Методические рекомендации
по созданию и применению нештатных аварийно-спасательных
формирований
(утв. МЧС России 31 декабря 2015 г. № 2-4-87-62-11)
Введение
Основные направления современной государственной политики Российской Федерации в области гражданской обороны и защиты от чрезвычайных ситуаций формируются и реализуются с учетом геополитических, стратегических, социально-экономических и иных факторов, которые за последние годы претерпели значительные изменения.
Изменение опасностей, возникающих в случае даже ограниченного применения оружия массового поражения, высокоточного оружия, оружия на новых физических принципах, нарастание угрозы терроризма, техногенные аварии и катастрофы - все это потребовало пересмотра основных направлений, содержания, организации и порядка подготовки и реализации мероприятий в области гражданской обороны, защиты населения и территорий от чрезвычайных ситуаций природного и техногенного характера, защиты от угроз терроризма, ликвидации последствий стихийных бедствий, пожарной безопасности, безопасности людей на водных объектах.
Внесенные изменения уточняют и конкретизируют сферу деятельности гражданской обороны в состав сил которой входят нештатные аварийно-спасательные формирования.
В решении комплекса задач гражданской обороны важная роль отводится нештатным аварийно-спасательным формированиям. Нештатные аварийно-спасательных формирований должны оснащаться современной техникой и оборудованием, быть мобильными и более функциональными.
На данный момент внесено значительное количество изменений в федеральные законы: «О гражданской обороне», «О защите населения и территорий от чрезвычайных ситуаций природного и техногенного характера», «О пожарной безопасности», а также в постановления Правительства Российской Федерации и приказы МЧС России в области гражданской обороны и защиты населения и территорий.
Рекомендуется также использовать накопленный опыт создания, подготовки и применения сил и средств гражданской обороны и единой государственной системы предупреждения и ликвидации чрезвычайных ситуаций, применительно к современным условиям и задачам.
1. Нештатные аварийно-спасательные формирования (далее - НАСФ) представляют собой самостоятельные структуры, созданные организациями на нештатной основе из числа своих работников, оснащенные специальными техникой, оборудованием, снаряжением, инструментами и материалами, подготовленные для проведения аварийно-спасательных и других неотложных работ (далее - АСДНР) в очагах поражения и зонах чрезвычайных ситуаций (далее - ЧС).
2. НАСФ создаются организациями, эксплуатирующими опасные производственные объекты I и II классов опасности, особо радиационно опасные и ядерно опасные производства и объекты, гидротехнические сооружения чрезвычайно высокой опасности и гидротехнические сооружения высокой опасности, а также организации, эксплуатирующие опасные производственные объекты III класса опасности, отнесенные в установленном порядке к категориям по гражданской обороне из числа своих работников.
Органы исполнительной власти субъектов Российской Федерации и органы местного самоуправления могут создавать, содержать и организовывать деятельность НАСФ для выполнения мероприятий на своих территориях в соответствии с планами гражданской обороны и защиты населения и планами предупреждения и ликвидации чрезвычайных ситуаций.
3. Порядок создания НАСФ, их примерный перечень, организационно-штатная структура, нормы оснащения (табелизации) специальными техникой, оборудованием, снаряжением и материалами утверждены приказом МЧС России от 23.12.2005 № 999.
4. НАСФ подразделяются:
по подчиненности: территориальные и организаций;
по численности: отряды, команды, группы, звенья, посты.
В зависимости от местных условий и при наличии материально-технической базы могут создаваться и другие НАСФ.
Количество и перечень создаваемых НАСФ определяется исходя из прогнозируемых объемов проведения аварийно-спасательных и других неотложных работ (далее - АСДНР) возникающих при ведении военных конфликтов или вследствие этих конфликтов, а также при ЧС природного и техногенного характера и их возможностей по проведению указанных работ.
5. Территориальные формирования предназначаются для выполнения мероприятий гражданской обороны и ликвидации чрезвычайных ситуаций на соответствующих территориях, наращивания группировки сил гражданской обороны и РСЧС при проведении аварийно-спасательных и других неотложных работ на наиболее важных участках. Территориальные формирования подчиняются руководителям органов исполнительной власти субъектов Российской Федерации, органам местного самоуправления соответствующих территорий.
6. Формирования организаций предназначаются для проведения АСДНР в тех организациях, на базе которых они созданы, и подчиняются их руководителям. По решению органов исполнительной власти субъектов Российской Федерации и органов местного самоуправления формирования организаций могут привлекаться для ведения АСДНР в других организациях установленным порядком.
7. Основными задачами НАСФ являются:
проведение АСДНР и первоочередное жизнеобеспечение населения, пострадавшего при ведении военных конфликтов или вследствие этих конфликтов, а также при возникновении ЧС природного и техногенного характера;
участие в ликвидации ЧС природного и техногенного характера, а также в борьбе с пожарами;
обнаружение и обозначение районов, подвергшихся радиоактивному, химическому, биологическому (бактериологическому) и иному заражению (загрязнению);
санитарная обработка населения, специальная обработка техники, зданий и обеззараживание территорий;
участие в восстановлении функционирования объектов жизнеобеспечения населения.
8. Применение НАСФ осуществляется по планам гражданской обороны и планами предупреждения и ликвидации чрезвычайных ситуаций федеральных органов исполнительной власти и организаций и планам гражданской обороны и защиты населения и планами предупреждения и ликвидации чрезвычайных ситуаций органов исполнительной власти, субъектов Российской Федерации и муниципальных образований, разрабатываемым в установленном порядке.
9. Финансирование и материально-техническое обеспечение мероприятий по созданию, подготовке, оснащению и применению НАСФ в организациях, отнесенных к категориям по гражданской обороне, осуществляется за счет финансовых средств этих организаций.
10. Вид и количество формирований, а также их численность определяются с учетом особенностей производственной деятельности организаций в мирное и военное время, наличия людских ресурсов, специальной техники и имущества, запасов материально-технических средств, а также объема и характера задач, возлагаемых на формирования в соответствии с планами гражданской обороны и защиты населения соответствующей территории.
11. Личный состав НАСФ комплектуется за счет работников организаций. Военнообязанные, имеющие мобилизационные предписания, могут включаться в НАСФ на период до их призыва (мобилизации). С момента объявления состояния войны, фактического начала военных конфликтов или введения в установленном порядке военного положения на территории Российской Федерации или в отдельных ее местностях НАСФ доукомплектовываются невоеннообязанными.
Зачисление граждан в состав НАСФ и назначение их командиров производится приказом руководителя организации.
В формирования могут быть зачислены граждане Российской Федерации: мужчины в возрасте от 18 до 60 лет, женщины в возрасте от 18 до 55 лет, за исключением инвалидов 1, 2 и 3 группы, беременных женщин, женщин, имеющих детей в возрасте до 8 лет, а также женщин, получивших среднее или высшее медицинское образование, имеющих детей в возрасте до 3 лет.
12. Для НАСФ сроки приведения в готовность к применению по предназначению не должны превышать: в мирное время - 6 часов, в военное время - 3 часа.
13. МЧС России и его территориальные органы осуществляют соответствующее нормативное регулирование, координацию деятельности, методическое руководство по созданию, обеспечению готовности и применению НАСФ, а также специальные, разрешительные, надзорные и контрольные функции в области гражданской обороны.
14. Федеральные органы исполнительной власти, органы исполнительной власти субъектов Российской Федерации, органы местного самоуправления в установленном порядке ведут учет НАСФ и представляют соответствующие сведения в МЧС России в установленном порядке в соответствии с Положением о гражданской обороне в Российской Федерации, утвержденным постановлением Правительства Российской Федерации от 26 ноября 2007 г. № 804, регламентом сбора и обмена информации в области гражданской обороны, утвержденным приказом МЧС России от 16.02.2012 № 70ДСП «Об утверждении Порядка разработки, согласования и утверждения планов гражданской обороны и защиты населения (планов гражданской обороны)».
15. Основанием для ликвидации НАСФ, создание которых предусмотрено законодательством Российской Федерации, является прекращение функционирования обслуживаемых ими организаций или снятие с организации категории по гражданской обороне.
Решение о ликвидации НАСФ, создание которых предусмотрено законодательством Российской Федерации, принимают создавшие их федеральные органы исполнительной власти, органы исполнительной власти субъектов Российской Федерации, органы местного самоуправления и организации по согласованию с органами, специально уполномоченными на решение задач в области гражданской обороны соответствующего уровня.
При угрозе нападения противника по распоряжению старшего начальника НАСФ приводятся в полную готовность.
Полная готовность - это такое состояние НАСФ, при котором они способны организованно в установленные сроки приступить к выполнению поставленных задач и успешно выполнить их в любых условиях обстановки.
По решениям соответствующих руководителей организуется вывод в безопасные районы, в заранее установленные районы расположения, территориальных формирований и формирований организаций, содержащихся в повышенной готовности, для подготовки безопасных районов к размещению эвакуируемого населения.
Одновременно приводятся в готовность формирования сельских муниципальных образований, предназначенных для оказания помощи городским муниципальным образованиям (организациям).
С началом рассредоточения и эвакуации населения приводятся в готовность и выводятся в безопасные районы остальные формирования для создания группировки сил гражданской обороны.
Ответственность за своевременное приведение формирования в готовность несет его командир (начальник).
Все формирования создаются для обеспечения выполнения мероприятий по гражданской обороне в соответствии с их предназначением. Комплектование осуществляется в соответствии с Типовым порядком и схемами организационно-штатной структуры НФГО (приложение № 6).
Аварийно-спасательный отряд (команда, группа, звено) - является основным формированием, предназначенным для ведения АСДНР.
Аварийно-спасательный отряд (команда, группа, звено) радиационной, химической и биологической защиты - предназначен для ликвидации последствий радиационного, химического и биологического заражения (загрязнения) и осуществления мероприятий радиационной, химической и биологической защиты в ходе АСДНР, проведения санитарной обработки личного состава формирований и населения, обеззараживания территорий и сооружений.
Аварийно-спасательная команда механизации работ - предназначена для обеспечения действий формирований на маршрутах выдвижения в очаги поражения и в ходе проведения АСДНР.
Аварийно-спасательная группа инженерной разведки - предназначена для ведения разведки в очагах поражения. Зонах катастрофического затопления, районах массового поражения, на маршрутах выдвижения и в местах размещения формирований и населения.
Аварийно-спасательная группа радиационной, химической и биологической разведки - предназначена для ведения наблюдения за радиационной, химической и биологической обстановкой в районе, обнаружения и обозначения районов, подвергшихся радиационному, химическому, биологическому заражению (загрязнению).
Аварийно-спасательное звено речной (морской) разведки - предназначено для ведения общей и специальной разведки на водных акваториях и в зонах катастрофического затопления.
Аварийно-спасательное звено разведки на автомобильном транспорте - предназначена для ведения общей и специальной разведки на маршрутах выдвижения, в очагах поражения и в местах размещения формирований и населения.
Пост радиационного и химического наблюдения (подвижный) - предназначен для ведения наблюдения за воздушной и наземной обстановкой на территории объекта и прилегающей к нему местности, а также в местах размещения производственных смен и в исходных районах формирований и населения.
Пожарно-спасательная команда (звено) - предназначена для локализации и тушения пожаров на маршрутах выдвижения, на объектах АСДНР, в районах массовых лесных пожаров и в местах размещения формирований и населения.
Аварийно-спасательное звено разведки на железнодорожном транспорте - предназначено для ведения общей и специальной разведки на маршрутах движения железнодорожного транспорта и в районах проведения АСДНР (железнодорожные станции, перегоны и т.д.).
Вспомогательная горноспасательная команда - предназначена для локализации и ликвидации последствий чрезвычайных ситуаций на объектах ведения горных работ.
Кроме вышеуказанных формирований в организациях водного транспорта могут создаваться также морские (речные) аварийно-технические команды (группы), и иные формирования, предназначенные для участия в выполнении мероприятий по гражданской обороне и ведения неотложных работ на акваториях, водных путях и прибрежных объектах. Состав и организация этих формирований определяются исходя из местных условий и возможностей.
В зависимости от местных условий и при наличии материально-технической базы могут создаваться и другие формирования.
Подготовка и обучение личного состава НАСФ для решения задач в области гражданской обороны и защиты населения осуществляются в соответствии с законодательными и иными нормативными правовыми актами Российской Федерации (постановлениями Правительства Российской Федерации от 2 ноября 2000 г. № 841 «Об утверждении Положения об организации обучения населения в области гражданской обороны» и от 4 сентября 2003 г. № 547 «О подготовке населения в области защиты от чрезвычайных ситуаций природного и техногенного характера»), организационно-методическими указаниями МЧС России по подготовке органов управления, сил гражданской обороны и единой государственной системы предупреждения и ликвидации чрезвычайных ситуаций.
Основная цель обучения - повышение готовности работающего населения к умелым и адекватным действиям в условиях угрозы и возникновения опасностей при чрезвычайных ситуациях, военных конфликтах или вследствие этих конфликтов.
Обучение личного состава НАСФ в организации проводится ежегодно. Ответственность за организацию обучения и подготовки работников организаций возлагается на руководителей организаций.
Занятия проводятся в обстановке повседневной трудовой деятельности. Они должны прививать навыки действий личному составу НАСФ по сигналам оповещения и выполнению мероприятий защиты в условиях выполнения, возложенных на НАСФ задач.
При проведении практических занятий теоретический материал, необходимый для правильного понимания выполнения практических приемов и действий, рассматривается путем рассказа или опроса обучаемых в минимальном объеме.
Знания и умения, полученные при обучении совершенствуются в ходе участия работников организации в тренировках и комплексных учениях по гражданской обороне и защите от чрезвычайных ситуаций.
При подготовке личного состава НАСФ особое внимание необходимо уделять психологической подготовке обучаемых, выработке у них уверенности в надежности и эффективности мероприятий по гражданской обороне, воспитанию стойкости, готовности выполнять свои обязанности в сложной обстановке организованно и дисциплинированно.
Контроль за качеством усвоения учебного материала личного состава НАСФ проводит руководитель организации путем опроса обучаемых после занятий.
Руководители занятий по гражданской обороне и защите в чрезвычайных ситуациях должны в первый год назначения, а в дальнейшем не реже 1 раза в 5 лет, пройти подготовку в учебно-методических центрах по гражданской обороне субъектов Российской Федерации или на курсах гражданской обороны муниципальных образований.
Руководящий состав федеральных органов исполнительной власти, органов исполнительной власти субъектов Российской Федерации, органов местного самоуправления и организаций обязан оказывать организационную, техническую и методическую помощь руководителям занятий и осуществлять постоянный контроль за подготовкой и проведением занятий.
Подготовка НАСФ включает:
обучение по примерной программе подготовки личного состава НАСФ, разрабатываемой и утверждаемой МЧС России, в рабочее время;
обучение руководителей формирований в учебно-методических центрах по гражданской обороне и чрезвычайным ситуациям субъектов Российской Федерации и на курсах гражданской обороны муниципальных образований;
участие формирований в учениях и тренировках по гражданской обороне и защите от чрезвычайных ситуаций, а также практических мероприятиях по выполнению мероприятий по гражданской обороне.
Примерные программы обучения НАСФ разрабатываются и утверждаются МЧС России. Обучение личного состава НАСФ в организации планируется и проводится в рабочее время.
Тематика обучения разрабатывается с учетом предназначения и специфики работ НАСФ.
Теоретический материал изучается в минимальном объеме, необходимом обучаемым для правильного и четкого выполнения практических приемов и действий. При этом используются современные обучающие программы, видеофильмы, плакаты, другие наглядные пособия. Следует отметить, что после обучения аттестация личного состава НАСФ не требуется.
Особые требования предъявляются к командирам формирований, потому что они являются прямыми начальниками личного состава формирований и несут ответственность за специальную и морально-психологическую подготовку подчиненных.
Командир формирования обязан:
знать структуру формирования, его задачи и возможности, порядок комплектования личным составом, автотранспортом, техникой и всеми видами имущества;
знать уровень подготовки, моральные и деловые качества подчиненных, а также уровень подготовки каждого подразделения формирования;
постоянно совершенствовать свои знания по гражданской обороне, организовывать и проводить занятия с личным составом по общей и специальной подготовке;
руководить работой формирования и постоянно поддерживать взаимодействие с другими формированиями;
решительно добиваться выполнения поставленных задач, проявлять инициативу и, в случае необходимости, самостоятельно принимать решения в соответствии с обстановкой, не ожидая указаний старших начальников;
заботиться об обеспечении личного состава формирования средствами защиты, следить за соблюдением мер безопасности при работе с техникой, при совершении марша, при проведении работ, а также своевременно принимать меры защиты от поражающих факторов;
иметь сведения о списочном составе формирования, а также о наличии и состоянии техники, горючего и иных материальных средств;
организовывать материальное и техническое обеспечение формирования.
Командир формирования и его заместители (помощники) обязаны знать также:
размещение и планировку защитных сооружений;
характер застройки района и возможных участков (объектов) работ;
расположение коммунально-энергетических сетей и сооружений на участке (объекте) работ и прилегающей территории;
расположение газовых, водопроводных сетей и теплосетей;
план эвакуации из определенной местности и порядок вывода в безопасный район (зону);
способы обеззараживания местности и специальной обработки транспорта и одежды.
Проведение работ с целью реализации мероприятий по гражданской обороне требуют от личного состава формирований строгого соблюдения мер безопасности. Это позволит предотвратить несчастные случаи, потери личного состава формирований и населения.
Командиры формирований обязаны заблаговременно оценить и разъяснить личному составу характерные особенности предстоящих действий, ознакомить его с порядком проведения работ и правилами безопасности, строго следить за их выполнением.
Конкретные меры безопасности указываются личному составу на участке работ одновременно с постановкой задачи.
Опасные места ограждаются предупредительными знаками.
Личный состав НАСФ должен:
знать:
характерные особенности опасностей, возникающих при ведении военных конфликтов или вследствие этих конфликтов, и способы защиты от них;
особенности чрезвычайных ситуаций природного и техногенного характера;
поражающие свойства отравляющих веществ, аварийно-химически опасных веществ (АХОВ), применяемых в организации, порядок и способы защиты при их утечке (выбросе);
предназначение формирования и свои функциональные обязанности;
производственные и технологические особенности организации, характер возможных неотложных работ, вытекающих из содержания плана гражданской обороны (плана гражданской обороны и защиты населения);
порядок оповещения, сбора и приведения формирования в готовность;
место сбора формирования, пути и порядок выдвижения к месту возможного проведения работ;
назначение, технические данные, порядок применения и возможности техники, механизмов и приборов, а также средств защиты, состоящих на оснащении формирования;
порядок проведения санитарной обработки населения, специальной обработки техники, зданий и обеззараживания территорий;
уметь:
выполнять функциональные обязанности при обеспечении аварийно-спасательных и проведении неотложных работ;
поддерживать в исправном состоянии и грамотно применять специальные технику, оборудование, снаряжение, инструменты и материалы;
оказывать первую помощь раненым и пораженным, а также эвакуировать их в безопасные места;
работать на штатных средствах связи;
проводить санитарную обработку населения, специальную обработку техники, зданий и обеззараживание территорий;
незамедлительно реагировать на возникновение аварийной ситуации на потенциально опасном объекте, принимать меры по ее локализации и ликвидации;
своевременно развертывать пункты питания и продовольственного (вещевого) снабжения при возникновении такой необходимости;
вести наблюдение за воздушной и наземной обстановкой на территории.
Готовность НАСФ проверяется не реже 1 раза в год на занятиях, контрольных проверках и учениях.
Проверяются:
реальность расчетов по созданию формирований;
готовность формирований и их способность решать задачи по предназначению; соответствие организационной структуры формирований характеру и объему выполняемых задач;
обеспеченность формирований средствами индивидуальной защиты, техникой, имуществом и спецодеждой, а также порядок хранения материально-технических средств и их готовность к использованию;
время сбора формирований, их выхода к объектам проведения работ.
Личный состав НАСФ, обслуживающий технические средства, должен знать и соблюдать требования безопасности при работе на закрепленной за ним технике.
Особые меры безопасности должны соблюдаться при работе в зоне пожаров, разрушений, в зонах химического и радиоактивного заражения, при проведении специальной обработки (дезактивации, дегазации, дезинфекции).
Обучение личного состава НАСФ в области гражданской обороны, защиты от чрезвычайных ситуаций, пожарной безопасности и безопасности людей на водных объектах является одним из элементов единой системы подготовки населения в области гражданской обороны и защиты от чрезвычайных ситуаций природного и техногенного характера.
Основы организации и порядок обучения личного состава НАСФ, в целях подготовки их к умелым действиям при угрозе и возникновении аварий, катастроф и стихийных бедствий, опасностей, возникающих при военных конфликтах или вследствие этих конфликтов, а также в повседневной деятельности определены в примерной программе обучения личного состава нештатных аварийно-спасательных формирований (далее - примерной программе).
Примерная программа предназначена для обучения личного состава НАСФ умелым, слаженным и наиболее эффективным приемам и способам коллективных действий при приведении НАСФ в готовность, проведении им АСДНР и первоочередного жизнеобеспечения населения, пострадавшего при военных конфликтах или вследствие этих конфликтов и при чрезвычайных ситуациях, совершенствования его умений и навыков в применении техники, инструментов, приборов и принадлежностей, состоящих на оснащении НАСФ, а также получению личным составом НАСФ знаний и умений по соблюдению мер безопасности.
Основы создания, подготовки, оснащения и применения НАСФ в составе сил гражданской обороны определены Приказом МЧС России от 23.12.2005 № 999 «Об утверждении Порядка создания нештатных аварийно-спасательных формирований».
Подготовка НАСФ организуется и осуществляется в соответствии с требованиями Федерального закона от 22 августа 1995 г. № 151-ФЗ «Об аварийно-спасательных службах и статусе спасателей», постановления Правительства Российской Федерации от 2 ноября 2000 г. № 841 «Об утверждении Положения об организации обучения населения в области гражданской обороны», ежегодных организационно-методических указаний по подготовке органов управления, сил гражданской обороны и единой государственной системы предупреждения и ликвидации чрезвычайных ситуаций, а также организационно-методических указаний по подготовке населения Российской Федерации в области гражданской обороны, защиты от чрезвычайных ситуаций, обеспечения пожарной безопасности и безопасности людей на водных объектах.
Подготовка НАСФ включает:
получение личным составом НАСФ знаний в ходе усвоения примерной программы обучения работающего населения в области безопасности жизнедеятельности;
первоначальную подготовку личного состава НАСФ;
повышение квалификации руководителей НАСФ по примерной программе обучения должностных лиц и специалистов гражданской обороны и единой государственной системы предупреждения и ликвидации чрезвычайных ситуаций в учебно-методических центрах по гражданской обороне и чрезвычайным ситуациям субъектов Российской Федерации и на курсах гражданской обороны муниципальных образований;
обучение личного состава НАСФ по программе, разработанной в соответствии с требованиями настоящей Примерной программы;
участие НАСФ в учениях, тренировках и соревнованиях;
проверку готовности НАСФ.
Основными целями обучения личного состава НАСФ в области гражданской обороны, защиты от чрезвычайных ситуаций, пожарной безопасности и безопасности людей на водных объектах являются:
изучение способов защиты от опасностей, возникающих при военных конфликтах или вследствие этих конфликтов, а также при возникновении чрезвычайных ситуаций, порядка действий по сигналам оповещения, приемов оказания первой помощи, правил пользования индивидуальными средствами защиты;
совершенствование навыков по организации и проведению мероприятий по гражданской обороне, защите от чрезвычайных ситуаций, пожарной безопасности и безопасности людей на водных объектах;
выработка умений и навыков для проведения АСДНР;
овладение личным составом НАСФ приемами и способами действий по защите населения, материальных и культурных ценностей от опасностей, возникающих при военных конфликтах или вследствие этих конфликтов, а также при чрезвычайных ситуациях, в том числе пожарах и аварий на водных объектах.
Обучение личного состава НАСФ планируется и проводится в рабочее время в объеме 20 часов.
Темы базовой подготовки личного состава НАСФ отрабатываются в полном объеме (14 часов) всеми видами формирований. Замена тем, уменьшение общего количества часов для их отработки не допускаются.
Система базовой подготовки личного состава НАСФ, выстраиваемая на основе примерной программы, предусматривает два основных вида занятий: практическое и тактико-специальное занятия.
Основными методами проведения занятий с личным составом НАСФ по темам базовой подготовки являются практическое занятие (тренировка) и тактико-специальное занятие.
Наименование тем, виды занятий и количество часов базовой подготовки
|
№ тем |
Наименование тем |
Вид занятия |
Кол-во
|
|
1. |
Действия личного состава при приведении НАСФ в готовность |
Тактико-специальное занятие |
2 |
|
2. |
Действия личного состава НАСФ при выдвижении в район выполнения АСДНР и подготовке к выполнению задач |
Тактико-специальное занятие |
2 |
|
3. |
Оказание первой помощи раненым и пораженным и эвакуация их в безопасные районы |
Практическое занятие |
2 |
|
4. |
Применение приборов радиационной и химической разведки, контроля радиоактивного заражения и облучения, а также средств индивидуальной защиты |
Практическое занятие |
2 |
|
5. |
Меры безопасности при проведении АСДНР |
Практическое занятие |
2 |
|
6. |
Действия личного состава НАСФ при проведении специальной обработки |
Практическое занятие |
4 |
|
|
Итого: |
|
14 |
Практические и тактико-специальные занятия с личным составом НАСФ организуют и проводят руководители формирований или начальники соответствующих спасательных служб, а на учебных местах - командиры структурных подразделений НАСФ (групп, звеньев).
Руководитель НАСФ или начальник соответствующей спасательной службы одновременно является и руководителем занятий на одном из учебных мест, как правило, наиболее важном и сложном. Практические занятия проводятся в целях:
- освоения специальной техники (объектов);
- овладения методами применения и эксплуатации техники;
- выработки навыков в решении задач, выполнении чертежей, производстве расчетов, ведении топографических карт;
- отработки приемов и нормативов.
Практические занятия с НАСФ разрешается проводить по структурным подразделениям (группам, звеньям).
Тактико-специальные занятия проводятся с целью совершенствования практических навыков обучаемых и слаженности звеньев и групп, входящих в состав формирования.
На тактико-специальных занятиях проводится отработка организации, ведения и обеспечения практических действий подразделения, а также управления этими действиями. Учебные вопросы отрабатываются последовательно, по элементам, для чего руководитель создает соответствующую обстановку, которая доводится до обучаемых путем постановки задач или объявления вводных.
Каждый элемент повторяется до тех пор, пока обучаемые не приобретут навыки уверенного его выполнения. Затем все действия, входящие в учебный вопрос, выполняются в комплексе.
На тактико-специальные занятия НАСФ выводятся в штатном составе с необходимым количеством техники, приборов, инструментов и принадлежностей. Весь личный состав на занятиях должен быть обеспечен средствами индивидуальной защиты.
Занятия с личным составом НАСФ проводятся в учебных городках, на объектах гражданской обороны или на объектах организаций.
Теоретический материал изучается путем рассказа или объяснения в минимальном объеме, необходимом обучаемым для правильного и четкого выполнения практических приемов и действий.
Подготовка к занятию
При проведении занятий необходимо соблюдать методическую последовательность отработки тем программы обучения.
Качество проведения занятий, их результативность в значительной степени зависят от подготовки руководителей, обучаемых и материально-технического обеспечения.
Практические и тактико-специальные занятия руководитель готовит и проводит самостоятельно.
Подготовка к занятию начинается с изучения нормативных и правовых актов по теме занятия (законов, директив, приказов, инструкций и указаний по организации и ведению АСДНР, применению и всестороннему обеспечению действий НАСФ и т.д.).
После изучения нормативных и правовых актов, преподаватель уясняет для себя: тему занятия; определяет (или уточняет) учебные цели и содержание учебных вопросов; определяет время и продолжительность проведения занятия; уточняет состав обучаемых; оборудование места проведения занятия; организацию и проведение мероприятий по материально-техническому обеспечению.
При уяснении темы занятия преподаватель должен четко представлять весь
объем знаний, которые должны получить обучаемые на занятии, определиться с методами, приемами и способами доведения этих знаний до обучаемых. Уяснить тему - это значит правильно понять ее содержание в соответствии с требованиями программы обучения.
Учебные цели занятия определяются исходя из содержания темы. В учебных и воспитательных целях указывается, кого и чему надо научить, в чем тренировать и совершенствовать, каких результатов надо добиться.
Учебные вопросы определяются с учетом содержания темы, поставленных учебных целей и уровня подготовленности обучаемых. Не следует планировать отработку большого количества учебных вопросов. Задача руководителя состоит в том, чтобы из всех вопросов темы выбрать главные, позволяющие наиболее полно отработать практические действия.
В ходе подготовки, особенно при проведении тактико-специальных занятий, следует уделять большое внимание морально-психологической подготовке личного состава формирований. АСДНР, проводимые в условиях сильных разрушений, завалов, пожаров, задымлений, радиоактивного загрязнения и т.п., требуют большого напряжения моральных и физических сил участников этих работ.
Поэтому в процессе обучения при решении формированиями поставленных задач необходимо вносить элементы напряженности и опасности, свойственные реальной обстановке; личный состав должен испытывать все трудности напряженной непрерывной работы в средствах защиты и условиях действий в очагах поражения (заражения).
Руководители занятий должны направить усилия на выработку у личного состава формирований высоких морально-психологических качеств, сознательного отношения к выполнению своего долга, стремления точно и в срок выполнить поставленные задачи, стойко переносить тяготы и лишения при действиях в очагах поражения (заражения) и в районах стихийных бедствий.
Организация мер безопасности при проведении занятия заключается в разработке соответствующих указаний или инструкций, доведении их до всех обучаемых и осуществлении контроля за их выполнением.
Проведение занятий
Любое занятие начинается со сбора обучаемых (личного состава). Как уже говорилось ранее, занятие состоит из вводной, основной и заключительной части.
Рассмотрим действия преподавателя при организации занятия в каждой из указанных частей.
Вводная часть
В начале занятия проверяется готовность обучаемых к занятию. Проверяются: оснащение (экипировка) обучаемых средствами индивидуальной защиты, инструментом и другим табельным имуществом; наличие и исправность выделенной техники, механизмов и приборов; знание обучаемыми правил выполнения приемов, действий и нормативов при ведении предстоящих работ, а также мер безопасности. Выявленные в результате проверки недостатки устраняются.
После проверки готовности личного состава руководитель занятия объявляет тему, учебные цели, учебные вопросы и порядок их отработки.
При определении порядка отработки учебных вопросов руководитель занятия указывает: время отработки каждого учебного вопроса; места отработки (учебные места) и порядок организации смены на учебных местах; определяет руководителя занятий на каждом учебном месте.
Затем руководитель занятия напоминает правила и меры безопасности при проведении занятия; доводит общую и частную обстановку до обучаемых.
Продолжительность учебного часа на занятиях - 45 минут.
Основная часть (Практическое занятие)
По команде руководителя обучаемые разводятся по учебным местам и приступают к отработке учебных вопросов.
Занятия на учебных местах проводят командиры звеньев (групп). Обучаемые приступают к отработке учебного вопроса и отрабатывают его до полного усвоения последовательно переходя с одного учебного места на другое, от отработки одного учебного вопроса к другому. Руководитель занятия контролирует порядок отработки учебных вопросов, оказывает помощь командирам звеньев (групп) и при необходимости дает дополнительные указания о порядке и методике обучения, обращая основное внимание на правильность выполнения практических действий. Руководитель лично проводит занятие на одном, как правило, наиболее важном направлении (учебном месте).
Занятия на учебных местах проводятся в следующей последовательности.
Руководитель учебного места объясняет порядок отработки учебного вопроса и выполнения отрабатываемого отдельного приема или действия, после чего сам образцово выполняет его по элементам (раздельно). После этого он приступает к отработке учебного вопроса вместе с обучаемыми, добиваясь правильности и быстроты выполнения ими каждого элемента в отдельности, а затем выполнения всего приема или действия в комплексе. При нечетком или неправильном выполнении элемента или всего приема некоторыми обучаемыми необходимо поправить их, сделав замечание или подав соответствующую команду. Если же неправильное или нечеткое выполнение допускается многими обучаемыми, - произвести краткий разбор допускаемых ошибок, вновь показать правильное выполнение приема и продолжать отработку практической части занятия. Перед окончанием занятия на учебном месте проводится тренировка обучаемых в выполнении соответствующего норматива.
Основная часть (Тактико-специальное занятие)
Тактико-специальные занятия являются основой практического обучения, носят комплексный характер, проводятся на фоне тактической обстановки с применением карт (схем) на которых отображаются данные общей и частной обстановки, данные разведки (инженерная, радиационная, химическая и бактериологическая обстановка и т.д.), задача подразделения и другие необходимые сведения для качественного проведения занятия.
В зависимости от целевой установки, отрабатываемых учебных вопросов, уровня подготовленности обучаемых и их специализации (профессиональной деятельности), а также в зависимости от учебно-материального обеспечения, преподаватель может проводить занятие в составе группы или распределить обучаемых по подгруппам. Если специализация обучаемых взаимозаменяема, то занятие проводится в составе группы с комплексной отработкой учебных вопросов и действий.
Однако целесообразно отработку практических действий выполнять по подразделениям (подгруппам, звеньям) в соответствии со своим предназначением.
После краткого напоминания теоретических основ по данной теме руководитель занятия приступает к отработке практической части занятия.
Тактико-специальное занятие проводится на фоне тактической обстановки, с комплексной отработкой практических вопросов рассматриваемых на данном занятии.
Перед началом отработки практических вопросов довожу до обучаемых данные общей и частной обстановки, данные разведки (инженерная, радиационная, химическая и бактериологическая обстановка и т.д.), задачу подразделениям и другие необходимые сведения для качественного проведения занятия.
При отработке практической части вопроса слежу за тем, чтобы обучаемые действовали правильно, добиваюсь от них четких и слаженных действий.
Обстановка на занятии должна быть максимально приближенной к реальной. С этой целью создаются завалы, имитируются очаги пожаров, разрушения и повреждения дорог, мостов, зданий, защитных сооружений и участков коммунально-энергетических сетей, обозначаются загрязненные и зараженные участки местности.
Завалы могут создаваться путем разрушения зданий и сооружений, подлежащих сносу, сосредоточением на нужном участке элементов железобетонных конструкций, лесоматериалов, кирпича, камня, строительных отходов и т.д. Для имитации заваленных убежищ и укрытий используются подвалы зданий и сооружений, в которых должны находиться статисты или чучела, имитирующие пострадавших.
Очаги пожаров имитируются сжиганием ручных дымовых гранат, дымовых шашек, отходов горючих и смазочных материалов и строительного мусора с обязательным соблюдением правил противопожарной безопасности.
Имитацию разрушений и повреждений коммунально-энергетических сетей следует создавать по возможности на строящихся, недостроенных или ремонтируемых участках.
Для обозначения участков загрязнения и заражения, разрушенных участков дорог, мостов или повреждений на коммунально-энергетических сетях следует использовать ясно видимые днем и ночью указатели с соответствующими надписями.
Отработка учебных вопросов проводится до полного усвоения обучаемыми учебного материала.
Заключительная часть
В конце занятия руководитель делает краткий разбор занятия.
Обучаемым напоминается тема, учебные и воспитательные цели и как они были выполнены (достигнуты), отрабатываемые учебные вопросы, где приводятся положительные примеры действий обучаемых, указываются ошибки и недостатки.
Разбор нельзя ограничивать только перечислением имевших место недостатков и примеров положительных действий. Основное внимание в нем должно быть уделено рассмотрению действий командиров и формирований с указанием, как следовало бы успешнее решить поставленные задачи в той или иной обстановке.
В заключение разбора руководитель дает оценку действий обучаемых, слаженности формирований и выучке личного состава, ставит задачи по устранению выявленных недостатков и дает задание на самостоятельную подготовку обучаемых.
По окончании разбора руководитель занятия дает указания о приведении в порядок техники, имущества и учебного городка и о порядке возвращения
формирования в район расположения.
Положительный опыт и недостатки, имевшие место в ходе занятий, обобщаются преподавателем в целях дальнейшего использования в учебном процессе.
Практические занятия проводятся с целью:
проверки теоретических знаний обучаемых полученных на занятиях, как под руководством преподавателя, так и входе самостоятельной подготовки;
освоения и отработки практических действий, различных приемов и основных способов выполнения задач в области гражданской обороны, защиты от чрезвычайных ситуаций, пожарной безопасности и безопасности людей на водных объектах;
подготовки обучаемых к умелым действиям при угрозе и возникновении аварий, катастроф и стихийных бедствий, а также опасностей, возникающих при военных конфликтах или вследствие этих конфликтов;
обеспечения безопасности населения в повседневной деятельности.
Рекомендации по разработке задания на практическое занятие
Задание на практическое занятие является основным методическим документом обучаемого.
В задании указываются три - четыре учебных вопроса, по которым обучаемый должен подготовиться перед занятием. Поставленные учебные вопросы должны охватывать основные разделы темы обучения.
В методических рекомендациях (пункт II) обучаемым по подготовке к практическому занятию следует указать, как обучаемым организовать подготовку к занятию, что изучить, что исполнить, к чему быть готовым (может быть приведен перечень контрольных вопросов по теме занятия); указываются также порядок проведения практического занятия и меры безопасности.
Задания на практические занятия могут быть групповыми или индивидуальными.
Примерный перечень
создаваемых нештатных аварийно-спасательных формирований
1. Примерный перечень создаваемых территориальных нештатных
аварийно-спасательных формирований
|
Наименование нештатных аварийно-спасательных формирований |
Численность личного состава, чел. |
|
Аварийно-спасательный отряд |
140 - 160 |
|
Аварийно-спасательная команда |
70 - 139 |
|
Аварийно-спасательная группа |
30 - 69 |
|
Аварийно-спасательное звено |
до 9 |
|
Аварийно-спасательный отряд радиационной, химической защиты |
140 - 160 |
|
Аварийно-спасательная команда радиационной, химической защиты |
70 - 139 |
|
Аварийно-спасательная команда механизации работ |
70 - 139 |
|
Аварийно-спасательная группа радиационной, химической защиты |
30 - 69 |
|
Аварийно-спасательное звено радиационной, химической защиты |
до 9 |
|
Аварийно-спасательная группа инженерной разведки |
до 9 |
|
Аварийно-спасательная группа радиационной, химической разведки |
до 9 |
|
Аварийно-спасательное звено речной (морской) разведки |
до 9 |
|
Аварийно-спасательное звено разведки на автомобильном транспорте |
до 9 |
|
Пост радиационного и химического наблюдения (подвижный) |
до 3 |
2.
Примерный перечень создаваемых нештатных аварийно-спасательных
формирований организаций
|
Наименование нештатных аварийно-спасательных формирований |
Численность личного состава, чел. |
|
Аварийно-спасательный отряд |
140 - 160 |
|
Аварийно-спасательная команда |
70 - 139 |
|
Аварийно-спасательная группа |
30 - 69 |
|
Аварийно-спасательное звено |
до 9 |
|
Аварийно-спасательный отряд радиационной, химической и биологической защиты |
140 - 160 |
|
Аварийно-спасательная команда радиационной, химической и биологической защиты |
70 - 139 |
|
Пожарно-спасательная команда |
70 - 139 |
|
Вспомогательная горноспасательная команда* |
3 - 300 |
|
Аварийно-спасательная команда механизации работ |
70 - 139 |
|
Аварийно-спасательная группа радиационной, химической и биологической защиты |
30 - 69 |
|
Пожарно-спасательная группа |
10 - 69 |
|
Аварийно-спасательное звено радиационной, химической и биологической защиты |
до 9 |
|
Пожарно-спасательное звено |
до 9 |
|
Аварийно-спасательное звено инженерной разведки |
до 9 |
|
Аварийно-спасательное звено радиационной, химической и биологической разведки |
до 9 |
|
Аварийно-спасательное звено речной (морской) разведки |
до 9 |
|
Аварийно-спасательное звено разведки на средствах железнодорожного транспорта |
до 9 |
|
Аварийно-спасательное звено разведки на автомобильном транспорте |
до 9 |
|
Пост радиационного и химического наблюдения (подвижный) |
до 3 |
________
* Устанавливается в соответствии с Порядком создания вспомогательных горноспасательных команд, утвержденным приказом МЧС России от 29 ноября 2013 г. № 765 (зарегистрирован в Министерстве юстиции Российской Федерации 30 декабря 2013 г., регистрационный № 30896).
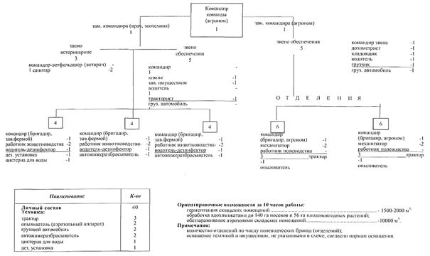
Схема организации команды по ремонту и восстановлению дорог и мостов

Схема организации аварийно-спасательной команды (группы,
звена)
радиационной, химической и биологической защиты

Схема организации водопроводных и теплосетей

Схема организации команды по организации защиты и эвакуации
материальных
и культурных ценностей

Схема организации команды для перевозок грузов, населения

Схема организации команды связи

Схема подвижного пункта питания, продовольственного (вещевого) снабжения

Схема организации группы по обслуживанию защитных сооружений

Схема организации станции специальной обработки транспорта, одежды

Схема организации пункта санитарной обработки

Схема организации подвижной ремонтно-восстановительной
группы по ремонту
автомобильной, инженерной и другой техники

Схема организации группы и звена связи

Схема организации эвакуационной (технической) группы

Схема организации групп эпидемического, ветеринарного и
фитопатологического
контроля

Схема организации

Схема организации звена по обслуживанию защитных сооружений

Программа обучения: личного состава НАСФ.
Цель обучения: поддержание НАСФ в готовности к выполнению задач по предназначению, а также получение личным составом НАСФ знаний, умений и навыков для действий при приведении в готовность, выдвижении в район выполнении задач, проведении АСДНР с соблюдением мер безопасности.
Категория обучаемых: работники организации, входящие в НАСФ.
Продолжительность обучения: 20 учебных часов.
Форма обучения: с отрывом от трудовой деятельности.
Режим занятий: определяет руководитель организации.
Модуль базовой подготовки
|
№ п/п |
Наименование тем |
Вид занятия |
Кол-во
|
|
1. |
Нормативные правовые основы функционирования НАСФ. Характеристика возможной обстановки в зоне ответственности НАСФ, возникающей при военных конфликтах или вследствие этих конфликтов, а также при чрезвычайных ситуациях природного и техногенного характера, и возможные решаемые задачи НАСФ |
Беседа |
1 |
|
2. |
Действия личного состава при приведении НАСФ в готовность, выдвижении в район выполнения задач и подготовке к выполнению задач |
Тактико-специальное занятие |
4 |
|
3. |
Правила использования специальной техники, оборудования, снаряжения, инструмента и материалов, находящихся на оснащении НАСФ. Меры безопасности при выполнении задач по предназначению |
Практическое занятие |
4 |
|
4. |
Приемы и способы выполнения задач, в т.ч. в условиях загрязнения (заражения) местности радиоактивными, отравляющими, аварийно-химически опасными веществами и биологическими средствами. Применение |
Практическое занятие |
4 |
|
5. |
Психологическая устойчивость сотрудников НАСФ при работе в зоне ЧС |
Беседа |
1 |
Модуль специальной подготовки
|
№ п/п |
Наименование тем |
Вид занятия |
Кол-во
|
|
1. |
Действия НАСФ при ведении радиационной, химической и биологической разведки и наблюдения |
Тактико-специальное занятие |
6 |
|
2. |
Действия НАСФ по ликвидации последствий аварии на химически опасном объекте |
Тактико-специальное занятие |
3 |
|
3. |
Действия НАСФ по ликвидации последствий аварии на радиационно опасном объекте |
Тактико-специальное занятие |
3 |
|
4. |
Действия НАСФ по выполнению противопожарных мероприятий на объекте. Порядок использования средств пожаротушения, состоящих на оснащении НАСФ |
Практическое занятие |
2 |
|
5. |
Действия НАСФ по тушению пожаров в различных условиях обстановки |
Тактико-специальное занятие |
4 |
|
6. |
Действия НАСФ по ликвидации последствий аварии на радиационно, химически, взрыво- и пожароопасных объектах |
Тактико-специальное занятие |
3 |
|
7. |
Действия НАСФ по устройству проездов, обрушению неустойчивых зданий и конструкций, по вскрытию заваленных защитных сооружений |
Тактико-специальное занятие |
6 |
|
8. |
Действия НАСФ по разборке завалов |
Тактико-специальное занятие |
6 |
|
9. |
Действия НАСФ по проведению АСДНР при чрезвычайных ситуациях природного характера |
Тактико-специальное занятие |
3 |
|
10. |
Действия санитарной дружины, санитарного поста, осуществляемые в целях медицинского обеспечения личного состава формирований, персонала объекта |
Тактико-специальное занятие |
6 |
Форма проверки знаний: проверка знаний осуществляется в ходе проведения опроса или тестирования, а также в ходе проведения учений и тренировок по оценке действия формирования в целом. Проверку знаний личного состава НАСФ должны в обязательном порядке проводить руководитель занятия или командир НАСФ.
1. Содержание тем занятий
1.1. Содержание тем занятий, включенных в модуль базовой подготовки
Тема 1. Нормативные правовые основы функционирования НАСФ. Характеристика возможной обстановки в зоне ответственности НАСФ, возникающей при военных конфликтах или вследствие этих конфликтов, а также при чрезвычайных ситуациях, и возможные решаемые задачи НАСФ.
Нормативно-правовые основы создания, деятельности и оснащения НАСФ. Спасатели и их статус. Права, обязанности, аттестация и страховые гарантии спасателей НАСФ. Особенности привлечения НАСФ к ликвидации чрезвычайных ситуаций.
Краткая характеристика возможной обстановки в зоне ответственности НАСФ при ведении боевых действий и возникновении чрезвычайной ситуации.
Возможные разрушения зданий и сооружений.
Возможные последствия от воздействия вторичных факторов поражения.
Возможная радиационная, химическая, пожарная, медицинская и биологическая обстановка, образование зон катастрофического затопления.
Ориентировочный объем предстоящих АСДНР и решаемые задачи формирования при планомерном выполнении мероприятий гражданской обороны, при внезапном нападении противника, действиях диверсионных (террористических) групп, а также при чрезвычайных ситуациях природного и техногенного характера.
Предназначение и состав НАСФ. Функциональные обязанности личного состава НАСФ.
Тема 2. Действия личного состава при приведении НАСФ в готовность, выдвижении в район выполнения задач и подготовке к выполнению задач.
Понятие о готовности формирований, порядок их приведения в готовность. Обязанности личного состава при приведении в готовность, выдвижении и подготовке к выполнению задач.
Порядок оповещения, получения табельного имущества, подгонки средств индивидуальной защиты.
Порядок получения и приведения в готовность к использованию техники, имущества и инструмента, состоящего на оснащении формирования.
Порядок выдвижения в район сбора. Ознакомление с маршрутом и районом сбора.
Действия личного состава при практическом приведении формирований в готовность и выход в район сбора.
Тема 3. Правила использования специальной техники, оборудования, снаряжения, инструмента и материалов, находящихся на оснащении НАСФ. Меры безопасности при выполнении задач по предназначению.
Подготовка техники, приборов и инструмента к проведению АСДНР. Меры безопасности при использовании специальной техники, оборудования, снаряжения, инструмента и материалов, находящихся на оснащении НАСФ, а также порядок их обслуживания.
Мероприятия по обеспечению безопасности и защиты личного состава формирований при действиях в зонах разрушений, завалов, пожаров, заражения (загрязнения) и катастрофического затопления.
Меры безопасности при проведении АСДНР. Особенности выполнения задач при работе вблизи зданий и сооружений, угрожающих обвалом, в задымленных и загазованных помещениях, на электрических сетях, при тушении нефтепродуктов, при организации работ в зонах катастрофического затопления, в условиях плохой видимости.
Порядок и объемы оказания первой помощи пострадавшим в ходе выполнения задач. Порядок и способы эвакуации пострадавших в безопасные места.
Тема 4. Приемы и способы выполнения задач, в т.ч. в условиях загрязнения (заражения) местности радиоактивными, отравляющими, аварийно-химически опасными веществами и биологическими средствами. Применение приборов радиационной и химической разведки, контроля радиоактивного заражения и облучения. Средства индивидуальной защиты. Действия личного состава НАСФ при проведении специальной обработки.
Организация защиты личного состава формирований в ходе выполнения АСДНР. Особенности выполнения задач личным составом формирований в условиях загрязнения (заражения) местности радиоактивными, отравляющими, аварийно-химически опасными веществами и биологическими средствами. Меры безопасности.
Подготовка и использование средств индивидуальной защиты.
Порядок подготовки приборов радиационной разведки к работе и проверка их работоспособности. Определение уровней радиации на местности и степени радиоактивного заражения различных поверхностей.
Порядок выдачи индивидуальных дозиметров и снятия показаний. Ведение журнала учета доз облучения личного состава.
Подготовка приборов химической разведки к работе, определение типа и концентрации отравляющих веществ (далее - ОВ) в воздухе, на местности, технике, в почве и сыпучих материалах. Особенности определения ОВ зимой.
Практическое применение средств индивидуальной защиты кожи и органов дыхания, выполнение нормативов.
Сущность и способы частичной и полной специальной обработки. Понятие о дезактивации, дегазации и дезинфекции; вещества и растворы, применяемые для этих целей.
Действия личного состава при проведении дезактивации, дегазации и дезинфекции техники, сооружений, приборов, средств защиты, одежды, обуви.
Меры безопасности при проведении дезактивации, дегазации и дезинфекции транспорта, сооружений и территорий, продуктов питания и воды, одежды, обуви, средств индивидуальной защиты.
Последовательность проведения частичной и полной санитарной обработки людей при заражении отравляющими и аварийно-химически опасными веществами, биологическими средствами и радиоактивными веществами, применение табельных и подручных средств.
Порядок действий при обнаружении пострадавших, оказания первой помощи и транспортировки (сбора) в безопасное место.
Тема 5. Психологическая устойчивость сотрудников НАСФ при работе в зоне чрезвычайной ситуации.
Понятие «Стресс». Виды стресса. Индивидуальные особенности реагирования людей на стресс.
Возможные психические состояния л/с НАСФ при работе в зоне ЧС.
Экстренная допсихологическая помощь в зоне чрезвычайной ситуации.
Система профилактики стрессовых состояний. Приемы и методы саморегуляции.
1.2.
Содержание тем занятий, рекомендованных для включения в модуль
специальной подготовки
Тема 1. Действия НАСФ при ведении радиационной, химической и биологической разведки и наблюдения.
Приведение приборов в готовность, их проверка, устранение простейших неисправностей. Проведение измерений.
Ведение мониторинга радиационной, химической и биологической обстановки на потенциально опасных объектах. Проведение замеров уровня радиации, концентрации химических веществ на объекте и окружающей территории. Границы зон заражения и загрязнения.
Осуществление дозиметрического контроля за облучением и заражением личного состава.
Действия НАСФ по контролю степени зараженности после проведения специальной обработки.
Взаимодействие формирования с силами, действующими в очаге поражения.
Меры безопасности.
Тема 2. Действия НАСФ по ликвидации последствий аварии на химически опасном объекте.
Соблюдение режима работы личного состава НАСФ в условиях химического заражения.
Действия НАСФ по ведению химической разведки.
Действия НАСФ по локализации пролива АХОВ способом обвалования, сбором жидкой фазы в ямах-ловушках, засыпкой сыпучими сорбентами, покрытием слоем пены, полимерными пленками и плавающими экранами, разбавлением АХОВ водой или нейтральными растворами.
Действия НАСФ по обеззараживанию (нейтрализации) парогазовой фазы (облака) или проливов АХОВ с использованием различных технологий.
Защита личного состава НАСФ при ведении АСДНР при авариях на химически опасном объекте.
Взаимодействие формирования с силами, действующими в очаге поражения.
Меры безопасности.
Тема 3. Действия НАСФ по ликвидации последствий аварии на радиационно опасном объекте.
Ведение радиационной разведки.
Подготовка приборов к работе и проверка работоспособности. Действия НАСФ по определению уровней радиации на местности и степени радиоактивного заражения различных поверхностей.
Действия личного состава НАСФ при эвакуации рабочих, служащих объекта и населения из зоны радиоактивного загрязнения, а также оказание первой помощи пострадавшим.
Действия личного состава НАСФ при проведении дезактивации территории и дорог.
Строительство могильников и захоронение радиоактивных обломков.
Проведение специальной обработки техники, приборов и инвентаря, использовавшихся в ходе ликвидации аварии, а также санитарной обработки личного состава с применением табельных и подручных средств.
Взаимодействие формирования с силами, действующими в очаге поражения.
Меры безопасности при выполнении задач на радиоактивно загрязненной местности. Мероприятия по обеспечению радиационной безопасности личного состава сил и персонала объекта (йодная профилактика, применение радиопротекторов).
Тема 4. Действия НАСФ по выполнению противопожарных мероприятий на объекте. Порядок использования средств пожаротушения, состоящих на оснащении НАСФ.
Требования пожарной безопасности на объекте.
Действия НАСФ по выполнению мероприятий в соответствии с Планом противопожарной защиты объекта.
Практическое развертывание и применение табельных средств пожаротушения, состоящих на оснащении НАСФ. Действия по использованию средств защиты (изолирующих противогазов, дыхательных аппаратов).
Меры безопасности.
Тема 5. Действия НАСФ по тушению пожаров в различных условиях обстановки.
Ведение пожарной разведки силами НАСФ.
Действия по локализации и тушению пожаров.
Спасение и эвакуация пострадавших из очага поражения, горящих, задымленных и загазованных зданий.
Отработка действий номеров боевого расчета в различных условиях обстановки.
Действия по тушению пожаров в условиях заражения радиоактивными, отравляющими, аварийно-химически опасными веществами и биологическими средствами.
Действия по тушению пожаров в подземных сооружениях, на электростанциях и подстанциях, на транспорте, при наличии на объекте взрывчатых веществ.
Действия по тушению пожаров в условиях массового разлива нефтепродуктов.
Действия по тушению пожаров при авариях на магистральных газо- и нефтепроводах.
Взаимодействие формирования с силами, действующими в очаге поражения.
Меры безопасности.
Тема 6. Действия НАСФ по ликвидации последствий аварии на радиационно химически, взрыво- и пожароопасных объектах.
Действия НАСФ по отключению поврежденных участков. Практические действия по ремонту поврежденных участков. Ремонт поврежденных участков, проведение других аварийных работ.
Действия НАСФ по ведению разведки и поиску пострадавших.
Действия НАСФ по спасению пострадавших, находящихся в завалах путем устройства галерей, растаскивания конструкций зданий, использования домкратов и средств малой механизации для разборки завалов сбоку, сверху, в наиболее доступных местах.
Особенности спасения людей, находящихся в загазованных, затопленных водой убежищах и укрытиях.
Действия НАСФ по оказанию первой помощи пострадавшим.
Взаимодействие формирования с силами, действующими в очаге поражения.
Меры безопасности.
Тема 7. Действия НАСФ по устройству проездов, обрушению неустойчивых зданий и конструкций, по вскрытию заваленных защитных сооружений.
Действия НАСФ по оборудованию проходов (проездов) в завалах.
Действия НАСФ по креплению и усилению конструкций.
Действия НАСФ по обрушению неустойчивых конструкций: ударной нагрузкой, канатной тягой, вручную с использованием различного инструмента, взрывным способом.
Вскрытие заваленных защитных сооружений, основные способы, последовательность выполнения работ. Обеспечение подачи воздуха в заваленное защитное сооружение. Расчистка завала над аварийными или основными выходами и вскрытие защитного сооружения. Вскрытие защитного сооружения путем отрывки приямка с наружной стены убежища или путем устройства прохода через смежные подвальные помещения. Вскрытие защитного сооружения путем устройства вертикальной или наклонной шахты с проходом под завалом и пробивкой проема в стене.
Взаимодействие формирования с силами, действующими в очаге поражения.
Меры безопасности.
Тема 8. Действия НАСФ по разборке завалов.
Разведка завалов, поврежденных и горящих зданий.
Действия НАСФ при разборке завала с использованием инженерной техники и средств малой механизации (пневматического, гидравлического инструмента и др.). Порядок выполнения работ.
Действия НАСФ по расчистке территории от обломков разрушенного здания.
Взаимодействие формирования с силами, действующими в очаге поражения.
Меры безопасности.
Тема 9. Действия НАСФ по проведению АСДНР при ЧС природного характера.
Возможная обстановка при разных видах ЧС природного характера, которые могут возникнуть в районе действия НАСФ.
Действия НАСФ по ведению разведки и поиску пострадавших.
Действия НАСФ по спасению пострадавших, находящихся на поверхности воды, выше уровня воды (на отдельных местных предметах), под водой, в разрушенных зданиях под завалами, под снегом.
Действия НАСФ по оказанию первой помощи пострадавшим.
Взаимодействие формирования с силами, действующими в очаге поражения.
Меры безопасности
Тема 10. Действия санитарной дружины, санитарного поста, осуществляемые в целях медицинского обеспечения личного состава формирований, персонала объекта экономики и пострадавших.
Оказание первой помощи пострадавшим. Эвакуация пострадавших в лечебные учреждения.
Ведение наблюдения за выполнением личным составом установленного режима работы, проведения санитарно-гигиенических, противоэпидемических мероприятий.
Действия медицинских формирований при проведении аварийно-спасательных и других неотложных работ. Организация работы медицинского пункта формирования на участке (объекте) работ.
Взаимодействие формирования с силами, действующими в очаге поражения.
Формы учета нештатных аварийно-спасательных формирований
Формами учета нештатных аварийно-спасательных формирований в территориальных органах МЧС России, органах исполнительной власти субъектов Российской Федерации, органах местного самоуправления являются формы, установленные Табелем срочных донесений МЧС России (приказ МЧС России от 16.02.2012 № 70дсп «Об утверждении Порядка разработки, согласования и утверждения планов гражданской обороны и защиты населения (планы гражданской обороны)».
Реестры организаций, создающих нештатные аварийно-спасательные формирования, ведутся территориальными органами МЧС России, федеральными органами исполнительной власти в отношении организаций, находящихся в их ведении, а также органами исполнительной власти субъектов Российской Федерации и органами местного самоуправления на соответствующих территориях.
|
РАСЧЕТ рабочих, служащих, учащихся ____________________________________ подлежащих (наименование организации) зачислению в состав нештатных аварийно-спасательных формирований
Начальник структурного подразделения (работник), уполномоченный на решение задач в области ГО ШТАТНО-ДОЛЖНОСТНОЙ СПИСОК ________________________________________________ (наименование формирования и организации)
Начальник структурного подразделения (работник), уполномоченный на решение задач в области ГО Командир формирования РАСЧЕТ техники _________________________ предназначенной для оснащения формирований (наименование организации)
|
|||||||||||||||||||||||||||||||||||||||||||||||||||||||||||||||||||||||||||||||||||||||||||||||||||||||||||||||||||||||||||||||||
|
ВЕДОМОСТЬ УЧЕТА формирований ___________________________________________________, численности личного состава и обеспеченности основными (наименование организации) видами техники и имущества
РЕЕСТР
______________________________________________________________________________________ (наименование федерального
органа исполнительной власти, субъекта Российской Федерации,
|
||||||||||||||||||||||||||||||||||||||||||||||||||||||||||||||||||||||||||||||||||||||||||||||||||||||||||||||||||||||||||||||||||||||||||||||||||||||||||||||||||||||||||||||||||||||||||||||||||||||||||||||||||||||||||||||||||||||||||||||||||||||||||||||||||||||||||||||||||||||||||||||||||||||||||||||||||||||||||||||||||||||||||||||||||||||||||||||||||||||||||||||||||||||||||||||||||
1. Средства индивидуальной защиты
|
№ п/п |
Наименование имущества |
Общий вид |
Примерили стоимость, руб. |
Минимальные требовании к изделию или аналогу |
Кому положено |
|
1. |
Противогаз фильтрующий (с защитой от аварийно-химически опасных веществ) |
|
Договорная |
Защита органов дыхания лица и глаз человека от воздействия отравляющих веществ (ОВ), опасных биологических веществ (ОБВ), радиоактивной пыли (РП), аварийных химически опасных веществ (АХОВ) и паров ртути. Масса противогаза в комплекте без сумки, не более 900 г. Масса коробки, не более 250 г. Коэффициент проницаемости по СМТ, % (без контроля на струйку), не более 2,0⋅10-4. Коэффициент подсоса аэрозоля СМТ под лицевую часть, %, не более 1,0⋅10-4. Коэффициент проницаемости по парам радионуклида йода - 131 и йодистого - 131 метила, %, не более 0,001. Сопротивление противогаза постоянному потоку воздуха на вдохе при объемном расходе воздуха: 30 л/мин, не более 18 мм. вод. ст. 250 л/мин, не более 200 мм. вод. ст. Время защитного действия по опасным химическим веществам, мин., не менее: - синильная кислота при концентрации 5,0 мг/л - 40 мин. - хлоринам при концентрации 5,0 мг/л - 40 мин. - хлор при концентрации 5,0 мг/л - 40 мин. - сероводород при концентрации 10,0 мг/л - 25 мин. - соляная кислота при концентрации 5,0 мг/л - 20 мин. - тетраэтилсвинец при концентрации 2,0 мг/л - 50 мин. - этил меркаптан при концентрации 5,0 мг/л - 40 мин. - нитробензол при концентрации 5,0 мг/л - 40 мин. - фенол при концентрации 0,2 мг/л - 200 мин. - фурфурол при концентрации 1,5 мг/л - 300 мин. При отсутствии OB ВЦ, мин., не менее: - сероуглерод при концентрации 2 мг/л - 40 мин. - сернистый газ при концепт рации 2 мг/л - 60 мни. Площадь поля зрения, не менее - 80 %. Подтвержденный гарантийный срок хранения противогазов в заводской упаковке, не менее 12 лет. Панорамная маска с переговорным устройством. Гарантийный срок хранения - не менее 15 лет. |
На штатную численность формирований |
|
2. |
Респиратор фильтрующий |
|
От 280,0 |
Зашита органов дыхания человека от различных видов пыли и биологических труб. - Сопротивление постоянному потоку воздуха на вдохе при расходе воздуха 30 дм3/мин не более 88 Па - Коэффициент проницаемости по ныли не более 0,05 % - Масса респиратора не более 60 г. - Температурный диапазон эксплуатации от минус 40 до плюс 40 °С. Гарантийный срок хранения - не менее 7 лет. |
На штатную численность формирований |
|
|
Противогаз изолирующий на сжатом воздухе или кислороде |
|
Договорная |
Противогаз изолирующий на сжатом воздухе или кислороде Изолирующий резервуарный аппарат, в котором весь, запас воздуха хранится в баллонах в сжатом состоянии. Вдох осуществляется из баллона, а выдох - в атмосферу. Допускается использование аппаратов, имеющих воздуховодную систему, обеспечивающую постоянное поддержание избыточного давления воздуха под лицевой частью аппарата. Время защитного действия при нагрузке средней тяжести - не менее 60 мин. Масса снаряжённого аппарата не более 16 кг. |
На штатную численность пожарно-спасательных формирований |
|
|
Средство индивидуальной зашиты кожи изолирующего типа, герметичное |
|
Косном
изолирующий химический |
Защита личного состава НАСФ при выполнении аварийно-спасательных и ремонтных работ в условиях воздействия газообразной и жидкой фазы АХОВ при пятикратном использовании. Коэффициент защиты костюма не менее 1000. Время защитного действия материала костюма и швов, при воздействии высококонцентрированного (25 % объемных и выше) газообразного хлора не менее 60 минут. Срок службы костюма - 3 лет. |
На штатную численность формирований радиационной химической зашиты |
|
|
Средство индивидуальной защиты кожи фильтрующего типа |
|
Фильтрующая защитная одежда Договорная |
Защита личного состава НАСФ при выполнении аварийно-спасательных и ремонтных работ в условиях воздействия газообразной и жидкой фазы АХОВ. Время защитного действия при концентрации паров 0,1 мг/л, не менее - 2,5 ч. Время непрерывной работы в противогазе, не менее: при температуре +26 °С 4 ч., при температуре 140 °С - 1 ч. Сохранность защитных свойств, не менее - 12 мес. Кратность восстановления защитных свойств не менее - 60. Срок службы костюма - 15 лет. |
На штатную численность формирований радиационной химической защиты |
|
|
Костюм защитный облегченный |
|
Костюм легким Договорная |
Защита кожи, одежды и обуви. Время защитного действия костюма от ОВ и АХОВ должно быть не менее: газообразные АХОВ - 8 ч, ацетон, метанол, диэтиламин, сероуглерод, дихлорметан, тетрогидрофурил - 4 ч, ацетонитрил - не менее 2 ч: 1,2-дихлорэтан, толуол, триэтиламин - не менее 40 мин; этилацетат не менее 2 ч; раствор гидроксида натрия - не менее 2 ч; нефтепродукты - не менее 0,5 ч; капли спецпродукта (ГОСТ Р 16796-86) - не менее 40 мин; гептил, амил, гидразин - не менее 1 ч; Стойкость к воздействию кислот - не менее 120 мни; Гарантийный срок хранения - не менее 15 лет. |
На штатную численность создаваемых формирований, за исключением формировании радиационной и химической защиты |
|
4. |
Мешок прорезиненный для зараженной одежды |
|
Договорная |
Сбор и транспортировка зараженного обмундирования (зараженной (загрязненной) одежды граждан, снаряжения и средств индивидуальной защиты. Мешок должен быть снабжен петлями для завязывания горловины, днище - петлей для транспортировки заполненного мешка. Мешок должен обеспечивать герметичность внутреннею пространства на уровне требований к защитным костюмам. При температуре ниже - 15 °С ткань мешка не должна терять гибкость и эластичность. Габаритные размеры не более 1200×800 мм. Вес мешка не более 1,7 кг. |
На 20 защитных костюмов |
|
5. |
Самоспасатель фильтрующий |
|
От 1680,0 |
Зашита органов дыхания, глаз, кожи лица и головы от паров, газов и аэрозолей опасных химических веществ (ОХВ), включая продукты горения, при эвакуации из зданий, сооружений, транспорта, метрополитена, из зон химического заражения в случае техногенных аварий и террористических актов. Должен иметь обязательный сертификат соответствия Техническому регламенту, утвержденному Федеральным законом 22.07.2008 № 123-ФЗ Время защитного действия не менее - 30 мни. Срок хранения - не менее 5 лет; Масса без сумки - не более 0,5 кг. |
На 30 % штатной численности формирований |
|
|
Респиратор газодымозащитный |
|
Газодымозащитный респиратор |
Защита органов дыхания, трения и кожных покровом головы от воздействия токсичных продуктов горения, включая монооксид углерода, опасных химических веществ (ОХВ) и аэрозолей. образующихся при пожарах и других чрезвычайных ситуациях техногенного характера. Эффективная защита при высокой концентрации вредных веществ в |
На штатную численность пожарно-спасательных формирований |
|
6. |
Костюм врача- инфекциониста |
|
От 16000,0 |
Зашита для персонала при выполнении противоэпидемиологических мероприятий и дезинфекционных работ. Защита органов дыхания и кожных покровов от воздействия вредных воздушных - взвесей и аэрозолей (бактериальных). Костюм пригоден при эксплуатации в рабочем интервале температур: -40 до +40 °С. |
На штатную численность формировании эпидемического, ветеринарного контроля |
2. Медицинское имущество
|
№ п/п |
Наименование имущества |
Общий вид |
Примерная стоимость, руб. |
Минимальные требования к изделию или аналогу |
Кому положено |
|
1. |
Индивидуальный противохимический пакет |
|
От 90,0 |
Пакет предназначен для профилактики кожно-резорбтивных поражений аварийно-химически опасными веществами (инсектициды, пестициды, отравляющие вещества и др.) через открытые участки кожи, а также для дегазации этих веществ на коже в интервале температур от минус 20 °С до плюс 50 °С. При заблаговременном нанесении на кожу защитный эффект должен сохраняться в течение 24 часов. Рецептура должна эффективно лечить ожоги, гнойные раны, трофические язвы, защищает кожу от воздействия разбавленных растворов кислот и щелочей, раздражающих незащищённую кожу органических веществ. Вес пакета - не более 40 грамм. Размеры, не более - 90×130×8 мм. |
На штатную численность формирований |
|
2. |
Комплект индивидуальный медицинский гражданской защиты |
|
От 3500,0 в зависимости от комплектации |
Самостоятельное выполнение назначений медицинских работников по профилактике (предупреждению или снижению тяжести последствий) поражений в мирное и военное время и для оказания первой помощи пострадавшим. Комплектация по приказу МЧС России от 01.11.2006 г. № 633 в соответствии с приказом Минздрава России от 15.02.2013 г. № 70н лекарственными препаратами и медицинскими изделиями, зарегистрированными в установленном порядке на территории Российской Федерации. |
На штатную численность формирований |
|
3. |
Комплект индивидуальный противоожоговый с перевязочным пакетом |
|
От 370,0 |
Оказание перовой помощи при термических ожогах и наложение повязки. Комплектация медицинскими изделиями, зарегистрированными в установленном порядке на территории Российской Федерации: средства перевязочные гидрогелевые противоожоговые стерильные (на основе аллилоксиэтанола и лидокаина), пакеты перевязочные. |
На штатную численность формирований |
|
4. |
Носилки мягкие бес каркасные огнестойкие (огнезащитные) |
|
От 1500,0 |
Медицинское изделие, зарегистрированное в установленном порядке на территории Российской Федерации, для выноса пострадавших из опасных зон при пожарах, использования в качестве огнезащитной накидки для предотвращения возгорания одежды, защиты тела человека от открытого пламени, повышенных температур и теплового излучения, использования в качестве противопожарной кошмы. |
Каждой
команде |
|
5. |
Санитарная сумка с укладкой для оказания первой помощи |
|
От 9000,0 |
Оказание перовой помощи. Комплектация по приказу Минздрава России от 08.02.2013 г. № 61 и медицинскими изделиями, зарегистрированными в установленном порядке на территории Российской Федерации, в количестве на проведение мероприятий по оказанию первой помощи 20 пострадавшим. |
На 5 % штатной численности формирования |
|
6. |
Набор перевязочных средств противоожоговый |
|
От 3500,0 |
Оказание первой помощи при термических ожогах. Комплектация медицинскими изделиями, зарегистрированными в установленном порядке на территории Российской Федерации: средства перевязочные гидрогелевые противоожоговые стерильные (на основе аллилоксиэтанола и лидокаина) на салфетке, в индивидуальной упаковке; салфетки; бинты марлевые стерильные; лейкопластыри, ножницы по Листеру. |
На 20 % штатной численности формирований |
Примечание: Комплекты индивидуальные медицинские гражданской защиты и санитарные сумки с укладкой для оказания первой помощи пополняются медицинскими средствами по мере их использования или при истечении сроков их годности.
3. Средства радиационной, химической разведки и контроля
|
№ п/п |
Наименование имущества |
Общий вид |
Примерная стоимость, руб. |
Минимальные требования к изделию или аналогу |
Кому положено |
|
1. |
Электронный дозиметр (со связью с ПЭВМ) |
|
ДКГ-05Д:
|
Состав: - дозиметр ДКГ-05Д, - зарядное устройство ЗУ-1М, - устройство считывания УС-05-01 со связью с ПЭВМ (1 шт. на комплект до 100 дозиметров). Индивидуальный эквивалент дозы гамма-излучения: 0,1 мкЗв ÷ 15 Зв. (соответствует требованиям по диапазону измерения). |
Руководящему составу формирований. |
|
2.. |
Дозиметр гамма-излучения (персональный) |
|
ДКГ-03Д
|
Измерение мощности дозы гамма-излучения в диапазоне не менее от 0,1 мкЗв/ч до 3. Индивидуальный эквивалент дозы γ-излучения: 1 мкЗв ÷ 100 Зв. |
На штатную численность формирований до 20 человек, за исключением руководящего состава. |
|
|
Комплект дозиметров (индивидуальных) |
|
Комплекса
дозиметрического термолюминесцентного с дозиметрами ДТЛ-02 |
Индивидуальный эквивалент дозы фотонного излучения Нр (10): 20 мкЗв ÷ 10 Зв. |
На штатную численность формирований свыше 20 человек, за исключением руководящего состава. |
|
3. |
Комплект дозиметров радиофотолюминесцентных (индивидуальных) с измерительным устройством и устройством для отжига |
|
Дозиметр
ДГИ-14 |
Поглощенная доза гамма-излучения: 0,005 - 5000 сГр. В соответствии с документами МАГАТЭи РФ измеряемой величиной при индивидуальном дозиметрическом контроле (ИДК) должен являться индивидуальный эквивалент дозы. Использование других измеряемых величин для целей ИДК является недопустимым. |
На штатную численность формировании, за исключением руководящего состава. |
|
4. |
Дозиметр гамма-излучения с выносным блоком детектирования |
|
ДКГ-07БС
|
Состав: пульт ДКГ-07БС, БДБГ-07, кабель соед. до 400 м. Измерение: Дозы гамма-излучения: 0,1 мкЗв ÷ 10,0 Зв Плотности потока бета-излучения: 0,1 - 1500 с1⋅см-2 Плотность потока альфа-излучения: 0,01 - 1500 с1⋅см-2 Принят на снабжение в МЧС России, приказ от 2008 г. № 122 |
На пост радиационного и химического наблюдения. |
|
5. |
Дозиметр-радиометр α, β и γ излучения (носимый) |
|
Дозиметр-радиометр
МКС-07Н носимый от 210000,0 |
Состав: пульт МКС-07Н, БДПА-07, БДПБ-07, БДБГ-07, кабель соед. 1,5 м. Варианты исполнения ИМД-7Б (бортовой), ИМД-7БС (бортовой специальный), ИМД-7С (стационарный), ИМД-7Н (носимый), ИМД-7НС (носимый специальный). Измерение: Дозы гамма-излучения: 0,1 мкЗв ÷ 10,0 Зв Плотности потока бета-излучения: 0,1 - 1500 с1⋅см-2 Плотности потока альфа-излучения: 0,01 - 1500 с1⋅см-2 Принят на снабжение в МО РФ, приказ от 2014 г. № 401. |
На пост радиационного и химического наблюдения. |
|
6. |
Метеорологический комплект с электронным термометром термоанемометром) |
|
МК-3М
или МК-3В |
Ведение метеорологических наблюдений за ветром, температурой воздуха и почвы, а также для разведки особенностей ветрового режима на небольших участках местности. Время развертывания: 8 минут: Время свертывания: 6 минут. Состав: сумка, анемометр сигнальный цифровой ручной, термометр для почвы, компас, карманный фонарь, графитный карандаш, лента-вымпел, ластик для карандаша, журнал метеодонесений, бланки метеодонесений (книжка), паспорт. |
Каждому формированию принимающему участие в проведении неотложных работ. |
|
6. |
Комплект носимых знаков ограждения |
|
КЗО от 2100,0 |
Ведение разведки знаками ограждения для обозначения границ районов, зараженных радиоактивными веществам и. граним участков местности, зараженных отравляющими веществами, направления обходов зараженных районов. Состав: щит - 10 шт., стойка - 10 шт., фонарь - 5 шт., карандаш - 1 шт., чехол - 1 шт., паспорт - 1 шт. |
На пост радиационного и химического наблюдения.. |
|
7. |
Газосигнализатор автоматический для определения зараженности воздуха к автоматический сигнализации об их обнаружении |
|
УПГК-ЛИМБ
|
Контроль и оперативное измерение массовых концентраций вредных веществ к воздухе, выбросах, сыпучих материалах, специальное исполнение дня формирований гражданской обороны с блоком измерительным и пробоотбора. |
На пост радиационного и химического наблюдения. |
|
Газосигнализатор
|
Непрерывное измерение и контроль в воздушной среде превышения пороговых концентраций отравляющих веществ, AXOВ, горючих газов и паров, органических веществ. |
||||
|
8. |
Многокомпонентный газоанализатор дня измерения и анализа концентрации (от 1 ПДК в рабочем зоне) в воздухе, автоматической сигнализации об их обнаружении |
|
Портативный
газоанализатор |
Измерение и анализ концентраций аварийно-химически опасных веществ (АХОВ), кислорода и горючих газов в воздухе рабочей зоны, а также сигнализация о превышении пороговых концентраций газов на химически-опасных объектах. Одновременное измерение концентраций 5 газов. В комплект прибора входит до 11 сменных «интеллектуальных» сенсорных модулей. Принят на снабжение в МЧС России. |
На пост радиационного и химического наблюдения.. |
|
|
|
|
Газоанализатор
|
Автоматический контроль наличия ОВ и АХОВ и воздушной среде со звуковой и световой сигнализацией превышения пороговых значении концентрации этих веществ. |
На пост радиационного и химического наблюдения. |
|
9. |
Комплект отбора проб |
|
Комплект
отбора проб |
Отбор проб почвы, воды, воздуха, растительности и других материалов, зараженных радиоактивными веществами, токсичными химикатами и бактериологическими средствами с целью передачи их на анализ в химические лаборатории. Обеспечение отбор всех видов проб в 10 точках разведываемом местности в любое время года. |
На пост радиационного и химического наблюдения. |
|
10. |
Прибор химической разведки с комплектом индикаторных трубок |
|
Войсковой
прибор химической разведки |
Определение в воздухе, на местности и на технике боевых отравляющих веществ в воздухе. Состав: корпус, насос, бумажные кассеты с индикаторными трубками, противодымные фильтры, насадки к насосу, защитные колпачки, грелки и патроны к ней, фонарь, лопатка, инструкция по эксплуатации прибора, ремень с тесьмой. Вес прибора около 2,3 кг. |
На пост радиационного и химического наблюдения. |
|
11. |
Экспресс лаборатория - для определения индикатор II им и средствами загрязненности воздуха, воды, помпы к продуктов питания аварийно-химически опасных веществ. |
|
Мини-экспресс
лаборатория |
Экспресс-контроль химической загрязненности объектов, окружающей среды - воздуха и промышленных газовых выбросов, воды, почвы, сыпучих сред и продуктов питания - с применением индикаторных трубок и тест-систем. |
На пост радиационного и химического наблюдения. |
Примечания: 1. Источники питания приобретаются на приборы по истечении их срока годности или при их использовании.
2. Индикаторные средства для приборов химической разведки и газового контроля пополняются по истечении их срока годности или при их использовании.
4. Средства специальной обработки
|
№ п/п |
Наименование имущества |
Общий вид |
Примерная стоимость, руб. |
Минимальные требования к изделию или аналогу |
Кому положено |
|
1. |
Комплект специальной обработки транспорта |
|
Горгоной
комплект специальной обработки |
Специальная обработка вооружения и военной техники водными и сольвентными рецептурами при использовании энергии выхлопных газов двигателей внутреннего сгорания и энергии сжатого воздуха пневмосистем автомобилей и бронетранспортеров с карбюраторными и дизельными двигателями. Комплект является универсальным и позволяет работать как с дизельными так и с карбюраторными транспортными средствами. Не требует подключения к электропитанию. |
На 1 единицу транспорта |
|
2. |
Комплект специальной обработки автомобильной техники |
|
Комплект
дегазационный |
Комплект для специальной обработки автомобильной техники предназначен для проведения дезактивации и дегазации с использованием сжатого воздуха от компрессора автомобиля или автомобильного насоса. Комплекс позволяет работать с дезинфицирующими рецептурами. Не требует подключения к электропитанию. В комплект дополнительно входит: - для автомобилей не имеющих пневматической системы, гусеничных тягачей и другой техники - двадцатилитровая канистра и насоса для накачивания шин. - для автомобилей, имеющих пневматическую систему - шланг для накачивания шин. |
На 1 единицу автомобильном техники |
|
3. |
Комплект санитарной обработки |
|
комплект
санитарной обработки |
Полная санитарная обработка личного состава в тёплое время года и частичной санитарной обработки в холодное время года. Обеспечивает заботу с различными транспортными средствами при использовании соответствующих газоотборных устройств. Производительность по горячей воде 3 - 6 л/мин. |
На звено |
5. Инженерное имущество и аварийно-спасательный инструмент
|
№ п/п |
Наименование имущества |
Общий вид |
Примерная стоимость, руб. |
Минимальные требовании к изделию или аналогу |
Кому положено |
|
1. |
Аварийно-спасательный инструмент и оборудование |
|
Гидравлический
аварийно-спасательный инструмент «СПРУТ» |
Проведение аварийно-спасательных работ, состав: кусачки КГС-80, ножницы комбинированные НКГС-80, насос ручной НPC-2/80, расширитель средний PCГС-80, цилиндр с одним штоком ЦГС-1/80, цилиндр с двумя штоками ЦГС-2/80, гидростанция с бензоприводом СГС-1-80ДХ, гидростанция с бензоприводом СГС-2-80ДХ. Коаксиальное размещение шлангов: шланг высокого давления размещается внутри шланга низкого давления. Для подключения инструмента попользуется одни разъем. Отсоединение шланга (или инструмента) во время работы, без сбрасывания давление. Внешний шланг служит дополнительной защитой как для самого нагнетающего шланга, так и от опасностей, возникающих при работе с жидкостью под высоким давлением. Рабочее давление до 80,0 МПа. |
Каждому формированию |
|
2. |
Пояс спасательный с карабином |
|
от 1700,0 |
Страховка пожарных при работе на высоте, спасения людей и самоспасания пожарных во время тушения пожаров и проведения связанных с ними первоочередных аварийно-спасательных работ, а также для ношения топора пожарного и карабина. Длина пояса: 1 размер - 980 мм, 2 размер - 1140 мм, 3 размер - 1300 мм, 4 размер - 1460 мм, масса пояса, не более - 1,2 кг, ширина поясного ремня - 81 мм. |
Всему личному составу формирований, принимающему участие в проведении НР |
|
3. |
Комплект шанцевого инструмента (лопата штыковая и совковая, лом, кувалда, кирка-моты га, топор плотничный, пила поперечная) |
|
Комплект шанцевого инструмента от 1000,0 |
Выполнение инженерных работ. Комплект: малая пехотная лопатка МПЛ-50, общая длинна 50 см, ширина 15 см, большая сапёрная лопата БCЛ-110, общая длина 110 см, ширина лезвия 20 см, лом ЛО-11 (15.20), вес 11 кг, пила поперечная двухручная для спила деревьев, распиливания брёвен, топор, длина 50 см, кирка-мотыга. |
На каждый автомобиль (легковой, грузовой, специальный) и специальную технику (экскаватор, бульдозер, автокран) формирований |
|
4. |
Приборы газопламенной резки с резаками, напорными рукавами, редукторами и газовыми баллонами (керосинорезы, газосварочные аппараты и др.) |
|
Комплект
ПГУ-5А |
Ручная резка и сварка метилов с применением смесей ацетилен + кислород, газ-заменитель (пропан, природный газ) + кислород. Рабочий газ: ацетилен. Толщина свариваемого металла-б: 0,5 - 5,0 мм, толщина разрезаемою металла: 3 - 100 мм, емкость баллона (ацетилен): 5 л. емкость баллона (кислород): 5 л, габаритные размеры: 355×135×625 мм. Масса; 35,5 кг. |
Каждому отряду, команде, группе, звену |
|
5. |
Фонарь карманным электрический |
|
Фонарь
ФОС 3-5/6 |
Автоматический контроль разряда аккумулятора, с выдачей предупредительного сигнала, когда аккумулятор разряжается до порога допустимого уровня, возможность изменения сила света и потребления тока от аккумулятора, обеспечение герметичности, наличия места для хранения запасной части. |
Всему личному составу формировании |
|
6. |
Защитные очки |
|
Очки гелевые панорамные от 150,0 |
Панорамный обзор, боковая и верхняя зашита. |
Всему личному составу формирований, принимающему участие в проведении работ |
|
7. |
Моторная пила |
|
ЗУБР
ЗЦПБ-490- 450 |
Номинальная мощность: 2200 Вт; Объем двигателя: 49,3 см; Длина направляющей шины: 450 мм; Макс. частота вращения: 8000 об/мин; Емкость топливного бака: 550 мл: Емкость масляного бака: 260 мл; Масса: 6 кг. |
Каждому формирований, принимающему участие в проведении неотложных работ |
|
8. |
Ножницы для резки проволоки |
|
от 650,0 |
Резка стального каната, диаметр перерезаемого каната или проволоки, мм, не более: 16,0, усилие на рычагах-ручках, кгс, не более: 20, масса ножниц, кг, не более: 2,0, средний ресурс, количество розов, не менее: 5000. |
Каждому формирований, принимающему участие в проведении неотложных работ |
|
9. |
Осветительная установка |
|
Аварийная осветительная установка «Световая Башня» от 75000,0 |
Экстренное развёртывание на местности в случае природных или техногенных катастроф, для освещения больших площадей. Технические характеристики: высота башни 5 метров, мощность источника света (лампа ДНаТ, 600 Вт), питание - сеть переменного тока 220 В, частота 50 Гц, время надува до 30 сек., время полного разгорания лампы - 3 мин., встроенный нагнетатель воздуха - мощностью 1000 Вт., производительностью 2,5 - 3,5 м куб/мин. Ветроустойчивость установки - до 20 м/сек. |
На каждые 15 человек формирований |
|
10. |
Грузоподъемные средства (лебедка, тали, домкраты, трос, блоки и др.) |
|
От 5000,0 |
Подъем необходимых грузов с возможностью подвешивания. Состав: подвижный и неподвижного блоки, трос до 100 м. Грузоподъемность 0,5 т. |
Каждому
отряду, |
|
От 10000,0 |
Перемещение, подъём и опускания груза, максимальное тяговое усилие, кг 500, максимальное перемещение груза, длина каната, 100 м, грузоподъемность, кг - 500, 1500. |
||||
|
|
|
|
От 6000,0 |
Подъем и фиксация на заданной высоте тяжелых предметов до 5 г. |
|
|
11. |
Канат пеньковым |
|
От 10,0 за пог. метр. |
Канат пеньковым ПТ тросовой свивки диам. 8 мм на катушке 200 мм. |
Каждому формированию |
|
12. |
Мотобетонолом |
|
Бензиновый
отбойный молоток |
Энергия удара ВН 55 - 55 Дж, 1,6 кВт, ВН 65 - 65 Дж, 1,7 кВт. |
На каждые 10 человек всех формирований |
|
13. |
Бинокль |
|
от 6000,0 |
Резкость окуляров должна легко настраивается буквально одним пальцем. Должна быть подстройка бинокля под ратный уровень трения. Небольшой вес и обрезиненный корпус для пользования длительное время. |
Каждому формированию разведки |
|
14. |
Компас |
|
от 250,0 |
Корпус должен быть изготовлен из пластика. Под откидной крышкой должно находится черкало, помогающее в определении азимута и служащее для подачи сигналов. |
Каждому формированию |
|
15. |
Надувная лодка с мотором |
|
от 15000,0 |
Перевозка личного состава. Технические характеристики: надувная камера с пятью отсеками, днище усиливается складным днищем водостойкой фанеры, масса 55 кг, грузоподъемность - 0,65 т, десант 8 чел. время снаряжения - 4 мин., скорость передвижения с забортным мотором - 8 км/ч, скорость передвижения на веслах - 4 км/ч, длина 4 м, ширина - 1,36 м, диаметр борта - 0,4 м. |
Каждому формированию, проводящему аварийно-спасательные работы на водах |
|
16 |
Пневмокаркасный модуль |
|
от 100000,0 |
Временное размещения людей, личного состава и оказания помощи пострадавшим. Модули имеют внутренние перегородки, разделяющие помещение на отсеки: бытовой и рабочим. Внутренние обшивки могут быть выполнены съемными и стационарными. Модули имеют односекционный каркас. Различие модификации модулей (полезная площадь от 18 до 35 м) легко соединяются между собой без применения монтажных средств в комплексное сооружение необходимого размера. Время наполнения модуля воздухом 6 - 12 минут. |
На пункт управления проведения аварийно-спасательных работ |
6. Средства связи
|
№ п/п |
Наименование имущества |
Общий вид |
Примерная стоимость, руб. |
Минимальные требовании к изделию или аналогу |
Кому положено |
|
1. |
Радиостанция КВ. стационарная |
|
от 70000,0 |
Обычным поиск по частоте, сканирование каналов памяти, сканирование в заданных участках. SmartSearch (автопоиск с записью до 50 каналов), сканирование приоритетного канала и др. Для контроля ±10, ±15, или ±63 частот/каналов от частоты/канала настройки. |
На пункт управления |
|
2. |
Радиостанция УКВ стационарная |
|
от 79000,0 |
Работа в диапазонах MF, HP, VHF, UHF в режимах SSB, CW, AМ, FM и цифровых режимах. Питание как от сети, так и от батареи. Двойной VFO, DSP, выбор режима работы AGC, IPO, встроенный электронный ключ, намять на 200 каналов. Обычный поиск по частоте, сканирование каналов памяти, сканирование в заданных участках. SmartSearch (автопоиск с записью до 50 каналов), сканирование приоритетного канала. |
На пункт управления |
|
3. |
Радиостанция УКВ автомобильная |
|
от 53000,0 |
Работа на волнах от 160 до 6 метров, а также на 2 м и 70 см. Питание от внутреннего аккумулятора (блок из 8 элементов АА). Мощность 5 Вт (SSВ, CW, NFM) или 1 Br (AМ). У станции два антенных разъема - BNC на передней панели и М (SO-239) на задней. Для нормальной работы на КВ потребуется внешний антенным тюнер, причем, стороннего производителя. |
На каждым автомобиль |
|
4. |
Радиостанция УКВ носимая |
|
от 33000,00 |
Передача в диапазонах 50 - 54, 140 - 174 и 420 - 470 МГц и двумя независимыми приемниками. Первым с непрерывным приемом в диапазоне от 500 кГц до 999,990 МГц. Второй - с приемом в диапазонах 30 - 76 и 108 - 580 МГц. Количество сохраняемых в памяти станций - 50. Количество сохраняемых в памяти сообщении APRS - 30. Настраиваемая частота мерцания светодиода сигнализирующего о получении сообщения. |
Каждому структурному подразделению формирований. |
|
5. |
Телефонный кабель полевой |
|
Провод
телефонный полевой П-274 |
Обеспеченно полевой связи: допускается прикладка в грунте, по земле, подвеска на опорах или местных предметах, кратковременная прокладка через водные преграды. Электрическое сопротивление токопроводящих жил на 1 км длины, не более - 65,0, сопротивление изоляции, не менее - 1000 МОм/км, электрическое сопротивление экрана, не более - 15 Ом/км, омическая асимметрия, не более - 3 Ом/км, изоляция проводов должна выдерживать испытание на проход напряжением 3000 В переменного тока. |
На пункт управления территориальных формировании и организации |
|
6. |
Телефонный аппарат полевой |
|
от 2500,0 |
Организация телефонной связи в полевых условиях. Дальность связи определяется дальностью приема вызова. Индукторный вызов должен нормально проходить через линию, имеющую на частоте 800 Гц затухание 5.5 Нп, что составляет дальность связи по кабельным линиям связи: П-274M - 35 - 40 км, П-268 - 40 - 45 км, ПВЛС (стальной провод d = 3 мм) - 150 - 170 км. |
На пункт управления |
|
7. |
Электромегафон |
|
от 14000,0 |
Подача голосовых сообщении и сигнала «Сирена» на открытом пространстве и в больших закрытых помещениях. Предельная слышимость, км: 1, выходная мощность, не менее, Вт: номинальная 6, максимальная - 12, ток потребления усилителя, не более, мА: в режиме молчания - 15, в режиме номинальной выходной мощности - 550, в режиме максимальном выходном мощности - 900, напряжение питания, В, постоянного тока: - 12 |
Каждому формированию |
|
|
Радиовещательным транзисторный приемник |
|
От 2500,0 |
Диапазоны принимаемых частот УКВ/FМ 88 - 108 МГц Св/АМ 540 - 1600 Кгц КB/SW 8 - 16 МГц MP3 плеер разъемы SD, USB, диапазоны волн УКВ/СВ/КВ, телескопическая антенна питание от сети 220 В и от батареек 3 шт. R20. |
На пункт управления проведением аварийно-спасательных работ |
|
8. |
Коммутатор молевой телефонным |
|
Полевой
телефонный коммутатор П-193М |
Обеспечение телефонной связи с удаленными и местными абонентами, В коммутатор включены двухпроводные линии с аппаратами системы МБ или полудуплексными радиостанциями. Работа в полевых условиях в диапазоне температур от -40 до +50 °С при относительной влажности окружающей среды до 80 %, а также до 98 % и температуре до - 1 - 30 °С. |
На пункт управления |
7. Пожарное имущество
|
№ п/п |
Наименование имущества |
Общий вид |
Примерная стоимость, руб. |
Минимальные требовании к изделию или аналогу |
Кому положено |
|
1. |
Комплект для резки электропроводов (ножницы для резки электропроводов, резиновые сапоги или галоши, перчатки ) |
|
Комплект
диэлектрический |
Речка кабеля и проводов в электроустройствах напряжением до 1000 В переменного тока и 1500 В постоянного тока |
Каждому формированию, принимающему участие в проведении НP |
|
2. |
Пояс пожарный спасательный с карабином |
|
от 1400,0 |
Страховка пожарных при работе на высоте, спасения людей и самоспасания пожарных во время тушения пожарив и проведения связанных с ними первоочередных аварийно-спасательных работ, а также для ношения топора пожарного и карабина. |
Каждой команде (группе) |
|
3. |
Боевая одежда пожарного, в том числе шлем, перчатки и сапоги резиновые пожарного |
|
от 6500,0 |
Защита тела человека от высокой температуры, тепловых потоков большей интенсивности и возможных выбросов пламени при работе в экстремальных ситуациях, возникающих при тушении пожара, проведения разведки и спасания людей. Комплектация: куртка и брюки, подшлемник, термостойкие специальные перчатки и сапоги резиновые. |
На 10 % личного состава каждого формировании, участвующего в выполнении неотложных работ |
|
4. |
Лампа бензиновая водопроводно-канализационная |
|
от 29000,0 |
Обнаружение загазованности воздушной среды в водопроводных, канализационных, теплофикационных, телефонных смотровых колодцах и в камерах метаном, сероводородом и углекислым газами. Степень зашить ЛБВК от воздействия окружающей среды должна быть IP23 согласно ГОСТ 14254-0. |
Каждому формированию, участвующему в выполнении неотложных работ |
|
5. |
Лестница штурмовка |
|
от 4000,0 |
Борьба с очагами пожара и выполнение спасательных работ на высотах, для подъема на этажи зданий через окна. Конструктивно должна состоять из двух параллельных тетив, жестко соединенных поперечными опорными ступеньками, и оборудованная крюком для подвески на опорную поверхность, высота 4 м, вес 11 кг. |
Каждой сводной спасательной команде, группе |
|
6. |
Газодымосос |
|
Дымосос от 30000,0 |
Удаление огнетушащего газа, порошка или аэрозоля, токсичных газов и дыма с температурой до 120 °С после срабатывания установки автоматического пожаротушения; нагнетания свежего воздуха с целью снижения температуры и токсичности газодымопылевоздушной среды. Стандартная комплектация: рукав всасывающий 5 м и рукав напорный 10 м. Возможна поставка с удлиненными рукавами напорными. |
Каждому пожарно-спасательному звену |
8. Вещевое имущество
|
№ п/п |
Наименование имущества |
Общий вид |
Примерная стоимость, руб. |
Минимальные требовании к изделию или аналогу |
Кому положено |
|
1. |
Шлем защитный брезентовый |
|
от 4500,0 |
Зашита головы, лица, органов зрения и дыхания в условиях сильно запылённой среды. Количество воздуха подаваемого под шлем в зону дыхания Г 220 - 280 л/мин. Комплектация: пластмассовая каска с регулируемым оголовьем, пелерина из брезентовой парусины, металлическая рамка со смотровым стеклом толщиной 3 мм, внутренняя защитная пластина из поликарбоната толщиной 2 мм, распределитель воздуха с воздухоподающим шлангом, уплотнитель с регулировкой для уменьшения проникания пыли под шлем. |
Личному составу формирований, непосредственно участвующему в проведении неотложных работ |
|
2. |
Шлем защитный пластмассовый |
|
от 5600,0 |
Защита головы при проведении всего спектра работ, связанных с тушением пожаров при проведении аварийно-спасательных работ. Шлем ШПМ современная разработка в области защиты человека от неблагоприятных факторов, связанных с тушением пожаров с учетом всех последних требовании в области пожарной защиты. |
Личному составу формирований, непосредственно участвующему в проведении неотложных работ |
|
3. |
Подшлемник шерстяной |
|
от 350,0 |
Дополнительная теплоизоляция головы, с прорезью для глаз или части лица, носится совместно с защитной каской в холодное время года. |
Личному составу формирований, непосредственно участвующему в проведении неотложных работ |
|
4. |
Рукавицы брезентовые |
|
от 50,0 |
Применение при сварочных, погрузочно-разгрузочных и прочих работах, сопряженных с риском получения травм рук. Характеристики: брезент пл. 500 гр/м2, оверлок, огнеупорная пропитка. |
Личному составу формирований, непосредственно участвующему в проведении неотложных работ |
|
5. |
Сапоги или ботинки с высокими борцами |
|
от 2500,0 |
Комбинированный: кожа натуральная т. 2,0 - 2,2 мм, ткань водоотталкивающая Cordura® и хольнитены с защитно-декоративным покрытием, вкладная стелька анатомическая износостойкая 2-х слойная, подошва монолитная маслобензостойкая резина FARADEI с высокой устойчивостью к истиранию и металлической вставкой. |
На штатную численность личною состава формирований |
|
6. |
Специальная одежда (зимняя, летняя) |
|
Комплект
специальной защитной одежды |
Экипировка спасателей. Основной материал для верха комплекта - ткань плащевая «Лама» темно-синего цвета с дисперсионным каучуковым покрытием или с мембранной пленкой «Катекс», основной материал для съемного утеплителя полотно нетканое объемное теплоизоляционное типа «синтепон», устойчивое к химчистке, 120 г/м2. |
На штатную численность личного состава формирований |
|
7. |
Сигнальная одежда (жилет со светоотражающими нашивками) |
|
от 250,00 |
Светоотражающий жилет, 2-й класс защиты, СОП 50 мм. |
На штатную численность личною состава формирований |
|
8. |
Теплое нижнее белье |
|
Вельс
мужское утепленное начесом |
Ткань: 100 % хлопок, плотность 230 г/кв. м. Размеры: с 88 по 130. рост: с 158 - 164 по 194 - 200, ГОСТ 31408-2009. |
На штатную численность личного состава формирований |
|
9. |
Фонарь налобный |
|
от 5000,0 |
Регулируемым и программируемый налобный фонарь. Режим повышенной яркости BOOST (205 люмен) обеспечивает дальность освещения до 90 м на срок до 20 сек. Работа на литиевых батарейках, что позволяет эффективно использовать фонарь при низких температурах. Один сверхмощный светодиод обеспечивает узкий регулируемым луч света дальностью до 90 м (в режиме BOOST). |
На штатную численность личного состава формирований |
|
10 |
Рюкзак 60 л |
|
от 5500,0 |
Герметичный рюкзак с подвесной системой для переноски габаритной груза. На 60 л. |
На штатную численность личного состава формирований |
|
11. |
Защитные очки |
|
от 150,0 |
Панорамный обзор, боковая и верхняя защита. |
На штатную численность личного состава формирований |
|
12. |
Свитер |
|
От 1100,0 |
Свитер с V-образным вырезом воротника, носится с сорочкой и галстуком. Усиливающие накладки на плечах и локтях, нагрудный карман с клапаном, погоны. Цвет: темно-синий, оливковый, черный (авиация МЧС).Состав: 30 % шерсть. 70 % нитрон. Материал накладок: ткань «Микротвил». |
На штатную численность личного состава формирований |
|
13. |
Карабин |
|
От 250,0 |
Металлическое звено со специальным открывающимся сегментом, соединяющий необходимых предметов с петлями или отверстиями. |
Для личного состава формирований выполняющих высотные работы |
|
14. |
Обвязка специзделие |
|
От 4500,0 |
Точки крепления страховочной веревки: заниженная поясная, регулируемая по высоте грудная и дополнительная точка на синие, быстро затягивающиеся разъемные регулировочные пряжки, широкие накладки на поясных и ножных ремнях для большего комфорта. Эвакуационная ручка на спине, разрывная нагрузка: не менее 15 кН. |
Для личного состава формирований выполняющих высотные работы |
|
15. |
Веревка спасательная |
|
от 2000,0 |
Нагрузка разрыва 1500 кгс; Нормальный диаметр - 11 мм; Средний вес - 4,5 кг; Нормированная длина - 50 метров; |
Дли личного состава формирований выполняющих высотные работы |
|
16. |
Спусковое устройство |
|
от 2300,0 |
Регулируемый спуск по веревке диаметром 10 - 11 мм с остановкой при отпускании рычага, также подъем по веревке в качестве зажима без изменения положения устройства. Материал: конструкционная сталь алюминиевые сплавы, диаметр используемой верёвки: 10 - 11 мм максимальная нагрузка: 200 кг, вес: 620 гр. |
Для личного состава формирований выполняющих высотные работы |
|
17. |
Зажим страховочный |
|
от 1700,0 |
Обеспечение безопасности и защиты от падения находящегося на высоте человека. Применяется для подъема по вертикальным пли наклонным веревочным перилам, для фиксации на них и организации самостраховки при выполнении высотных работ. |
Для личного состава формирований выполняющих высотные работы |
|
18. |
Усы самостраховки |
|
от 1700,0 |
Двоимая самостраховка из динамической веревки диаметром 10 мм снижает силу рывка, приходящуюся на человека, в момент остановки падения, усы разной длины для большего удобства пользователей. |
Для личного состава формирований выполняющих высотные работы |
|
19. |
Педаль рука-нога |
|
от 200,0 |
Регулируемый по длине ленточный строп ширимой 25 мм с петлёй на нижнем её конце. Регулировка длины ленточного стропа осуществляется при помощи алюминиевой пряжки «Крок», на верхнем конце ленточного стропа медали петля для соединительного карабина. |
Для личного состава формирований выполняющих высотные работы |
9. Автомобильная и специальная техника
|
№ п/п |
Наименование имущества |
Общий вид |
Примерная стоимость, руб. |
Минимальные требовании к изделию или аналогу |
Кому положено |
|
1. |
Транспорт пассажирский |
|
от 1500000,0 |
Для перевозки людей. |
Каждому территориальному формированию |
|
2. |
Специальная техника |
|
от 10000000,0 |
Оперативная доставка спасателей, специальною оборудования к месту возникновения чрезвычайных ситуаций природного и техногенного характера, обеспечения выполнения аварийно-спасательных и других неотложных работ, мероприятий по поиску и оказанию медицинской помощи пострадавшим, ликвидации локальных очагов пожаров, ведения радиационной и химической разведки, связи и оповещения в ходе ликвидации последствий аварий, катастроф и стихийных бедствии. |
Каждому формированию |
Краткая характеристика аварийно-спасательного инструмента
Аварийно-спасательный инструмент применяется при ведении работ, направленных на извлечение (разблокирование) пострадавших, при выполнении аварийно-спасательных и других неотложных работ.
ГОСТ Р 22.9.01-95 «Аварийно-спасательный инструмент и оборудование» устанавливает общие технические требования к аварийно-спасательному ручному инструменту и оборудованию для его энергообеспечения, предназначенных для применения в зонах чрезвычайных ситуаций, а также при отборе технических средств для оснащения подразделений аварийно-спасательных сил Единой государственной системы предупреждения и ликвидации чрезвычайных ситуаций (РСЧС).
Стандарт распространяется на следующие виды аварийно-спасательной техники:
ручной немеханизированный инструмент;
ручной механизированный инструмент;
оборудование энергообеспечения инструмента.
Примерный состав инструмента в комплектах по группам
|
Вид инструмента |
Типовые образцы |
|
Инструмент с электроприводом |
|
|
Машины отрезные дисковые |
МЭС-2203, ИЭ-2203 |
|
Ножницы ручные |
|
|
Молотки (ломы) |
ИЭ-4211А |
|
Перфораторы ручные |
ИЭ-4709Б, ИЭ-4707А |
|
Лебедки барабанные |
ЛУР-05, ТЛ-9, ЛМ-05 |
|
Тали |
|
|
Насосы погружные и перекачивающие |
«Улитка», «Гном» |
|
Пилы цепные по дереву |
|
|
Инструмент с пневмоприводом |
|
|
Машины отрезные дисковые |
ИП-2203А, ИП-2018 |
|
Ножницы ручные |
|
|
Молотки (ломы) |
ИП-4609, МО-7П, МПС-2 |
|
Перфораторы |
П163 (ПР-30) |
|
Ручной механизированный инструмент с мотоприводом |
|
|
Мотопилы цепные по дереву |
«Урал» |
|
Машины отрезные дисковые |
МИД-125 |
|
Мотоперфораторы |
МП-1 «Смена», МП-2 «Смена» |
|
Мотобетоноломы |
ИМ-4606, С-406М |
|
Мотолебедки |
МЛ-200М |
|
Универсальный комплект мотоинструмента |
УКМ |
|
Инструмент с гидроприводом |
|
|
Цилиндры одностороннего действия |
ЦГС-750-2, 5-160 |
|
Цилиндры (распорки, стойки) двустороннего действия |
ДГ-100 |
|
Вид инструмента |
Типовые образцы |
|
Разжимы (расширители) |
ЦГ-11 |
|
Резаки (кусачки) |
|
|
Разжимы-резаки двойного действия |
|
|
Ножницы |
НГ-16 |
|
Спасательные эластомерные силовые конструкции |
|
|
Эластомерные домкраты и подъемники |
СЭД-500 и ЭСП-50 |
|
Эластомерные заглушки для труб |
ЭЗТ-250 |
|
Эластомерные пластыри |
ЭПП-0,2, ЭПБ-0,02 |
1. Автономный гидравлический аварийно-спасательный инструмент
Комби-ножницы «Мерлан» предназначены для деформации, перемещения и разрушения силовых элементов конструкций при проведении противопожарных, аварийно-спасательных, ремонтно-восстановительных и монтажных работ.
Комби-ножницы работоспособны при любых метеорологических условиях, при температуре окружающей среды от -50 до +80 °С, а также под водой. Рабочая головка может поворачиваться относительно оси инструмента на 360°.
Технические характеристики:
|
Разжимающая сила на концах ножей |
27 - 30 кН |
|
Сжимающая сила на концах ножей |
37 - 45 кН |
|
Разжимающая сила на расстоянии 25 мм от концов ножей |
32 - 40 кН |
|
Сжимающая сила на расстоянии 25 мм от концов ножей |
44 - 53 кН |
|
Разжимающая сила на расстоянии 70 мм от концов ножей |
45 - 73 кН |
|
Максимальная режущая сила |
170 - 195 кН |
|
Усилие рукоятки гидронасоса не более |
300 Н |
|
Рабочий ход, измеренный на концах ножей |
250 мм |
|
Масса, не более |
12,0 кг |
|
Габаритные размеры (длина, ширина, высота) |
685×185×170 мм |
Комби-ножницы «Мерлан-Т» предназначены для перерезания тросов, арматурного прутка, кабеля и т.п.
Основные технические характеристики ножниц:
|
Усилие резания |
200 кН |
|
Усилие рукоятки гидронасоса не более |
200 кН |
|
Максимальный диаметр перерезаемого троса |
50 мм |
|
Максимальный диаметр перерезаемого арматурного прутка |
25 мм |
|
Максимальный диаметр перерезаемого кабеля |
50 мм |
|
Масса, не более |
9,0 кг |
Моторез МР-230 «Корунд» предназначен для резки металлических конструкций и различного проката, разделки транспортных средств.
Технические характеристики: резка материалов осуществляется армированными или алмазными кругами диаметром 230 мм; номинальная частота вращения отрезного круга 6180 об./мин; скорость резания листа из углеродистой стали толщиной 10 мм 10 см2/мин; тип двигателя - «Марс» 2-тактный карбюраторный с воздушным охлаждением; масса сухая не более 12 кг.
Мотобур МБ-1 предназначен для бурения скважин (шпуров) в немерзлых дисперсных грунтах для проведения взрывных работ, бурения выемок для установки опор ограждений. Бурение осуществляется сменными винтовыми бурами различных типоразмеров.
Технические характеристики: диаметр сменных буров 50, 100 мм; максимальная глубина бурения - 800 мм; тип двигателя - «Марс» 2-тактный карбюраторный с воздушным охлаждением; скорость вращения бура при номинальной мощности 1200 об./мин; масса не более 12 кг.
Пиротехнические ножницы предназначены для автономного ведения спасательных работ в труднодоступных местах при ликвидации последствий чрезвычайных ситуаций. Вспомогательного оборудования не требуется. В качестве источника питания используется холостой патрон диаметром 7,62 мм.
Технические характеристики пиротехнических ножниц:
|
Усилие резания |
20 т |
|
Вес ножниц |
14 кг |
|
Длина ножниц |
1 м |
|
Раскрытие концов ножей |
140 мм |
|
Время перезарядки |
3 - 5 с |
2. Гидравлический аварийно-спасательный инструмент «Спрут»
Кусачки КГС-80 предназначены для резания листового металла труб, перекусывания арматуры из стали.
Технические характеристики:
|
Рабочее давление |
80,0 МПа |
|
Максимальное усилие резания (в углублении) |
36,0 тс |
|
Диаметр перекусываемого прутка из арматурной стали |
32 мм |
|
Перерезание швеллера, двутавра |
№ 16 |
|
Раскрытие челюстей |
135 мм |
|
Применяемые масла |
АМГ-10 |
|
Масса готовых к работе кусачек |
13,0 кг |
|
Габаритные размеры (длина, ширина, высота) 755×220×160 мм |
|
Ножницы комбинированные НКГС-80 применяются для резания листов металла, труб, перекусывания арматуры из стали, а также для раздвигания, поднимания и удержания грузов в фиксированном положении.
Технические характеристики:
|
Рабочее давление |
80,0 МПа |
|
Максимальное усилие резания (в углублении) |
32,0 тс |
|
Диаметр перекусываемого прутка из арматурной стали |
36 мм |
|
Максимальное усилие стягивания |
9,5 тс |
|
Толщина перерезаемого стального листа |
10 мм |
|
Раскрытие челюстей |
335 мм |
|
Применяемые масла |
АМГ-10 |
|
Масса готовых к работе кусачек |
13,3 кг |
|
Габаритные размеры (длина, ширина, высота) |
850×200×160 мм |
Расширитель большой РБГС-80 применяется для перемещения различных объектов, проделывания проходов в завалах, расширения щелей в стыке трудно раздвигаемых объектов, удержания грузов в фиксированном положении, деформирования и стягивания.
Технические характеристики:
|
Рабочее давление |
80,0 МПа |
|
Максимальное раздвигающее усилие |
11,0 тс |
|
Максимальное тяговое усилие |
9,2 тс |
|
Раскрытие челюстей |
845 мм |
|
Применяемые масла |
АМГ-10 |
|
Масса готовых к работе расширителя |
21,6 кг |
|
Габаритные размеры (длина, ширина, высота) |
990×335×200 мм |
Расширитель средний РСГС-80 применяется для перемещения различных объектов, проделывания проходов в завалах, расширения щелей в стыке трудно раздвигаемых объектов, удержания грузов в фиксированном положении, деформирования и стягивания.
Технические характеристики:
|
Рабочее давление |
80,0 МПа |
|
Максимальное раздвигающее усилие |
11,0 тс |
|
Максимальное тяговое усилие |
5,7 тс |
|
Раскрытие челюстей |
795 мм |
|
Применяемые масла |
АМГ-10 |
|
Масса готовых к работе расширителя |
17,5 кг |
|
Габаритные размеры (длина, ширина, высота) |
940×265×30 мм |
Цилиндр с одним штоком ЦТС-1/80 применяется для приподнимания и удержания грузов, раздвижения или стягивания грузов.
Технические характеристики:
|
Рабочее давление |
80,0 МПа |
|
Максимальное раздвигающее усилие |
14,0 тс |
|
Максимальное тяговое усилие |
5,5 тс |
|
Рабочий ход штока |
335 мм |
|
Применяемые масла |
АМГ-10 |
|
Масса готовых к работе цилиндра |
13,4 кг |
|
Габаритные размеры (длина, ширина, высота) |
640×350×100 мм |
Цилиндр с двумя штоками ЦГС-2/80 применяется для приподнимания и удержания грузов, раздвижения или стягивания грузов.
Технические характеристики:
|
Рабочее давление |
80,0 МПа |
|
Максимальное раздвигающее усилие |
14,0 тс |
|
Максимальное тяговое усилие |
5,5 тс |
|
Рабочий ход штока |
2×275 мм |
|
Применяемые масла |
АМГ-10 |
|
Масса готовых к работе цилиндра |
19,3 кг |
|
Габаритные размеры (длина, ширина, высота) |
900×390×1000 мм |
Расширитель короткий РКГС-80 предназначен для перемещения различных объектов, расширения щелей, удержания грузов в фиксированном положении, деформирования и стягивания.
Технические характеристики:
|
Толкающая сила |
52 кН |
|
Раскрытие челюстей |
562 мм |
|
Масса готовых к работе расширителя |
17,6 кг |
|
Габаритные размеры (длина, ширина, высота) |
775×205×265 мм |
Цилиндр телескопический большой ЦТБС-80 предназначен для приподнимания и удержания грузов.
Технические характеристики:
|
Рабочее давление |
80,0 МПа |
|
Усилие первой ступени |
24,0 тс |
|
Усилие второй ступени |
9,4 тс |
|
Ход первой ступени |
389 мм |
|
Ход второй ступени |
353 мм |
|
Масса готовых к работе цилиндра |
16,35 кг |
|
Габаритные размеры (с рукавами) |
533×104×347 мм |
|
Габаритные размеры (без рукавов) |
533×104×304 мм |
Цилиндр телескопический малый ЦТМС-80 предназначен для приподнимания и удержания грузов.
Технические характеристики:
|
Рабочее давление |
80,0 МПа |
|
Усилие первой ступени |
24,0 тс |
|
Усилие второй ступени |
9,4 тс |
|
Ход первой ступени |
158 мм |
|
Ход второй ступени |
136 мм |
|
Масса |
10,25 кг |
|
Габаритные размеры (с рукавами) |
303×104×347 мм |
|
Габаритные размеры (без рукавов) |
303×104×304 мм |
Тросорез ТДПС-80 предназначен для дистанционного перекусывания стальных тросов и арматуры диаметром до 25 мм.
Технические характеристики:
|
Рабочее давление |
80 МПа |
|
Масса |
1,7 кг |
|
Габаритные размеры (длина, ширина, высота) |
205×90×55 мм |
Кусачки (скоба) КСДС-80 предназначены для дистанционного перекусывания стальных арматуры диаметром до 25 мм и элементов металлоконструкций, входящих в размер скобы.
Технические характеристики:
|
Рабочее давление |
80 МПа |
|
Масса |
2,9 кг |
|
Габаритные размеры (длина, ширина, высота) |
230×85×55 мм |
Расширитель дверной РДС-80 предназначен для аварийного вскрытия дверей, расширения узких щелей. Комплектуется ручным насосом с быстроразъемным соединением.
Технические характеристики:
|
Рабочее давление |
80 МПа |
|
Выход штока |
70 мм |
|
Масса |
5 кг |
|
Габаритные размеры (длина, ширина, высота) |
250×110×100 мм |
Отрыватель петель ОПС-80 предназначен для аварийного срезания дверных петель. Комплектуется ручным насосом с быстроразъемным соединением.
Технические характеристики:
|
Рабочее давление |
80 МПа |
|
Выход штока |
35 мм |
|
Масса |
5,2 кг |
|
Габаритные размеры (длина, ширина, высота) |
260×130×90 мм |
Гидростанция с бензоприводом СГС-1-80Д применяется для обеспечения гидравлической энергией аварийно-спасательных инструментов.
Технические характеристики:
|
Рабочее давление |
80,0 МПа |
|
Расход |
1,2 л/мин |
|
Производительность (10/76 МПа) |
2200/800 см3/мин |
|
Масса |
15,5 кг |
|
Габаритные размеры (длина, ширина, высота) |
420×320×340 мм |
Гидростанция с бензоприводом СГС-2п-80Д применяется для попеременной подачи гидравлической энергии на два инструмента.
Технические характеристики:
|
Рабочее давление |
80,0 МПа |
|
Расход |
1,2 л/мин |
|
Производительность (10/76 МПа) |
1000/250 см3/мин |
|
Масса |
18 кг |
|
Габаритные размеры (длина, ширина, высота) |
420×280×380 мм |
Гидростанция с электроприводом СГС-1-80Э применяется для обеспечения гидравлической энергией аварийно-спасательных инструментов.
Технические характеристики:
|
Рабочее давление |
80,0 МПа |
|
Напряжение |
220 В |
|
Производительность (10/76 МПа) |
1000/300 см3/мин |
|
Масса |
14 кг |
|
Габаритные размеры (длина, ширина, высота) |
450×240×340 мм |
Насос ручной HPC-2/80 применяется для обеспечения гидравлической энергией аварийно-спасательных инструментов. Тип насоса - двухступенчатый.
Технические характеристики:
|
Рабочее давление |
80,0 МПа |
|
Полезный объем масла |
1100 см2 |
|
Рабочий объем 1 (2) ступени на каждый такт |
1 см2 (2 см2) |
|
Применяемые масла |
АМГ-10 |
|
Масса готовых к работе насоса |
7,45 кг |
|
Габаритные размеры (длина, ширина, высота) |
610×160×155 мм |
Катушка однорядная КУС-1/15 применяется для подключения гидравлического инструмента, расположенного на расстоянии до 15 м от источника энергии.
Технические характеристики:
|
Рабочее давление |
80,0 МПа |
|
Максимальное усилие на ручку барабана |
8,0 кгс |
|
Количество барабанов |
1 |
|
Количество рукавов на барабане |
2×15 м |
|
Масса готовой к работе катушки |
7,4 кг |
|
Габаритные размеры (длина, ширина, высота) |
380×300×470 мм |
Катушка двухрядная КУС-2/15 применяется для подключения гидравлического инструмента, расположенного на расстоянии до 15 м от источника энергии.
Технические характеристики:
|
Масса |
21,0 кг |
|
Габаритные размеры (длина, ширина, высота) |
500×460×450 мм |
3. Гидравлический аварийно-спасательный инструмент «Медведь»
Кусачки специальные КС-2080М предназначены для перекусывания арматурной стали и прутков из любых незакаленных материалов.
Могут быть использованы для перекусывания гаек, болтовых соединений при демонтаже и ремонте любого вида оборудования и сооружений (мосты, железные дороги, авто-судоремонт и т.д.).
Технические характеристики:
|
Рабочее давление |
80,0 МПа |
|
Диаметр перекусываемого прутка из арматурной стали |
30,0 мм |
|
Перерезание гайки диаметром |
27 мм |
|
Масса готовых к работе кусачек |
12,5 кг |
|
Габаритные размеры |
785×200×184 мм |
Ножницы комбинированные НК-2080М предназначены для расширения узких проемов, подъема, перекусывания, удержания в неподвижном состоянии объектов перекусывания и резки стальных прутков, уголков и других профилей, сжатия труб.
Технические характеристики:
|
Рабочее давление |
80,0 МПа |
|
Диаметр перекусываемого прутка из арматурной стали |
25,0 мм |
|
Толщина перерезаемого стального листа |
10,0 мм |
|
Раскрытие челюстей |
240,0 мм |
|
Масса готовых к работе кусачек |
17,2 кг |
|
Габаритные размеры, мм |
560×315×177 мм |
Резак универсальный РУ-2080М предназначен для перекусывания и резания стальных прутков, труб, уголков и других профилей, тросов, кабелей и др.
Технические характеристики:
|
Рабочее давление |
80,0 МПа |
|
Диаметр перекусываемого прутка из арматурной стали |
25,0 мм |
|
Перерезание стального каната |
40 мм |
|
Масса готовых к работе кусачек |
14,5 кг |
|
Габаритные размеры |
460×283×177 мм |
Насос ручной РН-2080М. Двухступенчатый насос предназначен для подачи рабочей жидкости в гидравлический инструмент. Приводится в действие рукой оператора. Может быть использован для привода гидроинструмента во взрывопожароопасных помещениях, шахтах и др.
Технические характеристики:
|
Рабочее давление |
80,0 МПа |
|
Полезный объем масла |
2000,0 см3 |
|
Рабочий объем на каждый такт, не менее |
11,0 см3 |
|
Масса |
7,45 кг |
|
Габаритные размеры |
664×200×170 мм |
Катушка-удлинитель КУ-2080-1/10М предназначена для транспортировки и хранения рукавов высокого давления и подачи рабочей жидкости от насосной станции к исполнительному гидроустройству.
Технические характеристики:
|
Рабочее давление |
80,0 МПа |
|
Количество рукавов на каждом барабане: |
|
|
напорных |
1×10 м |
|
сливных |
1×10 м |
|
Масса готовой к работе катушки |
10 кг |
|
Габаритные размеры |
460×265×446 мм |
Насосная станция НС-2080-2М (М) предназначена для одновременной работы двумя (одним) инструментами. Используется в качестве привода для подачи жидкости под высоким давлением в рабочие полости гидроинструмента. В качестве привода используется 4-х тактный двигатель внутреннего сгорания или электродвигатель с напряжением 220/380 В.
Технические характеристики:
|
Рабочее давление |
80,0 МПа |
|
Производительность: |
|
|
при давлении до 10,0 МПа |
2000 0 см3/мин |
|
при давлении до 80,0 МПа |
2×550,0 см3/мин |
|
Мощность привода |
2,6 кВт |
|
Масса готовой к работе станции |
24 кг |
|
Габаритные размеры |
480×320×360 мм |
Силовой цилиндр СЦ-2080-1М позволяет поднимать, перемещать, удерживать в неподвижном состоянии различные объекты. Оснащен гидрозамками. Комплект принадлежностей позволяет захватывать и удерживать элементы конструкций, прутки, рельсы, другой профиль, производить монтаж и демонтаж оборудования на сыпучих грунтах.
Технические характеристики:
|
Рабочее давление |
80,0 МПа |
|
Максимальное раздвигающее усилие |
22,0 тс |
|
Максимальное тяговое усилие |
13,0 тс |
|
Рабочий ход штока |
400 мм |
|
Масса готового к работе расширителя |
15 кг |
|
Габаритные размеры |
660×120×220 мм |
|
Набор принадлежностей включает в себя: |
|
|
цепи универсальные - 2 шт.; |
|
|
крюки универсальные - 2 шт.; |
|
|
опоры для силового цилиндра СЦ-2080-1М - 2 шт.; |
|
|
захват для листовых материалов - 2 шт.: |
|
|
удлинитель для силового цилиндра СЦ-2080-1М - 1 шт.; |
|
|
специальные насадки для СЦ-2080-1М при работе с цепями - 2 шт. |
|
4. Пневматический инструмент
Комплект эластичного домкрата включает в себя надувную подушку, соединенную пневморукавами с пультом управления и источником сжатого воздуха. Определяющую роль занимает эластичная пневмоподушка, выполненная из резины и армирующего материала. Поверхность подушки выполнена ребристой. Небольшой вес домкратов позволяет легко транспортировать или переносить их к месту проведения работ. Быстрое наполнение пневмоподушек позволяет эффективно осуществлять подъемные и ремонтные работы при температуре от -40 до +50 °С. Применение домкратов не предъявляет особых требований к твердости основания в форме поднимаемого груза.
|
Характеристики |
Модель |
|||||
|
ПДВ-1 |
ПДВ-2 |
ПДВ-3 |
ПДВ-4 |
ПДВ-5 |
ПДВ-6 |
|
|
Размеры, мм |
300×250 |
370×370 |
550×550 |
500×1000 |
1020×310 |
960×960 |
|
Грузоподъемность, т |
5 |
10 |
20 |
35 |
25 |
65 |
|
Высота подъема, мм |
150 |
200 |
280 |
300 |
200 |
520 |
|
Давление, кгс/см2 |
8 |
8 |
8 |
8 |
8 |
8 |
|
Масса, кг |
2,6 |
4,5 |
15 |
24 |
10 |
35 |
|
Заместитель Министра Российской Федерации по делам гражданской обороны, чрезвычайным ситуациям и ликвидации последствий стихийных бедствий генерал-полковник внутренней службы |
А.П. Чуприян |
СОДЕРЖАНИЕ