполнение опытно-экспериментальной проверки новых технических решений;
полное нормативно-техническое обеспечение инновационных технологий, основанных на применении композиционных материалов в основных областях применения в 2015 году;
обеспечение ежегодно возрастающих темпов увеличения доли технологий, основанных на применении композиционных материалов в общем количестве инновационных объектов.
Выполнение настоящей Программы позволит применить системный подход к решению задач инновационного развития отрасли за счет применения современных композиционных материалов при первоочередном обеспечении приоритетных направлений их применения.
Увеличение количества объектов с применением композиционных материалов на участках строительства (реконструкции) и ремонта объектов транспортной инфраструктуры и искусственных сооружений в 1,5 раза.
Увеличение относительной протяженности линейных объектов транспортной инфраструктуры построенных (реконструированных), отремонтированных по технологиям, основанным на применении композиционных материалов на 15 %.
Министерство транспорта Российской Федерации, Федеральное агентство воздушного транспорта, Федеральное дорожное агентство, Федеральное агентство железнодорожного транспорта, Федеральное агентство морского и речного транспорта, Федеральная служба по надзору в сфере транспорта, компании с государственным участием, подведомственные Минтрансу России, отраслевые научно-исследовательские и проектные институты и учебные заведения, производители композиционных материалов.
В результате реализации настоящей Программы ожидается создание нормативно-технического обеспечения применения композиционных материалов в сфере транспорта и на этой основе обеспечение их расширенного применения. Ожидаемый технико-экономический эффект от реализации настоящей Программы по основным ее направлениям:
увеличение срока службы, снижение трудоемкости, сроков выполнения строительных (ремонтных) работ, сокращение затрат на выполнение работ по ремонту (содержанию) искусственных сооружений: железобетонных конструкций мостов, настилов (тротуаров) мостов и путепроводов, пешеходных мостов и путепроводов, тоннелей, водоотводных сооружений;
повышение работоспособности дорожных одежд, качества выполнения работ и применяемых материалов при строительстве дорожных одежд, ремонте покрытий (нежесткие и жесткие дорожные одежды), мобильные покрытия для устройства временного проезда;
повышение надежности конструкций транспортной инфраструктуры, сокращение сроков и стоимости строительства, в том числе в сложных условиях строительства (слабые грунты) на основе усиления земляного полотна современными геокомпозиционными материалами;
повышение сроков службы, снижение эксплуатационных расходов на основе применения современных элементов инженерного обустройства (дорожные знаки, опоры освещения, ограждения, снегозащитные сооружения, волнозащитные сооружения, бакены и т.д.).
Оценка эффективности настоящей Программы осуществляется на основе эффекта от реализации программных мероприятий в сфере деятельности транспорта, а также внетранспортного эффекта.
|
№ п/п |
Наименование мероприятия |
Ответственный исполнитель |
Сроки мероприятия |
Примечание |
|
1 |
2 |
3 |
4 |
5 |
|
1. Формирование отраслевого реестра (базы данных) композитов, конструкций и изделий из них, пригодных для применения и рекомендуемых к использованию на территории Российской Федерации |
||||
|
1.1. |
Формирование реестра (базы данных) композитов, конструкций и изделий из них, пригодных для применения и рекомендуемых к использованию в сфере воздушного транспорта |
Федеральное агентство воздушного транспорта, ОАО "Аэрофлот - российские авиалинии", ОАО "Международный аэропорт Шереметьево", подведомственные учебные заведения и научно-исследовательские и проектные институты |
Декабрь 2013 г. |
|
|
1.2. |
Формирование реестра (базы данных) композитов, конструкций и изделий из них, пригодных для применения и рекомендуемых к использованию в сфере дорожного хозяйства |
Федеральное дорожное агентство, ГК "Автодор", подведомственные учебные заведения и научно-исследовательские и проектные институты |
Декабрь 2013 г. |
|
|
1.3. |
Формирование реестра (базы данных) композитов, конструкций и изделий из них, пригодных для применения и рекомендуемых к использованию в сфере железнодорожного транспорта |
Федеральное агентство железнодорожного транспорта, ОАО "РЖД", подведомственные учебные заведения и научно-исследовательские и проектные институты |
Декабрь 2013 г. |
|
|
1.4. |
Формирование реестра (базы данных) композитов, конструкций и изделий из них, пригодных для применения и рекомендуемых к использованию в сфере морского и речного транспорта |
Федеральное агентство морского и речного флота, ОАО "Совкомфлот", ОАО "Новороссийский торговый порт", подведомственные учебные заведения и научно-исследовательские и проектные институты |
Декабрь 2013 г. |
|
|
2. Формирование перечня нормативно-технических документов, регламентирующих применение в отрасли композитов, конструкций и изделий из них |
||||
|
2.1. |
Формирование перечня нормативно-технических документов, регламентирующих применение в сфере воздушного транспорта композитов, конструкций и изделий из них |
Федеральное агентство воздушного транспорта, ОАО "Аэрофлот - российские авиалинии", ОАО "Международный аэропорт Шереметьево", подведомственные учебные заведения и научно-исследовательские и проектные институты |
|
После завершения выполнения мероприятия 1.3 подпрограммы 14 "Развитие производства композиционных материалов (композитов) и изделий из них" Государственной программы Российской Федерации "Развитие промышленности и повышение ее конкурентоспособности" |
|
2.2. |
Формирование перечня нормативно-технических документов, регламентирующих применение в сфере дорожного хозяйства композитов, конструкций и изделий из них |
Федеральное дорожное агентство, ГК "Автодор", подведомственные учебные заведения и научно-исследовательские и проектные институты |
|
После завершения выполнения мероприятия 1.3 подпрограммы 14 "Развитие производства композиционных материалов (композитов) и изделий из них" Государственной программы Российской Федерации "Развитие промышленности и повышение ее конкурентоспособности" |
|
2.3. |
Формирование перечня нормативно-технических документов, регламентирующих применение в сфере железнодорожного транспорта композитов, конструкций и изделий из них |
Федеральное агентство железнодорожного транспорта, ОАО "РЖД", подведомственные учебные заведения и научно-исследовательские и проектные институты |
|
После завершения выполнения мероприятия 1.3 подпрограммы 14 "Развитие производства композиционных материалов (композитов) и изделий из них" Государственной программы Российской Федерации "Развитие промышленности и повышение ее конкурентоспособности" |
|
2.4. |
Формирование реестра (базы данных) композитов, конструкций и изделий из них, пригодных для применения и рекомендуемых к использованию в сфере морского и речного транспорта |
Федеральное агентство морского и речного флота, ОАО "Совкомфлот", ОАО "Новороссийский торговый порт", подведомственные учебные заведения и научно-исследовательские и проектные институты |
|
После завершения выполнения мероприятия 1.3 подпрограммы 14 "Развитие производства композиционных материалов (композитов) и изделий из них" Государственной программы Российской Федерации "Развитие промышленности и повышение ее конкурентоспособности" |
|
3. Разработка перечня проблемно-ориентированных НИОКР, направленных на разработку композитов, конструкций и изделий из них, предназначенных для применения в транспортной отрасли и обеспечивающих снижение стоимости владения и увеличение сроков безремонтной эксплуатации конструкций и изделий, произведенных, построенных или отремонтированных с применением композитов |
||||
|
3.1. |
Разработка перечня проблемно-ориентированных НИОКР, направленных на разработку композитов, конструкций и изделий из них, предназначенных для применения в сфере воздушного транспорта и обеспечивающих снижение стоимости владения и увеличение сроков безремонтной эксплуатации конструкций и изделий, произведенных, построенных или отремонтированных с применением композитов |
Федеральное агентство воздушного транспорта, ОАО "Аэрофлот - российские авиалинии", ОАО "Международный аэропорт Шереметьево", подведомственные учебные заведения и научно-исследовательские и проектные институты |
Октябрь 2013 г. |
|
|
3.2. |
Разработка перечня проблемно-ориентированных НИОКР, направленных на разработку композитов, конструкций и изделий из них, предназначенных для применения в сфере дорожного хозяйства и обеспечивающих снижение стоимости владения и увеличение сроков безремонтной эксплуатации конструкций и изделий, произведенных, построенных или отремонтированных с применением композитов |
Федеральное дорожное агентство, ГК "Автодор", подведомственные учебные заведения и научно-исследовательские и проектные институты |
Октябрь 2013 г. |
|
|
3.3. |
Разработка перечня проблемно-ориентированных НИОКР, направленных на разработку композитов, конструкций и изделий из них, предназначенных для применения в сфере железнодорожного транспорта и обеспечивающих снижение стоимости владения и увеличение сроков безремонтной эксплуатации конструкций и изделий, произведенных, построенных или отремонтированных с применением композитов |
Федеральное агентство железнодорожного транспорта, ОАО "РЖД", подведомственные учебные заведения и научно-исследовательские и проектные институты |
Октябрь 2013 г. |
|
|
3.4. |
Разработка перечня проблемно-ориентированных НИОКР, направленных на разработку композитов, конструкций и изделий из них, предназначенных для применения в сфере морского и речного транспорта и обеспечивающих снижение стоимости владения и увеличение сроков безремонтной эксплуатации конструкций и изделий, произведенных, построенных или отремонтированных с применением композитов |
Федеральное агентство морского и речного флота, ОАО "Совкомфлот", ОАО "Новороссийский торговый порт", подведомственные учебные заведения и научно-исследовательские и проектные институты |
Октябрь 2013 г. |
|
|
4. Разработка порядка и правил оценки пригодности для применения в транспортной отрасли композитов, конструкций и изделий из них, требования к которым не регламентированы действующими нормативно-техническими документами системы технического регулирования (технические регламенты, стандарты (ГОСТ, ГОСТ Р), своды правил (СНиП, СП, СН) |
||||
|
4.1. |
Разработка порядка и правил оценки пригодности для применения в сфере воздушного транспорта композитов, конструкций и изделий из них, требования к которым не регламентированы действующими нормативно-техническими документами системы технического регулирования (технические регламенты, стандарты (ГОСТ, ГОСТ Р), своды правил (СНиП, СП, СН) |
Федеральное агентство воздушного транспорта, ОАО "Аэрофлот - российские авиалинии", ОАО "Международный аэропорт Шереметьево", подведомственные учебные заведения и научно-исследовательские и проектные институты |
|
После завершения выполнения мероприятия 1.3 подпрограммы 14 "Развитие производства композиционных материалов (композитов) и изделий из них" Государственной программы Российской Федерации "Развитие промышленности и повышение ее конкурентоспособности" |
|
4.2. |
Разработка порядка и правил оценки пригодности для применения в дорожном хозяйстве композитов, конструкций и изделий из них, требования к которым не регламентированы действующими нормативно-техническими документами системы технического регулирования (технические регламенты, стандарты (ГОСТ, ГОСТ Р), своды правил (СНиП, СП, СН) |
Федеральное дорожное агентство, ГК "Автодор", подведомственные учебные заведения и научно-исследовательские и проектные институты |
|
После завершения выполнения мероприятия 1.3 подпрограммы 14 "Развитие производства композиционных материалов (композитов) и изделий из них" Государственной программы Российской Федерации "Развитие промышленности и повышение ее конкурентоспособности" |
|
4.3. |
Разработка порядка и правил оценки пригодности для применения в сфере железнодорожного транспорта композитов, конструкций и изделий из них, требования к которым не регламентированы действующими нормативно-техническими документами системы технического регулирования (технические регламенты, стандарты (ГОСТ, ГОСТ Р), своды правил (СНиП, СП, СН) |
Федеральное агентство железнодорожного транспорта, ОАО "РЖД", подведомственные учебные заведения и научно-исследовательские и проектные институты |
|
После завершения выполнения мероприятия 1.3 подпрограммы 14 "Развитие производства композиционных материалов (композитов) и изделий из них" Государственной программы Российской Федерации "Развитие промышленности и повышение ее конкурентоспособности" |
|
4.4. |
Разработка порядка и правил оценки пригодности для применения в сфере морского и речного транспорта композитов, конструкций и изделий из них, требования к которым не регламентированы действующими нормативно-техническими документами системы технического регулирования (технические регламенты, стандарты (ГОСТ, ГОСТ Р), своды правил (СНиП, СП, СН) |
Федеральное агентство морского и речного флота, ОАО "Совкомфлот", ОАО "Новороссийский торговый порт", подведомственные учебные заведения и научно-исследовательские и проектные институты |
|
После завершения выполнения мероприятия 1.3 подпрограммы 14 "Развитие производства композиционных материалов (композитов) и изделий из них" Государственной программы Российской Федерации "Развитие промышленности и повышение ее конкурентоспособности" |
|
5. Разработка плана внедрения композитов, конструкций и изделий из них в транспортной отрасли при реализации федеральных целевых программ, формирование перечня пилотных проектов, формирование перечня опытных (референтных) объектов |
||||
|
5.1. |
Разработка плана внедрения композитов, конструкций и изделий из них в сфере воздушного транспорта при реализации федеральных целевых программ, формирование перечня пилотных проектов, формирование перечня опытных (референтных) объектов |
Федеральное агентство воздушного транспорта, ОАО "Аэрофлот - российские авиалинии", ОАО "Международный аэропорт Шереметьево", подведомственные учебные заведения и научно-исследовательские и проектные институты |
|
После завершения выполнения мероприятия 1.3 подпрограммы 14 "Развитие производства композиционных материалов (композитов) и изделий из них" Государственной программы Российской Федерации "Развитие промышленности и повышение ее конкурентоспособности" |
|
5.2. |
Разработка плана внедрения композитов, конструкций и изделий из них в дорожном хозяйстве при реализации федеральных целевых программ, формирование перечня пилотных проектов, формирование перечня опытных (референтных) объектов |
Федеральное дорожное агентство, ГК "Автодор", подведомственные учебные заведения и научно-исследовательские и проектные институты |
|
После завершения выполнения мероприятия 1.3 подпрограммы 14 "Развитие производства композиционных материалов (композитов) и изделий из них" Государственной программы Российской Федерации "Развитие промышленности и повышение ее конкурентоспособности" |
|
5.3. |
Разработка плана внедрения композитов, конструкций и изделий из них в сфере железнодорожного транспорта при реализации федеральных целевых программ, формирование перечня пилотных проектов, формирование перечня опытных (референтных) объектов |
Федеральное агентство железнодорожного транспорта, ОАО "РЖД", подведомственные учебные заведения и научно-исследовательские и проектные институты |
|
После завершения выполнения мероприятия 1.3 подпрограммы 14 "Развитие производства композиционных материалов (композитов) и изделий из них" Государственной программы Российской Федерации "Развитие промышленности и повышение ее конкурентоспособности" |
|
5.4. |
Разработка плана внедрения композитов, конструкций и изделий из них в сфере морского и речного транспорта при реализации федеральных целевых программ, формирование перечня пилотных проектов, формирование перечня опытных (референтных) объектов |
Федеральное агентство морского и речного флота, ОАО "Совкомфлот", ОАО "Новороссийский торговый порт", подведомственные учебные заведения и научно-исследовательские и проектные институты |
|
После завершения выполнения мероприятия 1.3 подпрограммы 14 "Развитие производства композиционных материалов (композитов) и изделий из них" Государственной программы Российской Федерации "Развитие промышленности и повышение ее конкурентоспособности" |
|
Наименование Программы |
- |
Программа нормативно-технического обеспечения применения композиционных материалов в дорожном хозяйстве на 2012 - 2015 годы |
|
Основание для разработки Программы |
- |
Государственный контракт № УД 47/180 от 12 октября 2011 г. |
|
Государственный заказчик |
- |
Федеральное дорожное агентство |
|
Основные разработчики Программы |
- |
Федеральное дорожное агентство (Росавтодор), Федеральное государственное унитарное предприятие "Российский дорожный научно-исследовательский институт" (ФГУП "РОСДОРНИИ") |
|
Цели и задачи Программы |
- |
Целью разработки Программы является введение в практику дорожного строительства современных композиционных материалов, обеспечивающих развитие основных направлений инноваций, соответствующих критическим технологиям увеличения сроков службы дорожных конструкций, искусственных сооружений на автомобильных дорогах. Программа предполагает решение следующих задач для достижения указанной цели: обеспечение системного выполнения исследований по приоритетным направлениям и разработка документов технического регулирования в сфере дорожного хозяйства; обеспечение единого подхода к классификации, терминам и определениям применительно к современным композиционным материалам в дорожном хозяйстве; исследование долговечности композиционных материалов и условий их совместной работы в конструкциях из асфальтобетона, цементобетона; разработка оптимальных конструкций и составов композиционных материалов или их компонентов; разработка (уточнение) методов проектирования применительно к искусственным сооружениям, дорожным конструкциям, включающим элементы из композиционных материалов; разработка технологии производства работ с применением композиционных материалов и контроля качества их выполнения; разработка требований к композиционным материалам и конструкциям с их применением в различных областях их применения; разработка (уточнение) методов оценки свойств композиционных материалов; выполнение опытно-экспериментальной проверки новых технических решений; полное нормативно-техническое обеспечение инновационных технологий, основанных на применении композиционных материалов в основных областях применения в 2015 году; обеспечение ежегодно возрастающих темпов увеличения доли технологий, основанных на применении композиционных материалов в общем количестве инновационных объектов |
|
Важнейшие целевые индикаторы и показатели |
- |
Увеличение количества объектов с применением композиционных материалов на участках строительства (реконструкции) и ремонта автомобильных дорог и искусственных сооружений в 1,5 раза; увеличение относительной протяженности дорог, построенных (реконструированных), отремонтированных по технологиям, основанным на применении композиционных материалов на 15 % |
|
Сроки и этапы реализации Программы |
- |
2012 - 2015 годы |
|
Источники финансирования Программы |
- |
Федеральный бюджет |
|
Ожидаемые конечные результаты реализации Программы |
- |
Создание нормативно-технического обеспечения применения композиционных материалов и на этой основе обеспечение их расширенного применения для улучшения транспортно-эксплуатационных показателей автомобильных дорог и искусственных сооружений |
Программа нормативно-технического обеспечения применения композиционных материалов в дорожном хозяйстве на 2011 - 2015 годы (далее - Программа) разработана Федеральным дорожным агентством Министерства транспорта Российской Федерации и ФГУП "РОСДОРНИИ" в соответствии с планом научно-исследовательских и опытно-конструкторских работ Федерального дорожного агентства на 2011 - 2013 годы по программе "Автомобильные дороги" Федеральной целевой программы "Развитие транспортной системы России (2010 - 2015 годы)", утвержденной распоряжением Федерального дорожного агентства от 17 февраля 2011 г. № 118-р на основе анализа отечественного и зарубежного опыта регламентации их применения.
В соответствии с распоряжением Правительства Российской Федерации от 25 августа 2008 г. № 1243-р технологии создания и обработки композиционных материалов включены в перечень критических технологий, создающих существенные предпосылки для развития многих технологических областей разработок и вносящих главный вклад в решение ключевых проблем реализации приоритетных направлений развития науки и технологий при межотраслевом характере этого вклада. Создание и применение композиционных материалов в конструкциях автомобильных дорог, искусственных сооружений - основные направления инноваций, соответствующие критическим технологиям увеличения сроков службы автомобильных дорог и искусственных сооружений на них в соответствии со Стратегией развития инновационной деятельности Федерального дорожного агентства на период 2011 - 2015 годов.
В дорожном хозяйстве используются традиционные композиционные материалы, к которым по общепринятому определению можно отнести асфальтобетон, цементобетон, укрепленный грунт и др. Настоящая Программа рассматривает современные композиционные материалы, обладающие преимуществами по сравнению с традиционными, благодаря сочетанию свойств слагающих их компонентов, прежде всего, современных армирующих компонентов на основе различных волокон - углеродных, арамидных, полиэфирных и стекловолокон.
К числу основных "современных" композиционных материалов (КМ) или компонентов, их образующих, применительно к дорожной отрасли можно отнести:
конструкционные КМ в виде армированных пластиков, предназначенных для изготовления строительных конструкций - несущих, образующих различные элементы оборудования и обустройства автомобильных дорог, технологические емкости, элементы водоотводных сооружений;
современные строительные материалы с повышенными механическими характеристиками в виде тканей, лент, стержней, обеспечивающих создание элементов усиления непосредственно на месте производства работ, в основном при ремонте (усилении) искусственных сооружений;
ламинаты для усиления мостовых сооружений;
армирующие элементы в виде волокон разной длины (в том числе тонкодисперсных - фибры), предназначенные для улучшения свойств асфальтобетонов и цементобетонов;
полимер-битумные композиции для изготовления асфальтобетонов;
геокомпозиты для использования в дренажах (геодрены) и армирования, в частности, армирования насыпей в сложных условиях строительства (армогеокомпозиты).
Преимуществами современных композиционных материалов, при производстве которых обеспечивается получение запрограммированного набора желательных свойств, являются высокая прочность, жесткость, малый вес, технологичность, невосприимчивость к агрессивным внешним факторам, способность повторять практически любые формы конструкции, долговечность. В результате создается возможность получения существенных технико-экономических преимуществ в различных областях применения при строительстве, реконструкции и ремонте автомобильных дорог, искусственных сооружений.
Практическая реализация такой возможности создается ростом производства компонентов современных композиционных материалов. Так, рост мирового рынка углеродного волокна, обладающего наиболее высокими строительными свойствами при умеренном сценарии развития мировой экономики в целом составляет 10 - 15 % в год. Оборот композитной отрасли на конец 2010 года оценивается в 60 млрд евро (8,6 млн тонн) и может вырасти к 2015 году до 80 млрд евро (10 млн тонн).
При наличии широкой практики применения композиционных материалов в строительстве за рубежом, имеющейся отечественной практике применения, отсутствует достаточная регламентация этого применения, как в России, так и за рубежом. Создание такой регламентации, учитывая многообразие областей применения композиционных материалов (усиление искусственных сооружений, дорожных конструкций, повышение работоспособности дренажей, сооружений поверхностного водоотвода повышение долговечности элементов инженерного оборудования и обустройства автодорог, создание элементов мостовых сооружений, пролетных строений пешеходных мостов, мобильных покрытий), требует проведения широкого круга научно-исследовательских и опытно-конструкторских работ.
Основные цели и задачи, сроки и этапы реализации Программы, целевые индикаторы и показатели
Целью разработки настоящей Программы является введение в практику дорожного строительства современных композиционных материалов, обеспечивающих развитие основных направлений инноваций, соответствующих критическим технологиям увеличения сроков службы дорожных конструкций, искусственных сооружений на автомобильных дорогах.
Настоящая Программа предполагает решение следующих задач для достижения указанной цели:
обеспечение системного выполнения исследований по приоритетным направлениям и разработка документов технического регулирования в сфере дорожного хозяйства;
обеспечение единого подхода к классификации, терминам и определениям применительно к современным композиционным материалам в дорожном хозяйстве;
исследование долговечности композиционных материалов и условий их совместной работы в конструкциях из асфальтобетона, цементобетона;
разработка оптимальных конструкций и составов композиционных материалов или их компонентов;
разработка (уточнение) методов проектирования применительно к искусственным сооружениям, дорожным конструкциям, включающим элементы из композиционных материалов;
разработка технологии производства работ с применением композиционных материалов и контроля качества их выполнения;
разработка требований к композиционным материалам и конструкциям с их применением в различных областях их применения;
разработка (уточнение) методов оценки свойств композиционных материалов;
выполнение опытно-экспериментальной проверки новых технических решений;
полное нормативно-техническое обеспечение инновационных технологий, основанных на применении композиционных материалов в основных областях применения в 2015 году;
обеспечение ежегодно возрастающих темпов увеличения доли технологий, основанных на применении композиционных материалов в общем количестве инновационных объектов.
Выполнение настоящей Программы позволит применить системный подход к решению задач инновационного развития отрасли за счет применения современных композиционных материалов при первоочередном обеспечении приоритетных направлений их применения.
Этапность и сроки реализации отдельных мероприятий настоящей Программы представлены по каждому из структурных элементов настоящей Программы в перечне и характеристиках программных мероприятий по нормативно-техническому обеспечению применения современных композиционных материалов в дорожном хозяйстве на 2012 - 2015 годы с учетом приоритетности выполнения работ. Реализация настоящей Программы в целом предусматривается в 2012 - 2015 годах в один этап.
Целевые индикаторы и показатели настоящей Программы:
увеличение количества объектов с применением композиционных материалов на участках строительства (реконструкции) и ремонта автомобильных дорог и искусственных сооружений в 1,5 раза;
увеличение относительной протяженности дорог, построенных (реконструированных), отремонтированных по технологиям, основанным на применении композиционных материалов на 15 %.
Учитывая перспективы развития отечественного производства, тенденции развития международной практики применения композиционных материалов, первоочередные проблемы отрасти, в качестве базовой принята следующая структура настоящей Программы:
разработка отраслевых дорожных методических документов (20 ОДМ);
разработка национальных стандартов (7 ГОСТ Р);
научно-исследовательские и опытно-конструкторские работы для разработки нормативно-технического обеспечения (11 тем плана НИиОКР);
разработка информационных пособий (3 темы).
Разработка отраслевых дорожных методических документов предусматривается выполнять по разделам:
искусственные сооружения (10 ОДМ);
дорожные одежды (5 ОДМ);
земляное полотно и водоотводные сооружения (3 ОДМ);
элементы инженерного оборудования и обустройства, защитные сооружения (2 ОДМ).
Настоящая Программа предусматривает выполнение работ по 41 теме с разработкой 20 ОДМ, 7 национальных стандартов. Распределение объемов работ по годам приведено на рисунке 1.
Распределение объемов работ по годам

Рисунок 1.
Перечень программных мероприятий приведен в перечне и характеристиках программных мероприятий по нормативно-техническому обеспечению применения современных композиционных материалов в дорожном хозяйстве на 2012 - 2015 годы.
Источник финансирования настоящей Программы - средства федерального бюджета, предусматриваемые на финансирование подпрограммы "Автомобильные дороги" федеральной целевой программы "Развитие транспортной системы России (2010 - 2015 годы)". Вид расходов - "Научно-исследовательские и опытно-конструкторские работы".
Управление ходом реализации настоящей Программы осуществляет государственный заказчик - Федеральное дорожное агентство. Государственный заказчик уточняет сроки реализации мероприятий настоящей Программы и объемы ее финансирования. При текущем управлении государственный заказчик корректирует план реализации настоящей Программы по объемам финансирования и перечню предлагаемых к реализации мероприятий по результатам принятия федерального бюджета.
Мероприятия настоящей Программы реализуются посредством заключения в установленном порядке государственных контрактов между государственным заказчиком и исполнителем.
Общий объем финансирования - 269 млн руб.
|
Распределение объемов финансирования по срокам |
||||
|
Год |
2012 |
2013 |
2014 |
2015 |
|
Объем финансирования, млн руб. |
27 |
61 |
122 |
59 |
Распределение объемов финансирования по приоритетности выполнения:
первоочередные работы - 109 млн руб.
основные работы второй очереди - 55 млн руб.
работы второй очереди - 105 млн руб.
Распределение объемов финансирования по разделам настоящей Программы:
разработка ОДМ - 152
разработка национальных стандартов - 23
НИОКР - 68
информационные пособия - 26
В результате реализации настоящей Программы ожидается создание нормативно-технического обеспечения применения композиционных материалов в дорожном хозяйстве и на этой основе обеспечение их расширенного применения. Ожидаемый технико-экономический эффект от реализации настоящей Программы по основным ее направлениям:
увеличение срока службы, снижение трудоемкости, сроков выполнения строительных (ремонтных) работ, сокращение затрат на выполнение работ по ремонту (содержанию) искусственных сооружений: железобетонных конструкций мостов, настилов (тротуаров) мостов и путепроводов, пешеходных мостов и путепроводов, тоннелей, водоотводных сооружений;
повышение работоспособности дорожных одежд, качества выполнения работ и применяемых материалов при строительстве дорожных одежд, ремонте покрытий (нежесткие и жесткие дорожные одежды), мобильные покрытия для устройства временного проезда;
повышение надежности дорожных конструкций, сокращение сроков и стоимости строительства, в том числе в сложных условиях строительства (слабые грунты) на основе усиления земляного полотна современными геокомпозиционными материалами;
повышение сроков службы, снижение эксплуатационных расходов на основе применения современных элементов инженерного обустройства (дорожные знаки, опоры освещения, ограждения, снегозащитные сооружения).
Оценка эффективности настоящей Программы осуществляется на основе эффекта от реализации программных мероприятий в сфере деятельности транспорта, а также внетранспортного эффекта.
|
№ п/п |
Наименование тем и выходных документов |
Цель темы |
Сроки выполнения приоритетность* |
Ожидаемый эффект, отличия, новизна |
|
Ориентировочная стоимость работ, тыс. руб. |
||||
|
1 |
2 |
3 |
4 |
5 |
|
1. Разработка отраслевых дорожных методических документов (ОДМ) |
||||
|
1.1. Искусственные сооружения |
||||
|
1.1.1. |
Исследование возможности и области рационального применения гибких лент и тканей из композиционных материалов при ремонте железобетонных конструкций мостовых сооружений с разработкой ОДМ |
Повышение надежности эксплуатируемых сооружений за счет применения композиционных материалов |
2012** 1 |
Увеличение срока службы и межремонтных сроков службы железобетонных конструкций мостовых сооружений. ОДМ направлен на введение в практику метода усиления железобетонных конструкций мостовых сооружений (балки, плиты пролетных строений, элементы опор) путем внешнего армирования с использованием композиционных материалов на основе гибких лент и тканей из высокопрочных углеродных волокон. ОДМ должен содержать данные по методике расчета, требованиям к материалам, технологии производства и контроля качества работ |
|
1425 |
||||
|
1.1.2. |
Разработка методических рекомендаций по опытному применению напрягаемой арматуры из высокопрочных композиционных материалов для усиления железобетонных конструкций мостов |
Повышение надежности эксплуатируемых сооружений за счет применения композиционных материалов |
2012** 1 |
Сокращение затрат на содержание и сроков усиления конструкций за счет высокой коррозионной стойкости и малого веса напрягаемой арматуры из композиционного материала. ОДМ регламентирует применение напрягаемой арматуры из высокопрочных композиционных материалов на основе углеволокна, имеющих близкие к существующей высокопрочной стальной арматуре прочностные характеристики. Применений такой напрягаемой арматуры на мостовых сооружениях позволит по сравнению с существующей стальной арматурой сократить затраты на содержание и меры по защите арматуры, благодаря высокой коррозионной стойкости полимерного композиционного материала, увеличить при этом межремонтные сроки. Малый вес внедряемой напрягаемой арматуры (в 3 - 4 раза ниже, чем стальной) позволит сократить время проведения работ по усилению железобетонных конструкций, выполняемых, как правило, в стесненных условиях, когда заводка и установка напрягаемых элементов осуществляется вручную. Сокращаются также затраты на транспортировку и монтаж изделий. ОДМ должен содержать необходимые данные по методике проектирования, требованиям к материалам, технологии производства и контроля качества работ |
|
11000 |
||||
|
1.1.3. |
Разработка рекомендаций по применению на мостовых сооружениях водоотводных лотков из полимерных композиционных материалов |
Повышение надежности водоотвода |
2013 – 2014 1 |
Сокращение затрат на содержание и ремонт мостовых сооружений, снижение трудоемкости выполнения работ в результате применения водоотводных поперечных и продольных лотков из композиционных материалов, обладающих качественно более высокой стойкостью к возможным агрессивным воздействиям и меньшим весом по отношению к традиционно применяемым металлическим водоотводным лоткам |
|
7000, в т.ч.: 2013 г. - 3500 2014 г. - 3500 |
||||
|
1.1.4. |
Разработка рекомендаций по применению на мостах, путепроводах и тоннелях пешеходных настилов (тротуаров) из композиционных материалов |
Повышение надежности и долговечности тротуаров искусственных сооружений |
2014 – 2015 2 |
Повышение в 2 - 3 раза срока службы тротуаров, снижение нагрузок на мостовые сооружения. ОДМ регламентирует методику проектирования, технологию производства и контроля качества работ, требования к материалам и современным облегченным композиционным конструкциям для панелей пешеходных настилов из полимерных композиционных материалов, отвечающих требованиям по расчетным нагрузкам |
|
8000, в т.ч.: 2014 г. - 4000 2015 г. - 4000 |
||||
|
1.1.5. |
Разработка рекомендаций по применению композиционных материалов и изделий на основе углеродных волокон при строительстве и эксплуатации (ремонте) железобетонных пролетных строений |
Повышение надежности железобетонных пролетных строений мостовых сооружений |
2014 – 2015 3 |
Увеличение срока службы и межремонтных сроков железобетонных конструкций мостовых сооружений на основе применения различных композиционных материалов и изделий с применением высокопрочных углеродных волокон. Документ направлен на регламентацию применения современных композиционных материалов при строительстве, а также ремонте железобетонных пролетных строений, содержит методику проектирования, требования к материалам, технологию производства и контроля качества работ |
|
10000, в т.ч.: 2014 г. - 5000 2015 г. - 5000 |
||||
|
1.1.6. |
Разработка рекомендаций по применению настилов из композиционных материалов для стальных пролетных строений мостов и путепроводов |
Улучшение условий работы мостов и путепроводов, ускорение производства работ при их строительстве (реконструкции) |
2013 – 2015 2 |
Снижение постоянной нагрузки для эксплуатируемых сооружений, ускорение монтажных работ. Документ обеспечивает регламентацию применения новых конструкций настилов, отличающихся высокой прочностью, долговечностью при кратно меньшем весе по сравнению с настилами из традиционных материалов |
|
8000, в т.ч.: 2013 г. - 2000 2014 г. - 4000 2015 г. - 2000 |
||||
|
1.1.7. |
Разработка рекомендаций по технологии ремонта водопропускных труб с использованием композиционных материалов |
Оптимизация ремонтных работ, применяемых материалов и оборудования |
2014 – 2015 2 |
Повышение качества и снижение трудоемкости выполнения работ по ремонту водопропускных труб с обеспечением их усиления и гидроизоляции. Предусматривается разработка и выбор оптимальных технологий ремонта с использованием различных видов композиционных материалов и с учетом состояния водопропускных труб |
|
8000, в т.ч.: 2014 г. - 4000 2015 г. - 4000 |
||||
|
1.1.8. |
Разработка рекомендаций по применению водопропускных труб из полимерных композиционных материалов |
Повышение надежности водопропускных труб |
2013 – 2014 1 |
Увеличение срока службы водопропускных труб из композиционных материалов, отличающихся высокими удельными показателями жесткости, прочности, химической стойкости, сравнительно малым весом и долговечностью, а также отличающихся стойкостью к абразивному износу, низкой шероховатостью внутренних стенок труб, простотой монтажа. В работе рассматриваются различные варианты труб, даются рекомендации по областям применения, технологии производства и контроля качества работ, анализируются технико-экономические аспекты применения |
|
6000, в т.ч.: 2013 г. - 3000 2014 г. - 3000 |
||||
|
1.1.9. |
Разработка рекомендаций по применению композиционных материалов в конструкциях пешеходных мостов и путепроводов |
Повышение надежности конструкций и технологичности выполнения работ |
2014 – 2015 3 |
Увеличение сроков службы пешеходных мостов, сокращение сроков выполнения строительных работ, кратное сокращение эксплуатационных расходов на содержание. Предлагается рассмотрение различных композиционных материалов, в том числе пултрузионных профилей пролетных строений пешеходных мостов. Документ уточняет область применения пешеходных мостов и путепроводов с применением композиционных материалов и конструкций, методику проектирования (в том числе деформационные критерии расчета пролетных строений), типовые конструкции и технологию производства работ |
|
10000, в т.ч.: 2014 г. - 5000 2015 г. - 5000 |
||||
|
1.1.10. |
Разработка рекомендаций по применению композиционных материалов при строительстве и ремонте автодорожных тоннелей |
Повышение надежности тоннелей |
2014 – 2015 3 |
Увеличение срока службы и межремонтных сроков службы тоннелей. Рекомендации предусматривают применение различных композиционных материалов и конструкций повышенной прочности и долговечности в качестве арматуры, несущих конструкций, крепежных элементов в тоннелестроении для замены традиционных материалов (металл, бетон) |
|
9000, в т.ч.: 2014 г. - 4000 2015 г. - 5000 |
||||
|
1.2. Дорожные одежды |
||||
|
1.2.1. |
Исследование эффективности применения синтетического волокна для армирования горячего асфальтобетона с разработкой ОДМ |
Повышение качества дорожно-строительных материалов за счет применения фиброасфальтобетонов |
2012** 1 |
Увеличение межремонтных сроков, снижение колееобразования. В работе предусматривается исследование воздействия различных волокон на свойства асфальтобетонных смесей и асфальтобетонов, технологии применения волокон. На основе исследований приводятся рекомендации по оптимизации составов армированных горячих асфальтобетонных смесей, технологии их производства и применения |
|
1801,8 |
||||
|
1.2.2. |
Разработка ОДМ "Методические рекомендации по применению композиционных материалов в дорожном цементобетоне" |
Повышение надежности цементобетонных конструкций за счет применения органоминеральных модификаторов и композитных добавок для дисперсного армирования цементобетона |
2012 – 2013 1 |
Увеличение срока службы цементобетонных конструкций в результате повышения прочности на растяжение при изгибе, снижение трещинообразования, улучшение способности к восприятию различных нагрузок - ударных, знакопеременных, повышению морозостойкости. На основе анализа международного опыта и выполненных исследований оптимизируются составы цементобетонных смесей с различными модифицирующими добавками, даются рекомендации по особенностям проектирования, технологии производства работ |
|
7800, в т.ч.: 2012 г. - 5000 2013 г. - 2800 |
||||
|
1.2.3. |
Разработка ОДМ "Устройство поверхностной обработки и тонких слоев износа с применением различных видов фиброволокон" |
Повышение транспортно-эксплуатационных качеств покрытий за счет применения фиброволокон |
2012 – 2013 1 |
Повышение сроков службы, эксплуатационных свойств покрытий. На основе опытно-экспериментальных работ определяются оптимальные варианты применяемых материалов, технологии производства работ, оценивается технико-экономическая эффективность данной технологии и разрабатываются рекомендации по ее применению |
|
7000, в т.ч.: 2012 г. - 3500 2013 г. - 3500 |
||||
|
1.2.4. |
Разработка рекомендаций по применению плит из композиционных материалов для устройства временных проездов и площадок различного назначения |
Обеспечение применения современных сборно-разборных мобильных покрытий на участках выполнения ремонтных работ |
2013 – 2014 1 |
Ускорение выполнения, снижение стоимости и трудоемкости работ по обеспечению временного проезда на участках ремонта (реконструкции). Новые плиты должны представлять собой элементы сборного дорожного покрытия, изготовленные из полимерных и композиционных материалов, соединенных между собой замковыми соединениями, легко монтируемыми (устройство 1 км временной дороги шириной 6 м не более чем за 60 часов) и предназначенные для многократного (не менее 20 раз) использования. Прочностные характеристики плит должны обеспечивать проезд в сложных условиях строительства (наличие переувлажненных грунтов в основании), в том числе тяжелой колесной и гусеничной техники общим весом не менее 60 т |
|
8000, в т.ч.: 2013 г. - 4000 2014 г. - 4000 |
||||
|
1.2.5. |
Разработка рекомендаций по применению композиционных битумных материалов с улучшенными прочностными и адгезионными свойствами (ОДМ) |
Улучшение качества асфальтобетонных покрытий |
2012 – 2013 1 |
Повышение работоспособности асфальтобетонных покрытий за счет применения новых композиционных материалов. На основе выполняемых исследований уточняется эффект от применения и практические аспекты применения с разработкой рекомендаций |
|
7500, в т.ч.: 2013 г. - 3000 2014 г. - 3500 |
||||
|
1.3. Земляное полотно и водоотводные сооружения |
||||
|
1.3.1. |
Проведение исследований и разработка рекомендаций по осушению и усилению дорожных конструкций при строительстве, реконструкции и ремонте автомобильных дорог за счет применения многослойных композиционных дренирующих материалов (геодрен) |
Регламентация применения современных геокомпозиционных материалов и технологий, основанных на их применении для повышения работоспособности дорожных конструкций |
2012 – 2013 1 |
Повышение работоспособности дорожных конструкций при строительстве, реконструкции и ремонте автомобильных дорог, сокращение затрат, обеспечение работоспособности дорожных конструкций в сложных условиях (пропуск особо тяжелых транспортных средств, неблагоприятные грунтовые и гидрологические условия). На основе обобщения международного опыта, выполнения исследований разрабатывается методика проектирования дорожных конструкций, включающих прослойки из дренажных геокомпозитов, отличающихся качественно (на порядок) более высокими значениями водопроницаемости в плоскости полотна, что обеспечивает ускоренное осушение дорожных конструкций, влияет на продолжительность расчетного периода, позволяет повысить показатели механических свойств грунтов рабочего слоя земляного полотна. Разрабатываются рекомендации, включающие требования к материалам, методику расчета, конструктивные решения, дифференцированные по условиям применения, технологию производства и контроль качества работ |
|
7800, в т.ч.: 2012 г. - 4680 2013 г. - 3120 |
||||
|
1.3.2. |
Проведение исследований и разработка рекомендаций по применению современных многослойных композиционных ленточных дрен при возведении насыпей на слабых основаниях |
Повышение надежности насыпей, возводимых на слабых основаниях |
2014 – 2015 1 |
Сокращение стоимости и сроков строительства. На основе выполнения исследований, обобщения международного опыта обеспечивается расширение применения в практике дорожного строительства высокопроизводительного способа строительства в условиях наличия слабых оснований насыпей. В рекомендациях приводится методика проектирования, технология производства работ при применении современных композиционных ленточных дрен, обеспечивающих консолидацию слабых грунтов оснований в требуемый период (снижение сроков введения объектов в эксплуатацию) |
|
7000, в т.ч.: 2013 г. - 3500 2014 г. - 3500 |
||||
|
1.3.3. |
Разработка рекомендаций по проектированию легких насыпей на слабых основаниях с применением блоков из легких геокомпозитных материалов |
Адаптация зарубежных технологий применительно к российским условиям с разработкой ОДМ |
2013 – 2014 2 |
Обеспечение надежности строительства на слабых грунтах при снижении сроков введения объектов в эксплуатацию за счет снижения нагрузок на слабое основание. Разрабатываются рекомендации, содержащие требования к легким геокомпозитным материалам, методику проектирования легких насыпей, технологию производства работ |
|
9700, в т.ч.: 2013 г. - 2700 2014 г. - 7000 |
||||
|
1.4. Элементы инженерного оборудования и обустройства, защитные сооружения |
||||
|
1.4.1. |
Разработка рекомендаций по применению композиционных материалов в элементах обустройства автомобильных дорог (дорожные знаки, опоры освещения, ограждения) |
Повышение работоспособности и эксплуатационных характеристик элементов обустройства |
2014 – 2015 2 |
Повышение сроков службы элементов обустройства, снижение эксплуатационных затрат. Разрабатываются рекомендации, содержащие требования к элементам обустройства автомобильных дорог, создаваемым из композиционных материалов, особенности технологии их применения |
|
8000 в т.ч.: 2014 г. - 5000 2015 г. - 3000 |
||||
|
1.4.2. |
Провести исследования и разработать щиты с различной просветностью на основе современных композиционных материалов для защиты автомобильных дорог от снега и рекомендации по их применению |
Защита автомобильных дорог от снега |
2013 – 2015 1 |
Повышение эффективности защиты автомобильных дорог от снега, снижение трудозатрат при очистке дорог от снега. Разрабатываются конструкции щитов с различной просветностью на основе современных материалов взамен традиционных конструкций с низким сроком службы (в основном, деревянные щиты). Разрабатываются рекомендации, содержащие требования к щитам, способы, методы их установки и оптимального размещения |
|
1000, в т.ч.: 2013 г. - 2000 2014 г. - 6000 2015 г. - 2000 |
||||
|
|
Итого стоимость по разделу 1 |
|
152026,8 |
|
|
2. Разработка национальных стандартов*** |
||||
|
2.1. |
Проект ГОСТ Р "Дороги автомобильные общего пользования. Материалы композиционные. Классификация, термины, определения" |
Обеспечение единого подхода к обозначению видов композиционных материалов, терминов и определений |
2013 1 |
Введение дорожной классификации, увязанной с функциями и областями применения различных композиционных материалов в дорожном строительстве |
|
3000 |
||||
|
2.2. |
Проект ГОСТ Р "Смеси асфальтобетонные дорожные, армированные фиброволокнами. Технические условия" |
Регламентация требований к асфальтобетонным смесям, армированным фиброволокнами |
2014 1 |
Обеспечение высокого качества применяемых асфальтобетонных смесей |
|
3000 |
||||
|
2.3. |
Проект ГОСТ Р "Дороги автомобильные общего пользования. Материалы композиционные дренажного назначения. Технические требования" |
Регламентация требований к свойствам геокомпозиционных материалов и методов контроля их качества |
2014 1 |
Обеспечение высокого качества применения новых геокомпозиционных материалов дренажного назначения |
|
3500 |
||||
|
2.4. |
Проект ГОСТ Р "Дороги автомобильные общего пользования. Дрены ленточные композиционные (геодрены) для консолидации слабых грунтов оснований насыпей. Технические условия" |
Регламентация требований к геодренам |
2014 1 |
Нормативное обеспечение применения геодрен, обеспечивающих ускорение производства работ в условиях слабых оснований при снижении строительных затрат |
|
3500 |
||||
|
2.5. |
Проект ГОСТ Р "Дороги автомобильные общего пользования. Снегозащитные средства из композиционных материалов. Технические условия" |
Регламентация требований к снегозащитным заборам и снегозадерживающим щитам" |
2015 1 |
Нормативное обеспечение применения средств на основе современных материалов для ускорения производства работ, повышение их технологичности, повышение долговечности и надежности снегозащитных средств |
|
3500 |
||||
|
2.6. |
Проект ГОСТ Р "Дороги автомобильные общего пользования. Плиты из композиционных материалов для обеспечения временного проезда. Технические условия" |
Регламентация требований к плитам из композиционных материалов |
2014 1 |
Нормативное обеспечение применения плит из современных материалов для ускорения производства работ при строительстве (реконструкции) автомобильных дорог |
|
3500 |
||||
|
2.7. |
Проект ГОСТ Р "Дороги автомобильные общего пользования. Лотки водоотводные из композиционных материалов. Технические условия" |
Регламентация требований к водоотводным лоткам |
2015 1 |
Нормативное обеспечение применения водоотводных лотков из современных материалов повышенной долговечности и устойчивости к неравномерным деформациям |
|
3500 |
||||
|
|
Итого стоимость по разделу 2 |
|
23500 |
|
|
3. Научно-исследовательские и опытно конструкторские работы для разработки нормативно-технического обеспечения |
||||
|
3.1. |
Разработка методических рекомендаций по подбору составов армированных асфальтобетонных смесей с учетом расчетных технических характеристик покрытий дорожной одежды |
Повышение работоспособности покрытий |
2013 – 2014 2 |
Увеличение межремонтных сроков, снижение колееобразования и деформативности за счет подбора оптимальных составов асфальтобетонных смесей |
|
6500, в т.ч.: 2013 г. - 2000 2014 г. - 4500 |
||||
|
3.2. |
Разработка конструкторской документации и создание опытного образца установки высокоточного дозирования фиброволокон при изготовлении асфальтобетонных смесей |
Разработка и изготовление образца установки, совместимой с существующими конструкциями асфальтобетонных смесителей |
2015 3 |
Повышение качества асфальтобетонных смесей с армирующими фиброволокнами за счет точного их дозирования и обеспечения однородности распределения |
|
8000 |
||||
|
3.3. |
Разработка типового технологического регламента на производство асфальтобетонных смесей с применением различных видов фиброволокон и технологических карт по их укладке |
Совершенствование технологии производства и укладки асфальтобетонных смесей с фиброволокнами |
2015 1 |
Повышение качества выполнения работ, техническое обеспечение производства и применения армированных асфальтобетонных смесей |
|
5000 |
||||
|
3.4. |
Исследование эффективности теплых асфальтобетонных смесей, армированных различными волокнами с разработкой рекомендаций по их применению |
Регламентация применения армированных теплых асфальтобетонных смесей |
2013 – 2015 3 |
Регламентация экологичной технологии производства асфальтобетонных смесей. Продление строительного периода |
|
7000, в т.ч.: 2013 г. - 2000 2014 г. - 3000 2015 г. - 2000 |
||||
|
3.5. |
Разработка методических рекомендаций по применению несъемной опалубки из фибробетона и полимерных композиционных материалов для мостовых сооружений |
Повышение технологии выполнения работ |
2013 – 2014 3 |
Повышение качества выполнения работ |
|
6000, в т.ч.: 2013 г. - 3000 2014 г. - 3000 |
||||
|
3.6. |
Разработка ресурсосберегающих составов асфальтобетонов на основе композиционных битумных материалов с подготовкой рекомендаций для опытного применения |
Оптимизация составов асфальтобетонных смесей |
2013 – 2014 2 |
Обеспечение производства ресурсосберегающих составов смесей. Выполняются исследования, позволяющие оптимизировать составы смесей на основе новых композитных битумных материалов для последующей организации их производства |
|
7000, в т.ч.: 2013 г. - 3500 2014 г. - 3500 |
||||
|
3.7. |
Разработка ресурсосберегающих конструкций дорожных одежд с использованием композиционных битумных материалов с подготовкой рекомендаций для опытного применения |
Оптимизация конструкций дорожных одежд |
2014 – 2015 3 |
Обеспечение применения ресурсосберегающих конструкций дорожных одежд |
|
7000, в т.ч.: 2014 г. - 3500 2015 г. - 3500 |
||||
|
3.8. |
Подготовка рекомендаций по опытному применению композиционных материалов для снижения затрат на очистку загрязненного стока с автомобильных дорог |
Снижение затрат на строительство и эксплуатацию очистных сооружений на автомобильных дорогах |
2013 – 2014 1 |
Выполнение требований: Закона Российской Федерации "Об охране окружающей среды" № 7 от 10 января 2002 г., снижение штрафных санкций применяемых к дорожным организациям |
|
4000, в т.ч.: 2013 г. - 1500 2014 г. - 2500 |
||||
|
3.9. |
Разработка композитных конструкций и материалов с параметрами горючести "НГ" для объектов транспортной инфраструктуры с разработкой рекомендаций по их применению |
Повышение надежности конструкций и материалов в условиях эксплуатации |
2013 – 2014 3 |
Обеспечение сохранности конструкций и материалов в условиях повышенных температур |
|
6000, в т.ч.: 2013 г. - 3000 2014 г. - 3000 |
||||
|
3.10. |
Разработка методических рекомендаций по оценке технико-экономической эффективности применения полимерных композиционных материалов с учетом жизненного цикла объектов дорожного хозяйства |
Обеспечение оптимизации принимаемых решений |
2013 – 2014 3 |
Обеспечение условий для оптимального выбора и использования современных композиционных материалов |
|
5000, в т.ч.: 2013 г. - 2500 2014 г. - 2500 |
||||
|
3.11 |
Разработка конструкций из композитных материалов для районов с экстремальными температурными условиями (ниже -40 °С и выше +40 °С) |
Регламентация применения композиционных материалов в экстремальных температурных условиях |
2013 – 2014 3 |
Обеспечение применения композиционных материалов в регионах с экстремальными температурными условиями |
|
3 6000, в т.ч.: 2013 г. - 3000 2014 г. - 3000 |
||||
|
|
Итого стоимость по разделу 3 |
|
67500 |
|
|
4. Разработка информационных пособий |
||||
|
4.1. |
Разработка электронной версии пособия по композиционным материалам для искусственных сооружений, инженерного оборудования и обустройства автомобильных дорог |
Информационное обеспечение органов управления, организаций и предприятий дорожного хозяйства о современных композиционных материалах для искусственных сооружений, их видах, областях применения |
2014 3 |
Обеспечение условий для оптимального выбора и использования современных композиционных материалов для искусственных сооружений, инженерного оборудования и обустройства автомобильных дорог |
|
1000 |
||||
|
4.2. |
Разработка электронной версии пособия по применению композиционных материалов в дорожных конструкциях |
Информационное обеспечение органов управления, организации и предприятий дорожного хозяйства о современных композиционных материалах для повышения работоспособности дорожных конструкций |
2014 3 |
Обеспечение условий для оптимального выбора и использования современных композиционных материалов для армирования дорожных конструкций, оснований насыпей и дренирования дорожных конструкций |
|
8000 |
||||

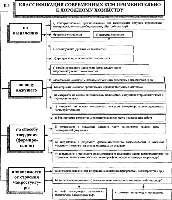
Б.2 Основные термины и определения, применяемые в Программе
Б.2.1 композиционные материалы (КМ): искусственно созданные сплошные материалы, состоящие из двух или более компонентов, среди которых выделяются армирующие элементы, обеспечивающие их механические характеристики и матрица (связующее), обеспечивающая совместную работу армирующих элементов.
Б.2.2 композиционные строительные материалы (КСМ): композиционные материалы в определении Б.2.1 и геокомпозиты, применяемые в строительстве.
Б.2.3 полимерные композиционные материалы (ПКМ): композиционные материалы в определении Б.2.1 с полимерной матрицей.
Б.2.4 геокомпозиты (ГКСМ): составные (многослойные) материалы, состоящие из двух и более компонентов, хотя бы один из которых является геосинтетическим материалом (международное обозначение - GCO, ISO 10318).
Б.2.5 композиционная конструкция: искусственно созданная конструкция, включающая композиционный строительный материал.
Б.2.6 ламинат: полимерный композиционный материал в определении 1.3, выпускаемый в виде жестких полос или пластин.