Приказ Министерства природных ресурсов и экологии РФ
от 3 апреля 2013 г. № 121
"Об утверждении Административного регламента Федерального агентства по недропользованию по предоставлению государственной услуги по ведению государственного учета и обеспечению ведения государственного реестра работ по геологическому изучению недр, участков недр, предоставленных для добычи полезных ископаемых, а также в целях, не связанных с их добычей, и лицензий на пользование недрами"
(в редакции, актуальной с 15 марта 2015 г.,
с изменениями и дополнениями, внесенными в текст,
согласно приказу Минприроды России от 09.12.2014 г. № 547)
В соответствии с пунктом 4 Правил разработки и утверждения административных регламентов предоставления государственных услуг, утвержденных постановлением Правительства Российской Федерации от 16 мая 2011 г. № 373 (Собрание законодательства Российской Федерации, 2011, № 22, ст. 3169; № 35, ст. 5092; 2012, № 28, ст. 3908; № 36, ст. 4903; № 50, ст. 7070; № 52, ст. 7507), приказываю:
1. Утвердить прилагаемый Административный регламент Федерального агентства по недропользованию по предоставлению государственной услуги по ведению государственного учета и обеспечению ведения государственного реестра работ по геологическому изучению недр, участков недр, предоставленных для добычи полезных ископаемых, а также в целях, не связанных с их добычей, и лицензий на пользование недрами.
2. Признать утратившим силу приказ Министерства природных ресурсов Российской Федерации от 8 октября 2007 г. № 261 "Об утверждении Административного регламента Федерального агентства по недропользованию по исполнению государственной функции по ведению государственного учета и обеспечению ведения государственного реестра работ по геологическому изучению недр, участков недр, предоставленных для добычи полезных ископаемых, а также в целях, не связанных с их добычей, и лицензий на пользование недрами" (зарегистрирован в Министерстве юстиции Российской Федерации 25 октября 2007 г., регистрационный № 10400).
|
Министр |
С.Е. Донской |
|
|
|
|
Зарегистрировано в Минюсте РФ 9 августа 2013 г. |
|
|
Регистрационный № 29324 |
|
Приложение
Административный регламент Федерального агентства по недропользованию по предоставлению государственной услуги по ведению государственного учета и обеспечению ведения государственного реестра работ по геологическому изучению недр, участков недр, предоставленных для добычи полезных ископаемых, а также в целях, не связанных с их добычей, и лицензий на пользование недрами
(утв. приказом Министерства природных ресурсов и экологии РФ
от 3 апреля 2013 г. № 121)
Предмет регулирования Административного регламента
1. Административный регламент Федерального агентства по недропользованию по предоставлению государственной услуги по ведению государственного учета и обеспечению ведения государственного реестра работ по геологическому изучению недр, участков недр, предоставленных для добычи полезных ископаемых, а также в целях, не связанных с их добычей, и лицензий на пользование недрами (далее - Административный регламент) определяет сроки и последовательность действий (административных процедур) Федерального агентства по недропользованию (далее - Роснедра) и его территориальных органов при осуществлении полномочий по предоставлению государственной услуги по ведению государственного учета и обеспечению ведения государственного реестра работ по геологическому изучению недр, участков недр, предоставленных для добычи полезных ископаемых, а также в целях, не связанных с их добычей, и лицензий на пользование недрами.
Круг заявителей
2. Государственная услуга по ведению государственного учета и обеспечению ведения государственного реестра работ по геологическому изучению недр, участков недр, предоставленных для добычи полезных ископаемых, а также в целях, не связанных с их добычей, и лицензий на пользование недрами предоставляется владельцам лицензии на пользование недрами и (или) исполнителям работ по государственному контракту на выполнение работ по геологическому изучению недр (в том числе региональному) (далее - заявители).
Требования к порядку информирования о предоставлении государственной услуги
3. Сведения о местонахождении, официальном сайте в информационно-телекоммуникационной сети Интернет, адресе электронной почты, контактных телефонах Роснедр:
почтовый адрес: 123995, г. Москва, ул. Б. Грузинская, д. 4/6;
официальный сайт Роснедр в информационно-телекоммуникационной сети Интернет: www.rosnedra.gov.ru;
адрес электронной почты Роснедр: rosnedra@rosnedra.gov.ru;
телефон для справок: (499) 254-48-00.
Сведения о местонахождении территориальных органов Роснедр, их контактных телефонах (телефонах для справок) представлены в приложении № 1 к настоящему Административному регламенту.
4. График приема заявителей в Роснедрах и его территориальных органах:
|
понедельник |
9.00 - 18.00 |
|
вторник |
9.00 - 18.00 |
|
среда |
9.00 - 18.00 |
|
четверг |
9.00 - 18.00 |
|
пятница |
9.00 - 16.45 |
|
предпраздничные дни |
9.00 - 17.00 |
|
обеденный перерыв |
12.00 - 12.45 |
5. На официальных сайтах Роснедр и его территориальных органов в информационно-телекоммуникационной сети Интернет, на информационных стендах Роснедр и его территориальных органов, в федеральной государственной информационной системе "Единый портал государственных и муниципальных услуг (функций)" (далее - Единый портал государственных и муниципальных услуг) и в раздаточных информационных материалах (брошюрах, буклетах) размещаются сведения о месте нахождения Роснедр и его территориальных органов, почтовых адресах, справочных телефонных номерах и адресах электронной почты для направления документов и обращений, адреса их официальных сайтов, а также размещается следующая информация:
график приема заявителей в Роснедрах и его территориальных органах;
порядок выполнения процедур предоставления государственной услуги в текстовом виде и в виде блок-схемы согласно приложению № 2 к настоящему Административному регламенту;
бланки документов, а также образцы их заполнения;
основания для отказа в предоставлении государственной услуги;
досудебный (внесудебный) порядок обжалования решений и действий (бездействия) Роснедр, территориального органа Роснедр, а также их должностных лиц;
список нормативных правовых актов, регламентирующих предоставление государственной услуги.
6. Раздаточные информационные материалы (брошюры, буклеты) находятся в помещениях Роснедр и его территориальных органов, предназначенных для приема заявителей:
в местах ожидания;
в местах заполнения документов;
в местах получения информации о предоставлении услуги в территориальных органах Роснедр.
7. Стенды, содержащие информацию о графике приема заявителей, размещаются при входе в помещения Роснедр и его территориальных органов.
8. Информация по вопросам предоставления государственной услуги и услуг, которые являются необходимыми и обязательными для предоставления государственной услуги, сведений о ходе предоставления указанных услуг предоставляется бесплатно.
9. Основными требованиями к информированию заявителей по вопросам предоставления государственной услуги и услуг, которые являются необходимыми и обязательными для предоставления государственной услуги, сведений о ходе предоставления указанных услуг являются:
достоверность предоставляемой информации;
четкость в изложении информации;
полнота информирования;
удобство и доступность получения информации;
оперативность предоставления информации.
10. Информирование заявителей по вопросам предоставления государственной услуги организуется следующим образом:
Публичное информирование проводится в форме:
- устного информирования (радио или телевидение);
- письменного информирования (по почте, по электронной почте, через официальные сайты, Единый портал государственных и муниципальных услуг).
Индивидуальное информирование проводится в форме:
- устного информирования (лично или по телефону);
- письменного информирования (по почте или по электронной почте через официальные сайты).
11. Лицами, ответственными за индивидуальное устное информирование заявителей, являются:
в Роснедрах (по телефону) - должностные лица Роснедр, осуществляющие индивидуальное устное информирование (далее - уполномоченные должностные лица Роснедр);
в территориальном органе Роснедр (лично или по телефону) - должностные лица территориального органа Роснедр, осуществляющие индивидуальное устное информирование (далее - уполномоченные должностные лица территориального органа Роснедр).
12. При индивидуальном устном информировании (по телефону или лично) уполномоченные должностные лица Роснедр и территориальных органов Роснедр должны называть свои фамилию, имя, отчество, должность, а также наименование структурного подразделения, в которое обратился заявитель, в вежливой форме подробно проинформировать обратившегося по интересующим его вопросам.
13. Уполномоченные должностные лица Роснедр и территориального органа Роснедр, осуществляющие индивидуальное устное информирование, должны принять все необходимые меры для предоставления полного и оперативного ответа на поставленные вопросы. Время ожидания заявителями при индивидуальном устном информировании не должно превышать 15 минут.
Время индивидуального устного информирования составляет не более 20 минут.
Если уполномоченное должностное лицо Роснедр или его территориального органа, к которому обратился заявитель, не может ответить на вопрос самостоятельно, а также если для подготовки ответа требуется продолжительное время, уполномоченное должностное лицо Роснедр или его территориального органа вправе предложить заявителю обратиться письменно либо назначить другое удобное для него время для получения информации.
14. Индивидуальное письменное информирование при обращении заявителей в Роснедра либо его территориальные органы, а также при обращении заявителей через Единый портал государственных и муниципальных услуг осуществляется путем направления ответов почтовым отправлением или по электронной почте.
Руководитель Роснедр или его территориального органа (уполномоченное в установленном порядке должностное лицо) определяет непосредственного исполнителя для подготовки ответа.
Ответ на вопрос предоставляется в простой, четкой и понятной форме с указанием должности лица, подписавшего ответ, а также фамилии, имени, отчества и номера телефона непосредственного исполнителя. Ответ заявителям направляется в течение 30 дней со дня поступления обращения.
15. Публичное устное информирование осуществляется с привлечением средств массовой информации (радио и телевидение). Выступления должностных лиц Роснедр по радио и телевидению согласовываются с руководителем Роснедр. Выступления должностных лиц территориальных органов Роснедр по местному радио и телевидению согласовываются с руководителем территориального органа Роснедр.
16. Публичное письменное информирование осуществляется в Роснедрах и его территориальных органах путем распространения информационных листков и оформления информационных стендов.
Информационные листки должны обязательно содержать следующую информацию:
режим работы Роснедр и его территориальных органов;
адреса официальных сайтов Роснедр и его территориальных органов в информационно-телекоммуникационной сети Интернет;
номера телефонов, адреса электронной почты Роснедр и его территориальных органов.
17. Публичное письменное информирование также осуществляется путем размещения информационных материалов на официальных сайтах Роснедр и его территориальных органов (далее - официальные сайты).
Информация на официальных сайтах должна содержать:
адреса, номера телефонов, адреса электронной почты Роснедр и его территориальных органов;
перечень документов, необходимых для предоставления заявителями;
порядок предоставления государственной услуги;
перечень типовых наиболее часто задаваемых вопросов и ответы на них.
Наименование государственной услуги
18. Государственная услуга по ведению государственного учета и обеспечению ведения государственного реестра работ по геологическому изучению недр, участков недр, предоставленных для добычи полезных ископаемых, а также в целях, не связанных с их добычей, и лицензий на пользование недрами (далее - государственная услуга).
Наименование федерального органа исполнительной власти, предоставляющего государственную услугу
19. Государственную услугу предоставляют Роснедра и его территориальные органы:
Федеральное агентство по недропользованию - в случае выдачи лицензии на право пользования участком недр на основании приказа Роснедр, а также в случае проведения работ по геологическому изучению недр на территории двух и более федеральных округов Российской Федерации, а также в пределах внутренних морских вод, территориального моря, континентального шельфа Российской Федерации, Арктики и Антарктики;
региональные департаменты Роснедр - в случае выдачи лицензии на право пользования участком недр на основании приказа соответствующего регионального департамента, а также в случае проведения работ по геологическому изучению недр в пределах одного федерального округа, а также в случае проведения работ по геологическому изучению недр на территории федерального округа Российской Федерации, находящегося в сфере деятельности регионального департамента Роснедр, не входящей в сферу деятельности территориальных управлений Роснедр;
территориальные управления Роснедр - в случае выдачи лицензии на право пользования участком недр на основании приказа соответствующего территориального управления, а также в случае проведения работ по геологическому изучению недр на территории одного субъекта Российской Федерации.
20. Роснедра организует методическое обеспечение, координацию и контроль деятельности территориальных органов Роснедр.
21. Органы, предоставляющие государственную услугу, не вправе требовать от заявителя осуществления действий, в том числе согласований, необходимых для получения государственной услуги и связанных с обращением в иные государственные органы, органы местного самоуправления, организации.
Описание результатов предоставления государственной услуги
22. Конечным результатом предоставления государственной услуги является:
внесение сведений в государственный реестр работ по геологическому изучению недр;
изменение сведений, содержащихся в государственном реестре работ по геологическому изучению недр;
отказ во внесении сведений в государственный реестр работ по геологическому изучению недр;
отказ в изменении сведений, содержащихся в государственном реестре работ по геологическому изучению недр.
Срок предоставления государственной услуги
23. Срок предоставления государственной услуги составляет не более 10 дней со дня регистрации заявления о предоставлении государственной услуги.
Срок выдачи уведомления об отказе в предоставлении государственной услуги составляет не более 3 дней со дня регистрации заявления о предоставлении государственной услуги.
Срок выдачи заявителю письма о внесении сведений в государственный реестр работ по геологическому изучению недр составляет не более 10 дней с момента регистрации заявления о предоставлении государственной услуги.
Срок выдачи уведомления об отказе во внесении изменений в сведения, содержащиеся в государственном реестре работ по геологическому изучению недр, составляет не более 3 дней после даты с момента регистрации заявления о предоставлении государственной услуги.
Перечень нормативных правовых актов, регулирующих отношения, возникающие в связи с предоставлением государственной услуги
24. Предоставление государственной услуги по ведению государственного учета и обеспечению ведения государственного реестра работ по геологическому изучению недр, участков недр, предоставленных для добычи полезных ископаемых, а также в целях, не связанных с их добычей, и лицензий на пользование недрами, осуществляется в соответствии с:
Законом Российской Федерации от 21 февраля 1992 г. № 2395-1 "О недрах" (Ведомости Съезда народных депутатов Российской Федерации и Верховного Совета Российской Федерации, 1992, № 16, ст. 834; Собрание законодательства Российской Федерации, 1995, № 10, ст. 823; 1999, № 7, ст. 879; 2000, № 2, ст. 141; 2001, № 21, ст. 2061; № 33, ст. 3429; 2002, № 22, ст. 2026; 2003, № 23, ст. 2174; 2004, № 27, ст. 2711; № 35, ст. 3607; 2006, № 17, ст. 1778; № 44, ст. 4538; 2007, № 27, ст. 3213; № 49, ст. 6056; 2008, № 18, ст. 1941; № 29, ст. 3418, ст. 3420; № 30, ст. 3616; 2009, № 1 ст. 17; № 29, ст. 3601; № 52, ст. 6450; 2010, № 21, ст. 2527; № 31, ст. 4155; 2011, № 15, ст. 2018, ст. 2025; № 30, ст. 4567, 4570, 4572, 4590; № 48, ст. 6732; № 49, ст. 7042; № 50, ст. 7343, 7359; 2012, № 25, ст. 3264; № 31, ст. 4322; № 53, ст. 7648; 2013, № 19, ст. 2312) (далее - Закон Российской Федерации "О недрах");
Федеральным законом от 27 июля 2010 г. № 210-ФЗ "Об организации предоставления государственных и муниципальных услуг" (Собрание законодательства Российской Федерации, 2010, № 31, ст. 4179; 2011, № 15, ст. 2038, № 27, ст. 3873, 3880, № 29, ст. 4291; № 30, ст. 4587; № 49, ст. 7061; 2012, № 31, ст. 4322; 2013, № 14, ст. 1651) (далее - Федеральный закон № 210-ФЗ "Об организации предоставления государственных и муниципальных услуг");
постановлением Правительства Российской Федерации от 29 мая 2008 г. № 404 "О Министерстве природных ресурсов и экологии Российской Федерации" (Собрание законодательства Российской Федерации, 2008, № 22, ст. 2581; № 42, ст. 4825; № 46, ст. 5337; 2009, № 3, ст. 378; № 6, ст. 738; № 33, ст. 4088; № 34, ст. 4192; № 49, ст. 5976; 2010, № 5, ст. 538; № 10, ст. 1094; № 14, ст. 1656; № 26, ст. 3350; № 31, ст. 4251; № 31, ст. 4268; № 38, ст. 4835; 2011, № 6, ст. 888; № 14, ст. 1935; № 36, ст. 5149; 2012, № 7, ст. 865; № 11, ст. 1294; № 19, ст. 2440, № 28, ст. 3905; № 37, ст. 5001; № 46, ст. 6342; № 51, ст. 7223; 2013, № 16, ст. 1964; № 24, ст. 2999);
постановлением Правительства Российской Федерации от 17 июня 2004 г. № 293 "Об утверждении Положения о Федеральном агентстве по недропользованию" (Собрание законодательства Российской Федерации, 2004, № 26, ст. 2669; 2006, № 25, ст. 2723; 2008, № 22, ст. 2581; № 42, ст. 4825; № 46, ст. 5337; 2009 № 6, ст. 738; № 33, ст. 4081; № 38, ст. 4489; 2010, № 26, ст. 3350; 2011, № 14, ст. 1935; 2013, № 10, ст. 1027);
постановлением Правительства Российской Федерации от 16.08.2012 № 840 "О порядке подачи и рассмотрения жалоб на решения и действия (бездействие) федеральных органов исполнительной власти и их должностных лиц, федеральных государственных служащих, должностных лиц государственных внебюджетных фондов Российской Федерации" (Собрание законодательства Российской Федерации, 2012, № 35, ст. 4829).
Исчерпывающий перечень документов, необходимых в соответствии с нормативными правовыми актами для предоставления государственной услуги, способы их получения заявителем, в том числе в электронной форме
25. Для предоставления государственной услуги необходимы следующие документы:
1) заявление о внесении сведений в государственный реестр работ по геологическому изучению недр (форма заявления представлена в приложении № 3 к настоящему Административному регламенту);
2) доверенность в случае, если заявление подписано лицом, не имеющим права действовать от заявителя без доверенности;
26. Заявление о внесении сведений в государственный реестр работ по геологическому изучению недр должно содержать:
1) данные о заявителе (для юридического лица - наименование, организационно-правовая форма, индивидуальный номер налогоплательщика, почтовый адрес, телефон; для физического лица - фамилия, имя, отчество, почтовый адрес, телефон, индивидуальный номер налогоплательщика);
2) номер и дату выдачи лицензии на пользование недрами и (или) номер и дату заключения государственного контракта на выполнение работ по геологическому изучению недр (в том числе региональному);
3) точное местонахождение объекта или района работ:
а) если работы проводятся на всей территории Российской Федерации, в качестве местонахождения указывается "территория Российской Федерации в целом";
б) если работы проводятся на территории одного субъекта Российской Федерации, указываются федеральный округ, субъект Российской Федерации и административный (административные) район (районы);
в) если работы проводятся на территории нескольких субъектов Российской Федерации, указываются федеральный округ или федеральные округа и субъекты Российской Федерации, на территории которых намечается проведение работ по геологическому изучению недр, административные районы;
г) если работы по геологическому изучению недр проводятся в пределах внутренних морских вод, территориального моря, континентального шельфа Российской Федерации, указывается наименование акватории (море, залив, пролив и т.п.);
д) если работы по геологическому изучению недр проводятся в Арктике и Антарктике, указывается географическое наименование района работ (для всех случаев, обозначенных в подпунктах "б", "в", "г" и "д" настоящего подпункта, указываются географические координаты угловых точек объекта работ (градусы, минуты, секунды), кроме случаев, когда границы объекта работ совпадают с границами объектов административно-территориального деления Российской Федерации или с границами географических объектов, при этом в случае, если границы объекта работ описываются более чем 25 точками, составляется перечень угловых точек объекта работ);
4) стоимость работ по объекту и источник его финансирования;
5) вид пользования недрами (в соответствии с Законом Российской Федерации "О недрах") и основные виды работ по геологическому изучению, подлежащие регистрации.
Основные виды работ обозначаются в виде буквенных аббревиатур:
|
Геолого-съемочные работы |
ГСР |
|
Геолого-поисковые, разведочные работы |
ГРР |
|
Гидрогеологические исследования |
ГГИ |
|
Геофизические исследования |
ГФИ |
|
Геохимические исследования |
ГХИ |
|
Инженерно-геологические изыскания |
ИГИ |
|
Эколого-геологические исследования |
ЭГИ |
|
Мониторинг геологической среды |
МОН |
|
Тематические, опытно-методические, научно-исследовательские работы |
ТЕМ |
|
Картосоставительские и картоиздательские работы |
ККР |
|
Геолого-экономические, технологические работы |
ГЭР; |
6) данные об исполнителе работ по геологическому изучению недр (для юридического лица - наименование, организационно-правовая форма, индивидуальный номер налогоплательщика, почтовый адрес, телефон; для физического лица - фамилия, имя, отчество, почтовый адрес, телефон, индивидуальный номер налогоплательщика), если работы выполняются несколькими организациями или с участием соисполнителей, информация дается по каждому из них;
7) сроки проведения работ (квартал, год) - начало (числитель) и окончание (знаменатель);
8) срок сдачи отчетных документов в фонды геологической информации (квартал, год);
9) наименование проекта геологического изучения недр, номер и дату заключения экспертизы данного проекта геологического изучения недр, проводимой в соответствии со статьей 36.1 Закона Российской Федерации "О недрах".
Заявление заполняется от руки или машинописным способом и заверяется:
для юридических лиц - печатью заявителя и подписью уполномоченного лица;
для физических лиц - подписью заявителя.
27. Документы, перечисленные в пункте 25 настоящего Административного регламента, могут быть представлены заявителем в виде оригинала, копии или могут быть направлены в электронной форме.
Обращение за получением государственной услуги может осуществляться с использованием электронных документов, подписанных электронной подписью в соответствии с требованиями Федерального закона от 06.04.2011 № 63-ФЗ "Об электронной подписи" (Собрание законодательства Российской Федерации, 2011, № 15, ст. 2036; № 27, ст. 3880; 2012, № 29, ст. 3988; 2013, № 14, ст. 1668) (далее - Федеральный закон № 63-ФЗ "Об электронной подписи") и требованиями Федерального закона № 210-ФЗ "Об организации предоставления государственных и муниципальных услуг".
Исчерпывающий перечень документов, необходимых в соответствии с нормативными правовыми актами для предоставления государственной услуги, которые находятся в распоряжении государственных органов, органов местного самоуправления и иных органов, участвующих в предоставлении государственных или муниципальных услуг, и которые заявитель вправе представить, а также способы их получения заявителями, в том числе в электронной форме
28. Для предоставления государственной услуги необходима лицензия на пользование недрами и (или) государственный контракт на выполнение работ по геологическому изучению недр (в том числе региональному), находящиеся в распоряжении государственных органов.
Указанные документы в случае отсутствия их в Роснедрах или его территориальном органе запрашиваются Роснедрами или его территориальными органами в государственном органе или подведомственных государственным органам организациях, участвующих в предоставлении государственной услуги, в распоряжении которых находятся указанные документы в соответствии с нормативными правовыми актами Российской Федерации, если заявитель не представил указанные документы самостоятельно.
Заявитель вправе представить указанные документы в органы, предоставляющие государственную услугу, по собственной инициативе.
Требование о предоставлении документов и информации или осуществления действий, представление или осуществление которых не предусмотрено нормативными правовыми актами, регулирующими отношения, возникающие в связи с предоставлением государственной услуги, не допускается.
Требование о предоставлении документов и информации, которые в соответствии с нормативными правовыми актами Российской Федерации, нормативными правовыми актами субъектов Российской Федерации и муниципальными правовыми актами находятся в распоряжении государственных органов, предоставляющих государственную услугу, иных государственных органов, органов местного самоуправления и (или) подведомственных государственным органам и органам местного самоуправления организаций, участвующих в предоставлении государственных или муниципальных услуг, за исключением документов, указанных в части 6 статьи 7 Федерального закона № 210-ФЗ "Об организации предоставления государственных и муниципальных услуг", не допускается.
Исчерпывающий перечень оснований для отказа в приеме документов, необходимых для предоставления государственной услуги
29. Основания для отказа в приеме документов, необходимых для предоставления государственной услуги, не предусмотрены.
Исчерпывающий перечень оснований для приостановления или отказа в предоставлении государственной услуги
30. Оснований для приостановления предоставления государственной услуги законодательством Российской Федерации не предусмотрено.
31. Основанием для отказа во внесении сведений в государственный реестр работ по геологическому изучению недр является направление заявителем заявления и прилагаемых документов с нарушением требований пунктов 25 - 27 настоящего Административного регламента.
Основанием для отказа во внесении изменений в сведения, содержащиеся в государственном реестре работ по геологическому изучению недр, является направление заявителем заявления и прилагаемых документов с нарушением требований пунктов 26 - 27, 69 настоящего Административного регламента.
32. Непредставление (несвоевременное представление) органом или организацией по межведомственному запросу документов и информации, указанных в пункте 28 настоящего Административного регламента, в орган, предоставляющий государственную услугу, не может являться основанием для отказа в предоставлении заявителю государственной услуги.
Перечень услуг, которые являются необходимыми и обязательными для предоставления государственной услуги, в том числе сведения о документе (документах), выдаваемом (выдаваемых) организациями, участвующими в предоставлении государственной услуги
33. При предоставлении государственной услуги оказание иных услуг, необходимых и обязательных для предоставления государственной услуги, не осуществляется.
В предоставлении государственной услуги участвуют государственные органы и подведомственные государственным органам организации, в распоряжении которых находятся документы, указанные в пункте 28 настоящего Административного регламента.
Порядок, размер и основания взимания государственной пошлины или иной платы, взимаемой за предоставление государственной услуги
34. Плата за предоставление государственной услуги не взимается.
Порядок, размер и основания взимания платы за предоставление услуг, которые являются необходимыми и обязательными для предоставления государственной услуги, включая информацию о методике расчета размера такой платы
35. При предоставлении государственной услуги оказание иных услуг, необходимых и обязательных для предоставления государственной услуги, не осуществляется, плата за предоставление указанных услуг не взимается.
Максимальный срок ожидания в очереди при подаче запроса о предоставлении государственной услуги и при получении результата предоставления государственной услуги
36. Максимальный срок ожидания в очереди при подаче документов заявителем (его уполномоченным представителем) и получении результата предоставления государственной услуги не должен превышать 15 минут.
Срок и порядок регистрации заявления о предоставлении государственной услуги
37. Должностное лицо Роснедр или его территориального органа, ответственное за прием заявок, регистрирует полученное заявление, присваивает ему входящий номер до 12 часов рабочего дня, следующего за днем поступления заявления о предоставлении государственной услуги.
38. В случае подачи заявления о предоставлении государственной услуги и прилагаемых к нему документов посредством использования средств электронной почты или Единого портала государственных и муниципальных услуг должностное лицо Роснедр или его территориального органа, ответственное за прием заявок, распечатывает поступившие документы и регистрирует полученное заявление, присваивает ему входящий номер до 12 часов рабочего дня, следующего за днем поступления заявления.
Требования к помещениям, в которых предоставляется государственная услуга, к месту ожидания и приема заявителей, размещению и оформлению визуальной, текстовой и мультимедийной информации о порядке предоставления таких услуг
39. Места предоставления государственной услуги должны быть оборудованы системами кондиционирования (охлаждения и нагревания) воздуха, средствами пожаротушения и оповещения о возникновении чрезвычайной ситуации.
40. Для ожидания заявителями приема, заполнения необходимых для получения государственной услуги документов отводятся места, оборудованные стульями, столами (стойками) для возможности оформления документов с наличием писчей бумаги, ручек, бланков документов.
41. Места получения информации о предоставлении государственной услуги оборудуются информационными стендами.
42. Помещение должно быть оборудовано в соответствии с санитарными правилами и нормами. Должны быть созданы условия для обслуживания заявителей с ограниченными физическими возможностями: помещения должны быть оборудованы пандусами, специальными ограждениями и перилами, обеспечивающими беспрепятственное передвижение и разворот инвалидных колясок. Размещение столов для заявителей с ограниченными физическими возможностями должно быть предусмотрено в стороне от входа в целях обеспечения беспрепятственного подъезда и поворота колясок.
Показатели доступности и качества государственной услуги, в том числе количество взаимодействий заявителя с должностными лицами при предоставлении государственной услуги и их продолжительность, возможность получения государственной услуги в многофункциональном центре предоставления государственных и муниципальных услуг, возможность получения информации о ходе предоставления государственной услуги, в том числе с использованием информационно-коммуникационных технологий
43. Ограничений по доступности государственной услуги для заявителей не имеется.
44. Основными показателями доступности и качества государственной услуги являются количество жалоб от заявителей о нарушениях сроков предоставления государственной услуги, предусмотренных настоящим Административным регламентом, а также количество судебных исков по обжалованию решений Роснедр или его территориальных органов, принимаемых при предоставлении государственной услуги.
45. Взаимодействие заявителя с должностными лицами Роснедр или его территориальных органов осуществляется при личном приеме граждан в соответствии с графиком приема граждан Роснедр или его территориальных органов, а также в ходе индивидуального информирования заявителя по вопросам предоставления государственной услуги в соответствии с пунктом 10 настоящего Административного регламента.
46. Взаимодействие заявителя с должностными лицами Роснедр или его территориальных органов осуществляется при личном обращении заявителя для подачи документов, необходимых для предоставления государственной услуги, а также при получении результата предоставления государственной услуги.
47. Продолжительность взаимодействия заявителя с должностными лицами Роснедр, его территориального органа при предоставлении государственной услуги не должна превышать 20 минут по каждому из указанных видов взаимодействия.
48. Заявители имеют право на получение государственной услуги в многофункциональном центре предоставления государственных и муниципальных услуг в соответствии с соглашением, заключенным между многофункциональным центром и органом, предоставляющим государственную услугу, с момента вступления в силу соответствующего соглашения о взаимодействии.
49. Заявителю обеспечивается возможность получения государственной услуги посредством использования электронной почты, Единого портала государственных и муниципальных услуг.
Заявителю посредством использования Единого портала государственных и муниципальных услуг обеспечивается возможность получение сведений о ходе предоставления государственной услуги.
Иные требования, в том числе учитывающие особенности предоставления государственной услуги в многофункциональных центрах предоставления государственных и муниципальных услуг и особенности предоставления государственной услуги в электронной форме
50. Обращение за получением государственной услуги может осуществляться с использованием электронных документов, подписанных электронной подписью в соответствии с требованиями Федерального закона № 63-ФЗ "Об электронной подписи" и требованиями Федерального закона № 210-ФЗ "Об организации предоставления государственных и муниципальных услуг".
Перечень классов средств электронной подписи, которые допускаются к использованию при обращении за получением государственной услуги, оказываемой с применением усиленной квалифицированной электронной подписи, и определяются на основании утверждаемой федеральным органом исполнительной власти по согласованию с Федеральной службой безопасности Российской Федерации модели угроз безопасности информации в информационной системе, используемой в целях приема обращений за получением государственной услуги и (или) предоставления такой услуги.
Состав и последовательность административных процедур
51. Предоставление государственной услуги включает в себя следующие административные процедуры:
1) прием заявления о внесении сведений в государственный реестр работ по геологическому изучению недр;
2) проверка соответствия заявления и прилагаемых документов требованиям, установленным настоящим Административным регламентом;
3) формирование и направление межведомственных запросов в органы (организации), участвующие в предоставлении государственной услуги;
4) принятие решения о внесении сведений в государственный реестр работ по геологическому изучению недр или об отказе во внесении сведений в государственный реестр работ по геологическому изучению недр и информирование заявителя о принятом решении;
5) внесение изменений в сведения, содержащиеся в государственном реестре работ по геологическому изучению недр;
6) ведение государственного реестра участков недр, предоставленных для добычи полезных ископаемых, а также в целях, не связанных с их добычей, и лицензий на пользование недрами.
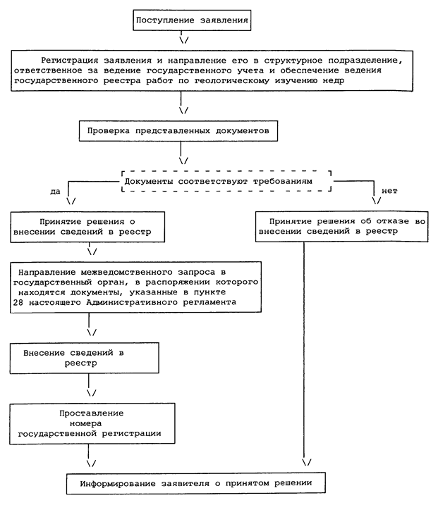
Блок-схема предоставления государственной услуги представлена в приложении № 2 к настоящему Административному регламенту.
Прием заявления о внесении сведений в государственный реестр работ по геологическому изучению недр
52. Основанием для начала административной процедуры является поступление заявления о внесении сведений в государственный реестр работ по геологическому изучению недр в Роснедра или его территориальный орган. Форма заявления указана в приложении № 3 к настоящему Административному регламенту.
Обращение за получением государственной услуги может осуществляться с использованием электронных документов, подписанных электронной подписью в соответствии с требованиями Федерального закона № 63-ФЗ "Об электронной подписи" и требованиями Федерального закона № 210-ФЗ "Об организации предоставления государственных и муниципальных услуг".
Действия, связанные с проверкой действительности усиленной квалифицированной электронной подписи заявителя, использованной при обращении за получением государственной услуги, а также с установлением перечня классов средств удостоверяющих центров, которые допускаются для использования в целях обеспечения указанной проверки и определяются на основании утверждаемой федеральным органом исполнительной власти по согласованию с Федеральной службой безопасности Российской Федерации модели угроз безопасности информации в информационной системе, используемой в целях приема обращений за предоставлением такой услуги, осуществляются в соответствии с постановлением Правительства Российской Федерации от 25.08.2012 № 852 "Об утверждении Правил использования усиленной квалифицированной электронной подписи при обращении за получением государственных и муниципальных услуг и о внесении изменения в Правила разработки и утверждения административных регламентов предоставления государственных услуг" (Собрание законодательства Российской Федерации, 2012, № 36, ст. 4903).
53. Ответственными за прием заявлений являются уполномоченные должностные лица Роснедр или территориального органа Роснедр, выполняющие функции по приему и отправке корреспонденции.
54. Заявление и прилагаемые к нему документы передаются должностным лицом Роснедр или его территориального органа, принявшим указанные документы, должностному лицу Роснедр или его территориального органа, ответственному за проверку заявлений на соответствие требованиям настоящего Административного регламента, до 12 часов рабочего дня, следующего за днем регистрации.
55. В случае подачи заявления о предоставлении государственной услуги посредством использования электронной почты или Единого портала государственных и муниципальных услуг должностное лицо Роснедр или его территориального органа, выполняющее функцию по приему и отправке корреспонденции, распечатывает поступившие документы, регистрируют полученное заявление, присваивает ему входящий номер до 12 часов рабочего дня, следующего за днем поступления заявления.
56. Для заявителей посредством использования Единого портала государственных и муниципальных услуг обеспечивается возможность доступа к сведениям о государственной услуге, а также получения сведений о ходе предоставления государственной услуги.
Предоставление заявителям информации и обеспечение доступа заявителей к сведениям о государственной услуге осуществляются в том числе посредством использования Единого портала государственных и муниципальных услуг в порядке, установленном пунктом 14 настоящего Административного регламента.
Проверка соответствия заявления и прилагаемых документов требованиям, установленным настоящим Административным регламентом
57. Основанием для начала административной процедуры является получение заявления о предоставлении государственной услуги должностным лицом Роснедр или его территориального органа, ответственным за проверку представленных документов на соответствие требованиям, установленным настоящим Административным регламентом.
58. Ответственными за проверку представленных документов на соответствие требованиям, установленным настоящим Административным регламентом, являются уполномоченные должностные лица Роснедр или его территориальных органов, в обязанности которых в соответствии с их должностными регламентами входит выполнение соответствующих функций.
59. Должностное лицо Роснедр или его территориального органа, ответственное за проверку представленных документов на соответствие требованиям, установленным настоящим Административным регламентом, в течение 3 дней с даты регистрации заявления о предоставлении государственной услуги осуществляет проверку заявления и прилагаемых документов на соответствие требованиям пунктов 25 - 27 настоящего Административного регламента.
60. В случае направления заявителем заявления и прилагаемых документов с нарушением требований пунктов 25 - 27 настоящего Административного регламента должностное лицо, ответственное за проверку представленных документов на соответствие требованиям, установленным настоящим Административным регламентом, в течение 3 рабочих дней после даты регистрации заявления направляет заявителю уведомление об отказе в предоставлении государственной услуги (далее - уведомление об отказе).
61. Уведомление об отказе должно содержать полное наименование Роснедр или его территориального органа, подготовивших данное уведомление, а также полное наименование юридического лица, его юридический адрес, либо фамилию, имя, отчество физического лица, а также основания отказа в предоставлении государственной услуги.
Уведомление об отказе подписывается руководителем Роснедр или территориального органа Роснедр либо заместителем руководителя Роснедр или территориального органа Роснедр.
В случае подачи заявления посредством использования электронной почты или Единого портала государственных и муниципальных услуг указанное уведомление направляется заявителю посредством использования электронной почты.
Формирование и направление межведомственных запросов в органы (организации), участвующие в предоставлении государственной услуги
62. Основанием для начала административной процедуры является получение документов должностным лицом Роснедр или его территориального органа, ответственным за проверку представленных документов на соответствие требованиям, установленным настоящим Административным регламентом.
63. В случае, если заявление и прилагаемые документы соответствуют требованиям пунктов 25 - 27 настоящего Административного регламента, а документы, указанные в пункте 28 настоящего Административного регламента, не были представлены заявителем (его уполномоченным представителем) самостоятельно и отсутствуют в Роснедрах или его территориальном органе, в течение четырех рабочих дней, следующих за днем регистрации поступившего заявления, уполномоченное должностное лицо Роснедр или его территориального органа осуществляет направление межведомственного запроса в государственный орган, в распоряжении которого находятся документы, указанные в пункте 28 настоящего Административного регламента, в том числе в электронной форме с использованием единой системы межведомственного электронного взаимодействия и подключаемых к ней региональных систем межведомственного электронного взаимодействия.
64. Направление межведомственного запроса и представление документов, указанных в пункте 28 настоящего Административного регламента, допускаются только в целях, связанных с предоставлением государственной услуги и (или) ведением базовых государственных информационных ресурсов в целях предоставления государственных услуг.
65. Межведомственный запрос о представлении документов, указанных в пункте 28 настоящего Административного регламента, для предоставления государственной услуги с использованием межведомственного информационного взаимодействия формируется в соответствии с требованиями статьи 7.2 Федерального закона № 210-ФЗ "Об организации предоставления государственных и муниципальных услуг".
Документы и сведения, полученные с использованием межведомственного информационного взаимодействия, применяются в соответствии с нормативными правовыми актами для предоставления государственной услуги.
Принятие решения о внесении сведений в государственный реестр работ по геологическому изучению недр или об отказе во внесении сведений в государственный реестр работ по геологическому изучению недр и информирование заявителя о принятом решении
66. Основанием для начала административной процедуры является получение документов должностным лицом Роснедр или его территориального органа, ответственным за проверку представленных документов на соответствие требованиям, установленным настоящим Административным регламентом.
67. В случае, если заявление и прилагаемые документы соответствуют требованиям пунктов 25 - 27 настоящего Административного регламента, должностное лицо, ответственное за ведение государственного учета и обеспечение ведения государственного реестра работ по геологическому изучению недр, в срок не более шести рабочих дней со дня регистрации заявления вносит сведения, представленные заявителем в государственный реестр работ по геологическому изучению недр (приложение № 4 к настоящему Административному регламенту) и присваивает каждому объекту работ государственный регистрационный номер согласно приложению № 5 к настоящему Административному регламенту.
В течение 10 дней со дня регистрации заявления о предоставлении государственной услуги должностное лицо Роснедр или его территориального органа, ответственное за ведение государственного учета и обеспечение ведения государственного реестра работ по геологическому изучению недр, вручает заявителю лично под роспись или направляет по почте подписанное руководителем Роснедр, его территориального органа или заместителем руководителя Роснедр, его территориального органа письмо о государственной регистрации работы по геологическому изучению недр.
Внесение изменений в сведения, содержащиеся в государственном реестре работ по геологическому изучению недр
68. В случае, если после государственной регистрации работ по геологическому изучению недр произошло изменение наименования, видов, сроков работ, площади или района работ, приостановка либо прекращение работ, изменение условий пользования недрами или государственного контракта, а также переоформление лицензии на пользование недрами, заявитель в течение 14 дней с даты произошедших изменений представляет соответствующие сведения на внесение изменений в государственный реестр работ по геологическому изучению недр.
Основанием для начала административной процедуры является поступление в Роснедра или его территориальный орган заявления о внесении изменений в сведения, содержащиеся в государственном реестре работ по геологическому изучению недр.
69. Заявление о внесении изменений в сведения, содержащиеся в государственном реестре работ по геологическому изучению недр должно соответствовать требованиям, установленным в пунктах 26 - 27 настоящего Административного регламента, а также содержать обоснование необходимости внесения соответствующих изменений в государственный реестр работ по геологическому изучению недр с указанием реквизитов обосновывающих документов (при наличии).
Заявление о внесении изменений в сведения, содержащиеся в государственном реестре работ по геологическому изучению недр, подается заявителем (его уполномоченным представителем) по форме, указанной в приложении № 6 к настоящему Административному регламенту, лично, либо почтовым отправлением (в том числе с использованием электронной почты), либо через Единый портал государственных и муниципальных услуг.
К заявлению о внесении изменений в сведения, содержащиеся в государственном реестре работ по геологическому изучению недр прилагается доверенность в случае, если данное заявление подписано лицом, не имеющим права действовать от заявителя без доверенности
70. Заявление о внесении изменений в сведения, содержащиеся в государственном реестре работ по геологическому изучению недр, регистрируется в порядке, установленном пунктами 37 - 38 настоящего Административного регламента.
Должностное лицо Роснедр или его территориального органа, ответственное за проверку представленных документов требованиям настоящего Административного регламента, в течение 3 рабочих дней с даты регистрации заявления о внесении изменений в сведения, содержащиеся в государственном реестре работ по геологическому изучению недр, осуществляет проверку данного заявления на соответствие требованиям пунктов 26 - 27, 69 настоящего Административного регламента.
71. В случае, если заявление соответствует требованиям пунктов 26 - 27, 69 настоящего Административного регламента, должностное лицо Роснедр или его территориального органа, ответственное за ведение государственного учета и обеспечение ведения государственного реестра работ по геологическому изучению недр, вносит изменения в государственный реестр работ по геологическому изучению недр в графу "Особые отметки" без изменения сведений в других графах.
В течение 10 дней со дня регистрации заявления о внесении изменений в сведения, содержащиеся в государственном реестре работ по геологическому изучению недр, должностное лицо Роснедр или его территориального органа, ответственное за ведение государственного учета и обеспечение ведения государственного реестра работ по геологическому изучению недр, вручает заявителю лично под роспись или направляет по почте подписанное руководителем Роснедр, его территориального органа или заместителем руководителя Роснедр, его территориального органа письмо о внесении изменений в сведения, содержащиеся в государственном реестре работ по геологическому изучению недр, с указанием в письме государственного регистрационного номера объектов работ, по которым вносятся изменения и даты принятия решения о внесении изменений в государственный реестр работ по геологическому изучению недр.
72. В случае направления заявителем заявления о внесении изменений в сведения, содержащиеся в государственном реестре работ по геологическому изучению недр, с нарушением требований пунктов 26 - 27, 69 настоящего Административного регламента, должностное лицо, ответственное за проверку заявления на соответствие требованиям, установленным настоящим Административным регламентом, в течение 3 рабочих дней после даты регистрации заявления о внесении изменений в сведения, содержащиеся в государственном реестре работ по геологическому изучению недр, направляет заявителю уведомление об отказе во внесении изменений в сведения, содержащиеся в государственном реестре работ по геологическому изучению недр (далее - уведомление об отказе во внесении изменений).
Уведомление об отказе во внесении изменений должно содержать полное наименование Роснедр или его территориального органа, подготовивших данное уведомление, а также полное наименование юридического лица, его юридический адрес, либо фамилию, имя, отчество физического лица, а также причину отказа во внесении изменений в сведения, содержащиеся в государственном реестре работ по геологическому изучению недр.
Уведомление об отказе во внесении изменений подписывается руководителем Роснедр или территориального органа Роснедр либо заместителем руководителя Роснедр или территориального органа Роснедр.
В случае подачи заявления посредством использования электронной почты или Единого портала государственных и муниципальных услуг указанное уведомление направляется заявителю посредством использования электронной почты.
73. Должностные лица территориальных органов Роснедр, ответственные за ведение государственного учета и обеспечение ведения государственного реестра работ по геологическому изучению недр, ежеквартально (в срок до 10 числа следующего за отчетным кварталом месяца) направляют для учета в Роснедра выписку из государственного реестра работ по геологическому изучению недр за отчетный период на бумажном носителе и в электронном виде.
Ведение государственного реестра участков недр, предоставленных для добычи полезных ископаемых, а также в целях, не связанных с их добычей, и лицензий на пользование недрами
74. Должностное лицо Роснедр или его территориального органа, ответственное за ведение государственного реестра участков недр, предоставленных для добычи полезных ископаемых, а также в целях, не связанных с их добычей, и лицензий на пользование недрами (далее - Государственный реестр лицензий и участков недр), одновременно с государственной регистрацией лицензии на пользование недрами вносит сведения в Государственный реестр лицензий и участков недр в соответствии с приложением № 7 к настоящему Административному регламенту.
75. Государственному учету и включению в Государственный реестр лицензий и участков недр подлежат участки недр, предоставленные для добычи полезных ископаемых, а также в целях, не связанных с их добычей, на основании лицензий на пользование недрами, прошедших государственную регистрацию.
Государственный реестр лицензий и участков недр ведется Роснедрами и его территориальными органами в пределах своих полномочий по форме согласно приложению № 8 к настоящему Административному регламенту на бумажном носителе и в электронном виде.
76. В случае переоформления лицензии на пользование недрами, прекращения права пользования недрами, в том числе досрочного, приостановления или ограничения права пользования недрами, внесения изменений и дополнений в лицензионные соглашения должностное лицо Роснедр или его территориального органа, ответственное за ведение Государственного реестра лицензий и участков недр, одновременно с принятием соответствующего решения вносит в Государственный реестр лицензий и участков недр дополнительные сведения.
В случае переоформления лицензии на пользование недрами в графу "Особые отметки" Государственного реестра лицензий и участков недр вносится отметка о переоформлении лицензии на пользование недрами и указываются причина переоформления, номер и дата документа, в соответствии с которым происходит переоформление.
В случае прекращения права пользования недрами, в том числе досрочного, в графу "Особые отметки" Государственного реестра лицензий и участков недр вносится отметка о прекращении права пользования недрами со ссылкой на орган, принявший это решение, с указанием даты и номера документа.
В случае приостановления или ограничения права пользования недрами в графу "Особые отметки" Государственного реестра лицензий и участков недр вносится отметка о приостановлении или ограничении права пользования недрами с указанием причины и срока, на который приостановлено или ограничено действие лицензии, а также даты и номера документа, в соответствии с которым приостановлено или ограничено право пользования недрами.
В случае внесения изменений и дополнений в условия пользования недрами или условия государственного контракта в графу "Особые отметки" Государственного реестра лицензий и участков недр вносятся соответствующие изменения без изменения сведений в других графах.
77. Должностные лица территориальных органов Роснедр, ответственные за государственную регистрацию лицензий и внесение сведений в Государственный реестр лицензий и участков недр, ежеквартально (в срок до 10 числа следующего за отчетным кварталом месяца) направляют в Роснедра для учета выписку из Государственного реестра лицензий и участков недр за отчетный период на бумажном носителе и в электронном виде.
Порядок осуществления текущего контроля за соблюдением и исполнением ответственными должностными лицами положений Административного регламента и иных нормативных правовых актов, устанавливающих требования к предоставлению государственной услуги, а также принятием ими решений
78. Текущий контроль за соблюдением последовательности действий и сроков исполнения административных процедур по предоставлению государственной услуги осуществляется постоянно должностными лицами, ответственными за выполнение административных действий, входящих в состав административных процедур, а также путем проведения уполномоченным должностным лицом Роснедр проверок соблюдения и исполнения ответственными должностными лицами Роснедр, территориального органа Роснедр, осуществляющими предоставление государственных услуг, положений настоящего Административного регламента, иных нормативных правовых актов Российской Федерации.
Порядок и периодичность осуществления плановых и внеплановых проверок полноты и качества предоставления государственной услуги, в том числе порядок и формы контроля за полнотой и качеством предоставления государственной услуги
79. Роснедра организует и осуществляет контроль за полнотой и качеством предоставления государственной услуги территориальными органами Роснедр.
Контроль за полнотой и качеством предоставления государственной услуги включает в себя проведение в установленном порядке плановых и внеплановых проверок, выявление и устранение нарушений прав заявителей, рассмотрение, принятие решений и подготовку ответов на обращения заявителей, содержащие жалобы на действия (бездействие) и решения должностных лиц территориальных органов Роснедр.
80. Периодичность осуществления плановых проверок устанавливается руководителем Роснедр или заместителем руководителя Роснедр.
При проверке могут рассматриваться все вопросы, связанные с предоставлением государственной услуги, или вопросы, связанные с исполнением той или иной административной процедуры. Проверка также может проводиться по конкретному обращению заявителей или иных заинтересованных лиц. Периодичность осуществления текущего контроля устанавливается руководителем Роснедр или заместителем руководителя Роснедр.
81. Внеплановые проверки проводятся по решению (на основании поручения) руководителя Роснедр, Министра природных ресурсов и экологии Российской Федерации (заместителя Министра) по жалобам заявителей на действия (бездействие), решения Роснедр, его территориальных органов, должностных лиц Роснедр и его территориальных органов.
Предложения о проведении таких проверок с обоснованием необходимости их проведения готовит департамент Минприроды России, ответственный за рассмотрение поступившей жалобы.
В случае необходимости для проведения проверок по решению Министра природных ресурсов и экологии Российской Федерации (заместителя Министра) могут создаваться комиссии. Состав таких комиссий, сроки проведения ими проверок и техническое задание на проведение каждой проверки утверждаются приказом Минприроды России. В состав комиссий могут включаться работники подведомственных Министерству природных ресурсов и экологии Российской Федерации федеральных служб и федеральных агентств (их территориальных органов).
Включение в состав комиссии работника департамента Минприроды России, выступившего инициатором проведения проверки, является обязательным.
82. Заявитель информируется о результатах проверки поданной им жалобы, а также о решениях, принятых по результатам проведенной проверки, в установленном законодательством Российской Федерации порядке.
Ответственность должностных лиц за решения и действия (бездействие), принимаемые (осуществляемые) ими в ходе предоставления государственной услуги
83. Персональная ответственность должностных лиц Роснедр, территориального органа Роснедр закрепляется в их должностных регламентах в соответствии с требованиями законодательства Российской Федерации.
84. По результатам проведенных проверок в случае выявления нарушений осуществляется привлечение виновных лиц к ответственности в соответствии с законодательством Российской Федерации.
Положения, характеризующие требования к порядку и формам контроля за предоставлением государственной услуги, в том числе со стороны граждан, их объединений и организаций
85. Контроль за предоставлением государственной услуги, в том числе со стороны граждан, их объединений и организаций, осуществляется посредством открытости деятельности Роснедр, территориальных органов Роснедр при предоставлении государственной услуги, получения полной, актуальной и достоверной информации о порядке предоставления государственной услуги и возможности досудебного рассмотрения обращений (жалоб) в процессе получения государственной услуги.
Граждане, их объединения и организации вправе направлять замечания и предложения по улучшению качества предоставления государственных услуг.
86. Заявитель имеет право подать жалобу на решение и (или) действие (бездействие) Роснедр, его территориальных органов и (или) их должностных лиц, федеральных государственных служащих при предоставлении государственных услуг (далее - жалоба).
87. Заявитель может обратиться с жалобой, в том числе в следующих случаях:
а) нарушение срока регистрации запроса заявителя о предоставлении государственных услуг;
б) нарушение срока предоставления государственных услуг;
в) требование представления заявителем документов, не предусмотренных нормативными правовыми актами Российской Федерации для предоставления государственных услуг;
г) отказ в приеме документов, представление которых предусмотрено нормативными правовыми актами Российской Федерации для предоставления государственных услуг;
д) отказ в предоставлении государственных услуг, если основания отказа не предусмотрены федеральными законами и принятыми в соответствии с ними иными нормативными правовыми актами Российской Федерации;
е) требование внесения заявителем при предоставлении государственных услуг платы, не предусмотренной нормативными правовыми актами Российской Федерации;
ж) отказ органов, предоставляющих государственные услуги, их должностных лиц в исправлении допущенных опечаток и ошибок в выданных в результате предоставления государственных услуг документах либо нарушение установленного срока таких исправлений.
88. Жалоба подается в орган, предоставляющий государственную услугу, порядок предоставления которой был нарушен вследствие решений и действий (бездействия) органа, предоставляющего государственную услугу, его должностного лица либо федеральных государственных служащих.
В случае, если обжалуется решение руководителя территориального органа Роснедр, жалоба подается в Федеральное агентство по недропользованию. При обжаловании решения руководителя Федерального агентства по недропользованию, жалоба подается в Министерство природных ресурсов и экологии Российской Федерации.
89. В соответствии с частью 3 статьи 11.2 Федерального закона № 210-ФЗ "Об организации предоставления государственных и муниципальных услуг" порядок подачи и рассмотрения жалоб на решения и действия (бездействие) федеральных органов исполнительной власти и их должностных лиц, федеральных государственных служащих, должностных лиц государственных внебюджетных фондов Российской Федерации устанавливается Правительством Российской Федерации.
90. Жалоба подается в письменной форме на бумажном носителе, в электронной форме в орган, предоставляющий государственные услуги. Жалоба может быть направлена по почте, через многофункциональный центр предоставления государственных и муниципальных услуг, с использованием информационно-телекоммуникационной сети Интернет, официального сайта органа, предоставляющего государственные услуги, Единого портала государственных и муниципальных услуг, а также может быть принята при личном приеме заявителя.
91. Жалоба должна содержать:
1) наименование органа, предоставляющего государственные услуги, должностного лица органа, предоставляющего государственные услуги, либо государственного служащего, решения и действия (бездействие) которых обжалуются;
2) фамилию, имя, отчество (последнее - при наличии), сведения о месте жительства заявителя - физического лица либо наименование, сведения о месте нахождения заявителя - юридического лица, а также номер (номера) контактного телефона, адрес (адреса) электронной почты (при наличии) и почтовый адрес, по которым должен быть направлен ответ заявителю;
3) сведения об обжалуемых решениях и действиях (бездействии) органа, предоставляющего государственные услуги, должностного лица органа, предоставляющего государственные услуги, либо государственного служащего;
4) доводы, на основании которых заявитель не согласен с решением и действием (бездействием) органа, предоставляющего государственные услуги, должностного лица органа, предоставляющего государственные услуги, либо государственного служащего.
В случае, если жалоба подается через представителя заявителя, также представляется документ, подтверждающий полномочия на осуществление действий от имени заявителя. В качестве документа, подтверждающего полномочия на осуществление действий от имени заявителя, может быть представлена:
а) оформленная в соответствии с законодательством Российской Федерации доверенность (для физических лиц);
б) оформленная в соответствии с законодательством Российской Федерации доверенность, заверенная печатью заявителя и подписанная руководителем заявителя или уполномоченным этим руководителем лицом (для юридических лиц);
в) копия решения о назначении или об избрании либо приказа о назначении физического лица на должность, в соответствии с которым такое физическое лицо обладает правом действовать от имени заявителя без доверенности.
Заявителем могут быть представлены документы (при наличии), подтверждающие доводы заявителя, либо их копии.
92. Срок рассмотрения жалобы не должен превышать 15 рабочих дней с момента ее регистрации.
Срок рассмотрения жалобы на отказ органа, предоставляющего государственные услуги, должностного лица органа, предоставляющего государственные услуги, в приеме документов у заявителя либо в исправлении допущенных опечаток и ошибок или в случае обжалования нарушения установленного срока таких исправлений не должен превышать 5 рабочих дней с момента ее регистрации.
В соответствии с частью 6 статьи 11.2 Федерального закона № 210-ФЗ "Об организации предоставления государственных и муниципальных услуг" Правительство Российской Федерации вправе установить случаи, при которых срок рассмотрения жалобы может быть сокращен.
В удовлетворении жалобы отказывается в следующих случаях:
а) наличие вступившего в законную силу решения суда, арбитражного суда по жалобе о том же предмете и по тем же основаниям;
б) подача жалобы лицом, полномочия которого не подтверждены в порядке, установленном законодательством Российской Федерации;
в) наличие решения по жалобе, принятого ранее в соответствии с требованиями настоящих Правил в отношении того же заявителя и по тому же предмету жалобы.
93. Жалоба может быть оставлена без ответа в следующих случаях:
а) наличие в жалобе нецензурных либо оскорбительных выражений, угроз жизни, здоровью и имуществу должностного лица, а также членов его семьи;
б) отсутствие возможности прочитать какую-либо часть текста жалобы, фамилию, имя, отчество (при наличии) и (или) почтовый адрес заявителя, указанные в жалобе.
94. Приостановление рассмотрения жалобы не допускается.
95. По результатам рассмотрения принимается одно из следующих решений:
1) удовлетворить жалобу, в том числе в форме отмены принятого решения, исправления допущенных опечаток и ошибок в выданных в результате предоставления государственных услуг документах, возврата заявителю денежных средств, взимание которых не предусмотрено нормативными правовыми актами Российской Федерации, а также в иных формах;
2) отказать в удовлетворении жалобы.
96. Не позднее дня, следующего за днем принятия решения, указанного в пункте 95 настоящего Административного регламента, заявителю направляется мотивированный ответ о результатах рассмотрения жалобы в письменной форме по почтовому адресу, указанному в жалобе, и, по желанию заявителя, в электронной форме.
97. Заявитель вправе обжаловать решение, принятое по жалобе территориальным органом Роснедр, в Роснедра. Решение, принятое по жалобе Федеральным агентством по недропользованию, обжалуется в Министерство природных ресурсов и экологии Российской Федерации.
Жалоба на решение по жалобе рассматривается в срок, не превышающий 15 дней с момента ее регистрации.
98. Заявитель имеет право на получение информации и документов, необходимых для обоснования и рассмотрения жалобы.
99. Информация о порядке подачи и рассмотрения жалобы размещается на официальных сайтах Роснедр и его территориальных органов в информационно-телекоммуникационной сети Интернет, на информационных стендах Роснедр и его территориальных органов, на Едином портале государственных и муниципальных услуг, в раздаточных информационных материалах (брошюрах, буклетах), а также может быть сообщена заявителю в устной форме во время личного приема.
100. В случае установления в ходе или по результатам рассмотрения жалобы признаков состава административного правонарушения или преступления должностное лицо, наделенное полномочиями по рассмотрению жалоб, незамедлительно направляет имеющиеся материалы в органы прокуратуры.
к
Административному регламенту
Федерального агентства по недропользованию
по предоставлению государственной услуги
по ведению государственного учета и
обеспечению ведения государственного реестра
работ по геологическому изучению недр,
участков недр, предоставленных для
добычи полезных ископаемых, а также
в целях, не связанных с их добычей,
и лицензий на пользование недрами
Сведения о местонахождении территориальных органов Роснедр, их контактных телефонах (телефонах для справок)
|
|
Адрес |
Телефон, факс |
Интернет-сайт |
|
Центральный федеральный округ |
|||
|
Департамент по недропользованию по Центральному федеральному округу |
117105, г. Москва Варшавское шоссе, 39 а |
(499) 611-01-49 ф.981-37-04 |
http://centrnedra.ru/ |
|
Департамент по недропользованию на континентальном шельфе и Мировом океане |
119017, г. Москва Старомонетный пер., 31 |
(495) 950-30-09 ф.951-98-49 |
|
|
Северо-Западный федеральный округ |
|||
|
Департамент по недропользованию по Северо-Западному федеральному округу |
199155, г. Санкт-Петербург ул. Одоевского, 24, корп. 1 |
(812) 351-87-47 ф.352-26-18 |
http://sevzapnedra.nw.ru/ |
|
Управление по недропользованию по Республике Карелия |
185035, г. Петрозаводск ул. Дзержинского, 9 |
(8142) 76-48-21 ф.77-48-39 |
http://karelnedra.karelia.ru/ |
|
Управление по недропользованию по Республике Коми |
167982, г. Сыктывкар ул. Интернациональная, 157 |
(8212) 21-47-13 ф.28-82-65 |
http://www.kominedra.org.ru/ |
|
Южный федеральный округ |
|||
|
Департамент по недропользованию по Южному федеральному округу |
344111, г. Ростов-на-Дону пр-т 40-летия Победы, 330 |
(863) 266-97-81 ф.269-34-77 |
|
|
Управление по недропользованию по Республике Адыгея |
385020, г. Майкоп ул. Пионерская, 273 |
(8772) 57-79-31 ф.57-79-31 |
http://adygeanedra.ru/ |
|
Управление по недропользованию по Республике Калмыкия |
358000, г. Элиста ул. Лермонтова, 4 |
(84722) 2-82-69 ф.2-29-81 |
|
|
Управление по недропользованию по Краснодарскому краю |
350630, г. Краснодар ул. Красная, 19 |
(861) 268-19-15 ф.268-22-77 |
|
|
Управление по недропользованию по Астраханской области |
414000, г. Астрахань ул. Бакинская, 113 |
(8512) 39-01-55 ф.39-02-82 |
astrakhan@rosnedra.gov.ru |
|
Управление по недропользованию по Волгоградской области |
400001, г. Волгоград ул. Профсоюзная, 30 |
(8442) 94-80-03 ф.94-87-05 |
http://volgogradnedra.vghost.ru |
|
Северо-Кавказский федеральный округ |
|||
|
Департамент по недропользованию по Северо-Кавказскому федеральному округу |
357600, г. Ессентуки, пер. Садовый, 4а |
(87934) 6-13-84 |
|
|
Управление по недропользованию по Республике Адыгея |
385020, г. Майкоп ул. Пионерская, 273 |
(8772) 57-79-31 ф.57-79-31 |
http://adygeanedra.ru/ |
|
Управление по недропользованию по Республике Ингушетия |
386140, г. Назрань ул. Бакинская, 1 |
(8732) 22-31-20 ф.22-32-97 |
http://www.ingushnedra.ru |
|
Управление по недропользованию по Кабардино-Балкарской Республике |
360030, г. Нальчик ул. Тарчокова, 18а |
(8662) 47-45-72 ф.40-20-54 |
|
|
Управление по недропользованию по Карачаево-Черкесской Республике |
369000, г. Черкесск ул. Гагарина, 17 |
(8782) 26-10-89 ф.26-10-89 |
|
|
Управление по недропользованию по Республике Северная Осетия-Алания |
362021, г. Владикавказ ул. Иристонская, 25 |
(8672) 74-99-60 ф.74-99-60 |
www.nedra-osetia.ru |
|
Управление по недропользованию по Чеченской Республике |
364024, г. Грозный, проспект Исаева, 36 |
(87152) 2-23-52 ф.2-23-52 |
|
|
Управление по недропользованию по Ставропольскому краю |
355006, г. Ставрополь ул. Голенева, 18 |
(8652) 26-87-69 ф.95-67-17 |
|
|
Приволжский федеральный округ |
|||
|
Департамент по недропользованию по Приволжскому федеральному округу |
603000, г. Нижний Новгород пл. Горького, 4/2 |
(8312) 434-34-87 ф.433-74-03 |
|
|
Управление по недропользованию по Оренбургской области |
460000, г. Оренбург Парковый пр., 6 |
(3532) 78-07-09 ф.78-11-48 |
|
|
Управление по недропользованию по Республике Башкортостан |
450006, г. Уфа ул. Ленина, 86 |
(347) 262-43-18 ф.273-28-56 |
www.bashnedra.ru |
|
Управление по недропользованию по Республике Татарстан |
420049, г. Казань ул. Эсперанто, 15 |
(843) 277-00-85 ф.277-13-89 |
www.tatnedra.ru |
|
Управление по недропользованию по Удмуртской Республике |
426051, г. Ижевск ул. М. Горького, 73 |
(3412) 51-45-53 ф.51-15-71 |
|
|
Управление по недропользованию по Пермскому краю |
614016, г. Пермь ул. Камчатовская, 5 |
(342) 291-09-67 ф.291-09-67 |
|
|
Управление по недропользованию по Самарской области |
443010, г. Самара ул. Куйбышева, 145, оф.304 |
(846) 333-06-38 ф.333-78-55 |
www.samaranedra.ru |
|
Управление по недропользованию по Саратовской области |
410012, г. Саратов ул. Московская, 70 |
(8452) 26-06-20 ф.74-92-82 |
http://www.saratovnedra.ru/ |
|
Управление по недропользованию по Ульяновской области |
432030, г. Ульяновск ул. Юности, 5/96 |
(8422) 46-95-36 ф.46-80-00 |
www.ulnedra.ru |
|
Уральский федеральный округ |
|||
|
Департамент по недропользованию по Уральскому федеральному округу |
620014, г. Екатеринбург ул. Вайнера, 55 |
(343) 257-84-59 ф.257-02-54 |
www.uralnedra.ur.ru |
|
Управление по недропользованию по Тюменской области |
625000, г. Тюмень ул. Республики, 55 |
(3452) 68-28-89 |
|
|
Управление по недропользованию по Челябинской области |
454048, г. Челябинск ул. Блюхера, 8а |
(3512) 32-87-16 ф.32-87-15 |
http://chelnedra.ru |
|
Управление по недропользованию по Ханты-Мансийскому автономному округу |
628012, г. Ханты-Мансийск ул. Студенческая, 2 |
(3467) 35-32-05 ф.32-66-98 |
|
|
Управление по недропользованию по Ямало-Ненецкому автономному округу |
629008, г. Салехард ул. Мира 40, 5 секция, а/я 7а |
(34922) 3-34-97 ф.4-40-32 |
www.yamalnedra.com |
|
Сибирский федеральный округ |
|||
|
Департамент по недропользованию по Сибирскому федеральному округу |
630099, г. Новосибирск Красный пр-т, 35 |
(383) 227-04-12 ф. 227-04-48 |
http://www.sibnedra.com/ |
|
Управление по недропользованию по Республике Алтай |
649000, г. Горно-Алтайск ул. Чорос-Гуркина, 35 |
(38822) 2-56-57 ф. 2-56-57 |
|
|
Управление по недропользованию по Республике Бурятия |
670000, г. Улан-Удэ ул. Ленина, 57 |
(3012) 21-15-34 ф.21-47-46 |
|
|
Управление по недропользованию по Республике Тыва |
667003, г. Кызыл ул. Улуг-Хемская, 14 |
(39422) 6 -25-33 ф.6-13-56 |
|
|
Управление по недропользованию по Республике Хакасия |
655012, г. Абакан ул. Хакасская, 21 |
(3902) 34-33-90 ф.34-33-93 |
|
|
Управление по недропользованию по Алтайскому краю |
656056, г. Барнаул ул. Пролетарская, 61 |
(3852) 35-46-15 ф.35-30-97 |
|
|
Управление по недропользованию по Красноярскому краю |
660049, г. Красноярск ул. Карла Маркса, 62 |
(391) 212-06-81 ф.212-07-02 |
|
|
Управление по недропользованию по Иркутской области |
664025, г. Иркутск ул. Российская, 17 |
(3952) 33-60-01 ф.33-50-71 |
|
|
Управление по недропользованию по Кемеровской области |
650036, г. Кемерово ул. Мирная, 5 |
(3842) 31-22-74 ф.31-22-74 |
|
|
Управление по недропользованию по Омской области |
644046, г. Омск ул. Степная, 220 |
(3812) 32-51-40 ф.30-54-27 |
|
|
Управление по недропользованию по Томской области |
634021, г. Томск пр-т Фрунзе, 232 |
(3822) 24-50-01 ф.24-18-64 |
|
|
Управление по недропользованию по Забайкальскому краю |
672000, г. Чита ул. Амурская, 91/15 |
(3022) 35-46-42 ф.26-69-81 |
http://geo.chita.ru |
|
Дальневосточный федеральный округ |
|||
|
Департамент по недропользованию по Дальневосточному федеральному округу |
680000, г. Хабаровск ул. Л.Толстого, 8 |
(4212) 32-47-92 ф.30-57-79 |
|
|
Управление по недропользованию по Республике Саха (Якутия) |
677018, г. Якутск ул. Аммосова, 18 |
(4112) 42-56-20 ф.37-50-67 |
www.yakutsknedra.ru |
|
Управление по недропользованию по Приморскому краю |
690000, г. Владивосток Океанский пр-т, 31 |
(4232) 40-23-73 ф.40-39-87 |
|
|
Управление по недропользованию по Амурской области |
675029, г. Благовещенск пер. Чудиновский, 15 |
(4162) 37-69-25 ф.35-61-54 |
|
|
Управление по недропользованию по Камчатскому краю |
683016, г. Петропавловск-Камчатский ул. Беринга, 104а |
(4152) 23-96-07 ф.23-93-30 |
www.kamchatnedra.ru |
|
Управление по недропользованию по Магаданской области |
68500, г. Магадан ул. Пролетарская, 11 |
(4132) 60-98-58 ф.62-20-90 |
|
|
Управление по недропользованию по Сахалинской области |
693000, г. Южно-Сахалинск Коммунистический пр-т 49, а/я 155 |
(4242) 50-02-35 ф.50-02-37 |
www.sakhalinnedra.ru |
|
Управление по недропользованию по Чукотскому автономному округу |
686000, г. Анадырь ул. Южная, 15а |
(42722) 2-87-38 ф.2-69-83 |
|
|
Управление по недропользованию по Еврейской автономной области |
679014, г. Биробиджан ул. Ленина, 15 |
(42622) 2-10-68 ф.2-10-68 |
|
к
Административному регламенту
Федерального агентства по недропользованию
по предоставлению государственной услуги
по ведению государственного учета и
обеспечению ведения государственного реестра
работ по геологическому изучению недр,
участков недр, предоставленных для
добычи полезных ископаемых, а также
в целях, не связанных с их добычей,
и лицензий на пользование недрами
Блок-схема предоставления государственной услуги по ведению
государственного
учета и обеспечению ведения государственного реестра работ по геологическому
изучению недр, участков недр, предоставленных для добычи полезных
ископаемых, а также в целях, не связанных с их добычей, и лицензий на
пользование недрами

к
Административному регламенту
Федерального агентства по недропользованию
по предоставлению государственной услуги
по ведению государственного учета и
обеспечению ведения государственного реестра
работ по геологическому изучению недр,
участков недр, предоставленных для
добычи полезных ископаемых, а также
в целях, не связанных с их добычей,
и лицензий на пользование недрами
|
Форма заявления о внесении сведений в государственный реестр работ по геологическому изучению недр |
|
Прошу внести сведения (согласно приложению к настоящему заявлению) в государственный реестр работ по геологическому изучению недр. Данные о Заявителе: ______________________________________________________________________ (для юридического лица - организационно-правовая форма, наименование, ______________________________________________________________________ данные государственной регистрации юридических лиц; ______________________________________________________________________ для физического лица - фамилия, имя, отчество; почтовый адрес, телефон) Номер и дата выдачи лицензии на пользование недрами и (или) номер и дату заключения государственного контракта на выполнение работ по геологическому изучению недр (в том числе региональному): ______________________________________________________________________ ______________________________________________________________________ Точное местонахождение объекта или района работ (а также координаты района работ, указанные в лицензии на право пользования недрами): ______________________________________________________________________ ______________________________________________________________________ Стоимость работ по объекту и источник его финансирования: ______________________________________________________________________ ______________________________________________________________________ Вид пользования недрами и основные виды работ по геологическому изучению недр, подлежащие регистрации: ______________________________________________________________________ ______________________________________________________________________ Данные об исполнителе работ по геологическому изучению (для юридического лица - наименование, организационно-правовая форма, индивидуальный номер налогоплательщика юридический и почтовый адреса, телефон; для физического лица - фамилия, имя, отчество; почтовый адрес, телефон, индивидуальный номер налогоплательщика), если работы выполняются несколькими организациями или с участием соисполнителей, информация дается по каждому из них: ______________________________________________________________________ ______________________________________________________________________ Сроки проведения работ (квартал, год) - начала и окончания: ______________________________________________________________________ Срок сдачи отчетных документов в фонды геологической информации (квартал, год): ______________________________________________________________________ Наименование проекта геологического изучения недр: ______________________________________________________________________ ______________________________________________________________________ Номер и дата заключения экспертизы проекта геологического изучения недр: ______________________________________________________________________ ______________________________________________________________________ |
|
Дата Подпись |
Печать (для юридических лиц) |
к
Административному регламенту
Федерального агентства по недропользованию
по предоставлению государственной услуги
по ведению государственного учета и
обеспечению ведения государственного реестра
работ по геологическому изучению недр,
участков недр, предоставленных для
добычи полезных ископаемых, а также
в целях, не связанных с их добычей,
и лицензий на пользование недрами
Государственный реестр работ по геологическому изучению недр
|
№ п/п |
Государственный регистрационный номер |
Дата регистрации работы |
Наименование объекта работ. |
Наименование проекта геологического изучения недр. |
Местонахождение объекта работ |
Координаты угловых точек объекта работ |
Стоимость работ и источник финансирования |
|
1 |
2 |
3 |
4 |
4.1 |
5 |
6 |
7 |
|
|
|
|
|
|
|
|
|
|
Вид пользования недрами. |
Полезное ископаемое |
Исполнитель работ |
Сроки (квартал, год): |
Особые отметки |
|
|
выполнения работ |
сдачи отчетных документов в фонды геологической информации |
||||
|
окончание |
|||||
|
8 |
9 |
10 |
11 |
12 |
13 |
|
|
|
|
|
|
|
к
Административному регламенту
Федерального агентства по недропользованию
по предоставлению государственной услуги
по ведению государственного учета и
обеспечению ведения государственного реестра
работ по геологическому изучению недр,
участков недр, предоставленных для
добычи полезных ископаемых, а также
в целях, не связанных с их добычей,
и лицензий на пользование недрами
Государственные регистрационные номера работ по геологическому изучению недр
Государственный регистрационный номер представляет собой сочетание трех групп цифр, разделенных между собой дефисом и присваиваемых в следующем порядке:
первая группа цифр - индекс региона, на территории которого планируется проведение работ (таблица 1);
вторая группа цифр - последние две цифры календарного года, в течение которого осуществлена регистрация;
третья группа цифр - порядковый номер объекта работ в соответствующем государственном реестре работ по геологическому изучению недр.
|
№ п/п |
Регион |
Индекс* |
|
1 |
Российская Федерация (в целом) |
643 |
|
2 |
Внутренние морские воды, территориальное море, континентальный шельф Российской Федерации, Арктика и Антарктика |
643 М |
|
3 |
Центральный федеральный округ |
030 |
|
4 |
Северо-Западный федеральный округ |
031 |
|
5 |
Южный федеральный округ |
032 |
|
6 |
Приволжский федеральный округ |
033 |
|
7 |
Уральский федеральный округ |
034 |
|
8 |
Сибирский федеральный округ |
035 |
|
9 |
Дальневосточный федеральный округ |
036 |
|
10 |
Агинский Бурятский автономный округ (Читинская область) |
76100 |
|
11 |
Алтайский край |
01 |
|
12 |
Амурская область |
10 |
|
13 |
Архангельская область |
11 |
|
14 |
Астраханская область |
12 |
|
15 |
Белгородская область |
14 |
|
16 |
Брянская область |
15 |
|
17 |
Владимирская область |
17 |
|
18 |
Волгоградская область |
18 |
|
19 |
Вологодская область |
19 |
|
20 |
Воронежская область |
20 |
|
21 |
Город Москва |
45 |
|
22 |
Город Санкт-Петербург |
40 |
|
23 |
Еврейская автономная область |
99 |
|
24 |
Ивановская область |
24 |
|
25 |
Иркутская область |
25 |
|
26 |
Кабардино-Балкарская Республика |
83 |
|
27 |
Калининградская область |
27 |
|
28 |
Калужская область |
29 |
|
29 |
Камчатский край |
30 |
|
30 |
Карачаево-Черкесская Республика |
91 |
|
31 |
Кемеровская область |
32 |
|
32 |
Кировская область |
33 |
|
33 |
Костромская область |
34 |
|
34 |
Краснодарский край |
03 |
|
35 |
Красноярский край |
04 |
|
36 |
Курганская область |
37 |
|
37 |
Курская область |
38 |
|
38 |
Ленинградская область |
41 |
|
39 |
Липецкая область |
42 |
|
40 |
Магаданская область |
44 |
|
41 |
Московская область |
46 |
|
42 |
Мурманская область |
47 |
|
43 |
Нижегородская область |
22 |
|
44 |
Новгородская область |
49 |
|
45 |
Новосибирская область |
50 |
|
46 |
Омская область |
52 |
|
47 |
Оренбургская область |
53 |
|
48 |
Орловская область |
54 |
|
49 |
Пензенская область |
56 |
|
50 |
Пермский край |
57 |
|
51 |
Приморский край |
05 |
|
52 |
Псковская область |
58 |
|
53 |
Республика Адыгея (Адыгея) |
79 |
|
54 |
Республика Алтай |
84 |
|
55 |
Республика Башкортостан |
80 |
|
56 |
Республика Бурятия |
81 |
|
57 |
Республика Дагестан |
82 |
|
58 |
Республика Ингушетия |
26 |
|
59 |
Республика Калмыкия |
85 |
|
60 |
Республика Карелия |
86 |
|
61 |
Республика Коми |
87 |
|
62 |
Республика Марий Эл |
88 |
|
63 |
Республика Мордовия |
89 |
|
64 |
Республика Саха (Якутия) |
98 |
|
65 |
Республика Северная Осетия - Алания |
90 |
|
66 |
Республика Татарстан (Татарстан) |
92 |
|
67 |
Республика Тыва |
93 |
|
68 |
Республика Хакасия |
95 |
|
69 |
Ростовская область |
60 |
|
70 |
Рязанская область |
61 |
|
71 |
Самарская область |
36 |
|
72 |
Саратовская область |
63 |
|
73 |
Сахалинская область |
64 |
|
74 |
Свердловская область |
65 |
|
75 |
Смоленская область |
66 |
|
76 |
Ставропольский край |
07 |
|
77 |
Тамбовская область |
68 |
|
78 |
Тверская область |
28 |
|
79 |
Томская область |
69 |
|
80 |
Тульская область |
70 |
|
81 |
Тюменская область |
71 |
|
82 |
Удмуртская Республика |
94 |
|
83 |
Ульяновская область |
73 |
|
84 |
Усть-Ордынский Бурятский автономный округ (Иркутская область) |
25100 |
|
85 |
Хабаровский край |
08 |
|
86 |
Ханты-Мансийский автономный округ (Тюменская область) |
71100 |
|
87 |
Челябинская область |
75 |
|
88 |
Чеченская Республика |
96 |
|
89 |
Читинская область |
76 |
|
90 |
Чувашская Республика - Чувашия |
97 |
|
91 |
Чукотский автономный округ |
77 |
|
92 |
Ямало-Ненецкий автономный округ (Тюменская область) |
71140 |
|
93 |
Ярославская область |
78 |
|
94 |
Ненецкий автономный округ |
11100 |
|
________________ * Индексы приведены в соответствии с: пп. 1 - 2 - OK (МК (ИСО 3166) 004-97) 025-2001 Общероссийский классификатор стран мира; пп. 3 - 9 - ОК 024-95 Общероссийский классификатор экономических регионов; пп. 9 - 93 - ОК 019-95 Общероссийский классификатор объектов административно-территориального деления. |
||
к
Административному регламенту
Федерального агентства по недропользованию
по предоставлению государственной услуги
по ведению государственного учета и
обеспечению ведения государственного реестра
работ по геологическому изучению недр,
участков недр, предоставленных для
добычи полезных ископаемых, а также
в целях, не связанных с их добычей,
и лицензий на пользование недрами
|
Форма заявления о внесении изменений в сведения, содержащиеся в государственном реестре работ по геологическому изучению недр |
|
Прошу внести изменения в сведения, содержащиеся в государственном реестре работ по геологическому изучению недр согласно приложению к настоящему заявлению. Данные о Заявителе: ______________________________________________________________________ (для юридического лица - организационно-правовая форма, наименование, ______________________________________________________________________ данные государственной регистрации юридических лиц; ______________________________________________________________________ для физического лица - фамилия, имя, отчество; почтовый адрес, телефон) Номер и дата выдачи лицензии на пользование недрами и (или) номер и дата заключения государственного контракта на выполнение работ по геологическому изучению недр (в том числе региональному): ______________________________________________________________________ ______________________________________________________________________ Точное местонахождение объекта или района работ (а также координаты района работ, указанные в лицензии на право пользования недрами): ______________________________________________________________________ ______________________________________________________________________ Стоимость работ по объекту и источник его финансирования: ______________________________________________________________________ ______________________________________________________________________ Вид пользования недрами и основные виды работ по геологическому изучению недр, подлежащие регистрации: ______________________________________________________________________ Данные об исполнителе работ по геологическому изучению (для юридического лица - наименование, организационно-правовая форма, индивидуальный номер налогоплательщика юридический и почтовый адреса, телефон; для физического лица - фамилия, имя, отчество; почтовый адрес, телефон, индивидуальный номер налогоплательщика), если работы выполняются несколькими организациями или с участием соисполнителей, информация дается по каждому из них: ______________________________________________________________________ Сроки проведения работ (квартал, год) - начала и окончания: ______________________________________________________________________ Срок сдачи отчетных документов в фонды геологической информации (квартал, год): ______________________________________________________________________ Обоснование необходимости внесения соответствующих изменений в государственный реестр работ по геологическому изучению недр с указанием реквизитов обосновывающих документов (при наличии): ______________________________________________________________________ Наименование проекта геологического изучения недр: ______________________________________________________________________ ______________________________________________________________________ Номер и дата заключения экспертизы проекта геологического изучения недр: ______________________________________________________________________ ______________________________________________________________________ |
|
Дата Подпись |
Печать (для юридических лиц) |
к
Административному регламенту
Федерального агентства по недропользованию
по предоставлению государственной услуги
по ведению государственного учета и
обеспечению ведения государственного реестра
работ по геологическому изучению недр,
участков недр, предоставленных для
добычи полезных ископаемых, а также
в целях, не связанных с их добычей,
и лицензий на пользование недрами
Государственный реестр работ по геологическому изучению недр участков недр, предоставленных для добычи полезных ископаемых, а также в целях, не связанных с их добычей, и лицензий на пользование недрами по территории
|
№ п/п |
Дата подачи лицензии на регистрацию |
Дата присвоения государственного регистрационного номера |
Государственный регистрационный номер лицензии |
Наименование пользователя недр |
Целевое назначение пользования и виды работ |
||
|
серия |
номер |
вид |
|||||
|
1 |
2 |
3 |
4 |
5 |
6 |
7 |
8 |
|
Наименование органа, выдавшего на пользование земельным участком |
Название участка недр. Вид объекта. Местоположение |
Статус участка |
Наименование уполномоченного органа управления фондом недр |
Наименование органа государственной власти субъекта Российской Федерации |
Дата окончания срока действия лицензии |
Особые отметки |
|
9 |
10 |
11 |
12 |
13 |
14 |
15 |
к
Административному регламенту
Федерального агентства по недропользованию
по предоставлению государственной услуги
по ведению государственного учета и
обеспечению ведения государственного реестра
работ по геологическому изучению недр,
участков недр, предоставленных для
добычи полезных ископаемых, а также
в целях, не связанных с их добычей,
и лицензий на пользование недрами
Государственный реестр участков недр, предоставленных для добычи полезных ископаемых, а также в целях, не связанных с их добычей, и лицензий на пользование недрами
|
№ п/п |
Дата подачи лицензии на регистрацию |
Дата присвоения государственного регистрационного номера |
Государственный регистрационный номер лицензии |
Наименование пользователя недр |
Целевое назначение пользования недрами и виды работ |
||
|
серия |
номер |
вид |
|||||
|
1 |
2 |
3 |
4 |
5 |
6 |
7 |
8 |
|
Наименование органа, выдавшего разрешение на пользование земельным участком |
Название участка недр. Вид объекта. Местоположение |
Статус участка |
Наименование уполномоченного органа управления фондом недр |
Наименование органа государственной власти субъекта Российской Федерации |
Дата окончания срока действия лицензии |
Особые отметки |
|
9 |
10 |
11 |
12 |
13 |
14 |
15 |