Приказ Федеральной службы по тарифам от 13 октября 2010 г. N 484-э

Об утверждении Порядка определения цен на мощность и электрическую энергию, производимые с использованием генерирующего объекта, поставляющего мощность и электрическую энергию в вынужденном режиме

В соответствии с постановлением Правительства Российской Федерации от 24 февраля 2010 года N 89 "О некоторых вопросах организации долгосрочного отбора мощности на конкурентной основе на оптовом рынке электрической энергии (мощности)" (Собрание законодательства Российской Федерации, 2010, N 15, ст. 1803), приказываю:

1. Утвердить Порядок определения цен на мощность и электрическую энергию, производимые с использованием генерирующего объекта, поставляющего мощность и электрическую энергию в вынужденном режиме, в соответствии с приложением.

2. Настоящий приказ вступает в силу в установленном порядке.

Руководитель

С.Г. Новиков

Зарегистрировано в Минюсте РФ 13 ноября 2010 г.

Регистрационный N 18948

Приложение

Порядок
определения цен на мощность и электрическую энергию, производимые с использованием генерирующего объекта, поставляющего мощность и электрическую энергию в вынужденном режиме

Содержание

I. Общие положения

II. Основные методологические положения по определению цен на мощность и электрическую энергию, производимые с использованием генерирующего объекта, поставляющего мощность и электрическую энергию в вынужденном режиме

III. Расчет цен на мощность и электрическую энергию, производимые с использованием генерирующего объекта тепловой и гидравлической электрической станции, поставляющего мощность и электрическую энергию в вынужденном режиме

IV. Расчет цен на мощность и электрическую энергию, производимые с использованием генерирующего объекта эксплуатирующей организации, осуществляющей деятельность в области использования атомной энергии, поставляющего мощность и электрическую энергию в вынужденном режиме

I. Общие положения

1. Настоящий Порядок определения цен на мощность и электрическую энергию, производимые с использованием генерирующего объекта, поставляющего мощность и электрическую энергию в вынужденном режиме (далее - Порядок), разработан в соответствии с постановлением Правительства Российской Федерации от 24 февраля 2010 года N 89 "О некоторых вопросах организации долгосрочного отбора мощности на конкурентной основе на оптовом рынке электрической энергии (мощности)" (Собрание законодательства Российской Федерации, 2010, N 15, ст. 1803), а также на основании Федерального закона от 26 марта 2003 года N 35-ФЗ "Об электроэнергетике" (Собрание законодательства Российской Федерации, 2003, N 13, ст. 1177; 2004, N 35, ст. 3607; 2005, N 1 (часть 1), ст. 37; 2006, N 52 (часть 1), ст. 5498; 2007, N 45, ст. 5427; 2008, N 29 (часть 1), ст. 3418; N 52 (часть 1), ст. 6236; 2009, N 48, ст. 5711; 2010, N 11, ст. 1175, N 31, ст. 4156, N 31, ст. 4157, N 31, ст. 4160) (далее - Закон об электроэнергетике), Правил оптового рынка электрической энергии (мощности) переходного периода, утвержденных постановлением Правительства Российской Федерации от 24 октября 2003 года N 643 (Собрание законодательства Российской Федерации, 2003, N 44, ст. 4312; 2005, N 7, ст. 560; N 8, ст. 658; N 17, ст. 1554; N 43, ст. 4401; N 46, ст. 4677; N 47, ст. 4930; 2006, N 36, ст. 3835; 2007, N 1 (часть 2), ст. 282; N 16, ст. 1909; 2008, N 2, ст. 84; N 3, ст. 182; N 27, ст. 3285; 2009, N 9, ст. 1103; N 23, ст. 2822; N 32, ст. 4040; N 38, ст. 4479; N 43, ст. 5066; N 46, ст. 5500; N 47, ст. 5667; N 52 (часть 1), ст. 6575; 2010, N 15, ст. 1803; N 12, ст. 1333; N 11, ст. 1216; N 18, ст. 2239; N 21, ст. 2610; N 23, ст. 2848; N 25, ст. 3175; N 37, ст. 4708) (далее - Правила оптового рынка), Основ ценообразования в отношении электрической и тепловой энергии в Российской Федерации, утвержденных постановлением Правительства Российской Федерации от 26 февраля 2004 года N 109 (Собрание законодательства Российской Федерации, 2004, N 9, ст. 791; 2005, N 1 (часть 2), ст. 130; N 43, ст. 4401; N 47, ст. 4930; N 51, ст. 5526; 2006, N 23, ст. 2522; N 36, ст. 3835; N 37, ст. 3876; 2007, N 1 (часть 2), ст. 282; N 14, ст. 1687; N 16, ст. 1909; 2008, N 2, ст. 84; N 25, ст. 2989; N 27, ст. 3285; 2009, N 8, ст. 980; N 8, ст. 981; N 8, ст. 982; N 12, ст. 1429; N 25, ст. 3073; N 26, ст. 3188; N 32, ст. 4040; N 38, ст. 4479; N 38, ст. 4494; N 52 (часть 1), ст. 6575; 2010, N 12 ст. 1333; N 15, ст. 1808; N 21, ст. 2610; N 23, ст. 2837; N 37, ст. 4708; N 40, ст. 5102) (далее - Основы ценообразования).

2. Порядок предназначен для использования Федеральной службой по тарифам (далее - Служба), коммерческим оператором оптового рынка, участниками оптового рынка электрической энергии (мощности), осуществляющими производство электрической энергии с использованием генерирующих объектов, поставляющих мощность и электрическую энергию в вынужденном режиме (далее - Поставщики), и определяет порядок определения цен на мощность и электрическую энергию, производимые с использованием генерирующего объекта, поставляющего мощность и электрическую энергию в вынужденном режиме.

II. Основные методологические положения по определению цен на мощность и электрическую энергию, производимые с использованием генерирующего объекта, поставляющего мощность и электрическую энергию в вынужденном режиме

3. Расчет цен на мощность и электрическую энергию в соответствии с настоящим Порядком производится по каждому генерирующему объекту (генерирующей единице мощности) Поставщика на основании информации о планируемых в расчетном периоде регулирования расходах по производству электрической энергии и содержанию мощности с приложением материалов, согласно п.п. 10, 11 Правил государственного регулирования и применения тарифов на электрическую и тепловую энергию в Российской Федерации, утвержденных постановлением Правительства Российской Федерации от 26 февраля 2004 года N 109 (Собрание законодательства Российской Федерации, 2004, N 9, ст. 791; 2005, N 1 (часть 2), ст. 130; N 43, ст. 4401; N 47, ст. 4930; N 51, ст. 5526; 2006, N 23, ст. 2522; N 36, ст. 3835; N 37, ст. 3876; 2007, N 1 (часть 2), ст. 282; N 14, ст. 1687; N 16, ст. 1909; 2008, N 2, ст. 84; N 25, ст. 2989; N 27, ст. 3285; 2009, N 8, ст. 980; N 8, ст. 981; N 8, ст. 982; N 12, ст. 1429; N 25, ст. 3073; N 26, ст. 3188; N 32, ст. 4040; N 38, ст. 4479; N 38, ст. 4494; N 52 (часть 1), ст. 6575; 2010, N 12 ст. 1333; N 15, ст. 1808; N 21, ст. 2610; N 23, ст. 2837; N 37, ст. 4708; N 40, ст. 5102), представленной Поставщиком в ФСТ России не позднее 1 июля года, предшествующего расчетному периоду регулирования, и информации от системного оператора об отнесении генерирующего объекта к числу генерирующих объектов, поставляющих электрическую энергию и мощность в вынужденном режиме.

4. В случае если Поставщик, помимо производства электрической (тепловой) энергии, осуществляет иные виды деятельности, расходы на их осуществление и полученные доходы (убытки) от этих видов деятельности не учитываются при расчете цен на мощность и электрическую энергию, определяемых в соответствии с настоящим Порядком.

III. Расчет цен на мощность и электрическую энергию, производимые с использованием генерирующего объекта тепловой и гидравлической электрической станции, поставляющего мощность и электрическую энергию в вынужденном режиме

5. Расчет цен на электрическую энергию производится по следующим формулам:

а) для тепловых электрических станций (далее - ТЭС):

                                                                  (1)

б) для гидравлических электрических станций (далее - ГЭС):

                                                                  (1.1)

где:

 - расходы на топливо на технологические цели j-того генерирующего объекта в i-том году, определяемые в соответствии с пунктом 22 Основ ценообразования;

ВНi,j - расходы на оплату водного налога за использование водных объектов без забора воды для целей гидроэнергетики j-того генерирующего объекта, определяемые исходя из объема выработки электрической энергии, учтенного в сводном прогнозном балансе производства электрической энергии (мощности) в рамках Единой энергетической системы России по субъектам Российской Федерации (далее - сводный баланс) i-того года;

 - тариф на услуги коммерческого оператора оптового рынка в i-м году;

 и  - объемы выработки и собственного потребления электрической энергии j-того генерирующего объекта в i-том году, учтенные в сводном балансе i-того года. В случае если в составе  учтен расход электрической энергии на осуществление деятельности, не связанной с производством электрической и тепловой энергии, для расчета цены на электрическую энергию объем собственного потребления электрической энергии уменьшается на величину такого расхода.

При выполнении условия  расчет цены на электрическую энергию производится по формулам:

а) для ТЭС:

                                                                                                 (1.3)

где:

ТОПi,j - топливная составляющая цены на электрическую энергию j-того генерирующего объекта в j-том году, определяемая на основе:

- нормативов удельного расхода топлива на производство 1 киловатт-часа электрической энергии учитываемых в размере, утвержденном Министерством энергетики Российской Федерации либо определенном в соответствии с данными завода-изготовителя оборудования (при отсутствии утвержденного Министерством энергетики Российской Федерации норматива)*;

- цены за тонну условного топлива, определяемой в соответствии с пунктом 36 Основ ценообразования с учетом калорийности топлива;

б) для ГЭС:

                                                                                                   (1.4)

где:

 - ставка водного налога за использование водных объектов без забора воды для целей гидроэнергетики, определяемая в соответствии с законодательством Российской Федерации.

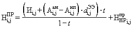
6. Цены на мощность определяются по следующей формуле:

     (2)

где:

Ai,j - отчисления на амортизацию основных средств j-того генерирующего объекта в i-том году, определяемые в соответствии с пунктом 28 Основ ценообразования, расходы Поставщика по аренде имущества j-того генерирующего объекта, используемого при производстве электрической энергии, в i-том году, определяемые в соответствии с пунктом 36 Основ ценообразования;

ОТij - расходы на оплату труда промышленно-производственного персонала j-того генерирующего объекта в i-том году, определяемые в соответствии с пунктом 27 Основ ценообразования;

Hi,j  - расходы на оплату налогов, сборов и компенсацию прочих затрат j-того генерирующего объекта в i-том году, определяемые по формуле (3);

 - расходы по оплате налога на прибыль, определяемые по формуле (4);

 - расходы j-того генерирующего объекта в i-том году на оплату по регулируемым ценам услуг системного оператора, определяемые в соответствии с пунктом 24 Основ ценообразования;

 - расходы на обеспечение безопасности j-того генерирующего объекта в i-том году, учитываемые при определении налоговой базы налога на прибыль (относимые на себестоимость производства электрической и тепловой энергии), определяемые в соответствии с пунктом 29 Основ ценообразования;

Пi,j  - затраты по производству тепловой (электрической) энергии, передаче тепловой энергии, учитываемые в составе цены на мощность (тарифа на тепловую энергию) i-того года j-того генерирующего объекта, учтенные при утверждении на i-тый год предельных уровней тарифов на тепловую энергию для субъекта Российской Федерации, на территории которого расположен j-й генерирующий объект. В случае, если в составе предельных уровней тарифов на тепловую энергию указанные затраты учтены по нескольким генерирующим объектам поставщика, расположенных на территории одного субъекта Российской Федерации, одной суммой, распределение указанных затрат между этими генерирующими объектами осуществляется пропорционально их установленной мощности;

Иi,j  - расходы на финансирование капитальных вложений за счет прибыли, не связанные с увеличением установленной мощности генерирующего оборудования j-того генерирующего объекта по сравнению с величиной, учтенной в сводном балансе на 2010 год по состоянию на 1 января 2010 г., определяемые в соответствии с пунктом 32 Основ ценообразования, относящиеся к деятельности по производству электрической энергии в объеме, определенном утвержденной инвестиционной программой Поставщика, но не более величины, равной произведению , 0,5,  и 12 месяцев, а также часть расходов на обеспечение безопасности j-того генерирующего объекта в i-том году, не учитываемых при определении налоговой базы налога на прибыль (относимых на прибыль после налогообложения);

НРi,j  - незапланированные расходы (со знаком "+") или полученные избытки (со знаком "-") j-того генерирующего объекта, осуществляющего поставку мощности и электрической энергии в вынужденном режиме, связанные с отклонениями фактических индексов изменения цен на топливо и индекса цен производителей промышленной продукции от их плановых значений, учтенных при утверждении цен на i-2 год, определяемые по формуле (5). Показатель  учитывается в составе формулы (2), начиная с 2013 года, при условии, что в i-2 году j-й генерирующий объект осуществлял поставку мощности и электрической энергии по ценам, определенным в соответствии с настоящим Порядком;

 - типовые прочие расходы на содержание генерирующего оборудования j-того генерирующего объекта в i-том году, определяемые по формулам (6), (7) и (8);

 - среднее за Mi,j значение положительных разниц объемов располагаемой мощности и объемов потребления мощности на собственные и (или) хозяйственные нужды j-того генерирующего объекта, учтенных в сводном балансе i-того года;

 - средний объем установленной j-того генерирующего объекта, учтенный в сводном балансе i-того года;

Mi,j - число расчетных месяцев в i-том году.

7. Распределение косвенных расходов Ai,j, OTi,j, Hi,j,  между деятельностью по производству электрической энергии и тепловой энергии производится пропорционально расходам условного топлива на выработку электрической и тепловой энергии.

8. Расходы на оплату налогов, сборов и компенсацию прочих затрат определяются по формуле:

                                                                                (3)

где:

 - страховые взносы в Пенсионный фонд Российской Федерации, Фонд социального страхования Российской Федерации, Федеральный фонд обязательного медицинского страхования и территориальные фонды обязательного медицинского страхования, определяемые исходя из расходов на оплату труда промышленно-производственного персонала, учитываемых в составе цены на мощность j-того генерирующего объекта в i-том году в соответствии с настоящим Порядком;

 - расходы по оплате налога на имущество j-того генерирующего объекта в i-том году;

 - расходы j-того генерирующего объекта в i-том году по оплате налога на землю, арендной платы за землю;

 - расходы по оплате водного налога, за исключением расходов на оплату водного налога за использование водных объектов без забора воды для целей гидроэнергетики, и/или расходы на приобретение воды для производственных нужд, определяемые в соответствии с пунктом 25 Основ ценообразования;

 - плата за предельно допустимые выбросы (сбросы) загрязняющих веществ в окружающую природную среду, определяемые в соответствии с природоохранным законодательством Российской Федерации.

Определение перечисленных в настоящем пункте Порядка расходов по страховым взносам и налогов осуществляется в соответствии с налоговым законодательством Российской Федерации.

9. Расходы по оплате налога на прибыль определяются по формуле:

                                                               (4)

где:

 - отчисления на амортизацию основных средств j-того генерирующего объекта в i-том году, определяемые в соответствии с пунктом 28 Основ ценообразования;

 - отчисления на амортизацию основных средств j-того генерирующего объекта в i-том году, учитываемые при определении налоговой базы налога на прибыль, определяемые в соответствии с налоговым законодательством Российской Федерации;

 - доля расходов условного топлива на выработку электрической энергии j-того генерирующего объекта в i-том году, учитываемая при определении расходов на топливо в соответствии с настоящим Порядком;

t - ставка налога на прибыль, действующая на дату установления цены на мощность и на электрическую энергию в соответствии с настоящим Порядком на очередной период регулирования;

 - расходы по оплате налога на прибыль в части незапланированных расходов (полученных избытков), определяемые, в случае если показатель Hij>0, по формуле 4.1, в противном случае по формуле 4.2.

                                                                                                         (4.1)

                                                                                                (4.2)

10. Незапланированные расходы (полученные избытки) j-того генерирующего объекта осуществляющего поставку электрической энергии и мощности в вынужденном режиме, связанные с отклонениями фактических индексов изменения цен на топливо и индекса цен производителей промышленной продукции от их плановых значений, учтенных при утверждении цен на i-2 год, определяются по формуле:

(5)

где:

 - фактическая цена электрической энергии j-того генерирующего объекта в i-2 году, определяемая по формуле (1) исходя из плановых показателей, учтенных Службой при утверждении для j-того генерирующего объекта на i-2 год цен на электрическую энергию, за исключением цен на топливо, его транспортировку и регулируемых тарифов на услуги коммерческого оператора оптового рынка. Цены на топливо и его транспортировку  для расчета фактической цены электрической энергии определяются по формуле (5.1). Тарифы на услуги коммерческого оператора принимаются на уровне тарифов, установленных Службой на год i-2.

 - цена на электрическую энергию, определенная в соответствии с настоящим Порядком и утвержденная для j-того генерирующего объекта на i-2 год;

 и  - фактические объемы производства и собственного потребления электрической энергии, за исключением потребления электрической энергии на осуществление деятельности, не связанной с производством электрической и тепловой энергии, j-того генерирующего объекта в i-2 году, определяемые на основании данных статистической отчетности;

и  - фактические индексы потребительских цен и цен производителей промышленной продукции в i-2 году, определяемые на основании информации об основных макроэкономических показателях, содержащейся в прогнозе социально-экономического развития Российской Федерации на i-й год;

и  - плановые индексы потребительских цен и цен производителей промышленной продукции, учтенные Службой при утверждении цены на мощность для j-того генерирующего объекта на i-2 год, определенной в соответствии с настоящим Порядком.

                                                                                               (5.1)

где:

 - плановая цена на n-й вид топлива, учтенная Службой при утверждении на i-2 год для j-того генерирующего объекта цены на энергию;

 - фактический индекс изменения цен на n-й вид топлива в i-2 году, определяемый на основании информации об основных макроэкономических показателях, содержащейся в прогнозе социально-экономического развития Российской Федерации на i-й год;

 - плановый индекс изменения цен на n-й вид топлива в i-2 году, учтенный Службой для определения цены на n-й вид топлива при утверждении цен на электрическую энергию для j-того генерирующего объекта на i-2 год.

11. Типовые прочие расходы на содержание генерирующего оборудования определяются по формулам:

а) для конденсационной электрической станции (далее - КЭС), мобильной газотурбинной электрической станции (далее - МГТЭС):

                               (6)

б) для теплоэлектроцентрали (далее - ТЭЦ):

                                         (7)

в) для ГЭС:

                                                                      (8)

где:

 - необходимая валовая выручка, относимая на содержание мощности, за исключением расходов, перечисленных в п.п. 6, 8 и 9 настоящего Порядка, учтенная при утверждении на 2007 год регулируемых тарифов на мощность, (далее - ) х-го генерирующего объекта в структуре планового топливного баланса 2007 года которого сумма долей природного газа, продуктов нефте- и газопереработки составила 50 % и более ( х-го генерирующего объекта, для которого на 2007 год тариф на мощность был утвержден на едином уровне с другими генерирующими объектами, расположенными на территории одного субъекта Российской Федерации, в структуре общего планового топливного баланса 2007 года которых сумма долей природного газа, продуктов нефте- и газопереработки составила 50 % и более);

 -  х=го генерирующего объекта КЭС в структуре планового топливного баланса 2007 года которого сумма долей угля и торфа составила 50 % и более, не относящегося к числу генерирующих объектов, расположенных на территории одного субъекта Российской Федерации для которых на 2007 год тарифы на мощность были утверждены на едином уровне;

 -  х-го генерирующего объекта ТЭЦ, для которого на 2007 год тариф на мощность был утвержден на едином уровне с другими генерирующими объектами, расположенными на территории одного субъекта Российской Федерации, в структуре общего планового топливного баланса 2007 года которых сумма долей угля и торфа составила 50 % и более;

 - среднегодовой объем установленной мощности, учтенный в сводном балансе 2007 года по состоянию на 1 января 2007 года, х-го генерирующего объекта в структуре планового топливного баланса 2007 года которого сумма долей природного газа, продуктов нефте- и газопереработки составила 50 % и более (х-го генерирующего объекта, для которого на 2007 год тариф на мощность был утвержден на едином уровне с другими генерирующими объектами, расположенными на территории одного субъекта Российской Федерации, в структуре общего планового топливного баланса 2007 года которых сумма долей природного газа, продуктов нефте- и газопереработки составила 50 % и более);

 - среднегодовой объем установленной мощности х-го генерирующего объекта КЭС, учтенный в сводном балансе 2007 года по состоянию на 1 января 2007 года, в структуре планового топливного баланса 2007 года которого сумма долей угля и торфа составила 50 % и более, не относящегося к числу генерирующих объектов, расположенных на территории одного субъекта Российской Федерации для которых на 2007 год тарифы на мощность были утверждены на едином уровне;

 - среднегодовой объем установленной мощности х-го генерирующего объекта, учтенный в сводном балансе 2007 года по состоянию на 1 января 2007 года, для которого на 2007 год тариф на мощность был утвержден на едином уровне с другими генерирующими объектами, расположенными на территории одного субъекта Российской Федерации, в структуре общего планового топливного баланса 2007 года которых сумма долей угля и торфа составила 50 % и более;

 и  - доля природного газа (продуктов нефте- и газопереработки) и угля (торфа) соответственно, определяемые по формуле (7.1);

 - необходимая валовая выручка, относимая на содержание мощности, за исключением расходов, перечисленных в п.п. 6, 8 и 9 настоящего Порядка, учтенная при утверждении на 2007 год регулируемых тарифов на мощность для х-го генерирующего объекта ГЭС;

 - среднегодовой объем установленной мощности х-го генерирующего объекта ГЭС, учтенный в сводном балансе 2007 года по состоянию на 1 января 2007 года;

,  - фактический, плановый индекс цен производителей промышленной продукции в i-м году, определяемый в соответствии с прогнозом социально-экономического развития Российской Федерации.

                                                                                             (7.1)

где:

 и  - объемы расхода природного газа (продуктов нефте- и газопереработки) и угля (торфа) соответственно, учитываемые при определении на i-тый год расходов на топливо j-того генерирующего объекта в соответствии с настоящим Порядком, выраженные в тоннах условного топлива.

IV. Расчет цен на мощность и электрическую энергию, производимые с использованием генерирующего объекта эксплуатирующей организации, осуществляющей деятельность в области использования атомной энергии, поставляющего мощность и электрическую энергию в вынужденном режиме

12. Цена на электрическую энергию определяется по формуле:

                                                                  (9)

где:

 - расходы j-того генерирующего объекта в i-том году, связанные с закупкой свежего ядерного топлива и комплектующих активной зоны реакторов, с учетом затрат по обеспечению их поставки и использованию;

 - расходы j-того генерирующего объекта в i-том году, на услуги специализированных организаций по реализации полного цикла обращения с отработавшим ядерным топливом и облученными комплектующими активных зон реакторов, включая затраты по обеспечению их вывоза.

 и  рассчитываются в соответствии с временными Методическими указаниями по формированию тарифов на электрическую мощность и электрическую энергию, поставляемую ФГУП "Российский государственный концерн по производству электрической и тепловой энергии на атомных станциях" (концерн "Росэнергоатом") на ФОРЭМ, утвержденными постановлением ФЭК России от 21 ноября 2002 года N 80-э/4 (зарегистрировано Минюстом России 24 января 2003 года, регистрационный N 4152).

13. Цена на мощность определяется по формуле:

                                       (10)

где:

Ai,j - отчисления на амортизацию основных средств j-того генерирующего объекта в i-том году, определяемые в соответствии с пунктом 28 Основ ценообразования, расходы Поставщика по аренде имущества j-того генерирующего объекта, используемого при производстве электрической энергии, в i-том году, определяемые в соответствии с пунктом 36 Основ ценообразования;

Ai,j - отчисления на формирование резервов j-того генерирующего объекта в i-том году, определяемые по следующей формуле:

                                                                          (11)

где:

РЯРТПБi,j - расходы на формирование резерва на обеспечение ядерной, радиационной, технической и пожарной безопасности j-того генерирующего объекта в i-том году. Определяются в соответствии с программой мероприятий, по обеспечению ядерной, радиационной, технической и пожарной безопасности при эксплуатации АЭС, утвержденной в установленном порядке. Общеотраслевые статьи затрат распределяются между генерирующими объектами эксплуатирующей организации, осуществляющей деятельность в области использования атомной энергии, пропорционально доле установленной мощности j-того генерирующего объекта в составе суммарной установленной мощности генерирующих объектов, без учета мощности генерирующих объектов, расположенных на территориях технологически изолированных территориальных электроэнергетических систем;

PФЗ,ij - расходы на формирование резерва на обеспечение физической защиты j-того генерирующего объекта в i-том году. Определяются в соответствии с программой мероприятий по обеспечению физической защиты, учета и контроля ядерных материалов на атомных станциях. Общеотраслевые статьи затрат распределяются между генерирующими объектами эксплуатирующей организации, осуществляющей деятельность в области использования атомной энергии, пропорционально доле установленной мощности j-того генерирующего объекта в составе суммарной установленной мощности генерирующих объектов, без учета мощности генерирующих объектов, расположенных на территориях технологически изолированных территориальных электроэнергетических систем;

РВЭi,j и Развi,j  - расходы на формирование резерва по обеспечению вывода из эксплуатации атомных станций и резерва развития j-того генерирующего объекта в i-том году, соответственно. Определяются в соответствии с нормативами, определяемым в соответствии с постановлением Правительства Российской Федерации от 30.01.2002 N 68 "Об утверждении Правил отчисления предприятиями и организациями, эксплуатирующими особо радиационно опасные и ядерно опасные производства и объекты (атомные станции), средств для формирования резервов, предназначенных для обеспечения безопасности атомных станций на всех стадиях их жизненного цикла и развития" (Собрание законодательства Российской Федерации, 2002, N 5, ст. 534; 2003, N 50, ст. 4900; 2005, N 5, ст. 385; 2009, N 9, ст. 1127);

 - расходы j-того генерирующего объекта в i-том году на оплату по регулируемым ценам услуг системного оператора, определяемые в соответствии с пунктом 24 Основ ценообразования;

Hi,j - расходы на оплату налогов, сборов и компенсацию прочих затрат j-того генерирующего объекта в i-том году включающие:

- страховые взносы в Пенсионный фонд Российской Федерации, Фонд социального страхования Российской Федерации, Федеральный фонд обязательного медицинского страхования и территориальные фонды обязательного медицинского страхования, определяемые исходя из расходов на оплату труда, учтенных в составе типовых прочих эксплуатационных расходов генерирующего объекта АЭС;

- налог на прибыль;

- налог на имущество.

Определение расходов на оплату налогов и сборов осуществляется в соответствии с налоговым законодательством Российской Федерации. При определении налогооблагаемой базы по налогу на прибыль учитывается:

- разница между бухгалтерской и налоговой амортизацией;

- расходы на пополнение оборотных средств для приобретения свежего ядерного топлива, включая затраты на первую топливную загрузку.

Оi,j - расходы на мероприятия по охране j-того генерирующего объекта в i-том году;

ПНРi,j - расходы на пусконаладочные работы под нагрузкой j-того генерирующего объекта в i-том году;

 - типовые прочие расходы на содержание генерирующего оборудования j-того генерирующего объекта АЭС в i-том году, определяемые по формуле (14);

14. Типовые прочие эксплуатационные расходы на содержание генерирующего оборудования генерирующего объекта АЭС, объемы производства электрической энергии и мощности которой были учтены в сводном балансе на 2007 год по состоянию на 1 января 2007 г. (далее - действующая АЭС), в ценах 2010 года определяются по следующей формуле:

                                    (12)

где:

ОТ2009,j - экономически обоснованные фактические затраты на оплату труда j-того генерирующего объекта за 2009 год;

ЭР2009,j  - экономически обоснованные фактические эксплуатационные расходы j-ого генерирующего объекта за 2009 год, за исключением расходов, перечисленных в п. 12 и 13 настоящего Порядка, и затрат на оплату труда;

n - число генерирующих объектов эксплуатирующей организации, осуществляющей деятельность в области использования атомной энергии, учтенных в сводном балансе 2009 года;

 - установленная мощность j-го генерирующего объекта, учтенная в сводном балансе на 2009 г.;

 - индекс потребительских цен на 2010 г. в соответствии с прогнозом социально-экономического развития Российской Федерации;

 - индекс цен производителей на 2010 г. в соответствии с прогнозом социально-экономического развития Российской Федерации.

Для генерирующего объекта АЭС, объемы производства электрической энергии и мощности которой не были учтены в сводном балансе на 2007 год по состоянию на 1 января 2007 г. и в отношении которых не были заключены договоры, указанные в подпункте "в. 2" пункта 3 Правил оптового рынка, (далее - новая АЭС) на базе энергоблоков с реакторами типа ВВЭР-1000 и ВВЭР-1150 типовые прочие расходы на содержание генерирующего оборудования в ценах 2010 года определяются по формуле (12), при этом используются данные по АЭС с реакторами типа ВВЭР-1000, имеющей 4 энергоблока, за 2009 год, подтвержденные бухгалтерской и статистической отчетностью. Для целей учета непропорциональности затрат, связанной с разным количеством энергоблоков на новых АЭС, применяется поправочный коэффициент на количество энергоблоков  (коэффициент блочности). Расчет коэффициента блочности производится исходя из стоимости основных фондов на 1 блок станции, имеющей 4 действующих энергоблока.

Поправочные коэффициенты к расходам на 1 блок

Таблица 1

Количество блоков

1

2

3

4

К_бл

1,6

1,2

1,067

1

При определении типовых прочих расходов на содержание генерирующего оборудования генерирующего объекта действующей АЭС значение коэффициента блочности принимается равным 1.

Удельные затраты центрального аппарата эксплуатирующей организации, осуществляющей деятельность в области использования атомной энергии, () в составе типовых прочих расходов на содержание генерирующего объекта АЭС в ценах 2010 года определяются по формуле:

                                          (13)

где:

 - экономически обоснованные фактические затраты на оплату труда центрального аппарата эксплуатирующей организации, осуществляющей деятельность в области использования атомной энергии, за 2009 г.;

 - экономически обоснованные фактические эксплуатационные расходы центрального аппарата эксплуатирующей организации, осуществляющей деятельность в области использования атомной энергии, за 2009 г., за исключением расходов на оплату труда.

Величина типовых прочих расходов на содержание генерирующего оборудования j-го генерирующего объекта в i-м году определяется по следующей формуле:

                              (14)

где:

 - типовые прочие эксплуатационные расходы на содержание в 2010 году генерирующего оборудования генерирующего объекта действующей/новой АЭС;

m - число генерирующих объектов эксплуатирующей организации, осуществляющей деятельность в области использования атомной энергии, эксплуатируемых в периоде регулирования;

NБ - суммарная установленная мощность генерирующих объектов эксплуатирующей организации, осуществляющей деятельность в области использования атомной энергии, учтенная в сводном балансе на 2010 год;

 - установленная мощность j-го генерирующего объекта, учтенная в сводном балансе i-го года;

,  - фактический, плановый индекс цен производителей промышленной продукции в i-м году, определяемый в соответствии с прогнозом социально-экономического развития Российской Федерации.

При расчете цены на мощность на 2011-2012 гг. в формуле (14) произведение  принимается равным 1.

При расчете цены на мощность на 2011 г. в формуле (14) значение планового индекса цен производителей  принимается равным 1.

______________________________

* п.п. 4.5.2. Положения о Министерстве энергетики Российской Федерации, утвержденного постановлением Правительства Российской Федерации от 28 мая 2008 года N 400 (Собрание законодательства Российской Федерации, 2008, N 22, ст. 2577, N 42, ст. 4825, N 46, ст. 5337; 2009, N 3, ст. 378, N 6, ст. 738, N 33, ст. 4088, N 52 (часть 2), ст. 6586; 2010, N 9, ст. 960, N 26, ст. 3350, N 31, ст. 4251).