Изменение № 4 ГОСТ 25792-85 Приемники морской подвижной службы. Основные параметры, технические требования и методы измерений
Утверждено и введено в действие Постановлением Государственного комитета СССР по управлению качеством продукции и стандартам от 27.10.89 № 3227
Дата введения 01.01.91
Наименование стандарта. Заменить слова: «Основные параметры, технические требования и методы измерений» на «Параметры, общие технические требования и методы измерений»; «Basic parameters, technical requirements» на «Parameters, general technical requirements».
На обложке и первой странице под обозначением стандарта заменить обозначение: (СТ СЭВ 1805-79) на (СТ СЭВ 1805-88).
Раздел 1. Наименование. Исключить слово: «Основные».
Пункт 1.2. Третий абзац. Заменить слова: «декадных переключателей или тастатуры» на «тастатуры. Допускается применение декадных переключателей».
Пункт 1.3 и таблицу 1 (кроме примечаний) изложить в новой редакции: «1.3. Ширина полосы пропускания приемника по промежуточной частоте должна выбираться из ряда, приведенного в табл. 1.
Таблица 1
|
Наименование полосы пропускания |
Ширина полосы пропускания по уровню ослабления |
|
|
3 дБ, Гц, номинальное значение |
60 дБ, Гц, не более |
|
|
Предельно узкая |
±60 |
±400 |
|
Узкая 1 |
±135 |
±550 |
|
Узкая 2 |
±150 |
±650 |
|
Средняя |
±600 |
±1600 |
|
Широкая 1 |
±1100 |
±2600 |
|
Широкая 2 |
±3000 |
±8500 |
|
Канал ОБП 1 |
От 350 до 2700 |
От -300 до +3500 |
|
Канал ОБП 2 |
От 300 до 3400 |
От -300 до +5100 |
сноску исключить;
примечание 2 изложить в новой редакции: «2. Допускается дополнять номенклатуру полос пропускания».
Пункт 1.4. Заменить слова: «Основные электрические параметры» на «Значения электрических параметров»;
таблица 2. Головка. Заменить слова: «Наименование параметра» на «Параметр», «Норма» на «Значение параметра»;
пункты 4, 5, 16 изложить в новой редакции:
|
Параметр |
Значение параметра для категории сложности |
|
|
первая |
вторая |
|
|
4. Избирательность по соседнему каналу, дБ, не менее, при отстройке помехи на: |
||
|
±3 кГц |
50,55* |
40 |
|
±6 кГц |
60,65* |
50 |
|
±10 кГц |
70,75* |
60 |
|
5. Интермодуляционная избирательность относительно 1 мкВ, дБ, не менее, при отстройке ближайшей помехи на: |
||
|
±50 кГц |
85 |
78 |
|
±3 % (или ±100 кГц) |
95 |
85 |
|
16. Время перестройки, с, не более |
0,2; 0,05 |
1,0 |
пункт 13. Заменить слова: «взаимной модуляции» на «интермодуляции»;
примечания исключить.
Раздел 1 дополнить пунктом - 1.5: «1.5. В приемниках, у которых первая промежуточная частота ниже 90 МГц, допускается снижение уровня внеполосных помех, образующих составляющую интермодуляции вида f1 + f2 = fп4 до 80 и 70 дБ мкВ и ослабление побочного канала вида fп = fп4/2 до 76 и 66 дБ соответственно для приемников первой и второй категорий сложности».
Раздел 2. Наименование изложить в новой редакции: «2. Общие технические требования».
Пункт 2.1. Наименование изложить в новой редакции: «2.1. Требования назначения».
Пункт 2.1.2. Исключить обозначение: R3E (А3А).
Пункт 2.1.6. Исключить слова: «согласованы с заказчиком и».
Пункт 2.1.7 исключить.
Пункт 2.1.9 перед словом «Возможность» дополнить словами: «Должна быть обеспечена»; исключить слова: «а также».
Пункт 2.1.10. Заменить ссылку: ГОСТ 14662-83 на ГОСТ 14663-83.
Пункт 2.1.12 изложить в новой редакции: «2.1.12. Приемники в режиме приема излучения F1B должны обеспечивать вероятность ошибки не более 10-2 при отношении сигнал/шум в канале 12 дБ».
Пункт 2.1.13. Четвертый абзац изложить в новой редакции: «выход на внешний громкоговоритель мощностью не менее 2 Вт»;
двенадцатый, пятнадцатый абзацы. Заменить слово: «нажатие» на «посылка»;
тринадцатый абзац. Заменить слово: «отжатие» на «пауза».
шестнадцатый - восемнадцатый абзацы изложить в новой редакции: «пауза» - минус (20 ± 5) В;
выход на буквопечатающую аппаратуру при скорости телеграфирования до 200 Бод с параметрами на нагрузке (3000 ± 300) Ом:
«посылка»
- плюс (
)
В,
«пауза»
- минус (
)
В.
выход на буквопечатающую аппаратуру со скоростью телеграфирования до 200 Бод с параметрами на нагрузке £ 200 Ом:
«посылка» - (40 ± 4) мА,
«пауза» - 0 мА;
выход сигнала J2B, принимаемого в полосе пропускания «Узкая 1» на звуковой частоте 1700 Гц с уровнем 0 дБм;
входы и выходы, обеспечивающие работу с аппаратурой цифрового селективного вызова и автоматической телеграфии - в соответствии с рекомендациями МККР».
Пункты 2.1.15 - 2.1.17 исключить.
Раздел 2 дополнить пунктами - 2.1.15а, 2.1.16а: «2.1.15а. Система декодирования радиосигналов при приеме излучения класса F1B должна соответствовать приведенной в табл. 2а.
Таблица 2а
|
Частота принимаемого излучения |
Аппараты телеграфные и устройства перфорирующие |
Оборудование использующее код Морзе |
||||||
|
Международный телеграфный алфавит № 2 |
Сигнал с семью знаками* |
Передача данных |
Телетайп |
|||||
|
Верхняя |
Пауза |
Старт |
Без перфорации |
А** |
В |
0 |
Линия свободна |
Посылка |
|
Нижняя |
Посылка |
Стоп |
Перфорация |
Z** |
Y |
1 |
Линия в состоянии покоя |
Пауза |
* В радиоканале.
** В проводной цепи.
2.1.16а. Система декодирования радиосигналов относительной фазовой телеграфии (класс излучения G1B) должна удовлетворять следующим требованиям:
при приеме радиосигнала, в котором фаза последующей посылки изменяется на 180° по сравнению с предыдущей, на телеграфном выходе приемника должно обеспечиваться состояние «Посылка» (посылка положительной полярности для электронной регистрирующей и буквопечатающей аппаратуры;
при приеме радиосигнала, в котором фаза последующей посылки остается неизменной по сравнению с предыдущей, на телеграфном выходе приемника должно обеспечиваться состояние «Пауза» (нулевая посылка для электронной регистрирующей аппаратуры и отрицательной полярности для буквопечатающей аппаратуры)».
Пункт 2.2.1. Первый абзац. Исключить слово: «номинальным»; последний абзац изложить в новой редакции: «Приемник должен сохранять работоспособность после кратковременного (не более 1,5 с) изменения напряжения на плюс 20 и минус 30 %.
Электропитание
приемников должно также обеспечиваться от источников постоянного тока
напряжением (
)
В.
Система питания должна обеспечивать автоматический переход на питание от сети 24 В при пропадании напряжения в сети 220 В и автоматическое возвращение на питание от сети 220 В при появлении этого напряжения».
Пункты 2.2.2, 2.3.2 изложить в новой редакции: «2.2.2. Потребляемая мощность не должна превышать 60/75 В×А для первой и второй категорий сложности.
Примечание. В знаменателе приведена потребляемая мощность для приемников с внешним преселектором и для приемников со встроенным преселектором, обеспечивающим ослабление помех при отстройке 10 %.
2.3.2. Масса приемника должна быть не более 25/30 кг.
Примечание. В знаменателе приведена масса для приемников со встроенным преселектором».
Раздел 2 дополнить пунктами - 2.3.3, 2.3.4: «2.3.3. Объем приемника с внешним преселектором не должен превышать 50 дм3.
2.3.4. Узлы, подвергающиеся уходу, должны быть легко доступными и заменяемыми».
Пункты 2.4, 2.5.1, 2.5.2 изложить в новой редакции: «2.4. Требования стойкости к климатическим и механическим воздействиям
2.4.1. Требования стойкости к климатическим и механическим воздействиям должны соответствовать «Правилам по конвенционному оборудованию морских судов» Регистра СССР.
2.4.2. Параметры приемника при воздействии дестабилизирующих факторов следует измерять теми же методами, что и в нормальных условиях. Объем контролируемых при этом параметров и допускаемые отклонения должны быть указаны в ТУ на приемники конкретного типа.
2.5.1. Приемник должен быть рассчитан на непрерывную 24-часовую работу. Средний срок службы должен быть не менее 15 лет.
2.5.2. Средняя наработка на отказ должна быть не менее 5000 ч».
Раздел 2 дополнить пунктами - 2.5а - 2.5а.3, 2.6а: «2.5а. Требования по техническому обслуживанию и ремонту
2.5а.1. Конкретные требования по средней стоимости технического обслуживания (ТО), средней трудоемкости и средней стоимости ТО приемников устанавливают в эксплуатационной документации.
2.5а.2. Время готовности приемника от момента включения источника питания не должно превышать 15 мин. При предварительно прогретом генераторе опорной частоты время готовности приемника не должно превышать 1 мин.
2.5а.3. Выбранная частота приема должна четко индицироваться на передней панели приемника.
2.6а. Требования по транспортированию
Транспортирование упакованных приемников допускается авиационным, водным, железнодорожным (в крытых вагонах) и автомобильным (в закрытых автомобилях) транспортом без ограничения расстояния».
Пункты 2.6.1. Заменить слова: «Правилам технической эксплуатации электроустановок потребителей» и «Правилам техники безопасности при эксплуатации электроустановок потребителей», утвержденным Госэнергонадзором» на «Правилам устройства электроустановок» (ПУЭ-85), утвержденным Минэнерго СССР».
Пункт 2.6.2. Исключить слова: «к средствам испытаний и измерений».
Раздел 2 дополнить пунктами - 2.7а - 2.7а.3 (перед п. 2.7): «2.7а. Требования к радиоэлектронной защите
2.7а.1. Напряженность поля от излучения гетеродинов приемника не должна превышать значений, установленных в «Общесоюзных нормах допускаемых индустриальных помех» (Нормы 15-78, группа 1.3.1).
2.7а.2. Приемник должен обеспечивать работоспособность во внешних электромагнитных полях в соответствии с «Общесоюзными нормами внешней помехозащищенности радиоприемников фиксированной и подвижной служб декаметрового диапазона волн» (Нормы 22-86).
2.7а.3. Помехозащищенность приемников по цепям питания должна быть не менее 80 дБ в диапазоне рабочих частот».
Пункт 3.1.1. Таблица 3. Графа «Норма». Для датчика испытательных телеграфных сигналов заменить слова: «нажатие» на «посылка», «отжатие» на «пауза».
Пункт 3.1.2. Исключить слова: «указанных в табл. 2».
Пункт 3.1.5 изложить в новой редакции: «3.1.5. Для измерения электрических параметров приемников допускается использовать измерительную аппаратуру с номинальными значениями параметров, отличающимися от норм, указанных в табл. 3 при условии обеспечения необходимой точности измерений параметров».
Пункт 3.2.1. Заменить значение: 298 - 308 К на 288 - 308 К.
Пункт 3.2.2 исключить.
Пункт 3.2.9. Исключить слова: «резистивные», «(тройники)».
Пункт 3.3.2. Второй абзац. Исключить слова: «100 или 1000».
Пункт 3.3.3. Второй абзац изложить в новой редакции: «Допускается измерять коэффициент шума по схеме, приведенной на черт. 2»;
третий абзац перед словом «Измеряют» дополнить словами: «При этом».
Пункт 3.3.4. Формула (1). Экспликация. Заменить слово: «фильтра*» на «фильтра (узкополосный фильтр входит в состав измерителя нелинейных искажений)»;
сноску* исключить.
Пункт 3.3.5. Четвертый абзац. Заменить обозначение: fпр на fпч;
шестой абзац после слов «на частотах» дополнить словами: «(fп), определяемых по формуле».
Пункт 3.3.7. Первый абзац. Исключить ссылку: п. 2.1.11; восьмой, десятый абзацы. Заменить значение: 20 кГц на 50 кГц.
таблица 4. Графа «Условие выбора частот». Заменить формулу:
f1 + 1/2fпч ± Df на f1 = 1/2fпч ± Df.
Пункт 3.3.8. Шестой абзац. Заменить ссылку: (п. 1.4, табл. 2, п. 4) на (п. 1.4, табл. 2, п. 6).
Пункт 3.3.9. Первый абзац. Исключить обозначение: R3E;
восьмой - пятнадцатый абзацы исключить.
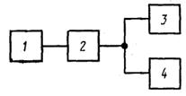
Раздел 3 дополнить пунктом - 3.3.11а (после п. 3.3.11): «3.3.11а. Измерение отклонения частоты настройки приемника от номинального значения (п. 1.4, табл. 2, пп. 10, 11) проводят в соответствии с черт. 6а.

1 - источник эталонного сигнала со стабильностью 1´10-9; 2 - приемник; 3 - электронно-счетный частотомер: 4 - эквивалент нагрузки
Черт. 6а
Отклонение частоты настройки приемника измеряют на выходе звуковой частоты приемника в режиме J3E.
Частоту настройки приемника устанавливают ниже частоты источника эталонного сигнала на 1000 Гц.
Относительное отклонение частоты настройки приемника определяют как Df/f, где Df - отклонение частоты по отношению к 1000 Гц;
f - частота источника эталонного сигнала».
Пункт 3.3.13. Первый, последний абзацы. Заменить слова: «взаимной модуляции» на «интермодуляции»;
четвертый абзац. Заменить значение: 1200 Гц на 1100 Гц;
примечание 2 исключить.
Пункт 3.3.15. Первый абзац. Исключить обозначение: R3E;
второй абзац. Заменить обозначение: РАУ на АРУ.
Пункт 3.3.16. Второй абзац. Заменить слова: «когерентной внутреннему генератору» на «когерентной частоте внутреннего генератора»; последний aбзац исключить.
Пункт 3.3.17 дополнить абзацем: «Перед измерением коэффициента шума при подаче входного сигнала уровнем от 30 до 100 В допускается замена перегоревших элементов защиты приемника»;
чертеж 9. Заменить обозначение: R9 на Rэ.
Пункт 3.3.18. Третий абзац. Заменить слова: «разряда как» на «разряда АРУ (tр) как»;
четвертый абзац. Заменить слова: «заряда как» на «заряда АРУ (t3) как».
Пункт 3.3.23. Заменить ссылки: пп. 2.1.1 - 2.1.3, 2.1.7 - 2.1.18, 2.2.1 - 2.2.2, 2.3.1 - 2.3.2, 2.4 на пп. 2.1.1 - 2.1.3, 2.1.8 - 2.1.11, 2.1.13 - 2.1.14, 2.1.18, 2.2.1, 2.2.2, 2.3.1 - 2.3.3, 2.4.1, 2.4.2.
Раздел 3 дополнить пунктами - 3.3.25, 3.3.26: «3.3.25. Напряженность поля от излучения гетеродинов приемника (п. 2.7а.1) измеряют методами, указанными в Нормах 15-78.
3.3.26. Параметры внешней помехозащищенности приемников (п. 2.7а.2) и помехозащищенности по цепям питания (п. 2.7а.3) измеряют методами, указанными в Нормах 22-86».
Приложение 1 изложить в новой редакции:
Справочное
ТЕРМИНЫ И ПОЯСНЕНИЯ
|
Термин |
Пояснение |
|
Наработка на отказ |
Отношение наработки восстанавливаемого объекта к математическому ожиданию числа его отказов в течение этой наработки |
|
Среднее время восстановления |
Математическое ожидание времени восстановления работоспособного состояния |
|
Работоспособность приемника |
Состояние объекта, при котором значения параметров, характеризующих способность выполнять заданные функции, соответствуют требованиям конструкторской документации |
|
Квазиплавная настройка |
Настройка приемника в диапазоне рабочих частот, осуществляемая одной плавно вращающейся ручкой. При этом происходит перестройка приемника с минимальным шагом сетки используемого синтезатора |
|
Класс излучения |
По ГОСТ 24375-80 |