Министерство монтажных и специальных строительных работ СССР
НПО Промвентиляция
Государственный проектный
институт
Проектпромвентиляция
РЕКОМЕНДАЦИИ ПО ИСПЫТАНИЮ
И НАЛАДКЕ СИСТЕМ ОТОПЛЕНИЯ, ВЕНТИЛЯЦИИ
И КОНДИЦИОНИРОВАНИЯ ВОЗДУХА
Центральное бюро научно-технической информации
Москва 1989
Содержание
1.1. Настоящие рекомендации распространяются на работы по испытанию и наладке систем отопления, вентиляции и кондиционирования воздуха (О, В и KB) действующих, реконструируемых и строящихся зданий и сооружений различных назначений.
1.2. Цель работ по испытанию и наладке систем О, В и KB - обеспечение требуемых санитарно-гигиенических и (или) технологических параметров воздушной среды в обслуживаемых ими помещениях при расчетных нагрузках (пусконаладочные работы являются промежуточным этапом работ, выполнение которых обеспечивает санитарно-гигиенические параметры воздушной среды при минимальных фактических нагрузках в обслуживаемых помещениях).
1.3. Наладочным работам предшествуют анализ проектных решений, техническая помощь заказчику (в случае его просьбы) и подготовительные работы.
1.4. Наладку систем вентиляции и кондиционирования воздуха на вводимых в эксплуатацию объектах выполняют в два этапа: до подписания акта Государственной комиссией и в период освоения проектной мощности объекта. Первый этап включает в себя пусконаладочные работы, состоящие из индивидуальных испытаний и комплексного опробования систем. На втором этапе осуществляют наладку систем на санитарно-гигиенические и (или) технологические требования.
Наладку систем воздушного отопления, являющегося элементом систем В и KB, также осуществляют в два этапа.
При наладке систем на действующих предприятиях первый этап работ исключают.
1.5. Наладка водяных систем отопления, оборудованных конвективно-излучающими приборами, является составной частью режимной наладки систем централизованного теплоснабжения.
Режимную наладку вновь смонтированных и существующих систем водяного отопления проводят в один этап.
1.6. Индивидуальные испытания систем О, В и KB проводят строительные, монтажные и наладочные организации.
1.7. В обязанности строительных и монтажных организаций по индивидуальным испытаниям входят:
по системам О, В и KB:
проверка соответствия фактического исполнения систем проекту (рабочему проекту) и требованиям СНиП 3.05.01-85;
испытания (обкатка) на холостом ходу оборудования (вентиляторов, насосов, самоочищающихся фильтров и др.), имеющего привод, в соответствии с требованиями СНиП 3.05.01-85;
испытания систем отопления и тепло-, холодоснабжения гидравлическим или манометрическим методом;
промывка систем отопления и тепло-, холодоснабжения;
тепловые испытания систем отопления и теплоснабжения в соответствии с требованиями СНиП 3.05.01-85;
испытания на герметичность участков воздуховодов, скрываемых строительными конструкциями*);
___________
*Указанные испытания выполняют по методике, изложенной в настоящих рекомендациях. Они могут быть переданы для исполнения наладочной организации по договору.
выявление и устранение неплотностей в соединениях трубопроводов и воздуховодах (вентиляционных строительных каналах и других элементах систем);
проверка функционирования смонтированных регулирующих устройств в рабочем режиме;
проверка камеры орошения (правильность установки каплеуловителей, исправность шарового клапана, переливного устройства, положение уровня воды в поддоне, равномерность распыления воды форсунками и отсутствие течей при пуске циркуляционного насоса);
по приборам и средствам автоматизации: проверка соответствия смонтированных систем рабочей документации и требованиям СНиП 3.05.07-85;
проверка трубных проводов на прочность и плотность;
проверка сопротивления изоляции электропроводок.
Выполнение работ, перечисленных в настоящем пункте, и готовность систем в оборудования к производству пусконаладочных работ должны быть подтверждены актами в соответствии о требованиями СНиП 3.05.01-85 и СНиП 3.05.07-85.
1.8. Наладочные организации в процессе индивидуальных испытаний систем В и KB обеспечивают их наладку на проектные расходы воздуха и автономную наладку систем автоматизации.
Эти работы осуществляют после полного окончания монтажа и. выполнения строительными и монтажными организациями индивидуальных испытаний, входящих в их обязанности.
1.9. Анализ и проверку качества проектной документации целесообразно выполнять до начала строительно-монтажных работ. По результатам анализа наладчики при необходимости должны разработать предложения по уточнению проектных решений и устранению до начала монтажа совместно с авторами проекта выявленных недостатков, используя для этой цели экономичные проектные решения ведущих проектных и научно-исследовательских организаций страны, опыт монтажа, наладки и эксплуатации ранее построенных аналогичных систем.
При анализе проектов рассматриваются их принципиальные решения, нагрузки и выбор оборудования, схемы тепло- и холодоснабжения, способы воздухораспределения, устройства шумоглушения и вибропоглощения, устройстве (схемы) автоматики и их взаимосвязь с элементами систем, конструкции воздуховодов и дается оценка возможности применения индустриальных методов заготовительных и монтажных работ.
1.10. При оказании технической помощи осуществляют увязку работ, выполняемых по смежным частям проекта, проверку качества строительно-монтажных работ и соответствия смонтированных систем проекту. Наладчики принимают участие в комиссиях по приемке скрытых работ, оформляемых специальными актами.
1.11. Перед началом работ по испытанию и наладке систем необходимо осуществить подготовительные работы:
ознакомиться с технической (рабочей) документацией, подтверждающей выполнение монтажными организациями индивидуальных испытаний оборудования и опрессовки систем трубопроводов;
ознакомиться с инструкциями заводов-изготовителей по монтажу, наладке и эксплуатации оборудования, приборов и механизмов;
обследовать смонтированные системы;
обследовать обслуживаемые помещения;
ознакомиться с технологическими процессами;
составить программу и график работ (исходные данные для составления графика выдает заказчик за месяц до начала работ на объекте);
подготовить необходимые для испытаний приборы и инструменты (рекомендуемое приложение I), а также инвентарь и вспомогательные технические средства;
выполнить предмонтажную проверку приборов и средств автоматики с необходимой регулировкой их отдельных элементов;
выполнить необходимые мероприятия по технике безопасности, охране труда и производственной санитарии.
1.11.1. В процессе обследования смонтированных систем О, В и KB необходимо:
проверить состояние установленного оборудования, устройств, приборов и механизмов, а также наличие и исправность регулирующих устройств системы;
выявить состояние трубопроводов и воздуховодов, проверить правильность присоединения воздуховодов к вентиляторам и теплообменникам;
проверить степень загрязненности воздухонагревателей и воздухоохладителей и соответствие схемы их обвязки проекту;
определить правильность мест расположения чувствительных элементов регуляторов и измерительных приборов;
выявить отступления от проекта, дефекты и недоделки монтажа, допущенные в процессе строительно-монтажных работ и потребовать от заказчика их устранения.
1.11.2. При обследовании обслуживаемых помещений следует:
определить размеры и внутренний объем помещений;
определить конструкции и ознакомиться с эксплуатационным состоянием ограждений помещений (неплотности в притворах оков, фонарей и дверей, разбитое остекление и т.п.). На выявленные дефекты должна быть составлена ведомость и передана заказчику для их устранения;
установить ориентацию помещений относительно сторон света;
выявить наличие устройств, уменьшающих влияние солнечной радиации.
1.11.3. При ознакомлении с технологическим процессом производства необходимо:
выявить оборудование, при работе которого выделяются вредные веществе, проверить соответствие требованиям санитарной техники (герметичность укрытия, теплоизоляцию и т.п.). По выявленным недостаткам составляется ведомость дефектов и передается заказчику для их устранения;
определить режимы работы технологического оборудования и время максимальных выделений вредных веществ в течение рабочего дня (при периодической работе оборудования).
Примечание. Если оборудование выделяет такое количество вредных веществ, с которым невозможно бороться средствами только вентиляции, следует выдать заказчику заключение о необходимости замены оборудования, механизации и автоматизации производственных процессов, связанных с выделением вредных веществ, о замене сухих пылящих технологических процессов мокрыми, об устройстве дополнительных укрытий оборудования, химических шкафов и т.п.
1.11.4. В процессе предмонтажной проверки приборов и средств автоматизации осуществляют комплекс работ по проверке и определению соответствия основных технических характеристик приборов и средств автоматизации техническим требованиям, установленным в паспортах и инструкциях заводов - изготовителей аппаратуры. К началу производства предмонтажной проверки приборов и средств автоматизации заказчик должен передать на время проведения работ запасные части и специальные инструменты, поставляемые с приборами и средствами автоматизации заводами - изготовителями аппаратуры, а также поверочное оборудование и специальные инструменты, поступающие комплектно с импортными приборами и средствами автоматизации.
1.12. Работы по наладке систем В и КВ на проектные расходы воздуха включают в себя:
испытание вентиляторов при их работе в сети (определение соответствия фактических характеристик паспортным по подаче, давлению, частоте вращения и т.д.);
проверку равномерности прогрева (охлаждения) воздухонагревателей и воздухоохладителей и проверку отсутствия выноса влаги через каплеуловители камер орошения;
аэродинамические испытания устройств для очистки воздуха;
испытание и регулировку систем с целью достижения проектных показателей по расходу воздуха в воздуховодах, местных отсосах, по воздухообмену в помещениях, по потерям (подсосам) воздуха системами;
проверку действия вытяжных устройств естественной вентиляции.
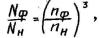
1.12.1. По результатам наладки систем В и KB на проектные расходы воздуха на каждую систему оформляют паспорт в двух экземплярах (обязательное приложение 2), включающий проектные и фактические данные о вентиляторах, электродвигателях, воздухонагревателях, воздухоохладителях, пылеулавливающих и увлажнительных устройствах, а также аэродинамические характеристики системы после ее регулировки. Один экземпляр паспорта прикладывают к акту приемки систем рабочей комиссией.
1.12.2. Работы по автономной наладке систем автоматизации включают в себя:
проверку монтажа приборов и средств автоматизации на соответствие требованиям инструкций предприятий-изготовителей и рабочей документации. Обнаруженные дефекты монтажа приборов и средств автоматизации устраняются монтажной организацией;
замену отдельных дефектных элементов исправными, выдаваемыми заказчиком;
проверку правильности маркировки, подключения и фазировку электрических проводок;
фазировку и контроль характеристик исполнительных механизмов;
настройку логических и временных взаимосвязей систем сигнализации, защиты блокировки и управления; проверку правильности прохождения сигналов;
предварительное определение характеристик объекта, расчет и настройку параметров аппаратуры систем;
подготовку к включению и включение в работу систем автоматизации для обеспечения индивидуального испытания технологического оборудования и корректировку параметров настройки аппаратуры систем в процессе их работы.
1.13. Работы в период индивидуальных испытаний осуществляются по программе и графику, разработанными заказчиком или по его поручению наладочной организацией и согласованными с заказчиком, генеральным подрядчиком и субподрядными монтажными организациями, и при необходимости с шефперсоналом предприятий-изготовителей оборудования. График индивидуальных испытаний составляется на основании директивного графика.
1.14. После выполнения индивидуальных испытаний систем В и KB, а также автономной наладки систем автоматики системы принимают рабочие приемочные комиссии в комплексное опробование. После подписания рабочими комиссиями актов приемки оборудование систем и устройств автоматики считается принятым заказчиком, который несет полную ответственность за его сохранность.
1.15. В состав пусконаладочных работ по комплексному опробованию систем О, В и KB входят:
по системам отопления:
проверка соответствия фактических расходов теплоносителя проектному и наличие необходимого располагаемого давления на индивидуальном тепловом пункте. Опробование систем должно проводиться в холодный период года;
по системам В и KB:
опробование всех одновременно работающих систем;
проверка работоспособности систем вентиляции, кондиционирования воздуха и тепло-, холодоснабжения при проектных режимах работы с определением соответствия фактических параметров проектным; выявление причин, по которым не обеспечиваются проектные режимы работы систем, и принятие мер по их устранению;
замеры уровней звукового давления в расчетных точках помещений.
В состав работ по комплексной наладке систем автоматизации входят:
определение соответствия порядка отработки устройств и элементов систем сигнализации, защиты и управления алгоритмам рабочей документации с выявлением причин отказа или "ложного" их срабатывания, установка необходимых значений срабатывания позиционных устройств;
определение соответствия пропускной способности запорно-регулирующей арматуры требованиям технологического процесса, правильности отработки выключателей;
определение расходных характеристик регулирующих органов и приведение их к требуемой норме с помощью имеющихся в конструкции элементов настройки;
подготовка к включению и включение в работу систем автоматизации обеспечения эксплуатации оборудования с производительностью, соответствующей нормам освоения проектных мощностей в начальный период;
анализ работы систем автоматизации в эксплуатации.
1.15.1. Комплексное опробование систем В и KB с устройствами автоматизации осуществляется заказчиком или по его поручению наладочной организацией с участием инженерно-технических работников генерального подрядчика, проектных и субподрядных монтажных организаций, а при необходимости и предприятий - изготовителей оборудования.
1.15.2 Работы в период комплексного опробования осуществляются по программе и графику, разработанными заказчиком или по его поручению наладочной организацией. Программа и график наладочных работ должны быть согласованы с генеральным подрядчиком и монтажными организациями, участвующими в монтаже систем В и KB, с шефперсоналом предприятий - изготовителей оборудования.
1.15.3. Для выполнения комплексного опробования заказчик обеспечивает:
дежурство квалифицированного эксплуатационного персонала;
подачу энергоносителей (электроэнергии, пара, воды, сжатого воздуха) о параметрами, соответствующими проекту, смазочные масла и другие вспомогательные материалы.
1.16. После выполнения пусконаладочных работ и устранения всех недоделок и дефектов монтажа системы О, В и KB в эксплуатацию принимает Государственная комиссия.
1.17. Испытание и наладку систем О, В и KB на санитарно-гигиенические и (или) технологические требования выполняют в период освоения проектной мощности объекта при расчетных нагрузках технологического оборудования в обслуживаемых помещениях. Работы проводят по программе, составленной на основе предварительного обследования и согласованной с заказчиком.
Программы работ по системам О, В и KB, a также по тепло-, холодоснабжению и автоматике должны быть увязаны между собой.
Программа должна определять объем работ в зависимости от назначения и характера объекта и содержать цель, последовательность и принятую методику работ по испытанию и наладке.
Испытание систем О, В и KB следует начинать после устранения неисправностей, недоделок и дефектов, выявленных по результатам их обследования.
1.18. Работы по испытанию систем В и KB на санитарно-гигиенический и (или) технологический эффект проводят в такой последовательности:
составление функциональных и аксонометрических схем для систем;
аэродинамические испытания вентиляционных систем;
обследование санитарно-гигиенического состояния воздушной среды рабочей зовы помещения: определение температуры, относительной влажности и скорости движения воздуха, интенсивности теплового облучения, содержания в воздухе вредных веществ;
испытание и наладка работы местных отсосов и вентилируемых укрытий;
наладка местных вытяжных установок;
проверка эффективности и наладка устройств для очистки воздуха вытяжных установок;
определение количеств тепла, влаги и газов, выделяемых в процессе производства, и необходимых воздухообменов для их ассимиляции;
наладка общеобменных приточных и вытяжных систем и аэрационных устройств;
испытание и наладка работы отдельного оборудования приточных систем ИВ (теплообменные аппараты, фильтры и др.);
испытание и наладка регулирующих клапанов на тепло-, хладоносителе;
определение характера распределения температуры, влажности и скорости движения, воздуха» содержания вредностей в рабочей зоне и регулирование метеорологических условий в рабочей зоне;
определение параметров объектов регулирования, проверка устойчивости систем автоматического регулирования и наладка регуляторов;
комплексная проверка эффективности работы систем В и КБ с устройствами автоматики после их наладки путем повторных измерений параметров воздуха и повторных отборов проб воздуха на содержание вредных веществ в рабочей зоне помещений. Эти измерения и отборы проб следует проводить в тех же местах, что и в начале работы.
1.19. При проведении работ по испытанию и наладке систем не разрешается:
изменять принципиальные проектные решения без согласования с авторами проекта и работниками, ответственными за эксплуатацию систем;
менять заводскую регулировку приборов.
Примечание. Заводская регулировка может быть изменена при ремонте приборов с последующей их тарировкой на специальных поверочных стендах.
1.20. Все наладочные работы следует производить в соответствии с правилами техники безопасности по эксплуатации санитарно-технического, электрического, пневматического и холодильного оборудования. Одновременно должны соблюдаться правила техники безопасности тех производств, где выполняются наладочные работы.
1.21. Если средствами наладки не представляется возможным обеспечить создание и поддержание требуемых параметров воздуха в помещениях, то по данным испытаний разрабатывают мероприятия по их обеспечению или составляют исходные данные для проектирования реконструкции систем.
1.22. При разработке исходных данных для проектирования реконструкции систем В и KB выполняют следующие работы:
определяют тип и количество технологического оборудования, выделяющего в воздух помещений производственные вредности (избыточное тепло и влагу, пыль, аэрозоли или газы);
определяют технологическое оборудование, которое нуждается в локализации выделяющихся вредностей путем устройства укрытий и местных отсосов, количество удаляемых вредных веществ, оптимальные объемы удаляемого воздуха;
определяют количество выделяющихся от технологического оборудования производственных вредностей, формирующих санитарно-гигиеническое состояние воздушной среды в помещении, выявляют закономерности их распределения в объеме помещений;
определяют конструкцию строительных ограждений: пола, стен, покрытия, световых проемов и фонарей. Определяют площади пола, потолка (покрытия), верхнего и бокового остекления, открытых технологических проемов и отверстий, транспортных ворот и дверей;
составляют теплотехнические характеристики строительных ограждений здания для расчета теплопотерь наружными ограждениями и теплопоступлений от солнечной радиации;
выявляют потребности в устройстве очистки вентиляционных выбросов и защиты воздушного бассейна;
выявляют целесообразность и возможность устройства установок утилизации тепла или холода;
разрабатывают оптимальные схемы технологической обработки воздуха;
разрабатывают рекомендации по использованию действующего отопительного и вентиляционного оборудования, сохранению отдельных сетей воздуховодов, устройству новых систем В и KB, трассировке воздуховодов и воздухораспределению.
1.23. Результаты испытаний и наладки систем О, В и KB на санитарно-гигиенические и (или) технологические требования оформляют в виде технического отчета и передают заказчику.
1.24. При составлении паспортов, технических отчетов и т.п. необходимо руководствоваться терминологией согласно ГОСТ 22270-76 (СТ СЭВ 2145-80) и ГОСТ 25199-82 и применять единицы физических величин согласно СН 528-80.
2.1. Методики должны обеспечивать необходимую точность измерений и достоверность результатов производимых расчетов и содержать требования к используемым приборам, условиям и правилам их применения.
2.2. Используемые при измерениях приборы должны иметь действующие свидетельства об их поверке. Периодичность поверки средств измерений устанавливается стандартами на приборы. Приборы, прошедшие ремонт, должны быть обязательно поверены. Не прошедшими поверку в установленные сроки приборами производить измерения запрещается.
2.3. Перед производством измерений необходимо:
определить места измерений, количество и последовательность их выполнения;
подготовить приборы к непосредственным измерениям;
обеспечить необходимые режимы работы систем О, Б и КВ.
2.4. Температуры газов (воздуха) и жидкостей от минус 40 до плюс 60°С измеряют термометрами с ценой деления не более 0,5°С, а при инструментальных измерениях для составления балансов по теплоте и влаге - не более 0,2 °С; при температурах выше 60 °С допускается применение термометров с ценой деления 1 °С.
Температуры воздуха при испытаниях систем воздухораспределения измеряют термоанемометрами или термометрами с ценой деления не более 0,2 °С.
2.5. Для измерения температуры воздуха в рабочей зоне помещения термометры устанавливают по возможности на высоте 1,5 м от пола, вдали от холодных наружных ограждений и оборудования, излучающего теплоту, и вне зоны действия солнечных лучей. Резервуары термометров должны свободно омываться воздухом.
При необходимости измерения температуры воздуха вблизи горячих поверхностей следует применять аспирационные психрометры.
2.6. При необходимости наблюдения за температурой воздуха в помещении в течение суток или более длительного срока следует использовать самопишущие приборы: термографы или электронные одно- или многоточечные приборы с термометрами сопротивления или термопарами.
2.7. Температуру наружного воздуха измеряют термопарами, которые должны быть защищены от непосредственного воздействия солнечных лучей и атмосферных осадков.
2.8. Температуру воздуха в воздуховодах рекомендуется измерять термопарами, вводимыми внутрь воздуховода через специальные отверстия или лючки. При разрежении в воздуховоде необходимо исключить подсос воздуха через отверстия или лючки.
2.9. Измерения температуры воздуха в воздуховодах необходимо осуществлять с учетом следующих требований:
термометры не должны подвергаться вибрации и тряске;
на показания термометров не должна оказывать влияния лучистая теплота от теплообменников; должно быть исключено попадание капель воды или другой жидкости на термометры при измерениях после камер орошения.
2.10. Среднюю температуру воздуха в воздуховодах следует определять как среднеарифметическую по нескольким точкам измерений. При этом количество точек измерений в каждом конкретном случае определяют в зависимости от равномерности температурного поля.
2.11. Показания значений температур следует считывать с термометров только при установившемся тепловом режиме, причем не следует дотрагиваться до резервуара термометра руками, дышать на него и освещать спичками.
2.12. Для измерения температуры жидкостей в трубопроводах в местах измерения должны быть установлены термометры в гильзах, выполненных в соответствии с типовыми чертежами закладных конструкций для приборов измерения температуры.
Гильзу устанавливают поперек потока так, чтобы конец ее находился ниже оси трубы, но нигде не касался противоположной стенки трубопровода. Глубина погружения должна быть не менее 85 мм; если диаметр трубопровода для этого мал, гильзу следует наклонить к оси потока на угол не менее 30° или поставить по оси потока.
В случае установки гильзы по оси потока ее необходимо вводить в трубопровод в коленах или отводах, причем конец гильзы, в котором заключав резервуар термометра, должен быть расположен против движения потока. Для улучшения теплообмена между термометром и гильзой последнюю необходимо заполнить маслом или керосином. Заливаемая жидкость должна заполнять не всю гильзу, а покрывать только резервуар термометра. Жидкость в пределах изменения температур измеряемой среды не должна подвергаться загустеванию или испарению.
Гильзы рекомендуется устанавливать в местах наибольших скоростей измеряемых жидкостей. Установка гильз в тупиковых ответвлениях, где движение жидкости отсутствует или ослаблено, не допускается.
Перед установкой термометра гильза должна быть тщательно прочищена. Термометр рекомендуется устанавливать на резиновой пробке.
Температуру хладоагента, всасываемого или нагнетаемого компрессором, измеряют в трубопроводе не далее 1 м и не ближе трех диаметров трубопровода от коллектора или запорного вентиля компрессора.
2.13. Температуру поверхностей для определения температуры среды измеряют термощупами или поверхностными термопарами.
Металлические поверхности должны быть предварительно очищены от краски и ржавчины и покрыты тонким слоем технического вазелина, тавота или другой смазки.
2.14. Относительную влажность воздуха следует измерять непосредственно гигрометрами различной конструкции или косвенным путем по показаниям "сухого" и "мокрого" термометров, психрометра Августа или аспирационного.
2.15. Относительную влажность воздуха при измерении температур простыми термометрами (типа Августа) определяют по таблицам или номограммам в зависимости от скорости движения воздуха в зоне измерения. При этом надо следить за тем, чтобы марля (батист, муслин) плотно в два слоя облегала шарик влажного термометра, а расстояние между шариком и поверхностью воды составляло 15-20 мм.
2.16. Относительную влажность воздуха при измерении температур аспирационным психрометром определяют по графику, прикладываемому к паспорту психрометра.
2.17. Показания простых психрометров следует снимать не ранее чем через 10 мин после их установки, а показания "сухих" термометров аспирационных психрометров - черев 3 мин после пуска их вентилятора.
Температуру воздуха по "мокрому" термометру аспирационного психрометра следует фиксировать самую низкую после пуска его вентилятора.
2.18. Определение относительной влажности воздуха в воздуховодах производят по показаниям "сухого" и "мокрого" термометров, вводимых в воздуховоды, с учетом скорости воздушного потока. В этом случае непосредственно перед измерением следует каждый раз смачивать марлю (батист, муслин) водой. После извлечения из воздуховода "мокрого" термометра необходимо убедиться в том, что его "чулочек" остался влажным. Если "чулочек" сухой, измерение следует повторить.
2.19. Аспирационные психрометры рекомендуется применять для определения относительной влажности воздуха в производственных помещениях со значительными выделениями лучистой теплоты, а также в тех случаях, когда в помещениях имеют место случайные воздушные потоки, которые могут исказить показания "мокрого" термометра в простом психрометре.
2.20. При отрицательных значениях температуры наружного воздуха относительную влажность воздуха определяют по специальным; психрометрическим таблицам или косвенным путем, например, замеряют температуру наружного воздуха по "сухому" термометру, а в воздуховоде приточной системы с помощью "сухого" и "мокрого" термометров замеряют параметры нагретого воздуха. Затем с помощью J-d диаграммы и данных измерений определяют относительную влажность наружного, воздуха.
При необходимости наблюдения за влажностью воздуха в помещении длительное время следует использовать самопишущие приборы - гигрографы.
2.21. Атмосферное давление воздуха замеряют с помощью барометров.
Данные о барометрическом давлении в конкретном месте на момент испытаний можно также запросить у соответствующей региональной службы Гидромета.
2.22. Полное, статическое и динамическое давления в воздуховодах (каналах) измеряют приемником полного давления и комбинированным приемником давления по ГОСТ 12.3.018-79, которые присоединены шлангами к дифференциальным манометрам (микроманометрам).
2.23. Перед измерением давлений необходимо убедиться в исправности приемников давления, микроманометра (U-образного манометра) и герметичности соединительных шлангов.
2.24. Для измерения давлений и скоростей движения воздуха в воздуховодах (каналах) должны быть выбраны участки с расположением мерных сечений на расстояниях не менее шести гидравлических диаметров от места возмущения потока (отводы, шиберы, диафрагмы и т.п.) и не менее двух гидравлических диаметров перед ним.
При отсутствии прямолинейных участков необходимой длины допускается располагать мерное сечение в месте, делящем выбранный для измерения участок в отношении 3:1 в направлении движения воздуха.
В указанных местах при отсутствии в стенках воздуховодов специальных лючков для измерения давления в плоскости, перпендикулярной к оси воздуховода, делают необходимое количество отверстий для ввода в воздуховод приемников давления.
Примечание. После окончания измерений отверстия в, воздуховодах должны быть заглушены.
2.25. Координаты точек измерений давлений, а также количество точек определяются формой и размерами мерного сечения (рис. 1). Максимальное отклонение координат точек измерений от указанных (см. рис. 1) не должно превышать ± 10 %. Количество измерений в каждой точке должно быть не менее трех.


Рис. 1. Координаты точек измерения давлений и скоростей:
а - в воздуховодах круглого сечения; б - в воздуховодах прямоугольного сечения
2.26. Комбинированный приемник давления, введенный открытым концом навстречу потоку воздуха, или приемник полного давления, введенный коллектором в приемнике давления также навстречу потоку воздуха, следует перемещать от ближайшей стенки воздуховода вдоль каждой оси, размеченной согласно рис. 1, до противоположной стенки воздуховода с учетом необходимого количества точек измерений. В каждом положении приемника внутри воздуховода по микроманометру (U-образному манометру) регистрируют давления.
2.27. Микроманометр при измерениях следует устанавливать строго горизонтально по уровням, a U-образный манометр, укрепленный на доске с миллиметровой шкалой, подвешивать в вертикальном положении.
Давление Р, Па, измеряемое микроманометром типа ММН, определяют по формуле
(1)
где к - постоянный коэффициент для каждого положения трубки микроманометра (значения к нанесены на дуге прибора); h - отсчет по шкале прибора, мм; d - поправка на действительную плотность используемой в микроманометре жидкости (спирта) при отличии ее от 809,5 кг/м3, определяемая по формуле
(2)
ρcn - плотность жидкости (спирта), кг/м3.
Перед измерениями давлений уровень жидкости (спирта) приводят к нулевому делению шкалы (с помощью имеющегося в микроманометре специального приспособления).
При применении U-образного манометра, заполняемого водой, разность показаний при использовании миллиметровой шкалы получается непосредственно в кгс/м2 или эта шкала может быть проградуирована в Па.
Шланг в случае попадания в него жидкости должен быть продут и высушен.
Схемы присоединения трубок комбинированного приемника давления к микроманометру приведены на рис. 2:
полное положительное давление измеряют путем присоединения трубки полного давления к штуцеру резервуара микроманометра;
штуцер трубки микроманометра остается открытым (см. рис. 2, a);
полное отрицательное давление измеряют присоединением трубки полного давления к штуцеру трубки микроманометра при открытом штуцере резервуара микроманометра (см. рис. 2, б);
статическое положительное давление измеряют присоединением трубки статического давления к штуцеру резервуара микроманометра при открытой штуцере трубки микроманометра (см. рис. 2, в);
статическое отрицательное давление измеряют присоединением трубки статического давления к штуцеру трубки микроманометра при открытом штуцере резервуара микроманометра (см. рис. 2, г);
динамическое давление измеряют присоединением трубки полного давления к штуцеру резервуара микроманометра, а трубки статического давления к штуцеру трубки микроманометра (рис. 2, д).

Рис. 2. Схема присоединения трубок комбинированного приемника давления к микроманометру при измерениях в воздуховодах:
а - полного положительного давления; б - полного отрицательного давления; в - статического положительного давления; г - статического отрицательного давления; д - динамического давления;
1 - штуцер трубки полного давления; 2 - штуцер трубки статического давления; 3 - штуцер резервуара микроманометра; 4 - штуцер трубки микроманометра
Для измерения полного положительного давления приемником полного давления последний присоединяют к штуцеру резервуара микроманометра, а для измерения полного отрицательного давления приемник присоединяют к трубке микроманометра.
2.28. Отсчеты по прибору следует делать по возможности при неподвижном положении жидкости в трубке микроманометра и при минимально возможном угле ее наклона. В случае значительных и непрерывных колебаний жидкости отсчет выполнять по среднему положению мениска, проводя достаточно длительные наблюдения при каждом отсчете.
2.29. Для устранения влияния пульсации воздушного потока на положение мениска жидкости в трубке микроманометра следует применять компенсирующие вставки (демпферы), вставляемые в разрыв одного или двух шлангов, соединяющих микроманометр с приемником давления (рис. 3).

1 - металлическая цилиндрическая трубка; 2 - трубка с заостренным концом
2.30. Если микроманометр установлен в помещении, находящемся под избыточным давлением или разрежением, к открытому штуцеру микроманометра присоединяют шланг, который выводят в атмосферу или в помещение, где давление близко к атмосферному.
2.31. Динамическое давление Рd, Па, средней скорости движения воздуха определяют по измеренным в Z точках (см. рис. 1 и 2) комбинированным приемником давления значениям динамических давлений Рdi по формуле
2.32. Статическое давление РS, Па, потока в мерном сечении определяют по следующим формулам:
при измерениях полных Pi и динамических Рdi давлений
(4)
при измерениях cтатических Рsi давлений
(5)
2.33. Полное давление p, На, погона в мерном сечении рассчитывают по формуле
(6)
или
(7)
2.34. Давление, жидкости Р, кПа, в трубопроводах замеряют с помощью манометров (перепад давления ΔР, кПа, - с помощью дифференциальных манометров), для подсоединения которых в местах замеров к трубопроводам приваривают штуцера.
2.35. Скорость воздушных потоков при испытаниях систем воздухораспределения или при оценке санитарно-гигиенического состояния воздушной среды в помещении, как правило, замеряют непосредственно термоанемометрами.
Скорость (в воздуховодах, каналах и проемах) определяют по замеренному в сечениях динамическому давлению или с помощью анемометров (крыльчатых, чашечных или термоанемометров).
Среднюю скорость движения воздуха Vm, м/с, в мерном сечении по измерениям динамического давления в z точках определяют по формуле
где ρ - плотность воздуха, кг/м3, при его температуре t, °С, в мерном сечении, определяемая по формуле
(9)
2.36. Анемометры следует применять для измерения скоростей воздуха в тех случаях, когда измерение динамических давлений комбинированными приемниками давления представляется невозможным или неудобным (в проемах внешних ограждений, отверстиях, открытых концах вентиляционных воздуховодов и т.п.). Чашечными анемометрами измеряют скорости воздуха от 1,0 до 20,0 м/с, крыльчатыми (струнными) анемометрами - от 0,2 до 5,0 м/с, термоанемометрами, в зависимости от градуировки приборов - от 0,1 до 2,3 или 10 м/с.
2.37. Для проведения измерений анемометры должны быть укреплены на концах тонких реек, чтобы в возможно меньшей степени заслонять площадь живого сечения проемов, в которых производятся замеры. Пуск и остановка анемометров должны осуществляться с помощью шнура, прикрепленного к пусковому рычажку прибора.
2.38. Чашечные анемометры следует вносить в воздушный поток так, чтобы ось колеса анемометра была перпендикулярна направлению потока; крыльчатые анемометры следует устанавливать так, чтобы ось совпадала с направлением потока.
2.39. Перед измерением записывают начальный отсчет по циферблатам анемометра, затем анемометр с выключенным счетным механизмом вносят в лоток и через 5-10 с (когда крыльчатка анемометра начнет вращаться с полной скоростью) счетный механизм анемометра включают одновременно с секундомером. Черев 30, 50 или 100 с счетный механизм выключают и производят конечный отсчет по циферблатам.
2.40. Разность конечного и начального отсчетов делят на число секунд измерения и результат по градуированному графику анемометра переводят в скорость воздуха в м/с.
2.41. В каждой точке измерения скорость следует определять два раза, причем разность между результатами измерений должна быть не более чем ± 5 %, в противном случае производят дополнительные измерения. Результаты многократных измерений обрабатывают в соответствии с рекомендациями пп. 2.77-2.80 настоящих рекомендаций.
2.42. Измерение скорости воздушного потока в открытых отверстиях производят крыльчатым или чашечным анемометром, а также термоанемометром в плоскости выхода воздуха (для воздухораспределительных устройств), а при входе в отверстие - внутри канала (для воздухоприемных устройств).
2.43. В отверстиях площадью до 1 м2 скорость воздуха измеряется медленным равномерным движением анемометра по всему сечению отверстия.
При большем размере отверстия его сечение разбивают не несколько равных площадей и измерения производят в центре каждой из них.
Для последующих расчетов в этой случае в качестве средней скорости принимают среднее арифметическое из значений измеренных скоростей.
2.44. В тех случаях, когда в части проема движение воздуха имеет одно направление, а в другой - противоположное, необходимо до производства измерений наметить с помощью анемометра нейтральную линию в проеме, где скорости воздуха равны нулю. После этого следует отдельно замерить скорости воздуха по обе стороны от нейтральной линии.
2.45. В отверстиях, закрытых решетками, измерения скорости воздуха производят анемометром, снабженным насадком (сделанным из листовой стали, жести, винипласта и т.п.), который в процессе измерения плотно примыкает к решетке (рис. 4), или термоанемометром непосредственно в живом сечении решетки.

Рис. 4. Крыльчатый анемометр с насадком:
1 - анемометр; 2 - насадок
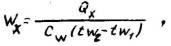
2.46. Расход воздуха L, м3/с, следует определять по формулам:
а) в открытых проемах, воздухораспределительных и воздухоприемных устройствах
б) в воздухораспределительных и воздухоприемных устройствах, закрытых решетками;
при измерениях термоанемометрами
(11)
при измерениях анемометрами в воздухораспределительных устройствах
(12)
при измерениях анемометрами в воздухоприемных устройствах с типовыми решетками
(13)
где Vm - средняя скорость воздушного потока в соответствующем сечении, м/с;
F - площадь открытых проемов воздухоприемных и воздухораздающих устройств с постоянным направлением движения воздуха или площадь габаритных сечений решеток, м2;
f - живое сечение решеток, м2.
2.47. Для измерения плотности теплового потока через ограждающие конструкции рекомендуется применять прибор ИТП-11 (допускается применение прибора ИТП-7).
2.48. При пользовании прибора ИТП-11 значение плотности теплового потока q, Вт/м2, непосредственно считывается со шкалы прибора.
2.49. При измерении теплового потока через ограждающие конструкции с термическим сопротивлением менее 0,6 м2 °С/Вт значение плотности теплового потока q', Вт/м2, вычисляют по формуле
(14)
где t - температура наружного воздуха на расстоянии 0,1 м от стены, °С;
τв, τ'в - температуры поверхности соответственно на участке измерения вблизи преобразователя прибора ИТП-11 (на расстоянии 0,1 м от преобразователя) и под преобразователем, °С.
2.50. Интенсивность теплового облучения до 50·10° Вт/м2 следует измерять с помощью актинометра Ленинградского НИИ гигиены труда и профзаболеваний.
2.51. Для измерения интенсивности теплового облучения на рабочем месте актинометр должен быть установлен на высоте 1,5 - 1,7 м от пола.
2.52. Облучение должно быть измерено через 3-5 с после открытия крышки актинометра, при этом термоприемник должен быть направлен в сторону тела, излучающего теплоту. После этого крышку актинометра закрывают.
2.53. Одновременно с определением интенсивности теплового облучения рабочего места должны быть измерены температура воздуха по "сухому" термометру и скорость движения воздуха на этом рабочем месте в соответствии с пп. 2.5 и 2.35 настоящих рекомендаций.
2.54. Интенсивность проходящей в помещение через световой проем солнечной радиации рекомендуется измерять пиранометром Янишевского М-80 с гальванометром ГСА-1.
2.55. Для измерения интенсивности прошедшей в помещение солнечной радиации пиранометр устанавливают по центру светового проема на расстоянии 0,1 м от стекла, причем приемная поверхность должна быть параллельна плоскости окна. При измерениях регистрируют показания гальванометра.
2.56. Количество тепла qc, Bт/м2, поступающего в помещение за счет солнечной радиации через единицу площади проема, определяют по формуле
где β - показание гальванометра; а - переводной множитель показаний гальванометра в показания потока солнечной радиации, определяемый градуировкой прибора, Вт/м2·А;
F·h - поправочный коэффициент прибора, определяемый по его градуировочному графику в зависимости от высоты солнца. Высоту солнца определяют по справочнику строительной климатологии.
2.57. Расход тепло- и хладоносителя определяют либо прямыми измерениями (способом заполнения мерных резервуаров с отсчетом времени заполнения, взвешиванием и др.), либо косвенными (с помощью водомера, измерительной диафрагмы с подключенным к ней дифференциальным манометром или теплового баланса).
2.58. При измерении расхода теплохладоносителя с помощью мерных резервуаров последние должны быть снабжены градуированными указателями уровня. Малые количества жидкости можно намерять в калиброванных ведрах.
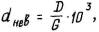
2.59. Определение мерного отверстия диафрагмы для измерения расхода воды при наладке или испытаниях теплообменников, использующих воду в качестве теплохладоносителя, с достаточной точностью можно производить по номограмме, приведенной в рекомендуемом приложении 3. По этой номограмме определяют отношение диаметра мерного отверстия d к внутреннему диаметру трубопровода D в зависимости от максимального расчетного расхода воды и заданного перепада давления на диафрагме ΔР.
Расход воды через измерительную диафрагму W, м3/с, определяют на основании показаний дифференциального манометра по перепаду давления по формуле
(16)
где А - коэффициент, зависящий от жидкости, заполняющей дифференциальный манометр. Для приборов, заполненных ртутью, над которой находится вода, А = 12,3·10-6, для заполненных водой, над которой находится воздух, А = 3,4·10-6;
d - диаметр мерного отверстия измерительной диафрагмы, мм;
h - разность высот столбов жидкости в дифференциальном манометре, мм;
ρж - плотность жидкости, кг/м3;
α - коэффициент расхода измерительной диафрагмы, определяемый по отношению диаметров отверстий диафрагмы и трубы, d/D, приведен в справочном приложении 4.
2.60. Методика косвенных измерений расходов тепло- и хладоносителя через теплообменные аппараты с помощью теплового баланса изложена в пп. 4.43.1; 4.47 и 7.55 настоящих рекомендаций.
2.61. Частоту вращения колеса вентилятора можно определять непосредственным измерением тахометром частоты вращения вала вентилятора или вала электродвигателя (при установке колеса вентилятора на валу электродвигателя).
2.62. Для измерения частоты вращения валов рекомендуется применять тахометры класса точности 0,5 и 1, например СК-750, ИО-30 и ТЧ10-Р.
2.63. Если конец вала имеет центральное углубление, измерение производят с помощью наконечников, в противном случае - с помощью шкива тахометра, непосредственно приставленного к валу или шкиву вентилятора или электродвигателя.
2.64. При измерениях с помощью шкива тахометра число оборотов колеса вентилятора nv, с-1 (об/мин), определяют по формуле
(17)
где пт - показания тахометра, с-1 (об/мин);
Dт - диаметр шкива тахометра, мм;
Dv - диаметр вала или шкива вентилятора, или электродвигателя, мм.
2.65. На основании данных измерений частоты вращения ведомого и ведущего шкивов и их диаметров следует определить скольжение η, %, ремней по формуле
(18)
где пэ - частота вращения ротора электродвигателя, с-1 (об/мин);
Dэ - диаметр шкива электродвигателя, мм.
Обычно скольжение составляет:
для клиноременной передачи η = 0,5 - 4 %;
для плоскоременной передачи η = 1 - 7 %.
При больших скольжениях необходимо натянуть ремни.
2.66. Содержание вредных веществ в воздухе определяют при санитарно-химическом контроле воздуха производственных помещений, обследовании вентиляционных выбросов, очистных устройств, испытании местных отсосов, приточных систем и др.
2.67. Качественный состав компонентов воздуха определяют:
изучением технологического процесса, состава применяемого сырья и материалов, технической и другой документации, литературных источников;
анализом возможности взаимодействия вредных веществ между собой и с другими компонентами воздуха, а также образования продуктов распада.
При необходимости могут быть использованы методы качественного, а также количественного анализов, в том числе с применением регистрирующих газоанализаторов или индикаторных трубок, обладающих достаточно низкой границей определяемых концентраций.
2.68. Нижняя граница определяемых концентраций вредных веществ в воздухе не должна быть выше:
0,5 уровня максимально разовой предельно допустимой концентрации (ПДК р.з.) или ориентировочного безопасного уровня воздействия вредного вещества в воздухе рабочей зоны (ОБУВ р.з.) при санитарно-химическом контроле воздуха производственных помещений;
0,5 значения нормируемого технологического параметра воздуха производственных помещений и др.;
0,5 уровня ПДК р.з. (ОБУВ р.з.) при первичном обследовании вентиляционных выбросов;
0,5 уровня контрольного значения предельно допустимого (ПДВ) или временно согласованного выброса загрязняющих веществ в атмосферу (ВСВ) при контроле за их соблюдением;
0,15 уровня ПДК р.з. (ОБУВ р.з.) при обследовании приточных систем;
0,5 ожидаемого уровня концентрации вредного вещества в воздухе при обследовании очистных устройств, местных отсосов и др.
2.69. Одновременно с определением качественного состава компонентов воздуха устанавливают агрегатное состояние вредного вещества (пар, газ - п, аэрозоль - а, смесь пара и аэрозоля - п + а), которое необходимо учитывать.
Агрегатное состояние вредного вещества в воздухе при стандартной или близкой к стандартной температуре приведено в нормативно-технической документации по ПДК р.з. (ОБУВ р.з.), утверждаемой Минздравом СССР.
При контроле веществ в воздуховоде (газоотходе) необходимо учитывать следующее:
при температуре воздуха (газовой среды), отличающейся от стандартной, вид агрегатного состояния вещества может изменяться, так как в нагретой газовой среде увеличивается доля паров, а в холодной - аэрозоля;
если для определения содержания вещества применяют метод внешней фильтрации с охлаждением или нагревом отбираемой струи газа вид агрегатного состояния вещества может изменяться вследствие конденсации вещества (при охлаждении струи газа) или увеличении доли пара (при нагреве струи газа);
если мерное сечение газохода расположено достаточно близко к источнику выделения, агрегатное состояние вещества может не соответствовать равновесному при данной температуре.
Для веществ, агрегатное состояние которых при данной температуре газовой среды неизвестно, вид агрегатного состояния при контроле определяют по следующим зависимостям:
(19)
(20)
(21)
где Сож.t - ожидаемая (фактическая) концентрация вещества, мг/м3, при температуре окружающей среды t °C;
Lt - летучесть (максимальная концентрация паров) вещества, мг/м3, при его температуре t, °С.
Летучесть одного из компонентов смеси Ltк, мг/м3, вычисляют по формуле
(22)
где
- молярная доля компонента;
ак, аi - cодержание расчетного компонента и каждого составляющего, %;
Mк, Mi - молекулярная масса расчетного компонента и каждого составляющего, кг/моль;
Рtк - давление (упругость) насыщенного пара компонента при его температуре t, °C, кПа.
Давление насыщенного пара определяют из формулы
(23)
где tкип - температура кипения вещества, °С.
В сомнительных случаях определение содержания вещества в воздухе следует производить, считая вещество находящимся в смешанном агрегатном состоянии.
2.70. Для обеспечения воспроизводимости результатов определения содержания вредных веществ в воздухе важное значение имеют время и длительность измерения максимально разовой концентрация (отбора проб).
2.70.1. Время измерения концентрации (отбора проб) должно соответствовать времени максимального выделения вредного вещества источником при характерных производственных условиях, т.е. при выполнении сменного задания, как правило, не ниже чем на 100 %, и установленной одновременности работы и степени загрузки технологического оборудования.
Нарушения технологического процесса, неисправное состояние или неправильная эксплуатация оборудования и всех средств предотвращеия загрязнения воздуха рабочей зовы и атмосферы вредными веществами (вентиляция, укрытие, очистка и т.п.) подлежат устранению до проведения измерений.
2.70.2. Длительность измерения максимально разовой концентрации (отбора проб) вредных веществ в воздухе должна быть при обследовании:
воздуха производственных помещений и местных отсосов на содержание веществ с остронаправленным механизмом действия (оксиды азота, фтористый, хлористый и цианистый водород, озон, сероводород, окись углерода, формальдегид, хлор и др.) - не более 5 мин, на содержание пылей, преимущественно фиброгенного действия, - не более 30 мин, в остальных случаях - не более 15 мин;
очистных устройств и приточных систем - не ограничена;
вентиляционных выбросов - не более 20-50 мин для условий постоянной амплитуды содержания вещества, а в условиях переменной амплитуды - строго 30 мин либо многократно в случае мгновенных методов отбора проб (измерения). Время и длительность измерения (отбора проб) до и после пылегазоочистного устройства (при обследовании очистных устройств), а также у местного отсоса в воздухе производственного помещения и в газоходе (при обследовании местных отсосов) должны, как правило, совпадать.
Если чувствительность методов анализе позволяет отобрать за указанные промежутки времени не одну, а несколько проб, то следует определить среднее значение результатов отобранных проб.
При контроле содержания вредных веществ в воздухе рабочей зоны время отбора проб не должно превышать продолжительности стадия или операции процесса. Если продолжительность стадии (операции) технологического процесса не позволяет отобрать последовательно необходимое количество проб, отбор должен быть продолжен при повторении данной стадии.
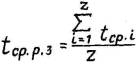
2.70.3. Измерение концентрации (отбор проб) при определении среднесменной концентрации вредного вещества должно охватывать не менее 75 % продолжительности смены. Для характеристики уровня среднесменной концентрации необходимо провести обследование не менее 5 смен при контроле воздуха рабочей зовы и не менее 7 смен при контроле выбросов. Допускается принимать в качестве среднесменной концентрации среднее арифметическое значение результатов многократного (не менее пяти) последовательного и равномерного (в течение всей смены) контроля воздуха при неограниченном времени отбора проб.
2.71. Определение содержания вредных веществ в воздухе осуществляется:
регистрирующими газоанализаторами (пылемерами) различных типов;
индикаторными трубками, в том числе снаряженными потребителями;
отбором проб и количественным определением веществ в отобранной пробе.
Особенности измерения концентраций (отбора проб) вредных веществ в потоке контролируемой среды (в воздуховоде, газоходе и др.) изложены в пп. 2.72.2 и 2.72.3.
2.71.1. Индикаторные трубки применяются для оперативного измерения в воздухе концентраций ряда газов (паров); окислов азота (окиси и двуокиси); аммиака, сернистого ангидрида, ацетилена, ацетона, бензина, бензола, диэтиламина, ксилола, брома, метилакрилата, озона, сероводорода, спиртов (н-бутилового, изопропилового, изобутилового), толуола, углеводородов нефти, углерода (окиси и двуокиси), уксусной кислоты, хлора, этилового эфира и др.
Концентрацию устанавливают по специальной шкале. При размытости границы раздела окрасок слоев исходного и прореагирующего индикаторного порошка отсчет по шкале проводят по нижней и верхней границам. За результат принимают среднее значение.
Основанием для использования индикаторных трубок являются ГОСТ 12.1.01.4-79, настоящие рекомендации, нормативно-техническая документация на индикаторные трубки, фактическая концентрация вредного вещества в воздухе. Возможность применения индикаторных трубок при санитарно-химическом контроле воздуха производственных помещений устанавливают после проведения одноразовой оценки состава воздуха рабочей зоны (для неисследованных ранее производственных условий). Использование в этом случае вспомогательных трубок (если это предусмотрено) является обязательным.
2.71.2. Отбор проб для последующего количественного определения вещества осуществляется, как правило, с использованием средств, устройств и приспособлений, применяемых в газовом анализе и при санитарно-химическом контроле вредных веществ в, воздухе.
При определении содержания газо- и парообразных вредных веществ контролируемую среду (воздух) отбирают в различные емкости (шприцы, пипетки и др.) и в последующем анализируют, например, с использованием хроматографов либо пропускают через специальные устройства для поглощения (улавливания) вещества и последующего количественного анализа.
Поглощение вещества производят, как правило:
жидкими поглотительными средами с использованием поглотительных сосудов: со стеклянной пористой пластинкой или Рыхтера;
твердыми пористыми (селикагель, полисоро, цеолит и др.), непористыми (сульфат магния и др.) и пленочными сорбентами с использованием сорбционных трубок или специальных фильтров.
При определении содержания веществ, находящихся в воздухе в виде аэрозоля, контролируемую среду пропускают через специальные устройства для фильтрации (улавливания) вещества и последующего количественного анализа. Вещество фильтруют через аналитические аэрозольные фильтры АФА, стекловолокно и другие фильтры, помещаемые в открытые, а при контроле в потоке воздуха - в закрытые аллонжи. В ряде случаев при определении содержания пыли в потоке контролируемой среды улавливание производят тканевыми фильтрами, патронами с бумажной гильзой или стекловолокном, циклонами различных конструкций и др.
При отборе проб аэрозолей в потоке воздуха с соблюдением, принципа изокинетичности применяют стеклянные, кварцевые, фторопластовые и другие пробоотборные трубки. При этом в ходе количественного анализа вещества в пробе учитывают, как правило, смыв со стенок пробоотборной трубки. Для отбора проб пыли применяют пылеотборные трубки специальных конструкций, как правило, со сменными наконечниками.
Вещества в смешанном агрегатном состоянии отбирают с помощью средств, позволяющих производить, как правило, одновременное улавливание паров и аэрозолей. Порядок отбора проб приводится в соответствующей методике измерения и при необходимости может уточняться.
Погрешность измерения интегрального объема воздуха, пропущенного через поглотительное (фильтрующее, улавливающее) устройство, не должна превышать ± 10 %. Степень поглощения соответствующего устройства не должна быть, как правило, меньше 95 %.
2.71.3. Отбор и анализ проб пылей с соблюдением принципа изокинетичности проводится в соответствии с указаниями на гравиметрическое определение пыли в воздухе рабочей зоны и системах вентиляционных установок, разработанными ГПИ Проектпромвентиляция и утверждеввыми Минздравом СССР и (или) методикой определения запыленности технологических газов в газоходах, согласованной с Госкомгидрометом.
Выбор методов и методик количественного определения веществ в пробе должен базироваться, как правило, на использовании новейших достижений современной физической и аналитической химии с преимущественным применением инструментальных методов анализа (хроматографии, полярографии, фотометрии, спектрометрии и др.).
2.71.4. При определении количества (концентрации) вещества в выбранной пробе рекомендуется использовать методики санитарно-химического контроля воздуха рабочей зоны, утвержденные Минздравом СССР и приведенные в "Методических указаниях на определение вредных веществ в воздухе", а также методики измерения концентраций веществ в промышленных выбросах, согласованные с Госкомгидрометом и приведенные в "Сборнике отраслевых методик измерений концентраций загрязняющих веществ в промышленных выбросах". Допускается применение методик газового анализа, а также методик, приведенных в справочных руководствах и другой литературе и отвечающих требованиям настоящих рекомендаций. При необходимости соответствующие методики могут уточняться.
При количественном определении вещества в пробе относительная погрешность результатов не должна превышать ± 10 % при доверительной вероятности 95 %.
2.71.5. При определении содержания вещества в пожаро- и взрывоопасных условиях применяют индикаторные трубки, регистрирующие газоанализаторы в соответствующем исполнении. В качестве побудителя расхода газа при отборе проб применяют эжекторы, стеклянные аспираторы. В случае применения при отборе проб электромеханических аспираторов их выносят за пределы соответствующих помещений.
2.71.6. Количество повторных последовательных измерений (отборов проб) для получения среднего значения должно быть:
как правило, не менее семи при обследовании источников выбросов и очистных устройств; не менее пяти в остальных случаях.
При контроле источников выбросов повторные измерения, при условии соблюдения рекомендаций п. 2.70.1, допускается проводить в течение нескольких дней.
Для составления баланса по газу, с количеством циклов не менее двух, количество повторных измерений (отборов проб) в каждом цикле должно быть не менее трех,
2.72. При определении содержания вредных веществ, в первую очередь аэрозолей (пылей) в потоке контролируемой среды, т.е. при измерениях, производимых в ходе обследования вентиляционных выбросов, очистных устройств, местных отсосов и приточных систем, необходимо учитывать ряд особенностей, обусловленных неравномерностью распределения вещества в мерном сечении воздуховода (газохода).
2.72.1. Определение содержания веществ в потоке газовой среды проводят, как правило, на прямом участке газохода, на расстоянии не менее шести гидравлических диаметров за местом возмущения потока и не менее двух-трех гидравлических диаметров до места возмущения потока. При длине прямолинейного участка менее восьми гидравлических диаметров в качестве мерного следует выбирать сечение, делящее участок газохода в отношении 3:1 в направлении движения потока газовой среды.
Перед проведением измерения (отбора проб) газоходы (в мерном сечении) оборудуют специальными лючками с задвижкой, патрубками с завинчивающимися крышками или пробками, отверстиями, которые заклеивают липкой лентой, пластырем и т.п.
Вентиляционные выбросы контролируют по возможности ближе к устью трубы.
2.72.2. Определение содержания веществ в потоке газовой среды проводят в зависимости от того, где располагается фильтрующее или поглотительное устройство (внутри газохода или снаружи), методом внутренней или внешней фильтрации.
При температуре газовой среды, близкой к стандартной, контроль производят методами внутренней или внешней фильтрации. При выборе метода необходимо учитывать, что контроль методом внутренней фильтрации дает более надежные результаты.
Метод внутренней фильтрации рекомендуется применять при определении содержания аэрозолей в условиях повышенной влажности контролируемой среды. При этом поперечное сечение фильтрующего устройства не должно превышать 2 % площади поперечного сечения газохода, а второе сечение пробоотборной трубки (наконечник пылеотборной трубки) должно выступать вперед навстречу газовому потоку на расстояние не менее двух диаметров фильтрующего, устройства.
При повышенных температурах, как правило, используют метод внешней фильтрации с охлаждением струи контролируемого газа. При этом поглотительное (фильтрующее) устройство следует размещать по возможности ближе к газоходу. При контроле методом внешней фильтрации применяют пробоотборную (пылеотборную) трубку, которая в случае контроля аэрозолей (пылей) должна быть изогнута и направлена навстречу газовому потоку.
В случае, если поглотительное или фильтрующее устройство расположено на значительном удалении от газохода, используемые при этом коммуникации необходимо промывать контролируемой газовой средой.
2.72.3. Изокинетический отбор проб веществ в потоке газовой среды обязателен при определении содержания аэрозолей с размером частиц более 5 мкм (абразивная, угольная, цементная, металлургическая, древесная, мучная, агрегированная пыль, тальк, песок, известняк, зола и др.). Аэрозоли с размером частиц не более 5 мкм (атмосферная пыль, аэрозоли конденсации и химических производств, щелечной, масляный, смоляной и другие туманы, возгоны, окрасочный аэрозоль, дымы, сажа и др.), а также вещества, находящиеся, в смешанном агрегатном состоянии, допускается отбирать без строгого соблюдения принципа изокинетичности.
При контроле веществ, находящихся в газо-и парообразном состояниях, соблюдение принципа изокинетичности не требуется. Соблюдение принципа изокинетичности может потребоваться в отдельных случаях определения содержания веществ в газо- и парообразном состояниях при наличии в потоке капельной влаги либо аэрозолей с размером частиц более 5 мкм, абсорбирующих или адсорбирующих контролирующее вещество. Изокинетичность в практике определения содержания веществ в потоке считается достигнутой, если:
входное отверстие пробоотборной трубки ориентировано строго навстречу потоку газовой среды;
обеспечено равновесие средней скорости газового потока в мерном сечении и скорости отбираемой на анализ струи исходя из следующей зависимости:
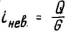
(24)
где Lпр - объемный расход отбираемой на анализ струи газа, л/мин;
Vm - средняя по сечению скорость движения газовой среды, определяемая в соответствии с рекомендациями пп. 2.35 - 2.41, м/с;
d - диаметр входного отверстия пробоотборной трубки (среднее арифметическое значение наружного и внутреннего диаметров), мм.
При этом погрешность поддержания объемного расхода струи газа (Lпр) не должна превышать ± 10 %.
При контроле веществ с соблюдением принципа изокинетичности входное отверстие пробоотборной трубки поочередно в течение всего времени отбора проб располагают в тех же точках, где проводят аэродинамические испытания вентиляционных систем, согласно рекомендаций пп. 2.24 и 2.25. Так, если отбор пробы проводят в течение 20 мин в четырех точках, то в каждой точке отбор проб следует проводить в течение 5 мин. Отбор проб при перемещении пробоотборного устройства от одной точки к другой прекращать не следует.
При контроле содержания аэрозоля на вертикальном участке газохода с длиной прямолинейного участка не менее восьми гидравлических диаметров допускается производить измерения в центре воздуховода (газохода).
Допускается проводить изокинетический отбор проб пылей (крупнодисперсных аэрозолей) при повышенной запыленности потока газовой среды в точках сечения, разбитого на равновеликие площади. В этом случае выравнивание скоростей проводят, как правило, в каждой точке мерного сечения газохода.
При определении содержания веществ без соблюдения принципа изокинетичности входное отверстие измерительного устройства следует располагать по возможности ближе к оси газового потока.
2.72.4. При выборе места для измерения содержания веществ в потоке воздуха естественных аэрационных проемов (аэрационных фонарей, шахт с дефлекторами и т.п.), а также вентиляторов крышного типа и т.п. необходимо руководствоваться следующим:
мерное сечение выбирают, как правило, перед входом в систему воздухоудаления;
измерение концентраций (отбор проб) проводят по возможности ближе к центру сечения, а в случае аэрационных фонарей - на продольной оси фонаря.
Измерение (отбор проб) на продольной оси фонаря производят в точках, количество которых зависит от длины аэрационного проема (до 10 м - 1 точка; до 20 - 2, до 30 - 3, до 60 -4, до 100 - 5, до 250 - 7, выше 250 м - 10 точек).
При контроле воздуха на выходе из аэрационного фонаря количество точек измерения (отбора проб) увеличивается пропорционально количеству аэрационных проемов.
Допускается проведение измерений (отборов проб) равномерным перемещением измерительного (пробоотборочного) устрйства либо дискретно путем прерывания длительности измерения (отбора проб) при переходе от точки к точке, расположенных равномерно вдоль оси фонаря.
Определение содержания аэрозолей в воздухе, удаляемом через аэрационные проемы и вентиляторы крышного типа, проводят без строгого соблюдения принципа изокинетичности.
2.72.5. При необходимости определения валового количества вещества (т/год), удаляемого в атмосферу источниками выброса, измеряют среднесуточную (среднесменную) концентрацию вещества;
многократным (не менее пяти) последовательным равномерным измерением (отбор проб) в течение суток (смены) в характерных производственных условиях с не менее чем двукратным повтором;
измерением (отбором проб) в характерных производственных условиях на каждой стадии (операции) технологического процесса с построением диаграмм и последующим интегрированием результатов;
суточным (сменным) измерением (отбором проб) с применением автоматических газоанализаторов.
2.73. Дисперсный состав пыли (аэрозоля) определяют, как правило, при решении вопроса об очистке.
При отборе проб для последующего анализа дисперсного состава (аспирационный метод), а также при разделении пыли (аэрозоля) на фракции непосредственно в потоке газовой среды, например, с применением каскадных импакторов соблюдение основных правил отбора проб (место отбора, отбор средней пробы, изокинетичность) обязательно. Длительность отбора проб неограничена. Количество повторных отборов должно быть, как правило, не менее пяти.
Анализы проб (при аспирационном методе определения дисперсного состава, а также при определении дисперсного состава пыли, уловленной действующими очистными устройствами) проводят ситовым, седиментационным и другими методами.
В ряде случаев в воздухе производственных помещений измеряют концентрацию аэрозольных частиц с применением фотоэлектрических счетчиков А3.
2.74. Результаты определения содержания веществ в воздухе приводят к стандартным условиям [температура 293 К (±20°С), атмосферное давление 101,325 кПа (760 мм рт. ст.)] по формуле
(25)
где Ct - концентрация вещества в мг/м3 или г/м3 при температуре t, °С;
В - барометрическое давление, кПа.
2.75. Относительная погрешность результатов определения содержания вещества в воздухе (газовой среде) не должна превышать ± 25 % при санитарно-химическом контроле воздуха производственных помещений и ± 33 % в остальных случаях при доверительной вероятности 95 %.
Для веществ, контролируемых с соблюдением принципа изокинетичности, в условиях переменной амплитуды содержания вещества в момент измерения концентрации (отбора проб) допускается относительная погрешность не более - 50 % при доверительной вероятности 95 %. Если фактическая относительная погрешность превосходит допустимую, необходимо радикально менять методику измерения, обращая внимание, в первую очередь, на технологический процесс.
2.76. Результаты определения содержания веществ в воздухе (первичные данные и средние значения) заносят в таблицы обязательных приложений 6 и 7.
2.77. Погрешности результатов произведенных прямых или косвенных измерений не должны превышать предъявляемых настоящими рекомендациями требований к их точности или точности обеспечения результатов наладки. Указанное достигается проведением многократных измерений и исключений систематических и грубых ошибок (промахов).
2.78. Систематические ошибки устраняют с помощью поверенных измерительных приборов, имеющих таблицы или графики поправок.
При использовании в процессе взаимосвязанного комплекса измерений нескольких приборов одного функционального назначения (например, для замеров температуры и влажности воздуха рабочей зоны используют несколько психрометров) последние должны быть, как правило, одного класса точности, а их показания перед проведением работ должны быть сверены и, если это необходимо, внесены соответствующие поправки.
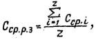
2.79. в процессе анализа результатов измерений могут встретиться одно или несколько значений, резко отличающихся от остальных и вызывающие сомнение в их достоверности. Проверку годности таких результатов (проверка на промах) проводят следующим образом:
вычисляют среднеарифметическое значение Хср всех Z результатов, включая сомнительные Хк по формуле
(26)
вычисляют среднюю квадратичную погрешность (с учетом сомнительного результата)
(27)
вычисляют относительное отклонение сомнительного результата
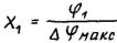
(28)
При Vмакс ≥ 2 сомнительный результат считают промахом и при последующем вычислении среднего значения результатов измерений Хк исключают (не учитывают). Если после исключения Хк сомнение вызывает и другой результат измерений, то проверку его годности проводят аналогично изложенному. Если в ходе проверки годности сомнительных результатов исключению подлежит более одной трети всех значений, то все результаты считают неудовлетворительными и проводят повторные измерения (испытания, отборы проб и т.п.).
2.80. После устранения систематических и грубых (промахов) ошибок производят оценку погрешности результата многократных измерений в такой последовательности:
вычисляют среднее арифметическое значение Хср z - годных результатов по формуле (26);
вычисляют среднюю квадратичную погрешность Sx z - годных результатов по формуле (27);
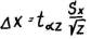
вычисляют доверительный интервал ΔX, в пределах которого находится истинное значение измеряемой величины
(29)
где tαz
- коэффициент Стьюдента, определяемый при доверительной вероятности α =
0,95 по табл. 1; записывают окончательный результат Хср ±
ΔX; вычисляют фактическую относительную погрешность измерения, %,
которую сравнивают с установленной в
настоящих рекомендациях. Если полученная относительная погрешность больше
установленной, необходимо провести дополнительный цикл измерений.
Таблица 1
|
Z |
2 |
3 |
4 |
5 |
6 |
7 и 8 |
9 и 10 |
от 11 до 14 |
от 15 до 27 |
28 и выше |
|
tαz |
12,7 |
4,3 |
3,2 |
2,8 |
2,6 |
2,4 |
2,3 |
2,2 |
2,1 |
2,0 |
3.1. Режимная наладка водяных систем отопления заключается в обеспечении требуемых температур воздуха внутри отапливаемых помещений. Необходимым условием наладки систем является обеспечение на индивидуальном тепловом пункте (ИТП) расчетных теплового и гидравлического режимов.
3.2. Наладка систем предусматривает такой порядок ее выполнения:
разработка мероприятий по наладке систем;
выполнение разработанных мероприятий монтажной организацией или заказником;
регулирование системы отопления.
3.3. Разработку мероприятий начинают с обследования систем отопления, при этом выявляют фактические эксплуатационные режимы, возможные дефекты проекта, монтажа и т.д.
3.4. На основе проекта и данных обследования уточняют необходимый тепловой режим системы отопления, определяют расходы теплоты и воды при расчетных условиях по отдельным элементам системы (отопительным приборам, стоякам, ветвям) и в целом по системе, после чего производят:
гидравлический расчет трубопроводов системы отопления;
расчет необходимых сужающих устройств (дроссельных диафрагм) по ветвям, ответвлениям, стоякам или отопительным приборам системы для обеспечения условий расчетного гидравлического режима системы;
определяют возможности и способы обеспечения на ИТП системы отопления необходимых параметров теплоносителя по давлениям и температурам.
3.5. При обследовании системы отопления и ИТП:
выявляют типы и количество установленных отопительных приборов;
определяют наивысшую отметку отопительной системы;
составляют расчетную схему трубопроводов системы отопления с указанием длин и диаметров участков. На схеме должны быть нанесены отопительные приборы;
определяют состояние наружных и, при возможности, внутренних поверхностей отопительных приборов (в первую очередь приборов, в которых наблюдается плохой прогрев концевых секций), изоляции разводящих трубопроводов, строительных ограждений зданий (оков, фрамуг, ворот и т.д.);
выявляют наличие необходимых воздухосборников и мест неорганизованного водозабора из систем отопления;
знакомятся со схемами обвязки регистров по теплоносителю и коммуникаций ИТП, с основным оборудованием ИТП (элеваторами, водоподогревателями отопления и горячего водоснабжения, насосами, грязевиками и пр.), его состоянием и характеристиками, с местами расстановки арматуры, КИП и регулирующих приборов.
3.6. При ознакомлении с гидравлическим и тепловым режимами работы системы отопления и ИТП должны быть установлены на основе данных эксплуатации:
особенности работы системы отопления, в том числе степень и характер гидравлической и тепловой разрегулировки, непрогревы и т.д.;
давление воды в подающем и обратном трубопроводах на ИТП;
соответствие расчетному графику фактических температур горячей и обратной воды от системы отопления на ИТП;
режим работы основного оборудования ИТП (элеваторного узла, водоподогревателей и пр.).
3.7. На основе материалов обследования составляют перечень мероприятий по упорядочению работы системы, рекомендуемых к выполнению независимо от последующих расчетов. В этот перечень включают указания:
по устранению выявленных при обследовании дефектов проекта и монтажа;
по очистке и промывке подогревателей, трубопроводов и нагревательных приборов системы отопления;
по устранению перемычек между подающим и обратным трубопроводами на ИТП;
по изменению принципиальной схемы ИТП;
по переделке обвязки отопительных приборов с параллельного на последовательное по воде;
по установке недостающих КИП и запорно-регулировочной арматуры;
по установке недостающих воздухосборников;
по ремонту установленного оборудования и арматуры;
по утеплению жилых и промышленных зданий (остекление фонарей и окон, приведение в исправное состояние наружных дверей и пр.).
3.8. Расходы теплоты для расчетных условий по отопительным системам жилых, общественных и административных зданий при наличии проектной документации и соответствии проектов натуре принимают по проектным данным.
3.9. Расходы теплоты Qор, кВт (Гкал/ч), для расчетных условий по отопительным системам жилых, общественных и административных зданий (не примыкающих к производственным помещениям) при отсутствии проектной документации или несоответствии проектов натуре определяют по укрупненным измерителям, исходя из удельной тепловой характеристики и кубатуры здания но формуле
(30)
где qо - удельная отопительная характеристика здания при разности температур Δto = tвн.р - tн.р = 18 - (-30°) = 48 °с определяется по справочному приложению 7, Вт/(м3с·°с) (ккал/м3·ч·°С);
Кt - температурный коэффициент, учитывающий отклонение фактической разности температур от Δto (коэффициент Кt при расчетных температурах наружного воздуха для проектирования отопления, отличных от -30 °С, можно принимать по табл. 2 для жилых и общественных зданий)
(31)
V - объем отапливаемой части здания по наружному обмеру, м3;
tвн.р - расчетная температура внутри отапливаемого здания, °С;
tн.р - расчетная зимняя температура наружного воздуха для проектирования отопления, °С.
Таблица 2
|
Температура наружного воздуха (расчетная для отопления),°С |
-10 |
-15 |
-20 |
-25 |
-30 |
-35 |
-40 |
-45 |
-50 |
|
Kt |
1,45 |
1,29 |
1,17 |
1,08 |
1 |
0,95 |
0,9 |
0,85 |
0,82 |
3.10. Расходы теплоты для расчетных условий по отопительным системам, оборудованным конвективно-излучающими приборами для производственных зданий и временных сооружений, а также административных зданий, примыкающих к производственным помещениям, - определяют только по поверхности нагрева фактически установленных отопительных приборов по каждому помещению. Определение расчетных расходов теплоты по площади поверхности нагрева фактически установленных отопительных приборов производят в таком порядке.
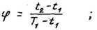
3.10.1. Составляют уточненную в натуре расчетную принципиальную схему системы отопления (рис. 5). При составлении расчетных схем необходимо:
уточнить схему системы отопления (однотрубная, двухтрубная), расположение стояков (вертикальные, горизонтальные), схему движения теплоносителя в разводящих магистралях (тупиковая, попутная);
уточнить схемы присоединения отопительных приборов к стоякам системы отопления, а также схему движения воды в отопительных приборах и способ их установки;
установить вид и тип отопительных приборов и определить: для чугунных радиаторов -число секций; для стальных штампованных радиаторов - число панелей; для конвекторов с кожухами типа "Комфорт" - число проходных и концевых конвекторов, а также число и диаметр труб в конвекторе и длину оребренной их части;
для конвекторов без кожуха и ребристых труб - число конвекторов или длину ребристых труб в одном горизонтальном ряду и число рядов по вертикали;
для гладкотрубных радиаторов - диаметр труб, длину трубы в одном горизонтальном ряду и число рядов по вертикали.

условные обозначения
|
|
ИТП |
|
конвектор |
|
|
Номер участка Расход воды на участке, ч/ч Длина трубопровода, м Подающий и обратный трубопроводы |
|
Дроссельная диафрагма с dо = 7,5 мм Обозначение стояка |
Рис. 5. Расчетная схема системы отопления
3.10.2. Определяют площадь поверхности нагрева Fпp, экм, каждого отопительного прибора.
3.10.3. Определяют расчетный расход теплоты Qp, кВт (ккал/ч), по формуле
(32)
где А = 1(103);
q - плотность теплового потока, Вт/экм (ккал/ч·экм), определяют по справочному приложению 8.
3.11. Расчетные расходы воды Wр, кг/с (т/ч), для отопительного прибора (стояка, системы в целом) определяют по формуле
(33)
где А = 1(103);
Т1р, Т2р - расчетные температуры горячей и обратной воды системы отопления, °С;
Cвд - теплоемкость воды, Cвд = 4,187 кДж/кг °С (1,0 ккал/кг °С).
3.12. Гидравлический расчет производят после составления уточненной расчетной схемы местной системы отопления с нанесением на нее расчетных участков. За основу принимают расходы воды отопительных приборов (или стояков) для расчетных условий.
Примечание. Если расход теплоты по системе отопления, определенный по фактически установленным поверхностям нагревательных приборов, превышает проектный расход теплоты на 15 - 20 % и выше, рекомендуется в расчет принимать проектную теплопроизводительность системы отопления, а расходы теплоты и воды по стоякам при атом распределять пропорционально площади установленной поверхности нагрева на каждом стояке.
3.12.1. Эквивалентную шероховатость трубопроводов действующих местных систем отопления, присоединенных к тепловой сети по непосредственной схеме (и по независимой схеме при подпитке из тепловой сети), принимают равной фактической эквивалентной шероховатости тепловой сети с тем же сроком эксплуатации. При гидравлическом расчете вновь смонтированных систем отопления эквивалентную шероховатость следует принимать равной 0,2 мм.
3.12.2. Местные потери от линейных потерь давлений на участках с целью упрощения расчета принимают равными:
30% при шероховатости 0,2-0,5 мм;
20% при шероховатости 1-2 мм;
15% при шероховатости 3-4 мм.
3.12.3. Суммарные потери давления на участке (линейные + местные) рс, Па (мм вод. ст.), определяют по формуле
(34)
где А = 1(0,102); Δh - удельные потери давления на участке, определяемые по справочному приложению 8, Па/м (кгс/м2/м);
β - поправочный коэффициент, принимаемый по справочному приложению 9;
l - длина участка, м; 1,34 + 1,15 - множитель для учета местных потерь давления согласно п. 3.12.2.
3.12.4. В тупиковой системе отопления, где подающий и обратный трубопроводы идентичны по диаметрам, длинам и расходам воды, гидравлический расчет проводят для одного трубопровода, а гидравлические потери удваивают. Для системы отопления с попутным движением теплоносителя гидравлический расчет проводят отдельно по подающему и обратному трубопроводам, форма записи гидравлического расчета трубопроводов системы отопления приведена в таблице обязательного приложения 10.
3.13. Гидравлический режим системы отопления стабилизируется с помощью постоянных сопротивлений (сопел элеваторов и дроссельных диафрагм), а также средств автоматического регулирования, устанавливаемых на ИТП системы отопления и у нагревательных приборов, при этом гидравлический режим работы должен обеспечивать надежность, безаварийность и экономичность системы.
3.13.1. Диаметры отверстий сопел элеваторов dc, мм, рассчитывают из условия гашения всего располагаемого давления на ИТП по формуле
где А = 32,2 (9,6);
Рр - располагаемое давление перед элеватором, кПа (м вод. ст.).
Номограмма для определения диаметра сопла элеватора приведена в справочном приложении 11.
3.13.2. Дроссельные диафрагмы для гашения избыточного располагаемого напора на ИТП системы отопления могут быть установлены на подающем или обратном трубопроводе (или на обоих трубопроводах) в зависимости от необходимого для системы гидравлического режима.
Примечание. Во избежание засорения отверстий дроссельные диафрагмы рекомендуется устанавливать либо на горизонтальном участке, либо на вертикальном с восходящим направлением движения теплоносителя.
3.13.3. Располагаемое давление после диафрагмы, установленной на ИТП, принимают, исходя из обеспечения максимальной гидравлической устойчивости системы теплопотребления, при этом отношение потери давления в приборе в сумме с сопротивлением диафрагмы у стояка или отопительного прибора к располагаемому давлению после диафрагмы на ИТП должно быть возможно ближе к единице. Для системы отопления, оборудованной конвективно-излучающими приборами (радиаторами, регистрами, конвекторами), значение располагаемого давления после диафрагмы, установленной на ИТП, должно в 2-3 раза превышать максимальные потери давления в разводящих магистралях (подающей и обратной) теплопотребляющей системы. Допускается при наличии больших потерь в разводящих магистралях от этого правила отступить и принять избыточное располагаемое давление у концевого стояка минимальным, равным 1-2 кПа (0,1-0,2 м вод. ст.), чтобы у первых по ходу воды стояков не устанавливать дроссельные диафрагмы диаметром менее 2,5 мм во избежание их возможного засорения.
3.13.4. Системы отопления жилых зданий, запроектированные на работу по температурному графику 95-70 °С и при этом увязанные по гидравлическим сопротивлениям, как правило, достаточно гидравлически устойчивы и не требуют регулировки дроссельными диафрагмами. Системы отопления промышленных зданий на перегретой воде по графикам 130-70 и 150-70 °С при обеспечении на ИТП системы расчетного расхода сетевой воды оказываются почти неработоспособными и требуют установки дроссельных диафрагм по стоякам или отопительным приборам.
3.13.5. Диаметр отверстия дроссельной диафрагмы d, мм, при отношении d/Dтр < 0,2 определяют по справочному приложению 12 или рассчитывают по формуле
(36)
где А = 33,5(10,0);
Ризб - избыточное располагаемое давление, гасимое в диафрагме и равное разности между располагаемым давлением перед стояком (прибором) и гидравлическим сопротивлением стояка (прибора), кПа (м вод. ст.).
Чертежи дроссельных диафрагм для установки во фланцевых и резьбовых соединениях приведены в рекомендуемых приложениях 13 и 14.
Расчет дроссельных диафрагм оформляют согласно рекомендуемому приложению 15.
Диаметры отверстий дроссельных диафрагм и места их установки указываются на расчетной схеме системы отопления.
3.14 Регулирование системы отопления в отопительный период производят только после выполнения заказчиком разработанных, мероприятий по наладке и устранения всех недоделок, а также после проведения выборочной ревизии сужающих устройств, обеспечения теплосетью на ИТП системы отопления расчетных параметров по температуре и давлению.
3.15. Наладка системы отопления включает:
обеспечение расчетного расхода теплоносителя на систему в целом и по отдельным ее элементам; при несоответствии фактических расходов расчетным производят корректировку отверстий сужающих устройств;
обеспечение расчетных внутренних температур воздуха в помещениях.
3.16. Регулирование систем отопления и отдельных теплопотребляющих приборов жилых и административно-общественных зданий базируется на проверке соответствия фактических расходов воды расчетным (определение относительных расходов воды).
Степень соответствия фактического расхода воды расчетному определяют температурным перепадом воды в системе и в отдельном теплопотребляющем приборе. Замеры температур на ИТП необходимо производить только при установившемся режиме работы тепловой сети.
3.16.1. Относительный расход воды для безэлеваторного ИТП (или ИТП с элеваторным и насосным узлами смешения) подсчитывают соответственно по формулам
(37)
(38)
где Т1, Т2, Т3 - температуры соответственно горячей, обратной и смешанной воды по расчетному графику при фактической температуре наружного воздуха, °С. Расчетные температурные графики приведены в справочном приложении 16;
Т'1, Т'2, Т'3 - замеренные на ИТП температуры соответственно горячей, обратной и смешанной воды, °С; Замеры производить при стабильном температурном режиме;
tн - фактическая температура наружного воздуха, при которой производили замеры на ИТП, °С.
3.16.2. Смену сопел элеваторов и дроссельных диафрагм производят в тех случаях, когда значение коэффициента относительного расхода воды у составляет менее 0,9 или более 1,15 и при этом температура воздуха в помещениях отличается от нормы.
Для выявления причины неудовлетворительной работы системы отопления от элеваторного узла сначала определяют его фактический коэффициент смешения:
(39)
Когда фактический коэффициент смешения ниже расчетного, необходимо тщательно произвести ревизию элеватора: проверить качество обработки камеры смешения, соосность корпуса элеватора с соплом, внутреннюю конусность сопла элеватора, расстояние от конца сопла до входа в камеру смешения (в элеваторах ВТИ и теплосети Мосэнерго оптимальное расстояние составляет 1,5 dc, в элеваторах Госсантехстроя и ОРГРЭС - 3,8 dc)
После ревизии элеватора и обеспечения коэффициента смешения, близкого к расчетному, вторично определяют коэффициент у и проверяют прогрев помещений и при необходимости корректируют сопло элеватора.
3.16.3. Скорректированный диаметр сопла элеватора dн, мм, вычисляют по формуле
(40)
где dст - первоначальный диаметр отверстия, мм.
3.16.4. Скорректированный диаметр отверстия дроссельной диафрагмы dн, мм, на ИТП при непосредственном соединении находят по формуле
(41)
где Рв - располагаемый перепад давления на ИТП, кПа (м вод. ст.);
ΔРф - фактическая потеря давления в системе отопления, кПа (м вод. ст.).
Если фактическую потерю давления в системе отопления измерить невозможно, то скорректированный диаметр отверстия диафрагмы определяют по формуле
(42)
где ΔРр - расчетные потери давления в системе отопления; берутся по данным проекта, по расчету или принимаются равными 10-20 кПа (1-2 м вод. ст.).
3.16.5. После замены сопел элеваторов или диафрагм на ИТП следует проверить температуру воздуха не менее чем в 15 % помещений. Измерения следует проводить при относительно стабильных наружных температурах воздуха. Если усредненное значение замеренных температур окажется ниже расчетного более чем на 0,5 °С или выше расчетного более чем на 2 °С, необходимо вторично скорректировать диаметр сопла элеватора или диафрагмы по формулам (40-42). Коэффициент у в этом случае подсчитывают по формуле
.
(43)
3.16.6. Расчет дроссельных диафрагм для установки на стояках системы отопления производят при разработке мероприятий по наладке системы. Расчет может быть также произведен в отдельных случаях и по упрощенной методике:
определяют расчетный расход воды по каждому стояку, кг/с (т/ч), по формуле
(44)
где А = 1,0 при Q в кВт или А = 10-3 при Q в ккал/ч;
устанавливают дросселируемое давление на каждом стояке;
для первых по ходу воды стояков 4-6 кПа (0,4-0,6 м вод. ст.);
для последних стояков 1 кПа (0,1 м вод. ст.);
для средних 1-4 кПа (0,1-0,4 м вод. ст.);
для попутных систем 3-4 кПа (0,3-0,4 м вод. ст.);
рассчитывают диаметр отверстия диафрагмы, устанавливаемой на стояке, по формуле (35) или по номограммам справочного приложения 13.
3.16.7.При вертикальной разрегулировке двухтрубных систем отопления дроссельные диафрагмы устанавливают в зависимости от расположения перегревающихся приборов. При перегреве приборов верхних этажей и недогреве приборов нижних этажей диафрагму следует ставить на обратном стояке между этими приборами; при перегреве только отопительного прибора верхнего этажа диафрагму ставят на подводке к прибору.
3.16.8. При вертикальной разрегулировке однотрубной системы с замыкающими участками (верхняя разводка) возможны следующие способы регулирования:
при перегреве приборов верхних этажей и недогреве приборов нижних этажей - установка диафрагмы на подводках к приборам верхних этажей, уменьшение площади поверхности нагрева на верхних этажах, увеличение диаметров перемычек на верхних этажах, снятие перемычек на нижних этажах;
при недогреве приборов верхних этажей по отдельным стоякам - установка диафрагм на замыкающих участках этих стояков на верхних этажах; при равномерном недогреве приборов верхних этажей и одновременном перегреве приборов нижних этажей - уменьшение коэффициента смешения путем прикрытия задвижки после элеватора;
при равномерном перегреве приборов верхних этажей и одновременно недогреве приборов нижних этажей - увеличение коэффициента смешения; для этого необходимо вместо элеватора на ИТП установить подмешивающий насос; для безэлеваторных систем необходимо установить элеватор.
Последние два способа регулирования применимы для двухтрубных систем отопления и однотрубных проточных систем. При вертикальной разрегулировке отдельных стояков однотрубной проточной системы их регулирование достигается или изменением площади поверхности нагрева отопительных приборов, или установкой замыкающих участков между входом воды в приборы и выходом ее из приборов.
3.17. Регулирование отопительных систем бытовых помещений производственных зданий, оборудованных приборами конвективно-излучающего действия, производят аналогично регулированию систем теплопотребления жилых и административных зданий.
3.17.1. Регулирование систем отопления цехов, оборудованных нагревательными приборами конвективно-излучающего действия, начинают с проверки работы всех нагревательных приборов с помощью термощупа или на ощупь. При неодинаковом прогреве приборов необходимо проверить наличие диафрагм у перегреваемых приборов и не засорены ли диафрагмы у холодных или плохо прогреваемых приборов, после чего промыть систему, установить недостающие диафрагмы и вновь проверить работу всех приборов. Если опять будет наблюдаться неравномерный прогрев приборов, следует увеличить или уменьшить площадь отверстия в диафрагме на 10-20 % в зависимости от перегрева или недогрева прибора (наименьший диаметр отверстия диафрагмы равен 2 мм).
3.17.2. После выравнивания прогрева приборов замеряют температуры горячей и обратной воды от этой системы или от ветви (только с приборами конвективно-излучающего действия) и по формулам (40 и 41) корректируют диафрагму, установленную на ИТП данной системы.
4.1. Испытание сетей воздуховодов или их участков на плотность проводят с целью обеспечить требования СНиП 2.04.05-86 в части потерь или подсосов воздуха системами вентиляции.
4.2. Испытаниям подвергают полностью смонтированные участки систем воздуховодов.
4.3. Испытания осуществляют в режиме нагнетания с помощью переносной установки (рис. 6), имеющей вентилятор, измерительные приборы и устройства.

Рис. 6. Стенд для испытания воздуховодов на плотность:
1 - вентилятор Ц10-28 № 3,15; 2 - диффузор; 3 - регулирующее устройство; 4 - гибкий воздуховод типа ВГО; 5 - спрямляющая решетка: 6 - измерительный участок; 7 - диафрагма; 8 - подсоединительная заглушка; 9 - присоединительные патрубок; 10 - испытываемый участок воздуховода; 11 - заглушки:12 - микроманометр типа MМH
4.4. Перед началом работ необходимо:
установить класс плотности испытываемых воздуховодов (П - плотные, Н - нормальные) в соответствии со СНиП 2.04.05-86;
определить рабочее статическое давление в воздуховодах испытываемой сети или на ее участках;
определить допустимые потери иди подсосы воздуха через воздуховоды и соединения испытываемой сети или ее участка;
установить заглушки на концах испытываемой сети или ее участка. Места примыкания заглушек к воздуховодам тщательно загерметизировать, полностью исключив потери или подсосы воздуха через них.
4.5. За рабочее статическое давление в воздуховодах Рsp, Па, принимают среднеарифметическое значение давлений в начале Рsн ив конце Рsк испытываемой сети или ее участка в расчетном режиме работы.
(45)
4.6. Расчетные допустимые потери или подсосы воздуха системой Lдоп, м3/ч, определяют по формуле
Они должны удовлетворять неравенству
(47)
где Fиcп, Fc - площади поверхностей соответственно испытываемого участка и всей вентиляторной сети, м2;
Lyд.доп - допустимые удельные потери или подсосы воздуха, определяемые в зависимости от класса плотности воздуховодов и рабочего статического давления в них, м3/с·м2. Lyд.доп определяют интерполяцией значений, приведенных в СНиП 2.04.05-86;
Lv - подача вентилятора испытываемой вентиляционной системы, м3/с.
4.7. Испытание сети воздуховодов или ее участка на плотность производят путем нагнетания расхода воздуха, равного расчетному значению допустимых потерь или подсосов воздуха Lдоп Если при Lдоп в испытываемой сети или на ее участке фактическое статическое давление Рsф равно расчетному статическому давлению Ps или выше, то участок считают выдержавшим испытания и пригодным для эксплуатации. Если при Lдоп имеет место неравенство Рsф < Рsp то участок подлежит герметизации. Герметизацию и испытание проводят, пока не получат требуемого качества воздуховодов.
4.7.1. Если обеспечить расход воздуха, равный Lдоп, невозможно, допустимо проводить как минимум трехкратные испытания сети или ее участка при расходах меньших Lдоп. При этом фиксируют фактические значения статических давлений.
4.7.2.
Полученные данные наносят на логарифмическую сетку и строят график зависимости
(рис. 7). Потери или подсосы воздуха L,
м3/ч, при рабочем статическом давлении Рsp определяют из графика или соотношения
(48)
где Li - расход нагнетаемого воздуха при испытаниях, м3/ч;
Рsiф - фактическое статическое давление в испытываемой сети или на ее участке при Li, Па;
r - тангенс угла наклона прямой зависимости L = f(Ps);
К - коэффициент, равный расходу воздуха, полученного из зависимости (48) при Ps = 1 Па.

Рис. 7. График зависимости L = К (Рsф)r, полученный по результатам испытаний сетей воздуховодов на плотность
4.7.3. Определяют фактическое значение удельных (на 1 м2 поверхности испытываемых воздуховодов) потерь или подсосов воздуха Lуд.ф, м3/с·м2, из графика или выражения (46) при рабочем статическом давлении Рsp и сравнивают его с допустимым, приведенным в СНиП 2.04.05-86.
Если Lуд.ф ≤ 4 Lуд.доп, то герметизовать воздуховоды не требуется. В противном случае необходимо выполнить работы в соответствии с п. 4.7.
4.8. Выявление мест потерь или подсосов воздуха производят при работе переносной установки путем внешнего осмотра проверяемой сети или ее участка с помощью руки, свечи, задымлением воздушного потока, методом нанесения мыльного раствора на подозреваемые места и т.п. или анемометром.
4.9. Перед началом работы необходимо: проверить и в случае необходимости очистить кожух и колесо вентилятора от загрязнений, проверить соответствие основных размеров установленного вентилятора каталожным данным;
проверить правильность направления вращения колеса вентилятора;
натянуть мягкие вставки, установленные до и после вентилятора, и подтянуть болты фланцевых соединений;
открыть все регулирующие, дросселирующие, воздухоприемные и воздуховытяжные устройства.
4.10. Проверка работы вентилятора в сети заключается в сопоставлении с каталожными и расчетными данными фактического режима работы вентилятора, а также фактически расходуемой мощности на его валу. Фактический режим работы вентилятора в сети соответствует точке пересечения фактической характеристики вентилятора с характеристикой сети.
4.11. Для установления фактического режима работы вентилятора необходимо определить:
подачу вентилятора Lvф, м3/с;
полное давление, развиваемое вентилятором Pv, Па;
мощность на валу вентилятора Nв, кВт;
частоту вращения колеса вентилятора п, с-1 (об/мин).
4.12. Подачу вентилятора определяют в соответствии с рекомендациями раздела 2 последовательно по формулам (3, 8 и 10).
4.I2.1. Подачу вентилятора следует определять по расходу воздуха в том сечении, в котором, лучше условия измерений. Если условия измерений в сечениях до и после вентилятора одинаковы, то подачу следует определять по средним арифметическим значениям расходов в этих сечениях.
4.13. Полное давление, развиваемое вентилятором при его испытании в сети, определяют как разность полных давлений на нагнетании и всасывании.
4.13.1 Измерение давлений до и после вентилятора следует производить у фланцевых соединений всасывающего и нагнетательного отверстий вентилятора.
4.13.2 Перед сопоставлением фактического режима работы вентилятора с каталожными данными необходимо значение замеренного полного давления, развиваемого вентилятором, привести к стандартным условиям воздуха (при давлении 101,325 кПа, температуре, 293 К, относительной влажности 50 %) по формуле
(49)
где Рvф - измеренное полное давление, приведенное к стандартным условиям воздуха, Па;
Рv - измеренное полное давление, Па;
В - измеренное барометрическое давление, кПа;
t - измеренная температура воздуха, °С.
4.14. Мощность на валу вентилятора Nв, кВт, следует определять по формуле
(50)
где Nэ - мощность, потребляемая электродвигателем;
ηэ - КПД электродвигателя;
ηп - КПД передачи.
4.15. Частоту вращения рабочего колеса вентилятора определяют по результатам замеров, выполненных в соответствии с рекомендациями пп. 2.61 - 2.65.
4.16. Если точка, определяемая фактической подачей (Lvф) и фактическим полным давлением (Рvф), попадает на кривую каталожной характеристики, построенной для замеренного числа оборотов, вентилятор следует считать соответствующим каталожным данным (рис. 8).

Рис. 8. Работа вентилятора в сети (вентилятор соответствует каталожным данным):
I - фактическая характеристика сети; II - характеристика сети по проекту
Если при этом фактическая подача не соответствует проектной (Lvф < Lvп), то прежде всего необходимо проверить состояние сети, соответствие ее геометрических размеров проекту, выявить неустраненную засоренность воздуховодов, загрязнение пылеулавливающих устройств и привести сеть в исправное состояние.
4.16.1. Если точка, определяемая фактической подачей Lvф, и фактическим давлением Рvф, окажется ниже кривой каталожной характеристики, то вентилятор не соответствует каталожным данным (рис. 9). В таких случаях необходимо проверить, соответствует ли фактическая аэродинамическая схема вентилятора каталожной и соответствует ли условия входа воздушного потока в патрубок вентилятора условиям входа при составлении каталожной характеристики вентилятора и устранить выявленные дефекты.
Если фактический режим работы вентилятора определяется точкой α (см. рис. 9), то помимо дефектов вентилятора имеется несоответствие фактической характеристики сети проектной или расчетной, и, следовательно, необходимо принять меры к выявлению и устранению неисправности сети.

Рис. 9. Работа вентилятора в сети (вентилятор не соответствует каталожным данным):
I - фактическая характеристика сети; II - характеристика сети по проекту
В соответствии с ГОСТ 5976-73 и ГОСТ 11442-74 допускаемое отклонение полного давления от каталожной характеристики ± 5 %.
Примечание. В радиальных вентиляторах зазор между рабочим колесом и патрубком всасывающего отверстия в радиальном направлении (в направлении оси вала) во всех точках окружности должен соответствовать аэродинамической схеме вентилятора. Например, у вентилятора Ц4-70 и Ц4-75 зазоров не должно быть, а входной коллектор должен быть углублен в колесо на расстояние, равное 1 % его диаметра. Вентилятор Ц14-46 и осевые вентиляторы должны иметь зазоры, равные 0,5 % диаметра рабочего колеса.
4.17. Вопрос о замене или об изменении режима работы вентилятора может быть решен только после регулировки вентиляционной системы.
4.18. После регулировки вентиляционной системы необходимо повторно измерить полное давление и подачу вентилятора. Если замеренная после регулирования подача вентилятора не будет удовлетворять требуемому значению, принимают меры к ее соответствующему изменению:
при недостаточной подаче - путем увеличения числа оборотов рабочего колеса вентилятора или замены вентилятора вентилятором другого типоразмера;
при подаче больше необходимой - путем уменьшения частоты вращения рабочего колеса вентилятора или создания дополнительного местного сопротивления в воздуховоде у вентилятора с помощью диафрагм.
4.19. Увеличение частоты вращения рабочего колеса вентилятора возможно при условии соблюдения допустимой окружной его скорости, а также достаточной мощности установленного электродвигателя.
4.19.1. При изменении частоты вращения рабочего колеса вентилятора, установленного в данной сети, подача (Lv) изменяется пропорционально изменению числа оборотов; давление, развиваемое вентилятором (Рv), - пропорционально изменению квадрата числа оборотов, а мощность (Nв) - пропорционально изменению куба числа оборотов:
(51)
(52)
(53)
где индексы "ф" и "н" обозначают соответственно фактические и необходимые числа оборотов, подачи, давления и мощности.
4.19.2. Если увеличение подачи воздуха не может быть достигнуто путем увеличения частоты вращения рабочего колеса вентилятора из условий его механической прочности, необходимо произвести замену вентилятора. Замена вентилятора рекомендуется также в тех случаях, когда необходимый режим его работы не соответствует рекомендуемому каталожному режиму.
Примечания. 1. Если режим работы вентилятора оказывается по каталожной диаграмме в области низких значений КПД, влево от области экономичного режима работы, необходимо выбрать для замены вентилятор другого типа или этого же типа, но меньшего размера с большим числом оборотов рабочего колеса.
2. Если режим работы вентилятора оказывается по каталожной диаграмме в области низких значений КПД, вправо от области экономичного режима работы, необходимо выбрать, для замены вентилятор того же типа большего размера с меньшим числом оборотов рабочего колеса.
4.20. После наладки вентилятора в необходимых случаях следует определять нагрев воздуха в нем по замерам температур воздуха перед и за вентилятором.
4.21. Установка второго вентилятора для параллельной или последовательной работы на одну и ту же сеть может быть рекомендована при условии, что мероприятия, приведенные в п. 4.19.2, не обеспечивают необходимый расход воздуха вентиляционной системы. Для проверки целесообразности параллельной работы двух вентиляторов на одну и ту же сеть следует построить их суммарную характеристику. Последняя строится сложением всех абсцисс кривых давлений обоих вентиляторов при одном и том же значении ординаты (давления).
На рис. 10 приведены характеристики двух отдельных вентиляторов и суммарная характеристика их совместной параллельной работы. Для иллюстрации целесообразности такой работы построены три возможные характеристики сети. На оси абсцисс отложены значения суммарной подачи вентиляторов для соответствующих сетей. Как видно из рис. 10, совместная параллельная работа двух вентиляторов выгодна для сети В. Для сети Б суммарная подача двух вентиляторов равна подаче одного (первого) вентилятора. В сети А суммарная подача двух вентиляторов оказывается даже несколько ниже подачи одного (второго) вентилятора.

Рис. 10. Параллельная работа двух вентиляторов в сети
4.22. Установка второго вентилятора для последовательной работы на одну и ту же сеть может быть рекомендована только после анализа характеристик обоих вентиляторов и их суммарной характеристики. При последовательной работе вентиляторов ординаты, характеризующие полные давления, развиваемые, вентилятором при одном и том же расходе, складывают. Для сети А (рис. 11) установка второго вентилятора по последовательной схеме целесообразна, так как значительно увеличиваются подача и развиваемое давление вентилятора. Для сети Б такая установка при увеличении потребляемой мощности не дает никакого прироста подачи, а для сети В приведет к уменьшению подачи воздуха по сравнению с работой одного (первого) вентилятора.

Рис. 11. Последовательная работа двух вентиляторов в саги
4.23. Перед испытаниями необходимо:
открыть все дросселирующие устройства;
убедиться, что воздуховоды, пылеулавливающие устройства и воздухонагреватели очищены от загрязнений;
ликвидировать обнаруженные неплотности сети (работы выполняют монтажники или службы эксплуатации);
выбрать наиболее подходящие для производства измерений участки сети воздуховодов и просверлить в стенках этих участков отверстия, достаточные для введения в воздуховод приемников давления;
места измерений нанести на вычерченную схему;
включить вентилятор и проверить его работу в сети.
4.24. Запуск вентиляторов, имеющих пусковые регулирующие устройства, необходимо производить при прикрытом положении. Открытие регулирующих устройств надо производить постепенно, яри этом следить, чтобы электродвигатель не перегрелся. При отсутствии такого устройства на магистральном воздуховоде между фланцами устанавливают вставку из кровельной стали. В этом случае сечение воздуховода уменьшается до тех пор, пока сила, тока, измеренная в цепи электродвигателя, не снизится до номинального значения, соответствующего мощности электродвигателя.
4.25. При испытании должны быть определены:
фактические расходы воздуха в основаниях всех ветвей сети, имеющих два или более воздуховытяжных или воздухораспределительных устройства, во всех воздуховытяжных и воздухораспределительных устройствах, до и после пылеулавливающих устройств, увлажнительных камер, воздухонагревателей, воздухоохладителей и теплоутилизаторов;
потери полного давления в элементах вентиляционной сети;
скорости выхода воздуха из воздухораспределителей.
4.26. Результаты аэродинамического испытания и характеристика оборудования вентиляционных систем должны быть приведены в таблицах, составляемых по формам обязательных приложений 17 и 18.
4.27. Регулирование расхода воздуха, перемещаемого по сети, осуществляется с помощью регулирующих клапанов, диафрагм или других устройств, устанавливаемых при регулировании между фланцами.
4.28. Допускаемые отклонения от требуемых расходов воздуха при регулировании сетей:
± 10 % - по расходу воздуха, проходящего через воздухораспределительные и воздухоприемные устройства общеобменных установок В и KB при условии обеспечения требуемого подпора (разрежения) воздуха в помещении;
+ 10 % - по расходу воздуха, удаляемого через местные отсосы и подаваемого через дотирующие патрубки.
4.29. Регулирование сетей следует осуществлять способом постепенного приближения к заранее заданному отношению фактического и требуемого расходов воздуха или, последовательным уравниванием отношений фактического расхода воздуха к требуемому.
4.29.1. По способу постепенного приближения к заранее заданному отношению фактического и требуемого расходов воздуха регулирование производят соответственно на отношение 0,9 Lф/Lmp или 0,8 Lф/Lmp, где Lф, и Lmp - фактическая и требуемая подачи воздуха вентилятором, м3/с.
Сначала следует добиться предварительного (приближенного) соответствия заданному отношению расходов воздуха по ответвлениям сети, а затем произвести приближенное регулирование по отдельным отверстиям каждого ответвления. Произвести проверку и скорректировать распределение воздуха по ответвлениям и снова по отверстиям. Работа продолжается в такой последовательности до получения фактических расходов с точностью ± 10 % от требуемых.
4.29.2. После регулирования вентиляционной сети определяют изменившуюся подачу и полное давление, развиваемое вентилятором. Если подача вентилятора не соответствует требуемой, необходимый расход воздуха следует обеспечить в соответствии с рекомендациями п. 4.16.
4.29.3. По способу последовательного уравнения отношений фактического расхода воздуха к требуемому регулирование производят в такой последовательности:
в двух наиболее удаленных от вентилятора отверстиях одного ответвления сети с помощью регулирующих устройств устанавливают отношение фактических расходов воздуха, равное требуемому
(54)
где Lф1, Lф2 - фактические расходы воздуха через первое и второе отверстия, м3/с;
Lmp1, Lmp2 - требуемые расходы воздуха соответственно через первое и второе отверстия, м3/с.
В дальнейшем, принимая два отрегулированных отверстия за одно, регулируют третье отверстие исходя из условия
(55)
где Lф3, Lmp3 - фактический и требуемый расходы воздуха через третье отверстие, м3/с
Последующие отверстия регулируют исходя из условия равенства
(56)
После регулирования по отверстиям производят регулирование по ответвлениям сети. Регулирование начинают с двух наиболее удаленных от вентилятора ответвлений, в которых добиваются равенства отношений
(57)
где Lф.отв.1, Lф.отв.2 фактический расход воздуха, проходящего через замеренное сечение в первом и втором ответвлениях;
Lmp.отв.1, Lmp.отв.2 - требуемый расход воздуха, проходящего через замеренное сечение в первом и втором ответвлениях.
Остальные ответвления регулируют таким же методом, как и отверстия. При регулировании учитывают требования п. 4.28.
4.30. Цель наладки - обеспечение требуемой теплоотдачи воздухонагревателя во всем диапазоне изменения тепловых нагрузок, безаварийной его работы в режиме автоматического регулирования при температуре обратного теплоносителя не выше значений по графику теплосети.
4.31. Перед испытанием необходимо: определить тип воздухонагревателя и его каталожные технические характеристики;
определить схему обвязки секций воздухонагревателя по воздуху и теплоносителю;
очистить поверхность воздухонагревателя от загрязнений;
ликвидировать неплотности по воздуху во всех соединениях элементов установки;
закрыть обвод воздухонагревателя по воздуху;
полностью открыть запорно-регулирующую арматуру на подающем и обратном трубопроводах теплоносителя, обводные вентили закрыть;
при наличии гильз на подающем и обратном трубопроводах очистить их, залить маслом и установить в них термометры;
при испытании воздухонагревателя первого подогрева отключить по теплоносителю воздухонагреватель второго подогрева, установленный до вентилятора;
определить наличие перепада давлений теплоносителя по манометрам, установленным на подающем и обратном коллекторах теплового ввода; испытания следует производить при наличии перепада давлений не менее 0,01 МПа;
обеспечить условия, исключающие возможность замерзания воды в воздухонагревателе;
при испытаниях следить за температурой обратного теплоносителя и изменением температуры боковой поверхности воздухонагревателя по высоте;
включить вентилятор.
4.32. Испытание состоит из замеров полного давления воздуха до и после воздухонагревателя, определения массового расхода воздуха, проходящего через воздухонагреватель, и не менее двух циклов замеров температур воздуха и теплоносителя до и после воздухонагревателя. Продолжительность цикла не менее 20 мин. При испытаниях необходимо следить за температурой обратной воды из воздухонагревателя Т2, °С, чтобы исключить ее замерзание.
4.33. Сопротивление воздухонагревателя по воздуху определяют как разность полных давлений до и после воздухонагревателя и сравнивают с расчетным значением.
При превышении сопротивления более чем на 20 % следует произвести дополнительную очистку поверхности воздухонагревателя.
4.34. Измерения следует производить при установившемся режиме, который характеризуется стабильностью температур воздуха и теплоносителя до и после воздухонагревателя.
4.35. Температуру воздуха после воздухонагревателя Т2, °С, в прямоточной системе с отсутствующей или неработающей камерой орошения рекомендуется определять по результатам замеров в сечении за вентилятором по формуле
(58)
где t'2 - температура воздуха в сечении за вентилятором, °С;
Δtв - нагрев воздуха в вентиляторе, определяемый при испытании вентилятора (см. п. 4.20), °С.
4.36. Массовый расход воздуха, проходящего через воздухонагреватель G, кг/с, определяют по формуле
(59)
где L - подача вентилятора, м3/с;
ρ2 - плотность воздуха, соответствующая его температуре t2, кг/м3.
4.37. При испытании воздухонагревателя в системе с рециркуляцией при отсутствующей или неработающей камере орошения для определения массового расхода воздуха, проходящего через воздухонагреватель, и его температур до и после воздухонагревателя необходимо:
определить подачу вентилятора Lc, м3/с;
замерить расход рециркуляционного воздуха Lp, м3/с;
замерить температуры наружного tн, °С, рециркуляционного tp, °c, и смеси воздуха tсм, °C, за вентилятором.
4.38. Температуры воздуха до и после воздухонагревателя t1 и t2, °С, определяют по формулам:
при смешении потоков до воздухонагревателя
(60)
t2 по формуле (54);
при смешении потоков после воздухонагревателя t1 = tн,
(61)
где ρр, ρсм - плотность воздуха при соответствующей его температуре, кг/м3.
4.39. Массовый расход воздуха, проходящего через воздухонагреватель G, кг/с, определяют по формулам:
при смешении потоков до воздухонагревателя
(62)
при смешении потоков после воздухонагревателя
(63)
4.40. Испытания воздухонагревателя в системе с рециркуляцией производить при условии не выпадения конденсата в смешиваемом потоке.
4.41. Испытание воздухонагревателя в системе с налаженной камерой орошения, работающей в адиабатическом режиме, производить следующим образом:
при отсутствии рециркуляции:
замерить температуру t1 °С, и влажность φ, %, воздуха на входе в воздухонагреватель, температуру воды в камере орошения tw, С; определить температуру воздуха после воздухонагревателя t2, °С, построением процесса обработки воздуха в воздухонагревателе и камере орошения на J-d диаграмме (справочное приложение 19);
при наличии рециркуляции до воздухонагревателя:
замерить расход смеси воздуха Lсм, м3/с, расход рециркуляционного воздуха Lp, м3/с, температуры t1, tр, °C, и влажность φd, φp, %, смешиваемых потоков воздуха; температуру воды в камере орошения tw, °C; определить параметры воздуха до и после воздухонагревателя построением процессов на J-d диаграмме.
Обработка результатов испытаний
Водяные воздухонагреватели
4.42. Для
каждого цикла испытаний определяют температурный критерий φ и отношение
водяных эквивалентов теплоносителя и воздуха
по формулам
(64)
и
(65)
4.42.1. По
полученным значениям φ и ![]()
из номограмм (рис. 12, 13 и 14) находят значение теплотехнической характеристики воздухонагревателя ф1исп.
Расхождения между значениями характеристик не должны превышать ± 15 %. В противном случае необходимо провести дополнительные циклы измерений.

Рис. 12. Номограмма теплотехнических характеристик поверхностных
воздухонагревателей и воздухоохладителей для
от 0 до 0,8

Рис.
13. Номограмма теплотехнических характеристик поверхностных воздухонагревателей
и воздухоохладителей для
от 0 до 3,0

Рис. 14. Номограмма теплотехнических характеристик поверхностных
воздухонагревателей и. воздухоохладителей для
от 0 до 10,0
4.42.2. Результаты многократных измерений обрабатывают в соответствии с рекомендациями пп. 2.78 - 2.80.
4.43. Определяют расчетную теплотехническую характеристику воздухонагревателя для расхода воздуха, полученного при испытании, по формуле
(66)
где А, n, r - постоянные в выражении для коэффициента теплопередачи воздухонагревателей К = А (vρ)n ωr (приведены в справочном приложении 20);
F - теплоотдающая поверхность воздухонагревателя, м2;
f1 - фасадное (или живое сечение для прохода воздуха) воздухонагревателя, м2;
f - живое сечение воздухонагревателя для прохода теплоносителя, м2;
ρw - плотность теплоносителя, кг/м3;
Gg - удельные теплоемкости воздуха и теплоносителя соответственно, кДж/(кг·°С).
4.43.1. При отличии средней теплотехнической характеристики, полученной при испытании, и расчетной более чем на 10 % и отсутствии при визуальном обследовании причин этого необходимо:
повторить цикл замеров, указанных в пп. 4.35 - 4.41, определить расход теплоносителя W, кг/с, доступным способом (с помощью мерного бака, стандартных сужающих устройств и др.) и составить уравнение теплового баланса
(67)
если невязка баланса меньше 10 %, теплотехническую характеристику ф1исп, полученную по данным испытаний, считать фактической;
если невязка баланса более 10 %, выявить и устранить причины невязки теплового баланса и повторить замеры.
4.43.2. Если фактическая теплотехническая характеристика меньше расчетной более чем на 10 %, необходимо промыть трубки для прохода теплоносителя и т.п.
4.43.3. Определяют теплотехническую характеристику воздухонагревателя для требуемого расхода воздуха Gтр, кг/с, по формуле
(68)
4.44. Графически изображают (рис. 15) изменения температур подающего и обратного теплоносителя Т1т и Т2т, °С, (по данным теплосети) и требуемые температуры воздуха до и после воздухонагревателя t1mp и t2mp, °C, во всем диапазоне изменения температуры наружного воздуха tн, °C

Рис. 15. График режима работы поверхностных воздухонагревателей
4.45. Определяют значения температурного критерия по формуле (60) для параметров воздуха t1mp и t2mp, °C, и теплоносителя Т1т, °С, соответствующих температурам наружного воздуха с интервалом в 5 °С.
4.46. Определяют значения
по номограммам (см. рис.
12 - 14)
для значения ф1тр и
каждого из значений φ, соответствующего температуре наружного воздуха с
интервалом в 5 °С.
4.46.1. Для каждого из значений w определяют температуру обратного теплоносителя по формуле
(69)
полученные значения наносят на график (см. рис. 15).
4.47. Определяют расход теплоносителя W, кг/с, во всем диапазоне температур наружного воздуха по формуле
(70)
и наносят на график; максимальный расход теплоносителя W необходимо обеспечить при наладке системы теплоснабжения и регулирующего клапана.
4.48. Определяют требуемую теплоотдачу воздухонагревателя Q, кВт, в расчетных условиях по формуле
(71)
4.49. Если линия изменения температуры обратного теплоносителя расположена ниже или соответствует линии изменения обратного теплоносителя по данным теплосети и если при tн < °С значение Т2 не ниже 20 °С, то наладка не требуется.
4.50. Определяют скорость движения теплоносителя ω, м/с, по трубкам воздухонагревателя для минимальных расходов теплоносителя в диапазоне отрицательных наружных температур (tн от 0 до минус 2 °С) по формуле
(72)
и сравнивают с минимально допустимой из условия незамерзания воздухонагревателя (см. рекомендуемое приложение 21).
4.51. Если температура обратного теплоносителя выше температуры по данным теплосети, необходимо:
выполнить наладочные мероприятия, каждое из которых проверяют расчетом;
выполнить последовательную обвязку секций воздухонагревателя по теплоносителю, увеличить поверхность воздухонагревателя, установив дополнительные секции и т.п.
4.51.1. Если температура обратного теплоносителя ниже 20 °С, необходимо:
выполнить наладочные мероприятия, каждое из которых проверяют расчетом;
выполнить параллельную обвязку секций воздухонагревателя по теплоносителю; уменьшить поверхность воздухонагревателя отключением отдельных его секций и т.п.
4.52. Если при испытании воздухонагревателей расходы воздуха и теплоносителя через установку соответствуют расчетным условиям (при расчетной температуре наружного воздуха), фактическую теплоотдачу для расчетных условий Qp, кВт, определяют по формуле
(73)
где Т1р и tнр - соответственно температуры теплоносителя и наружного воздуха при расчетных условиях, °С.
4.53. Для условий п. 4.52 температуру выходящего из установки воздуха tкр, °С, и температуру обратной воды T2p, °С, определяют по формулам
(74)
(75)
Паровые воздухонагреватели
4.54. Давление пара определяют по манометру, присоединенному к тройнику на паропроводе. Температуру пара определяют в зависимости от его давления по табл. 3.
Таблица 3
|
Избыточное давление, кПа |
20 |
40 |
70 |
100 |
150 |
200 |
250 |
300 |
350 |
400 |
500 |
600 |
|
Температура, °С |
104,3 |
108,9 |
114,8 |
119,9 |
127,1 |
133,1 |
138,6 |
143,4 |
147,7 |
151,7 |
158,7 |
164,8 |
4.55. Для воздухонагревателей, работающих бея переохлаждения конденсата (температура конденсата соответствует данным табл. 3) и при постоянном расходе воздуха в установке, теплоотдачу для расчетных условий Q, кВт, определяют по формуле (73).
4.55.1. Для воздухонагревателей, работающих без переохлаждения конденсата при переменном расходе воздуха, расчетную теплоотдачу определяют по формуле
(76)
где п - показатель степени в формуле коэффициента теплопередачи К = В (υρ)п (приведен в справочном приложении 20);
G, Gp - расходы воздуха соответственно при испытании установки и в расчетных условиях, °С;
Тп, Тпр -температура пара, поступающего в воздухонагревательную установку соответственно при ее испытании и в расчетных условиях, °С.
4.56. При регулировании расхода пара в воздухонагревателях для поддержания постоянной температуры приточного воздуха определение температуры наружного воздуха tно, при которой образуется вакуум в воздухонагревателе (условие его замерзания при отрицательной температуре наружного воздуха), производят по формуле
(77)
где tпp и tнр - расчетные температуры соответственно приточного и наружного воздуха, °С.
4.57. Теплоотдача воздухонагревательной установки может быть повышена увеличением расчетной температуры или расходом теплоносителя на входе в установку, увеличением поверхности нагрева воздухонагревателей, изменением параллельной схемы установки по теплоносителю на последовательную (для водяных воздухонагревателей).
Результаты испытаний воздухонагревателей заносят в таблицу обязательного приложения 18.
4.58. Цель испытания воздухораспределителей и регулировки систем воздухораспределения обеспечение требуемого санитарно-гигиенического состояния воздушной среды в помещении.
4.59. При испытаниях и наладке на проемные данные систем воздухораспределения следует:
проверить и откорректировать положение каждого воздухораспределителя в целом (угол установки выпускных патрубков, высоту их подвески, отсутствие экранирования живого сечения препятствиями) и отдельных его частей (регуляторов расхода, лопаток у решеток, диффузоров и дисков у плафонов, закрывающих устройств или - турбулизаторов потока, ручных и механических приводов и других) в соответствии с проектом;
проверить наличие и исправность дросселирующих устройств (диафрагм) и регуляторов расхода воздуха (шиберов, клапанов) на ответвлениях перед воздухораспределителями, установить недостающие в соответствии с проектом и заменить неисправные.
4.60. После проверки соответствия положения и состояния воздухораспределителей проекту проверяют и регулируют распределение расходов воздуха по воздухораспределительным устройствам в соответствии с проектными данными с использованием способов регулировки сетей, приведенных в пп. 4.23 - 4.29.3.
Допустимые отклонения расходов воздуха, проходящего через воздухораспределители, от проектных показателей должны соответствовать п. 4.28.
4.61. Наладку систем воздухораспределения на санитарно-гигиенический эффект производят при рабочих разностях температур и фактических значениях тепло- и влагоизбытков и газовыделений в помещении. Расход подаваемого воздуха при принятой схеме организации воздухообмена должен обеспечить ассимиляцию тепло-, влагоизбытков и газовыделений.
Примечания. 1. Перед проведением наладки систем воздухораспределения следует применить все возможные невентиляционные способы борьбы с вредностями - укрытие оборудования, экранирование проемов от инсоляции и т.д.
2. Методика определения количества выделяющихся вредностей и необходимых для их ассимиляции воздухообменов изложена ниже в разделе 5.
4.62. Наладку воздухораспределения систем с переменным количеством подаваемого воздуха производят для режимов его максимального и минимального расходов.
4.63. Санитарно-гигиеническое состояние воздушной среды в помещении, достигнутое в результате наладки (локальные и средние значения температур, относительной влажности, скоростей воздуха и концентраций вредностей), должно отвечать требованиям ГОСТ 12.1.005-76, СН 245-71, СНиП 2.04.05-86 и действующих союзных и отраслевых норм и рекомендаций.
4.64. Для оценки санитарно-гигиенической эффективности налаживаемой системы воздухораспределения служат ненормируемые величины ε,
σt σφ, σv, σc,
,
,
,
,
полученные в результате обследования санитарно-гигиенических и
метеорологических условий воздушной среды в рабочей (обслуживаемой) зоне
помещений.
4.65. Обследования проводят по всему помещению или, если есть возможность, для них выбирают участок (вентиляционный модуль), характерный для данного помещения по расположению приточных и вытяжных устройств, а также по виду и расположению технологического оборудования и количеству выделяющихся вредностей.
4.66. Определяют скорость движения воздуха, температуру, влажность воздуха и содержание вредных веществ по площади рабочей зоны помещения (участка испытаний) в контрольной плоскости на уровне зоны дыхания рабочих (1,8 м при стоячей работе и 1,2 м при сидячей, а при необходимости на высоте 0,3 м).
4.67. Испытания проводят при постоянном технологическом режиме (постоянное расположение источников и количество выделяющихся вредностей), постоянной температуре воздуха в рабочей зове (допускаемое отклонение 1-2 °С), постоянных расходах поступающего и удаляемого воздуха, их температурах, влажности и концентрациях вредных веществ (допускаемые отклонения для температуры и влажности ± 5 %, для концентрации вредных веществ - по п. 2.75).
4.68. Измерения производят циклами не менее двух раз. Если по результатам двух разовых измерений расхождение превышает 10 %, проводят дополнительные измерения для проверки и уточнения ранее полученных данных.
4.69. Перед началом и по окончании каждого цикла в помещении (на участке испытаний) измеряют расходы приточного и удаляемого воздуха, их температуру, влажность и содержание в них вредных веществ.
4.70. Определение скоростей, температур, влажности и концентраций вредных веществ в контрольной плоскости рабочей зоны производят путем измерения соответствующих величин у центров квадратов или прямоугольников с отношением сторон не менее 1:2, при этом меньший размер стороны не должен превышать 0,2 длины стороны помещения (участка испытаний), а также на постоянных рабочих местах.
Если в результате значительного заполнения зоны технологическим оборудованием измерения скоростей, температур и концентраций вредных веществ в точках, расположенных равномерно по площади, затруднительны, измерения следует выполнять на постоянных рабочих местах, а также в местах внедрения в рабочую зону приточных струй.
4.70.1. Скорости и температуры по площади рабочей зоны и на постоянных рабочих местах измеряют термоанемометрами. Контроль температур необходимо осуществлять также термометрами с ценой деления не более 0,2 °С.
4.70.2. Время измерения скорости и температуры в точке должно быть не менее 120 с.
4.70.3. При измерении температур и скоростей в контрольной точке следует фиксировать минимальные и максимальные значения. Желательно производить запись текущих значений температуры и скорости в точке с целью выявления частотных характеристик и средних значений.
4.70.4. Радиационные температуры измеряют на рабочих местах, расположенных вблизи поверхностей, температура которых ниже +10 °С и выше +45 °С. Измерения производят шаровым термометром в течение 10 мин.
4.70.5. При необходимости производят измерения распределения температур и влажности воздуха, а также концентраций вредных веществ по высоте рабочей зоны или высоте помещения в характерных местах рабочей зоны.
4.71. Определяют характеристики и выявляют закономерности распределения скоростей, температур и концентраций вредных веществ по площади рабочей зоны.
4.71.1. Определяют среднее значение скорости Vcp.р.з, м/с, температуры tcp.р.з °C, и концентрации вредных веществ Сcp.р.з, мг/м3, по площади рабочей зоны (учитывают только измерения в центрах равновеликих квадратов или прямоугольников):
(78)
(79)
(80)
где Z - количество измерений в центрах равновеликих квадратов (прямоугольников) площади.
4.71.2. Определяют средние квадратичные отклонения значений скорости σv, температуры σt и концентрации вредных веществ σc:
(81)
(82)
(83)
4.71.3.
Определяют коэффициенты вариации (неравномерности распределения скоростей
,
температур
и концентраций вредных веществ
);
(84)
(85)
(86)
Примечание. При отсутствии влаговыделений или
незначительных влаговыделениях распределение температур определяет и
распределение относительной влажности; в этом случае замеры φп
производят только в отдельных контрольных точках, а σφ
и
не подсчитывают.
4.71.4. Определяют коэффициент санитарно-гигиенической эффективности воздухораспределения ε, учитывающий взаимное сочетание скоростей и температур, а также концентраций вредных веществ в пределах каждого из равновеликих квадратов (прямоугольников) в контрольной плоскости рабочей зоны:
(87)
где Fдоп - часть площади рабочей зоны помещения, на которой обеспечиваются санитарно-гигиенические требования; Fp.з - площадь рабочей зоны помещения.
Определяют коэффициенты эффективности воздухообмена по теплоте Кt, влаге Кd и газам Кс при принятой схеме его организации по формулам
(88)
(89)
где tp.з, ρp.з, dp.з, сp.з - соответственно средние температура воздуха, его плотность, влагосодержание и концентрация газовых вредностей в рабочей зоне, °С, кг/м3, г/кг, мг/м3;
tпp, ρпp, dпp спp - то же, для приточного воздуха;
tв.з, ρв.з, dв.з, св.з - то же, для воздуха, удаляемого за пределы рабочей зоны.
Результаты санитарно-гигиенических обследований помещений записывают в формы, приведенные в обязательных приложениях 22 и 23.
4.72. По результатам измерений полей параметров воздушной среды рекомендуется выявить на плане помещения зовы дискомфорта в пределах рабочей обслуживаемой зоны. Их расположение выявляют построением линий равных температур, скоростей и концентраций на плане помещения. При этом следует учесть, что малые значения ε и большие значения σt, σv, σс указывают на наличие зон, где превышаются допустимые значения t, v, c. Однако расположение и размеры этих зон могут быть различными при одинаковых значениях ε, σt, σv, σс, что выявляют только графическим построением.
При высоких требованиях к равномерному распределению нормируемых параметров по площади и недостаточном для построения изолиний количестве замеров t, v и c следует произвести дополнительные измерения.
4.73. Регулированию подлежит система воздухораспределения, обслуживающая данное помещение, в целом, если зоны дискомфорта встречаются по всей линии, или отдельные ветви, обслуживающие локализованные участки, на которых значения, температуры, скорости воздуха или концентрации вредностей превышают допустимые.
4.74. Объем работ при наладке на санитарно-гигиенические или технологические требования определяется степенью и характером нарушений нормативных требований по параметрам воздушной среды (t, v, φ, c).
4.75. Если зоны дискомфорта охватывают относительно небольшую часть площади рабочей зоны и величина ε находится в интервале 80-100 %, следует:
а) проверить равномерность распределения скоростей в выпускных cечениях воздухораспределителей, обcлуживающих данные участки, и, если отклонение скорости от средней до сечению выше 30 %, отрегулировать распределение воздуха по сечению путем обеспечения равномерного подвода воздуха к воздухораспределителям;
б) выявить траектории приточных струй путем визуализации потока задымлением, внесением нитей и т.д.
Если струи при подаче в рабочую зону сверху ее не достигают (имеются застойные зоны), необходимо увеличить угол наклона или уменьшить высоту подвески воздухораспределителей.
Если застойные зоны образуются при подаче струй непосредственно в рабочую зону через эжекционные панели, следует установить дополнительные воздухораспределители вблизи от зон дискомфорта; при подаче закрученными струями - уменьшить степень закрутки;
в) выяснить степень влияния на приточные струи технологического оборудования, строительных конструкций и прочих механических препятствий. При наличии зон, постоянно находящихся в аэродинамической тени, следует установить дополнительные воздухораспределители для их обслуживания или изменить место установки ближайших воздухораспределителей так, чтобы указанные участки попали в зону их обслуживания;
г) при расположении участков с превышением нормируемых параметров (t, φ, c) вблизи источников поступления соответствующих вредностей и при равномерной по площади подачи воздуха в рабочую зону следует выяснить характер распределения вредностей по площади помещения и при необходимости перераспределить объем притока по отдельным воздухораспределителям пропорционально количеству тепло-, влаго- или газовыделений в соответствующих зонах.
4.76. Если величина ε находится в пределах 70 - 80 % и имеются регулярно повторяющиеся зоны дискомфорта с заметным превышением в них допустимых значений tдоп, φдоп, vдоп, сдоп, (или ПДК), необходимо:
а) при выявлении траекторий приточных струй учитывать, что кроме случаев, перечисленных в п. 4.75б, причиной появления больших зон дискомфорта может быть искажение расчетных траекторий неизотермических струй, подаваемых в верхнюю зону;
б) если зовы дискомфорта при наклонной подаче воздуха воздухораспределителем расположены регулярно и находятся на границах четырех смежных модулей, обслуживаемых отдельными воздухораспределителями, то при повышенной скорости воздуха в рабочей зоне следует уменьшить скорость его выпуска (для чего уменьшить расход воздуха, пропорционально увеличив рабочую разность температур), или заменить воздухораспределители воздухораспределителями большего размера, или установить рассеиватели для увеличения угла раскрытия струй; при низкой скорости воздуха в рабочей зоне и повышенной температуре, т.е. при образовании застойных зон на границах модулей, следует увеличить скорость выпуска, (заменить воздухораспределители воздухораспределителями меньшего размера или уменьшить живое сечение) или установить в застойных зонах дополнительные воздухораспределители.
4.77. При малой величине в (до 50 %), когда на большей части площади рабочей зоны не обеспечиваются нормативные требования к параметрам воздушной среды и не только локальные, но и средние значения tcp, φср, vcp, сср значительно превышают допустимые, и наладка или частичная реконструкция систем воздухораспределения не дает должного эффекта, требуется полная реконструкция системы воздухораспределения с заменой схемы организации воздухообмена на более эффективную. Замену схемы воздухораспределения следует производить в зависимости от характера конкретных производств, особенностей объекта и вида нарушений нормативных требований. Замена должна быть согласована с авторами проекта.
4.78. При проведении реконструкции систем воздухораспределения не следует использовать ранее применяемые типы неэффективных воздухораспределительных устройств. Рекомендуется применять по возможности унифицированные конструкции действующих типовых серий.
4.79. Испытание и наладка воздушных душей осуществляются с целью обеспечения нормируемого метеорологического состояния воздушной среды на рабочих местах, подлежащих душированию.
4.80. До начала испытаний и наладки необходимо:
в цехах с большими поверхностями источников теплового излучения провести мероприятия по его уменьшению на рабочих местах;
уменьшить температуру стенок оборудования, выделяющего тепло, до нормируемой с помощью теплоизоляционных покрытий;
сократить размеры загрузочных отверстий печей;
стенки оборудования экранировать с воздушными вентилируемыми прослойками или водяным охлаждением;
устроить водяные завесы;
покрасить источники тепловыделений алюминиевой краской;
определить площади рабочих мест, подлежащих душированию;
определить значения теплового излучения и размеры площади излучающих поверхностей на рабочих местах;
детально ознакомиться с технологическими процессами, установить возможность применения более высокой скорости движения воздуха на рабочих местах и ее влияние на нормальный ход технологических процессов и распространение вредностей по помещению.
4.81. При испытании воздушных душей определяют:
расход воздуха в датирующем устройстве;
температуру и скорость воздуха, выходящего из душирующего устройства;
метеорологические условия на обдуваемом рабочем месте (температура и скорость движения воздуха);
температуру воздуха в нагнетательном воздуховоде непосредственно за вентилятором.
4.82. Испытания воздушных душей рекомендуется начинать с визуального определения распределения душирующих факелов с помощью шелковинок или задымлением.
Если ось душирующего факела не совпадает с центром подлежащей душированию рабочей площади, до проведения наладочных работ необходимо:
при наличии поворотного душирующего патрубка или аэратора повернуть его на необходимый угол;
при наличии неповоротного душирующего патрубка произвести соответствующий перемонтаж его установки.
Положение душирующих факелов следует навести на план помещения с указанием расстояния от патрубка до лица или груди рабочего и ширины факела в месте обдува.
Примечание. При обнаружении значительного влияния направления душирующего факела на перенос вредностей к соседним рабочим местам душирующие устройства должны быть перемещены.
4.83. Если при требуемой температуре воздухе его скорость на рабочем месте не соответствует предусмотренной нормами проектирования, необходимо:
увеличить или уменьшить расход воздуха;
приблизить или удалить душирующее устройство;
заменить душирующий патрубок патрубком с другим значением скоростного коэффициента "m".
4.84. Если фактическая температура воздуха на душируемых рабочих местах не соответствует санитарным нормам, необходимо ее изменить.
4.85. В тех случаях, когда воздушный факел не охватывает всего подлежащего датированию рабочего места и в то же время скорость воздуха превышает нормируемую, следует либо отдалить душирующее устройство от рабочего места, либо изменить конструкцию душирующего патрубка для расширения ввезших границ струи.
В отдельных случаях для полного охвата воздушными факелами всех подлежащих душированию рабочих мест может быть рекомендована установка дополнительных душирующих патрубков.
4.86. При больших значениях теплового облучения и высоких температурах воздуха в помещении подаваемый воздух следует предварительно обрабатывать в кондиционере или необходимо применять местное увлажнение путем пневматического распыления воды непосредственно у душирующих устройств.
4.87. При существенной разнице между температурой воздуха у вентилятора и на выходе из душирующих патрубков (более 2 °С) должна быть рекомендована термоизоляция воздуховодов установки.
4.88. После осуществления мероприятий по наладке душирующих устройств должны быть повторно замерены температура и скорость движения воздуха на рабочих местах с целью проверки соответствия этих параметров нормативным данным.
4.98. Результаты испытания и наладки воздушных душей помещаются в таблицу, форма которой приведена в обязательном приложении 24.
4.90. Испытание и наладку воздушно-тепловых завес проводят с целью обеспечить нормируемые температуры воздуха в помещении вблизи проемов.
4.91. Испытание и наладку воздушно-тепловых завес следует проводить после наладки вентиляционных систем и аэрации, если ее используют в холодный период года.
4.92. Перед испытанием воздушно-тепловой завесы необходимо:
убедиться в плотности притворов окон, фрамуг и отсутствии разбитых стекол;
убедиться в соответствии площадей открытых вытяжных и приточных аэрационных проемов площадям, определенным при наладке аэрации;
определить размеры проемов, воздуховыпускных патрубков затесы, угол наклона патрубков к плоскости ворог, место забора воздуха для завесы (из верхней зоны помещения, снаружи над воротами и т.п.).
4.93. Испытание воздушно-тепловых завес, как правило, следует проводить при отрицательных температурах наружного воздуха и скорости ветра, не превышающей расчетных значений, указанных в СНиП 2.04.05-86.
4.94. Перед определением эффективности завесы необходимо провести:
аэродинамические испытания и регулировку завесы на проектный расход воздуха;
испытание и наладку работы воздухонагревателей завесы на проектные данные.
4.95. Аэродинамические испытания и регулировку завесы проводят в соответствии с рекомендациями пп. 4.9 - 4.20 с целью обеспечить равномерные скорости выхода воздуха из щелей завесы.
4.96. Испытание и наладку воздухонагревателей завесы производят согласно пп. 4.30 -4.36.
4.97. При проверке эффективности завесы определяют:
температуру и скорость воздуха на ближайших к проемам постоянных рабочих местах, которые измеряют на высоте 0,5 и 1,5 м от уровня пола;
температуру воздушного потока вблизи ворот, поступающего со стороны проема;
температуру воздуха, подаваемого завесой;
температуру наружного воздуха;
скорость и направление ветра (на расстоянии 4-5 м от ворот);
подачу вентилятора завесы.
Эффективно действующая завеса должна обеспечивать после наладки систем воздухораспределения температуру воздуха на постоянных рабочих местах помещения вблизи ворот во время открытия, соответствующую требованиям ГОСТ 12.1.005-76.
4.97.1. Испытание воздушно-тепловой завесы на эффективность рекомендуется начинать с определения минимально необходимого расхода воздуха завесы Gmin кг/c, для обеспечения требуемого перекрывания струями завесы проема. При этом направление воздушного потока определяют с помощью шеста с прикрепленными к вену шелковыми нитями. Если визуально установлено, что струи завеcы уходят наружу и не возвращаются в цех, необходимо уменьшить раcход подаваемого в завесу воздуха. Еcли струи завесы под действием врывающегося наружного воздуха отбрасываются в цех, не обеспечивая предусмотренного перекрывания проема ворот, необходимо увеличить расход подаваемого в завесу воздуха. При испытаниях температура приточного воздуха должна соответствовать наружной температуре на период их проведения.
4.98. Если при испытаниях завесы температура наружного воздуха была выше расчетной температуры отопительного периода, то необходимую подачу вентилятора Gн, кг/с, в расчетных условиях определяют по формуле
(91)
где Gmin - фактическая минимальная подача вентилятора завесы, кг/с;
tвн - средняя температура воздуха в помещении, °С;
tнр - расчетная температура наружного воздуха для холодного периода года, °С;
tн - температура наружного воздуха, при которой производились испытания, °С.
4.99. Если при обеспечении необходимого расхода воздуха, подаваемого в завесу, его температура на постоянных рабочих местах, находящихся вблизи проема, ниже нормируемой ГОСТ 12.1.005-76, то необходимая эффективность действия завесы может быть достигнута путем увеличения подачи вентилятора (если это позволяет установленное оборудование). В противном случае на основании полученных данных требуется разработать мероприятия по реконструкции завесы.
4.100. При испытании местного отсоса определяют его аэродинамическую характеристику и эффективность.
4.101. До начала испытаний местного отсоса необходимо:
детально ознакомиться с технологическим процессом, при котором выделяются вредные вещества, теплота и влага;
определить основные характеристики работы технологического оборудования, влияющие на количество выделяющихся вредных веществ, теплоты и влаги (например, диаметр и частота вращения шлифовальных камней, тип, диаметр электрода, сила тока при электродуговой сварке и т.п.);
определить основные выделяющиеся вредные вещества (например, в окрасочных камерах - пары растворителей, при электродуговой сварке - сварочный аэрозоль, окись марганца, окись азота и т.д.);
выявить характер распределения вредных веществ, тепловыделений и влаги по объему помещения;
устранить влияние воздушных потоков (в том числе и приточного воздуха) на распространение вредных веществ, теплоты и влаги по помещению;
убедиться в исправности местного отсоса и местной вытяжной вентиляционной системы, к которой присоединен отсос;
оценить целесообразность принятого конструктивного решения местного отсоса, правильность его расположения по отношению к источнику выделения вредных веществ, теплоты и влаги.
4.102. Если и в подготовительных работах будет выявлена нецелесообразность конструкции местного отсоса или его неправильное расположение на основе визуального изучения источника и характера выделения вредных веществ, теплоты и влаги, следует составить эскиз более рациональной конструкции местного отсоса или более целесообразной привязки его к источнику выделения вредных веществ, теплоты и влаги. После согласования изменений конструкции местного отсоса с технологами следует осуществить монтаж опытного отсоса с дросселирующим устройством на одном из подобных технологических аппаратов и присоединить его к воздуховоду существующей местной вытяжной вентиляционной системы или специально смонтированной на время испытаний.
4.103. При разработке конструкции опытного отсоса для предварительного определения расхода воздуха, который должен быть удален местным отсосом, рекомендуется использовать имеющиеся опытные или нормативные данные. Диаметр патрубка опытного отсоса следует подбирать с учетом предварительно определенного расхода воздуха.
4.104. Все выявленные недостатки и дефекты местного отсоса, влияющие на его работу, должны быть устранены до испытания.
4.105. Все отсосы по характеру локализации ими вредных веществ, теплоты и влаги, а следовательно, по специфике испытаний подразделяются на три группы:
группа 1 - отсосы, полностью укрывающие источник вредных веществ, теплоты и влаги (герметичные укрытия и технологические аппараты);
группа 2 - отсосы, в которых источник вредных веществ, теплоты и влаги не выходит за пределы рабочего проема (шкафы, витрины и т.п.);
группа 3 - отсосы, у которых источник вредных веществ, теплоты и влаги находится в зоне всасывающего факела за пределами всасывающего отверстия (бортовые отсосы, панели, зонты, воронки и т.п.).
4.106. При испытании отсосов группы 1 определяют минимальное количество отсасываемого воздуха Lmin, м3/с, при котором содержание вредных веществ, а также выделений теплоты и влаги на рабочих местах у отсосов не будет увеличено за счет источников, оборудованных этими отсосами. При этом фиксируют наличие разрежения в укрытии или технологическом аппарате Рs, Па.
4.107. При испытании отсосов группы 2 определяют минимальное количество отсасываемого воздуха Lmin, м3/с, при котором содержание вредных веществ, а также выделений теплоты и влаги за рабочих местах, обслуживаемых отсосами, не будет увеличено за счет источников, оборудованных этими отсосами. При этом расходе воздуха определяют: статическое, динамическое и полное давление в отсасывающем патрубке отсоса (Ps, Pd и P, Па); среднюю скорость воздуха в рабочем проеме (отверстии) отсоса vm, м/с. При невозможности измерения средняя скорость в рабочем проеме (отверстии) может быть определена расчетом по формуле
где F - площадь рабочего проема (отверстия) местного отсоса, м2,
4.108. Коэффициент местного сопротивления отсоса ξ определяют по формуле
4.109. При испытании отсосов группы 3 определяют оптимальный расход отсасываемого воздуха Lопт, м3/с, при котором допускается прорыв вредных веществ, но в таком количестве, которое разбавляется до допустимых санитарными нормами пределов в подтекающем к отсосу воздухе, компенсирующем удаляемый воздух через местный отсос.
4.110. В необходимых случаях помимо параметров, указанных в пп. 4.106 - 4.109, определяют коэффициент эффективности отсоса (η) по формулам
(94)
(95)
(96)
где Мп, Qп, Wп и M, Q, W - количества вредных веществ, теплоты и влаги, выделяющихся источником и локализованных отсосом, кг/с, кВт; кг/с соответственно.
4.111. В условиях действующего производства коэффициент эффективности, отсоса рекомендуется определять следующим образом.
4.111.1. Если в помещении установлен один источник выделения вредных веществ, теплоты и влаговыделений, оборудованный местным отсосом, и воздухообмен осуществляется только работой этого отсоса, коэффициент эффективности следует определять по формулам
(97)
(99)
где cм.о, iм.о, dм.о - концентрация вредных веществ, энтальпия и влагосодержание в воздухе, удаляемом местным отсосом, мг/м3; кДж/кг; г/кг соответственно;
cпод, iпод, dпод - концентрация вредных веществ, энтальпия и влагосодержание в воздухе, подтекающем к всасывающему отверстию местного отсоса, но вне зоны источника их выделений;
cпр, iпр, dпp - концентрация вредных веществ, энтальпия и влагосодержание в приточном воздухе;
ρпр, ρпод, ρм.о - плотность приточного воздуха, подтекающего и удаляемого местным отсосом, кг/м3.
4.111.2. Бели в помещении установлен один источник вредных веществ, теплоты и влаговыделений, оборудованный местным отсосом, и воздухообмен осуществляется в количестве большем, чем расход воздуха местного отсоса, коэффициент эффективности следует определять по формулам
(100)
(101)
(102)
где Lм.о, Gм.о - количество воpдуха, удаляемого местным отсоcом от источника выделений вредных веществ, теплоты и влаговыделений, м3/с, кг/с;
Lо, Gо - количество удаляемого ив помещения воздуха помимо местного отсоса;
со, io dо - содержание вредных веществ, энтальпия и влагосодержание в воздухе, удаляемом из помещения помимо местного отсоса.
4.111.3. Если в помещении наряду с оборудованием, имеющем местные отсосы, есть источники тех же вредных выделений без местных отсосов, то коэффициент эффективности испытываемых отсосов следует определять по общим формулам (90 - 92). Этими же формулами следует пользоваться, когда трудно определить фактические параметры, входящие в формулы (93 - 98).
4.112. Количество вредных веществ, теплоты и влаговыделений, выделяющихся от источника их образования, следует определять по воздушно-газовому, тепловому и влажностному балансам отсоса. Для этого следует принять меры, обеспечивающие во время проведения испытаний полную локализацию вредных веществ, теплоты или влаговыделений от источника (установить временные шторки, ограждающие щитки, увеличить расход воздуха отсоса и т.п.). Если это невозможно, то должны быть созданы условия, исключающие влияние других возможных источников выделения тех же вредных веществ, теплоты или влаги, например, полное укрытие оборудования с отсосами полиэтиленовой пленкой. Количество вредных веществ, теплоты и влаговыделений, локализуемых местным отсосом, следует определять в обычном эксплуатационном состоянии местного отсоса по формулам
(103)
(104)
(105)
4.113. Необходимое количество удаляемого мастным отсосом воздуха (в соответствии с пп. 4.106 - 4.109 - минимальное или оптимальное) определять следующим образом:
установить с помощью дросселирующего устройства минимальный расход воздуха, при котором визуально не наблюдается выбивание вредных веществ из отсоса. Наличие выбивания вредных веществ определять с помощью искусственного задымления у мест их возможного прорыва;
произвести отбор пяти проб воздуха (для определения теплоты и влаговыделений замерить пять раз параметры воздуха) на рабочем месте у отсоса и столько же - в отсасываемом патрубке местного отсосе для определения содержания в нем вредных веществ, энтальпии и влагосодержания;
повторить отборы проб воздуха (для определения теплоты и влаговыделений замерить параметры воздуха) при двух значениях расходов воздуха больших или двух меньших от первоначально установленного расхода;
в прямоугольных координатах построить графики зависимостей содержания вредных веществ (энтальпии и влагосодержания) на рабочем месте у отсоса и в отсасывающем патрубке местного отсоса он расходов воздуха.
По графикам определяют необходимое количество уделяемого воздуха.
4.114. При наличии у технологического оборудования местных отсосов разных типоразмеров испытанию подвергают только один отсос из каждой группы однотипных и одноразмерных отсосов.
4.115. Результаты, полученные при испытании местного отсоса, сводят в таблицу, приведенную в обязательном приложении 25.
4.116. Испытания пылеулавливающих устройств производят с целью определить эффективность их работы, а также содержание пыли в воздухе, выбрасываемом в атмосферу. При неэффективной работе устройств необходимо произвести их наладку.
4.117. Перед испытанием пылеулавливающих устройств необходимо установить:
соответствие проекту или каталогу типа основных размеров устройств;
конструктивные и эксплуатационные особенности устройства;
режим работы пылящего технологического оборудования, обслуживаемого устройствами.
4.118. Перед испытанием пылеулавливающие устройства должны быть приведены в исправное состояние. Пылеулавливающие устройства, требующие периодической очистки, перед испытанием должны быть очищены. Перед испытанием необходимо тщательно проверить герметичность пылеулавливающих устройств и их пылесборников (отсутствие щелей, зазоров в местах соединения элементов и т.д.). Все неплотности должны быть устранены.
4.119. Перед испытанием скрубберов или циклонов с водяной пленкой проверяют правильность установки сопл, которые должны быть расположены тангенциально к поверхности корпуса циклона. Сопла должны быть прочищены. Направления водяных струй должны совпадать с направлением воздушного потока. Следует также проверить состояние внутренних поверхностей скрубберов (через имеющиеся смотровые люки) и при наличии загрязнений произвести их очистку.
4.120. Расход воды, поступающей в мокрый пылеуловитель, должен соответствовать проектным или каталожным данным. Он определяется при испытании путем замера количества отходящей воды мерными бачками при включенной вентиляционной системе. При недостаточном количестве подаваемой в пылеуловитель воды необходимо полностью открыть вентиль на подводке водопровода к пылеуловителю, а если это окажется недостаточным, увеличить давление воды перед соплами; в случае избытка воды уменьшить ее расход прикрытием вентиля на трубопроводе к пылеуловителю. При больших колебаниях давления в водопроводной сети перед мокрыми пылеуловителями должны быть установлены промежуточные бачки. Давление подаваемой воды определяют по нанометру, а при наличии промежуточного бачка - расстоянием от уровня воды в бачке до уровня сопл.
4.121. Перед испытанием ячейкового масляного фильтра необходимо устранить зазоры между установочными рамками, а также между фильтром и ограждениями камеры, в которой он установлен.
4.122. Движение сетчатых панелей в масляном самоочищающемся фильтре должно быть свободным, без заеданий. Скорость движения панелей должна соответствовать каталожным данным.
Количество очищаемого воздуха должно соответствовать нормальному режиму эксплуатации.
4.123. Перед испытанием рукавного фильтра, имеющего встряхивающий механизм, необходимо убедиться в исправной работе встряхивающего и продувочного механизмов. Ткань фильтра в местах закрепления не должна иметь повреждений. Все выявленные неисправности фильтра должны быть устранены.
4.124. Пылеулавливающие устройства испытывают после регулировки и наладки вентиляционных систем, оборудованных этими устройствами.
4.125. Во время испытания пылеулавливающего устройства пылящее технологическое оборудование должно работать с нормальной эксплуатационной нагрузкой.
4.126. При испытании каждого пылеулавливающего устройства:
измеряют полное, динамическое и статическое давление воздуха до и после устройства;
определяют скорость воздуха, поступающего в пылеулавливающее устройство;
определяют расходы воздуха до и после устройства и сопротивление устройства проходящему воздуху;
проводят отборы проб воздуха для определения содержания пыли до и после устройства;
определяют степень очистки воздуха устройством.
4.127. Разность расходов воздуха, определяющая подсос или утечку воздуха в пылеулавливающих устройствах, не должна превышать 5 % количества очищаемого воздуха кроне матерчатых фильтров, для которых максимальный процент подсоса или утечки не должен превышать установленного каталожными данными. Если разность расходов воздуха до и после пылеулавливающего устройства не превышает 5 % общего количества очищаемого воздуха, то при последующих расчетах принимают количество воздуха, равное полусумме расходов.
При наличии в пылеулавливающих устройствах нескольких ступеней очистки расход воздуха определяют до и после каждой ступени очистки.
4.128. Определение расходов воздуха до и после рукавного фильтра и создаваемого им сопротивления производят между встряхиванием рукавов.
4.129. Для пылеулавливающих устройств с фильтрующими поверхностями по полученному значению расхода воздуха должна быть определена удельная нагрузка на 1 м2 фильтрующей поверхности Lyд, м3/ч·м2, по формуле
(106)
где L - расход воздуха, проходящего через пылеулавливающее устройство, м3/с;
F - фильтрующая поверхность, м2.
4.130. Сопротивление пылеулавливающих устройств проходящему воздуху определяют как разность полных давлений, замеренных до и после этих устройств в непосредственной близости к ним одновременно двумя приемниками полного давления подключенными к одному микроманометру. При равенстве площадей сечений воздушных потоков до и после пылеулавливающего устройства его сопротивление может быть также определено как разность статических давлений в соответствующих точках. Если пылеулавливающее устройство состоит из нескольких ступеней, то общее сопротивление определяют как сумму сопротивлений при проходе воздуха через каждую ступень.
4.131. Отбор проб воздуха на содержание пыли до и после пылеулавливающего устройства (или отдельной его ступени) следует производить одновременно.
4.132. При двухступенчатой очистке содержание пыли следует определять до первого (по движению воздуха) пылеулавливающего устройства.
4.133. При наличии каких-либо значительных изменений в режиме работы пылящего технологического оборудования пробы воздуха следует отбирать в период наибольшего выделения пыли, а также в период, наиболее характерный для данного производства.
4.134. Степень очистки воздуха η, %, при его подсосе (утечке) в пылеулавливающем устройстве, не превышающем 5 % расхода очищаемого воздуха, определяют по формуле
(107)
где Сн - начальная концентрация пыли в воздухе (до пылеулавливающего устройства), мг/м3;
Ск - конечная концентрация пыли в воздухе (после пылеулавливающего устройства), мг/м3.
При подсосах (или утечках) воздуха более 5 % расхода воздуха, поступающего в пылеулавливающее устройство, степень его очистки η, %, определяют по формуле
(108)
где Lн, Lк - расход воздуха, проходящего в сети до и после пылеулавливающего устройства, м3/с.
4.135. Общую степень очистки воздухопылеулавливающим устройством, состоящим из нескольких ступеней или ряда последовательно установленных пылеулавливающих устройств, ηобщ, %, определяют по формуле
(109)
где η1, η2,…, ηн - степень очистки воздуха каждой из отдельных ступеней или каждым из последовательно установленных пылеулавливающих устройств, %.
4.136. После наладки пылеулавливающих устройств в случае необходимости следует отобрать пробы воздуха до и после устройства для определения дисперсного состава пыли.
4.137. Одновременно с испытанием пылеулавливающих устройств должны быть определены условия выброса очищенного ими воздуха в атмосферу.
Попадание выбрасываемого воздуха в помещения вышерасположенных этажей или соседних зданий, а также в воздухоприемные устройства приточных вентиляционных систем не допускается. В противном случае необходимо выдать рекомендации на повышение или перемещение уровней выбросов.
4.138. Для увеличения степени очистки воздуха пылеулавливающим устройством необходимо:
при низкой степени очистки воздуха пылеулавливающим устройством из-за несоответствия характеру улавливаемой пыли, заменить устройством другого типа, отвечающим данным условиям;
при несоответствии номера установленного уловителя фактической нагрузке по воздуху заменить пылеуловитель другим - большего или меньшего размера;
при низкой степени очистки воздуха циклоном из-за недостаточной входной скорости по сравнению со скоростью, предусмотренной каталожными данными, заменить существующий типоразмер циклона меньшим, а при установке группы циклонов уменьшить их количество.
4.139. Эффективная работа рукавного фильтра при наладке может, быть достигнута применением фильтрующей ткани другого артикула, в большей мере соответствующей свойствам улавливаемой пыли.
4.140. При невозможности достижения необходимой степени очистки наружного воздуха масляными фильтрами в качестве второй ступени очистки должны быть установлены (по согласованию с проектной организацией) бумажные фильтры, или фильтры "Лаик", "Рион" и др.
4.141. Если средствами наладки невозможно обеспечить необходимый эффективности пылеулавливающих устройств, по результатам испытаний разрабатывают задание на их проектирование.
4.142. Результаты испытания пылеулавливающих устройств заносят в таблицы обязательных приложений 26-30.
4.143. Испытание естественной вентиляции проводят в теплый период года при наиболее напряженной работе цеха (например, во время разливки стали в литейном цехе), при нормальном течении технологического процесса, температуре наружного воздуха и значениях солнечной радиации, близких к расчетным. Местная вытяжная вентиляция, если она существует, должна быть налажена до начала испытаний естественной вентиляции.
При направлении ветра под углом более 15° к продольной оси задуваемого фонаря во время испытаний закрывают его створки с наветренной стороны и открывают с заветренной. Если угол, образованный направлением ветра и продольной осью фонаря, менее 15°, створки задуваемых фонарей могут быть открыты и с наветренной и заветренной сторон. В незадуваемых фонарях створки при испытании открывают с обеих сторон независимо от направления ветра. Клапаны вытяжных шахт естественной вентиляции также следует открыть.
Приток воздуха должен осуществляться через все предусмотренные проектом нижние аэрационные проемы, а в наиболее жаркие дни также через открытые проемы ворот, аэрационные ворота и наружные двери. В многопролетных зданиях створки фонарей смежного "холодного" пролета, откуда воздух дополнительно поступает в обследуемые помещения, должны быть открыты.
4.144. Испытания и наладка аэрации должны производиться в такой последовательности:
регулирование аэрационных устройств;
санитарно-гигиеническое обследование состояния воздушной среды помещений;
определение необходимых воздухообменов и выполнение мероприятий, направленных на их обеспечение, если санитарно-гигиеническое состояние воздушной среды не соответствует ГОСТ 12.1.005-76;
санитарно-гигиеническое обследование состояния воздушной среды помещений после выполнения перечисленных мероприятий.
4.145. При испытании естественной вентиляции определяют:
общий расход приточного воздуха, поступающего в помещение естественным путем (через наружные и внутренние проемы) и подаваемого приточными и душирующими системами механической вентиляции;
общий расход воздуха, удаляемого из помещений естественной и механической вентиляцией;
средняя температура воздуха в рабочей зоне помещения (на рабочих местах и площадках);
средняя температура приточного воздуха (наружного и поступающего через внутренние проемы из смежных помещений);
среднее содержание газовых вредных веществ в воздухе рабочей зоны;
среднее содержание газовых вредных веществ в воздухе, поступающем в помещение снаружи и из смежных помещений.
Весь комплекс необходимых измерений производят не менее двух раз с интервалом 1-2 ч. Результаты измерений по циклам сопоставляют между собой. В случае значительного расхождения (более 15 %) производят дополнительные измерения. Обработку результатов многократных измерений производят в соответствии с рекомендациями пп. 2.77 - 2.80.
4.146. Если фактическая температура воздуха рабочей зовы помещения (или содержание газовых вредных веществ) превышает значения, допустимые ГОСТ 12.1.005-76, следует увеличить расход поступающего в помещение воздуха.
4.147. Необходимый расход воздуха Lн, м3/с, определяют по следующим формулам:
по избыткам тепла
(110)
где L - фактический воздухообмен, м3/с;
tp.з - tн - фактический перепад между температурой в рабочей зоне и температурой наружного воздуха, °С;
Δt - допустимый перепад температур, °С;
по газовыделениям
(111)
где Сp.з, Сн - фактическая средняя концентрация газа соответственно в рабочей зове и наружном воздухе, мг/м3;
Сдоп - допустимая концентрация газа в рабочей зове, мг/м3 (ПДК).
4.148. Площади приточных Fп.н, м2, и вытяжных Fв.н, м2, аэрационных проемов для обеспечения необходимого воздухообмена определяют приближенно по формулам
(112)
(113)
где Fп, Fв - фактические площади открытых при испытании аэрационных соответственно приточных и вытяжных проемов, м2;
L - фактический воздухообмен по притоку, м3/с;
Lн -необходимый воздухообмен по притоку, м3/с.
4.149. При необходимости эффективность аэрационных устройств может быть повышена следующим образом:
оборудованием аэрационных незадуваемых фонарей ветрозащитными панелями;
реконструкцией створок аэрационных приточных и вытяжных проемов для максимально возможного увеличения угла их открывания;
устройством дополнительных приточных аэрационных проемов в нижней зоне продольных наружных стен помещения; в отдельных случаях может быть рекомендовано устройство аэрационных ворот;
устройством дополнительных вытяжных аэрационных проемов в верхней зове помещения;
увеличением высоты вытяжных шахт или дефлекторов над уровнем кровли.
4.150. Если невозможно (или неэкономично) повысить воздухообмен средствами аэрации, рекомендуется увеличить число систем общеобменной механической вентиляции. Механический приток следует подавать на участки, расположенные на расстоянии более 30 м от приточных проемов.
4.151. Для более точного подсчета необходимых площадей приточных и вытяжных аэрационных проемов при безветрии следует определить положение нейтральной зоны помещения, в которой разность между внутренним и внешним давлением воздуха равна нулю.
Положение
нейтральной зоны в помещении следует определять графически. Для этого на
вертикальную линию наносят отметки центров верхнего (вытяжного) и нижнего
(приточного) аэрационных проемов (или их рядов, если на той же высоте имеется
несколько проемов). Под прямым углом к этой линии от верхней точки откладывают
в произвольном масштабе динамическое давление, подсчитанное по средним
скоростям воздуха, замеренным в верхних проемах
От нижней точки откладывают в том же масштабе,
но в противоположном направлении динамическое давление, подсчитанное по средним
скоростям воздуха, замеренным в нижних проемах 
Точка пересечения вертикальной линии с прямой, соединяющей концы векторов динамических давлений, и определяет положение нейтральной зоны. Одновременно рассчитывают расстояние hв и hн от нейтральной зоны до центров соответственно верхнего и нижнего проемов.
4.152. Площади необходимых приточных Fп.н, м2 и вытяжных Fв.н, м2, аэрационных проемов для обеспечения требуемого воздухообмена определяют по формулам
(114)
и
(115)
где М - коэффициент расхода соответствующего аэрационного проема (см. справочное приложение 31);
Gп.н, Gyx.н - необходимые расходы соответственно поступающего и уходящего из помещения воздуха, кг/с;
g - ускорение свободного падения, равное 9,81 м/с2;
ρн, ρух - плотности наружного и уходящего воздуха, соответствующие расчетным значениям температур наружного и уходящего воздуха, кг/к3,
4.153. При наличии в помещении механического притока или вытяжки в числителе формул (114 и 115) из общего расхода необходимого воздуха Gп.н и Gyx.н должен быть вычтен расход воздуха, полагаемого или удаляемого механическими системами.
4.154. Результаты испытаний систем естественной вентиляции (аэрации) заносят в форму обязательного приложения 32.
5.1. Балансы по теплоте, влаге и газам составляют с целью выявления количества вредностей, выделяющихся в производственных помещениях, для последующего определения необходимых воздухообменов.
5.2. Балансы составляют:
тепловой - по помещению, в котором технологический процесс сопровождается тепловыделениями при незначительных влаговыделениях;
тепловой и влажностный - по помещению, в котором технологический процесс сопровождается одновременно тепло- и влаговыделениями;
газовый - по помещению, в котором технологический процесс сопровождается выделением вредных газов;
тепловой, влажностный и газовый - по помещению, в котором технологический процесс сопровождается одновременными выделениями теплоты, влаги и газов.
5.3. Для помещений, в которых одновременно происходит выделение нескольких вредных веществ, не обладающих однонаправленным действием, баланс составляют по веществу, для ассимиляции которого требуется наибольший расход вентиляционного воздуха. При одновременном выделении в воздух помещения вредных веществ однонаправленного действия балансы составляют по каждому виду вредного вещества, находящегося в газообразном (парообразном) или высокодисперсном аэрозольном состоянии.
5.4. Баланса до теплоте, влаге и газу составляют после наладки местной вытяжной вентиляции и при нормальном состоянии и загрузку технологического оборудования.
Инструментальные измерения, связанные с составлениями балансов, рекомендуется производить:
в холодный период года - для составления баланса по газам;
в теплый период года - для составления балансов по теплоте и влаге.
Примечание. Инструментальные измерения для составления балансов по теплоте и влаге нельзя проводить при наличии конденсации влаги на внешних ограждающих конструкциях.
5.5. В помещениях с технологическими процессами, близкими к стационарным, когда повторяются однородные производственные операций, а характер и количество выделяющихся вредных веществ остаются более или менее постоянными, испытания должны быть проведены, как правило, в течение одной смены. При этом рекомендуется выполнять:
для составления балансов по теплоте и влаге четыре-пять повторяющихся цилов (комплексов) необходимых инструментальных измерений;
для составления балансов по газу два-три цикла (комплекса) измерений и отбора проб воздуха.
Продолжительность одного цикла инструментальных измерений в помещении ее стационарным технологическим процессом не должна превышать 1,5 - 2 ч. В помещении с переменным технологическим процессом (когда характер и количество выделяющихся вредных веществ изменяются по времени) число циклов измерений определяют в каждом случае с учетом местных условий. При этом продолжительность каждого цикла должна быть достаточной для учета особенностей соответствующего технологического режима.
5.6. Весь комплекс инструментальных замеров для составления балансов по теплоте, влаге и газу должен быть выполнен не менее двух раз (в различные дни). Если по результатам двух комплексов измерений, проведенных в условиях одинакового технологического режима, расхождение в количестве выделяемых производственных вредностей превышает 15 %, необходимо провести дополнительные испытания для проверки и уточнения полученных данных.
5.7. При составлении балансов по теплоте и влаге, выделяющихся от технологического оборудования, необходимо учитывать:
теплоту от солнечной радиации, поступающую в помещение;
теплопотери помещения через внешние ограждения;
количество теплоты, выделяющееся в помещение от отопительных установок и горячих трубопроводов отопления;
дополнительное количество теплоты, поступающей в помещение или удаляемой из него с вносимыми или выносимыми из помещения материалами, оборудованием и т.д.
Примечания. 1. Для упрощения работы рекомендуется на период инструментальных измерений выключить отдельные отопительные устройства в обследуемом помещении, если это возможно по местным условиям.
2. При наличии в помещении неизолированных магистральных горячих производственных трубопроводов, которые в дальнейшем предполагается изолировать, в балансе по теплоте должно быть учтено ее количество, выделяемое ими в помещение.
5.8. Измерение следует проводить в день, непосредственно следующий за нерабочим, а также в первые 2 ч работы первой смены (при одно- и двухсменной работе).
5.9. До выполнения комплекса измерений необходимо:
изучить имеющиеся проектные материалы по отоплению и вентиляции, а также технологическую часть проекта обследуемого цеха (отделения);
детально ознакомиться:
с технологическим процессом, установленным технологическим оборудованием, режимом его работы и расположением рабочих мест у оборудования;
со строительными конструкциями внешних ограждений обследуемого помещения;
с эксплуатируемыми отопительно-вентиляционными устройствами и режимом их работы;
выявить основные источники выделения теплоты, влаги и газа;
определить периодичность и продолжительность выделения теплоты, влаги и газа;
определить направление движения воздушных потоков в проемах, где воздух может одновременно поступать и удаляться из помещения (проемы в смежные помещения, ворота и т.д.), для установления последовательности производства измерений;
произвести (при отсутствии ясности в характере и степени загрязненности воздушной среды помещения) предварительные отбор и анализ проб воздуха на содержание газов, выделяющихся в помещение, с целью выявления превалирующего вредного вещества или вредных веществ, по которым должен быть составлен баланс. Предварительный отбор проб воздуха следует производить в основных характерных местах: у рабочих мест, в зоне возможного скопления газовых вредных веществ, а также в местах отвода из помещения загрязненного воздуха и т.д.
разработать программу предстоящих работ, в которой должны быть предусмотрены:
согласованные с технологами дни и часы начала и окончания инструментальных измерений, количество и продолжительность их циклов;
мероприятия по установлению необходимого в период измерений режима работы производственного оборудования и отопительно-вентиляционных устройств;
места инструментальных замеров и отборов проб воздуха для определения содержания газовых вредных веществ (включая места, расположенные вне обследуемого помещения). Эти места должны быть нанесены на планы и разрезы помещения, а также на схемы воздуховодов вентиляционных систем принятыми условными обозначениями, все места замеров и отборов проб должны быть пронумерованы на чертежах порядковыми номерами;
между участниками проведения измерений распределить точки замеров и места отбора проб воздуха.
5.10. Каждому участнику инструментальных замеров должна быть поручена работа по замеру скоростей, температур и влажности воздуха или по отбору проб воздуха с учетом ее окончания во время, предусмотренное для проведения каждого отдельного цикла работ.
5.11. Определение температуры и влажности воздуха следует производить в соответствии с рекомендациями пп. 2.4 - 2.20.
Перед производством измерений все используемые термометры и психрометры должны быть сверены между собой.
5.12. Скорость ветра определяют с помощью чашечного анемометра, располагаемого на высоте 1,5 м на над коньком крыши или над поверхностью плоской кровли. При наличии фонарей анемометр должен быть поднят с помощью шеста на высоту, превышающую отметку верхней кромки фонаря на 1,5 м.
Направление ветра определяют флюгером, по направлению дыма или с помощью бумажной ленты длиной 1,5 - 2,0 м, прикрепленной к шесту.
5.13. Одновременно с температурой и влажностью наружного воздуха в рабочем журнале необходимо кратко отмечать условия погоды: ясно, пасмурно, снег и т.п.; при переменной погоде в теплый период года необходимо также учитывать наличие и продолжительность солнечной радиации в течение каждого цикла работ.
5.14. В процессе инструментальных измерений необходимо следить за тем, чтобы положение дросселирующих устройств в вентиляционных системах не изменялось.
5.15. Скорость и расход воздуха, поступающего в помещение и уходящего из него, определяют:
в открытых дверных и технологических проемах и воротах;
в открытых фрамугах оков - через каждые 10-12 м отдельно для каждого яруса остекления каждой наружной стены помещения (с указанием стороны света, куда обращена стена);
в открытых фрамугах фонарей - через каждые 10-12 м для каждой стороны каждого яруса остекления фонаря;
в вытяжных шкафах (дефлекторах) - в одной шахте (одном дефлекторе) на каждую группу однотипных шахт (дефлекторов), находящихся в одинаковых условиях.
За период одного цикла работ скорость воздуха в каждом месте замера следует измерять дважды.
5.16. Количество мест замеров температуры и влажности воздуха в проемах оков и фонарей помещения может быть принято вдвое меньше количества мест замеров скоростей воздуха в этих проемах, но не менее двух.
5.17. Расход, температура и влажность воздуха, подаваемого механическими приточными системами в обследуемое помещение, определяют:
если вентилятор расположен в помещении, в котором проводят измерения, - на стороне нагнетания у вентилятора;
если вентилятор расположен вне обследуемого помещения - на магистральном воздуховоде при входе его в помещение или непосредственно у воздухораспределителей.
5.18. Расход, температуру и влажность воздуха, удаляемого из обследуемых помещений механическими вытяжными системами (за исключением местных вентиляционных систем, отсасывающих от технологического оборудования нагретый и увлажненный воздух), определяют:
если вентилятор расположен в помещении, где проводятся измерения, - на стороне всасывания у вентилятора;
если вентилятор расположен вне обследуемого помещения - на ближайшем к вентилятору участке магистрального всасывающего воздуховода, расположенного в помещении.
Примечание. При наличии местных вентиляционных систем, отсасывающих от технологического оборудования теплоту или влагу, необходимо определять расход, температуру и влажность воздуха, подсасываемого из обследуемого помещения в местные отсосы (укрытия).
5.19. При наличии технологических вентиляторов определяют температуру, влажность и расход воздуха, подаваемого этими вентиляторами в помещение или удаляемого из него.
5.20. По каждой отопительно-вентиляционной системе, работающей на режиме частичной рециркуляции, должны быть определены расходы, температура и влажность воздуха, подаваемого в помещение, и рециркуляционного воздуха (перед смешением его с наружным воздухом).
5.21. Температуру и влажность воздуха измеряют на фиксированных рабочих местах и в рабочей зоне на высоте 1,5-2,0 м от уровня пола.
5.22. Для выявления количества теплоты, поступающей в помещение от солнечной радиации, должны быть определены фактические облучаемые площади остекленных поверхностей оков, фонарей и крыши.
5.23. Для подсчета количества теплоты, выделяемой в обследуемое помещение нагревательными приборами отопления (если систему отопления нельзя полностью отключить на период проведения измерений), должны быть определены общая поверхность нагрева работающих приборов и средняя температура поверхности.
5.24. Для определения средней температуры приборов (при верхней подаче теплоносителя) необходимо произвести выборочные замеры температуры термощупами: у двух-трех приборов, ближайших к тепловому вводу; у двух-трех, приборов, наиболее отдаленных от него; и двух-трех приборов, находящихся примерно в середине.
5.25. Для определения количества теплоты, выделяемой в помещение магистральными горячими неизолированными производственными трубопроводами, должна быть определена поверхность нагрева и замерена температура поверхности каждого трубопровода.
5.26. Расположение мест для отбора проб воздуха и количество проб при измерениях для составления баланса по газу следует выбирать исходя из местных условий (с учетом расположения оборудования, выделяющего газы, направления ветра, схемы организации воздухообмена и т.п.).
5.26.1. При каждом цикле работ количество последовательно отобранных проб воздуха должно быть не менее пяти:
на выходе воздуха из фрамуг и проемов в наружных ограждениях - на 50 м длины каждого яруса остекления каждой наружной стены помещения и фонаря;
на входе воздуха через проемы из смежных помещений - на 50 м внутренней стены и на каждое смежное помещение;
снаружи здания с наветренной стороны на высоте 1,5 м от уровня земли - на 100 м длины здания;
во всасывающих воздуховодах перед вентиляторами всех вытяжных систем, кроме местных, отсасывающих газ, по которому составляют баланс - на каждую систему;
в местах подсоса воздуха из обследуемого помещения местными отсосами у оборудования, выделяющего газ, по которому составляют баланс - на каждую группу одинаковых местных отсосов, установленных у однотипного технологического оборудования и отрегулированных на равномерный расход удаляемого воздуха:
в воздуховодах приточных механических систем, заборные шахты которых находятся вблизи выбросов вытяжных систем и (или) технологических выбросов, - на систему.
в вытяжных шахтах (дефлекторах) - на каждую группу однотипных шахт (дефлекторов), работающих в одинаковых условиях.
5.26.2. На фиксированных рабочих местах в рабочей зоне помещения и в проходах количество проб определяют с учетом местных условий.
5.27. Все данные, полученные в процессе измерений, следует заносить в рабочие журналы отдельно по каждому циклу работ. Нумерация мест замеров и отборов проб воздуха в журналах должна соответствовать нумерации, принятой в чертежах. Во время измерений необходимо регистрировать в рабочих журналах все происходящие изменения технологического процесса, влияющие на, условия воздушной среды помещения.
Необходимо также получать у технологов и записывать в журнал данные для последующего определения удельных выделений вредностей (количество изготовленной продукций, количестве и мощность действующего технологического оборудования и т.п.).
В журналах следует отмечать и общую мощность работающих в процессе измерений источников искусственного освещения.
5.28. Перед составлением балансов необходимо произвести обработку результатов измерений и данных анализов проб воздуха отдельно по каждому циклу проведенных работ. При этом должны быть подсчитаны;
скорости, температура и содержание производственных вредностей в воздухе, проходящем через отдельные проемы и подаваемом или удаляемом из помещения отдельными механическими вентиляционными и технологическими системами;
площади проемов, а при выборочных замерах - общие площади соответствующих однотипных проемов;
общий расход воздуха, поступающего и уходящего из помещения;
общее количество вредностей, содержащихся в поступающем в помещение воздухе;
общее количество вредностей, содержащихся в удаляемом из помещения воздухе;
количество производственных вредностей, выделяющихся в помещении.
5.28.1. По окончании испытаний и обработки материалов должны быть сопоставлены между собой полученные по отдельным циклам среднеарифметические значения расходов воздуха и содержания производственных вредностей в воздухе, проходящем через отдельные проемы (группу проемов), а также в воздухе, подаваемом в помещение или удаляемом из него механическими системами.
5.28.2. При сопоставлении должны быть учтены имеющиеся в рабочих журналах отметки о ходе технологического процесса, измерениях внешних метеорологических условий и других факторов, которые могли повлечь за собой увеличение или уменьшение производственных вредностей в обследуемом помещении.
Примечание. При невозможности объяснить значительное отклонение отдельных усредненных или итоговых данных того или иного цикла работ от соответствующих величин других циклов эти данные должны быть исключены из последующих расчетов как, ошибочные.
5.28.3. Баланс при ступенчатом технологическом процессе составляют либо отдельно по каждому основному циклу, либо по циклу, связанному с наибольшим выделением производственных вредностей (в соответствии с утвержденной программой испытаний).
5.29. Результаты замеров заносят в таблицу рекомендуемого приложения 22. В первой вертикальной графе раздела А таблицы указывают:
места замеров температуры, влажности и скорости движения воздуха, уносящего теплоту и влагу (магистральный воздуховод у вентилятора вытяжной системы, вытяжные шкафы, фрамуги нижнего яруса фонаря, фрамуги верхнего яруса фонаря, проемы в смежные помещения и т.д.);
места замеров температуры, влажности и скорости движения воздуха, приносящего теплоту и влагу (магистральный воздуховод у вентилятора приточной системы, оконные фрамуги нижнего стенового остекления, оконные фрамуги верхнего стенового остекления, проемы в смежные помещения и т.д.).
Примечания. 1. Для проемов в наружных стенах необходимо указать отдельно каждую наружную стену и ее расположение по отношению к сторонам света.
2. Деление таблицы баланса на три раздела дано в методических целях для пояснения рекомендуемой последовательности ее заполнения. На практике таблицу обычно составляют без подзаголовков.
5.30. Значения плотности ρ, кг/м3, уходящего или поступающего воздуха, принимают по номограмме (справочное приложение 33), с учетом значений температуры (по "сухому" термометру), относительной влажности и барометрического давления.
5.31. Удельная энтальпия i, кДж/кг, и влагосодержание d, г/кг, воздуха определяют по J-d диаграмме (см. справочное приложение 15) согласно показаниям "сухого" термометра и относительной влажности воздуха.
5.32. Массовый расход уходящего и поступающего воздуха G, кг/с, определяют по формуле
(116).
где L - расход воздуха, м3/с.
Количество теплоты Q, кВт, содержащейся в уходящем и поступающем воздухе, определяют по формуле
(117)
5.33. Количество влаги D, кг/с, в уходящем и поступающем воздухе определяют по формуле
(118)
5.34. Разность между массовым расходом поступающего и уходящего воздуха определяет значение невязки Gнев, которое не должно превышать 10 % большего массового расхода воздуха.
Значение Gнев вписывают в вертикальную графу 10, если общий массовый расход поступающего воздуха превышает общий массовый расход уходящего, или в графу 13, если общий массовый расход поступающего воздуха меньше (см. рекомендуемое приложение 22).
Количества тепла Qнев. и влаги Dнев, содержащиеся в воздухе Gнев., определяют по его средневзвешенным значениям энтальпии iнев. и влагосодержанию dнев. Если общий массовый расход уходящего воздуха превышает общий расход поступающего в помещение воздуха, то средневзвешенные значения и влагосодержание воздуха Gнев. определяют по температуре tнев. и влажности φнев. воздуха, поступающего снаружи или из смежных помещений. В других случаях iнев и dнев. определяют по формулам
(119)
и
(120)
где Q - общее- количество теплоты, кВт, содержащейся в приточном воздухе при невязке по притоку или в вытяжном воздухе при невязке по вытяжке;
D - общее количество влаги, кг/с, содержащееся в приточном воздухе при невязке по притоку или в вытяжном воздухе при невязке по вытяжке.
5.35. Общий массовый расход уходящего и поступающего воздуха ΣG (с учетом Gнев) вносят в графы 10 и 13 рекомендуемого приложения 22 (в обеих графах ΣG должно быть одинаковым).
Общие объемные расходы уходящего ΣLух и поступающего ΣLпр воздуха определяют с учетом Gнев.
5.36. Суммарные количества удаляемых и поступающих в помещения теплоты и влаги определяют суммированием всех значений, внесенных соответственно в вертикальные графы 11 и 14, 12 и 15 приложения 22.
5.37. Средневзвешенные значения удельной энтальпии и влагосодержания уходящего и поступающего воздуха подсчитывают по формулам
(121)
(122)
и заносят в графы 8 и 9 приложения 22 в те горизонтальные строки, где записаны суммарные количества удаляемых и поступающих в помещение теплоты и влаги.
5.38. Из J-d диаграммы по средневзвешенным значениям удельной энтальпии и влагосодержания уходящего и поступающего воздуха находят и вписывают в вертикальную графу 5 приложения 22 средневзвешенные температуры tyx и tпр.
5.39. При составлении баланса только по теплоте из таблицы баланса (см. рекомендуемое приложение 22) исключают графы 6, 9, 12 и 15. Плотность воздуха (графа 7) определяют по температурам, замеренным по "сухому" термометру, и барометрическому давлению, а удельную энтальпию i, кДж, воздуха - по формуле
(123)
где tc - температура воздуха, замеренная по "сухому" термометру, °С.
5.40. В горизонтальных строках раздела Б таблицы баланса (приложение 22) приводятся дополнительные источники поступления теплоты в помещение и потери теплоты помещением, не связанные с производственным процессом (солнечная радиация, теплота, выделенная отопительными и отопительно-вентиляционными установками, теплопотери или поступления теплоты через ограждающие конструкции здания, теплота от электроосвещения и другое), а также хотя и связанные с производственным процессом, но колеблющиеся в значительных пределах в зависимости от времени года (например, теплота, теряемая на нагревание внесенных в помещение холодных материалов).
5.41. Поступление теплоты от солнечной радиации через световые проемы Qc, кВт, надлежит определять по формуле
(124)
где qc - количество теплоты, поступающей в помещение, от солнечной радиации через единицу площади проема, Вт/м2/определяют по формуле (15);
F - площадь светового проема, м2.
5.42. Поступление теплоты через ограждающие конструкции здания за счет разности температур наружного и внутреннего воздуха Qо, кВт, надлежит определять по формуле
(125)
где q - плотность теплового потока, Вт/м2 (определяют по п. 2.47 или п. 2.48);
Fo - площадь ограждающих конструкций, м2.
5.43. Теплоту, выделяемую приборами центрального отопления Qот кВт, следует определять по формуле
(126)
где К - коэффициент теплопередачи прибора, Вт/м2, °С;
F - общая поверхность нагрева приборов, установленных в обследуемом помещении, м2;
tн.п средняя температура поверхности нагревательных приборов, °С;
tр.з - средняя температура воздуха в рабочей зоне помещения, °С.
Теплоту, выделяемую неизолированными производственными магистральными трубопроводами, следует определять по той же формуле, что и теплоту, выделяемую нагревательными приборами.
5.44. Теплоту, выделяемую воздушно-отопительными агрегатами Qв.от, кВт, а также вентиляционными установками, работающими на режиме полной рециркуляции (если они не могут быть выключены на период испытаний), определяют по формуле
(127)
где Св - теплоемкость воздуха, С = 1 кДж/кг·с;
ρ - плотность воздуха в месте определения его расхода, кг/м3;
L - расход воздуха, определенный до или после агрегата (рециркуляционной установки), м3/с;
tк -температура воздуха, нагретого в агрегате или в вентиляционной установке, °С;
tн - температура воздуха перед входом в отопительный агрегат или в рециркуляционном канале вентиляционной установки, °С.
5.45. Теплоту, выделявшую в помещение в результате солнечной радиации, нагревательными приборами центрального отопления, неизолированными горячими магистралями, воздушно-отопительными агрегатами и вентиляционными установками, работающими на режиме, полной рециркуляции, а также другие дополнительные тепловыделения вносят непосредственно в вертикальную графу 14 раздела Б таблицы баланса (см. рекомендуемое приложение 22).
Примечание. При наличии вентиляционных установок, работающих на режиме частичной рециркуляции, должны быть отдельно учтены в вертикальных графах 11 и 14, 12 и 15 раздела А количества теплоты и влаги в воздухе, удаляемом этими установками из помещения (в рециркуляционном канале) и подаваемом ими в помещение. Для производства необходимых расчетов должны быть заполнены все предшествующие вертикальные графы таблицы.
5.46. Потери тепла наружными ограждениями помещения определяют по формуле (125).
При наличии данных проекта об общем расчетном количестве теплопотерь в помещении Qp.п, кВт, и при соответствии натуре запроектированных наружных ограждений фактические теплопотери Qфл, кВт, при испытаниях в холодный период года определяют по формуле
(128)
где Δtф, Δtp - соответственно фактическая и расчетная разность температур внутреннего и наружного воздуха, °С.
При отсутствии проектных данных теплопотери наружными ограждениями помещения должны быть определены расчетом.
5.47. Потери теплоты на нагрев холодных материалов Qх.м, кВт, поступающих в обследуемое помещение, определяют по формуле
(129)
где Qм - масса материала, кг, поступающего в течение 1 ч;
См - теплоемкость материала, кДж/кг·°С;
tp.з - температура воздуха в рабочей зоне, °С;
tм - температура поступающего материала, °С;
Вм - коэффициент интенсивности теплообмена, принимаемый равным: для изделий, несыпучих материалов и транспорта в первый час пребывания в цехе - 0,5, во второй - 0,3, в третий - 0,2, для сыпучих материалов в первый час пребывания в цехе - 0,4, во второй - 0,25, в третий - 0,15, четвертый -0,1, пятый - 0,05.
5.48. Дополнительные потери теплоты вносят непосредственно в вертикальную графу 11 раздела Б таблицы баланса (см. приложение 22).
5.49. Суммарные значения по теплоте
(ΣQух + Σqдоп.ух) и (ΣQпр + Σqдоп.пр) получают суммированием итогов граф 11 и 14 раздела А и Б таблицы. Суммарные значения по влаге переносят в раздел Б из итогов раздела А таблицы.
5.50. Валовые тепловыделения Qвал, кВт, и влаговыделения D, кг/с, в процессе производства, не зависящие от времени года, составляют
(130)
(131)
5.51. В строке сводного баланса количество теплоты и всей влаги, уходящих из помещения, должно быть равно количеству теплоты и влаги, поступающих в помещение (включая теплоту и влаговыделения в ходе производства, не зависящие от времени года).
5.52. Явные тепловыделения Qявн, кВт, выделяемые в ходе технологического процесса и не зависящие от времени года, составляют:
(132)
Полученное значение Qявн проверяют по формуле
(133)
5.53. По итоговым данным баланса по теплоте и влаге определяют удельные тепло- и влаговыделения в помещение в процессе производства (не зависящие от времени года): на 1 м3 внутренней кубатуры помещения (кВт/м3); на единицу вырабатываемой продукции кВт/ед. прод и кг/(ед. прод); на единицу основного технологического оборудования кВт/ед. обор и кг/(ед. обор).
5.54. При расчете воздухообмена величины Qявн и D необходимо скорректировать с учетом намечаемого увеличения производительности цеха. Эту корректировку производят по расчетной производительности цеха на основе определенных балансом удельных тепло- и влаговыделений.
Одновременно при определении воздухообмена корректируют Qявн с учетом расчетных дополнительных выделений теплоты, зависящих от времени года (солнечная радиация, отопление и т.д.), и расчетных потерь теплоты наружными ограждениями, на нагрев поступающих в помещения в холодный период холодных материалов и т.д.
Если испытания проводили при отсутствии искусственного освещения или при частичном выключении светильников, величину Qявн корректируют с учетом расчетных выделений теплоты от источников искусственного освещения Qявн, кВт.
(134.)
где N - суммарная мощность источников освещения, кВт.
5.55. В производственных помещениях с тепловыделениями, когда поступающий воздух подается в рабочую зону, определяют коэффициент воздухообмена Кt, выражающий отношение общего количества явных тепловыделений в помещении к количеству явных тепловыделений, непосредственно влияющих на температуру воздуха в рабочей зоне.
Коэффициент Кtобщ, используемый для расчета общеобменной вентиляции помещений, определяют по формуле
(135)
или
(136)
5.56. Для производственных помещений с влаговыделениями определяют коэффициент воздухообмена Кd, характеризующий отношение общего количества влаговыделений в помещении к количеству влаговыделений, влияющих непосредственно на влажность воздуха в рабочей зоне, по формуле
(137)
или
(138)
5.57. В тех случаях, когда вся теплота и влага в помещении выделяются одними и теми же источниками, значения коэффициентов Кtобщ и Кdобщ должны быть близки.
5.58. При составлении балансов по нескольким газовым вредным веществам таблицу баланса следует составлять по каждому из газов отдельно (см. обязательное приложение 23).
5.59. Вертикальные графы 1-7 и 9,10 (см. приложение 23) заполняют аналогично таблице баланса по теплоте (см. приложение 22). В графе 8 помещают средние значения концентрации газа С, кг/м3, по данным анализа проб воздуха. В графах 11 и 12 приводят количество газов М, г/ч, в уходящем и поступающем в помещение воздухе.
5.60. Если одновременно составляются балансы по теплоте, влаге (или только по теплоте) и газу, допускается объединение таблицы баланса по газу с таблицей баланса по теплоте и влаге (или только по теплоте). В этом случае в таблицу баланса по теплоте и влаге (или только по теплоте) добавляют вертикальные графы со значениями концентрации газа, количества газа в уходящем из помещения воздухе и количества газа в воздухе, поступающем в помещение.
5.61. Величины Gнев и tнев определяют в соответствии с рекомендациями п. 5.55.
С учетом полученного значения tнев необходимо определить соответствующие ей значения ρнев и Lнев.
Концентрация газа для величины Lнев принимается равной:
при преобладании вытяжки вал притоком - средневзвешенной концентрации газа в проемах, через которые в помещение поступает основная масса воздуха;
при преобладании притока над вытяжкой - средневзвешенной концентрации газа в проемах, через которые из помещения удаляется основная масса воздуха.
5.62. После определения количестве газа в объеме Lнев подсчитывают суммарное количество газа, уходящего из помещения и поступающего в помещение, а затем средневзвешенные концентрации газа в уходящем и поступающем воздухе Gух, мг/м3:
(139)
Общее количество газа М, кг/с, выделяющегося в помещение в процессе производства, определяют по формуле
(140)
5.63. По итоговым данным баланса по газу определяют удельные газовыделения в помещении на единицу выработанной продукции кг/ч (ед. прод) и на единицу основного технологического оборудования кг/ч (ед. обор).
5.64. В производственных помещениях с газовыделениями коэффициент воздухообмена определяют по формуле
(141)
или
(142)
5.65. Расчет воздухообменов, необходимых для обеспечения нормируемого состояния воздушной среды рабочей зоны, должен осуществляться на основе натурных испытаний, проведенных при нормальной загрузке технологического оборудования после наладки местной вентиляции, если выявлено, что соответствие состояния воздушной среды требованиям ГОСТ 12.1.005-76 может быть достигнуто без изменения принципиальной схемы вентиляции.
5.66. Расчетный воздухообмен Lр, м3/с, в общем случае следует принимать наибольшим из значений, полученных по следующим формулам:
при расчете по избыткам явной теплоты
(143)
где Qявн - количество явной теплоты, определяемое на основании данных воздушно-теплового баланса, кВт;
Qдоп - дополнительные поступления или потери теплоты, определяемые в соответствии с рекомендациями пп. 5.40 - 5.44, 5.46, 5.47, кВт;
Lр.з - количество воздуха, удаляемого из рабочей или обслуживаемой зоны помещения местными отсосами, общеобменной вентиляцией, на технологические и другие нужды, м3/с;
CG - теплоемкость воздуха, CG = 1 кДж/кг·°С;
ρн - плотность воздуха при нормальных условиях (Т = 293 К, φ = 50 %, В = 101,325 кПа), кг/м3;
ρ - плотность воздуха в месте определения Lр.з кг/м3;
tp.з - температура воздуха в рабочей или, обслуживаемой зоне помещения, принимаемая по ГОСТ 12.1.005-76, °С;
tмp - температура приточного воздуха, °С;
Кt - коэффициент воздухообмена по теплоте, принимаемый по АЗ-669;
при расчете по избыткам влаги
(144)
где D - избытки влаги в помещении, определяемые на основе баланса по влаге, кг/с;
dр.з - влагосодержание воздуха, удаляемого из рабочей или обслуживаемой зоны, г/кг;
dпp - влагосодержание приточного воздуха в расчетный, период, г/кг;
Кd - коэффициент воздухообмена по влаге, принимаемый по аналогии с Кt;
при расчете по количеству выделяющихся вредных веществ
(145)
где М - количество вредных веществ, поступающих в воздух помещения, определяемое на основе баланса по газу, кг/с;
ПДК - предельно допустимая концентрация вредного вещества, нормируемая для воздуха рабочей или обслуживаемой зоны ГОСТ 12.1.005-76, мг/м3;
Спр - концентрация вредных веществ в приточном, воздухе, мг/м3;
Кс - коэффициент воздухообмена по газам, принимаемый по аналогии с Кt.
5.66.1. Для практических расчетов по определению необходимых воздухообменов можно воспользоваться следующими формулами:
(146)
(147)
(148)
где Кtобщ, Кdобщ, Кcобщ - коэффициенты, определенные из воздушно-тепловых и газовых балансов в соответствии с рекомендациями пп. 5.54, 5.55 и 5.63.
5.66.2. Связь между коэффициентами воздухообмена К (Кt, Кd, Кс) и коэффициентами Кобщ (Кtобщ, Кdобщ, Кcобщ) выражается следующей зависимостью;
(149)
где L - суммарный воздухообмен в помещении, м3/с.
При удалении воздуха только из рабочей или обслуживаемой зоны К = Кобщ = 1.
5.66.3. Если расчетный воздухообмен меньше или равен требуемому, для компенсации объема воздуха, удаляемого местной вытяжной вентиляцией Lм.о м3/ч, его необходимо принимать равным Lм.о.
6.1. Положения, изложенные в настоящем разделе рекомендаций, распространяются на все источники выбросов загрязняющих веществ в атмосферу.
6.2. Вентиляционные выбросы предприятия обследуют при проведении следующих работ:
инвентаризации источников выбросов загрязняющих веществ в атмосферу, в частности, разработке (пересмотре) нормативов предельно-допустимых и временно согласованных выбросов (ПДВ, ВСВ);
оценке степени загрязнения приземного слоя атмосферного воздуха;
контроле за соблюдением установленных нормативов ПДВ (ВСВ);
решении других задач в области охраны атмосферы.
6.3. Уточнение результатов ранее проведенной инвентаризации источников проводят при истечении установленного срока действия нормативов ПДВ (ВСВ), но не реже одного раза в 5 лет, а также в случае количественного увеличения и (или) качественного изменения выбросов загрязняющих веществ в атмосферу и (или) изменения метеорологических и аэродинамических характеристик источников выбросов, ухудшающих рассеивание загрязняющих веществ в атмосфере.
Периодичность измерительного контроля за соблюдением установленных значений ПДВ (ВСВ) для источников, неоснащенных автоматическими газоанализаторами или газосигнализаторами, определяют по табл. 4.
Таблица 4
|
Мощность выброса вредного вещества, г/с |
Периодичность, мес, при диапазоне ПДКм.р (ОБУВм.р), мг/м3 |
|||
|
менее 0,01 |
0,01-0,1 |
0,1-1 |
1 и выше |
|
Менее 0,1 |
12 |
18 |
24 |
30 |
|
От 0,1 до 1 |
6 |
12 |
18 |
24 |
|
От 1 до 10 |
3 |
6 |
12 |
18 |
|
От 10 до 100 |
2 |
3 |
6 |
12 |
|
От 100 до 1000 |
I |
2 |
3 |
6 |
|
1000 и выше |
0,5 |
I |
2 |
3 |
Примечания. 1. При 05сутствии максимально разовой предельно допустимой концентрации (ПДКм.р) или ориентировочного безопасного уровня воздействия вредного вещества (ОБУВм.р) диапазон допустимых концентрации устанавливают по значению, равному 10 % предельно допустимой концентрации в воздухе рабочей зоны ПДКр.з, ОБУВр.з), а при отсутствии ПДКр.з (ОБУВр.з) периодичность измерительного контроля устанавливают по диапазону 0,01-0,1.
2. Выброс вредного вещества, значение которого ниже расчетного, соответствующего концентрации, равной 0,5 ПДКр.з (0,5 ОБУВр.з), измерительному контролю не подлежит.
6.4. Санитарно-техническое обследование вентиляционных выбросов проводят, как правило, при полностью налаженных приточных и вытяжных системах (на проектные расходы воздуха или санитарно-гигиенический эффект).
6.5. До начала обследования вентиляционных выбросов определяют источники выделения и наименование вредных веществ, выделяющихся в воздух, для чего необходимо ознакомиться с:
производством (технологическими процессами, регламентами, оборудованием, применяемым сырьем и пр.);
существующими на предприятии системами вентиляции и очистными устройствами в натуре и по технической документации (проектным материалам, паспортам вентиляционных систем и очистных устройств и др.);
материалами ранее проведенных натурных обследований (материалами наладки, инвентаризации источников выбросов и документацией по ПДВ (ВСВ), и др.).
6.6. Качественный состав компонентов воздуха уточняют согласно п. 2.67.
6.7. Аэродинамические и метеорологические измерения - начальная стадия инструментального обследования вентиляционных выбросов. Они служат для определения расходов и скоростей движения воздуха на выходе из источника выброса, а при необходимости в мерном сечении воздуховода. Соответствующие измерения выполняют согласно рекомендациям раздела 2.
При определении параметров газовых потоков (температуры, давления, влажности и скорости) допускается применение "Методических указаний по определению параметров газовых потоков для определения и расчета выбросов из стационарных источников разного типа", утвержденных Главной геофизической обсерваторией им. А.И. Воейкова. Результаты измерения заносят в таблицу обязательного приложения 34.
6.8. Определение содержания вредных веществ при санитарно-техническом обследовании выбросов проводят согласно пп. 2.66 - 2.76. Результаты заносят в таблицу обязательного приложения 6.
6.9. Результаты инструментальных обследований сопоставляют с имеющимися аналогичными данными, полученными ранее (с учетом погрешностей измерения), и в случае их несоответствия выясняет причины. При необходимости проводят повторные измерения.
6.10. Количество вредного вещества М (г/с), выбрасываемого в атмосферу, определяют по формуле
(150)
где С - результат измерений концентрации вредного вещества в источнике выброса, мг/м3;
L - объемный расход выброса загрязненного воздуха, м3/с.
6.11. Валовое количество вредного вещества Мвал, т/год, выбрасываемого в атмосферу определяют по формуле
(151)
где Сср.с - среднесуточная (среднесменная) концентраций вещества в источнике выброса, кг/м3;
τ - врем действия источника выброса, ч/год.
Определение среднесуточной (среднесменной) концентрации для расчета валового количества, выбрасываемого в атмосферу, см. п. 2.72.5.
6.12. Расчет загрязнения атмосферы (расчет рассеивания) проводят по методикам, утвержденным Госкомгидрометом, как правило, с использованием ЭВМ, для приземного слоя атмосферного воздуха, ограниченного прямоугольником с размером сторон, кратным 1 км. Шаг расчетной сетки принимают в зависимости от размеров промышленной площадки предприятия, санитарно-защитной зоны, расстояния до жилой зоны, высоты источника, но не выше 500 м. За центр расчетного прямоугольника рекомендуется принимать точку на карте-схеме, вокруг которой сконцентрировано наибольшее число источников. Точность задания координат источников - 1 м.
6.13. На карту-схему наносят:
границы промышленной площадки, санитарно-защитной зоны и жилой застройки (селитебной зовы);
источники загрязнения атмосферы с присвоенными им номерами и производства, к которым они относятся;
ориентацию оси у системы координат на север и оси x - на восток;
сетку расчетного прямоугольника.
Результаты расчета загрязнения атмосферы анализируют с учетом и без учета фоновых концентраций.
7.1. Большинство из вошедших в раздел 4 "Испытания и наладка систем вентиляции и воздушного отопления" работ выполняют также при наладке систем КВ и поэтому в настоящем разделе не рассматриваются. Отражается, если это необходимо, лишь специфика их выполнения, связанная с различием предъявляемых к рассматриваемым системам требований.
7.2. Цель испытания - определение статической характеристики направляющего аппарата.
7.3. Перед испытанием необходимо:
проверить соответствие исполнения направляющего аппарата (правое, левое) направлению вращения рабочего колеса вентилятора. Направление закручивания потока лопастями аппарата должно соответствовать направлению вращения рабочего органа вентилятора;
обеспечить плавность и легкость хода аппарата;
обеспечить плотность закрывания и параллельность хода лопаток аппарата;
устранить люфты в сочленениях аппарата;
выполнять аэродинамическую наладку сети.
7.4. При испытании замерить подачу вентилятора в контрольной точке сети при семи положениях рабочего органа (лопаток) при прямом и семи положениях при обратном ходе (через каждые 15 град).
7.5. Построить статическую характеристику аппарата в координатах: ход рабочего органа (угол поворота лопаток или давление сжатого воздуха на пневмоприводе) и подача вентилятора при прямом и обратном ходах.
7.6. Определить необходимость наладки направляющего аппарата, исходя из требований специалистов по КИПиА, обусловленных работой аппарата в автоматическом режиме, при количественном регулировании СКВ или поддержании статического давления в сети.
7.7. Выполнить при необходимости наладку направляющего аппарата:
установить конечные положения направляющего аппарата исходя из выбора рабочей зоны статической характеристики;
уменьшить максимальное расстояние между кривыми прямого и обратного ходов рабочего органа до значения, необходимого дня поддержания заданных показателей качества процесса регулирования.
7.8. Провести контрольные испытания направляющего аппарата.
7.9. Цель испытания и наладки - обеспечение пуска радиального вентилятора и необходимого диапазона изменения частоты вращения рабочего колеса вентилятора.
7.10. При испытании гидромуфты следует определить зависимость частоты вращения шкива гидромуфты от давления масла. В зависимости от применяемого способа регулирования параметров воздуха в кондиционируемом помещении производят два вида испытания; гидромуфты.
7.11. При качественном способе регулирования параметров воздуха подача вентилятора постоянна, при этом определяют только давление масла, обеспечивающее требуемую частоту вращения шкива гидромуфты.
7.12. Испытание следует осуществлять в такой последовательности:
полностью открыть регулирующие устройства сети воздуховодов и приемный клапан кондиционера. При наличии рециркуляции клапаны наружного и рециркуляционного воздуха установить в среднее положение;
включить электродвигатель вентилятора, затем на 2 мин - шестеренный насос гидромуфты;
в контрольной точке вентиляционной сети замерить динамическое давление и определить подачу вентилятора. При необходимости изменить подачу вентилятора до проектного значения шестеренный насос включают на 20 - 30 с на накачку или откачку масла. При достижении проектной подачи вентилятора произвести аэродинамическую регулировку вентиляционной сети. После регулировки сети скорректировать частоту вращения гидромуфты, обеспечив требуемую подачу вентилятора. Затем замерить частоту вращения гидромуфты и вентилятора. На стекле манометра гидромуфты краской нанести риску, показывающую давление масла, соответствующее проектной частоте вращения шкива гидромуфты.
7.13. При количественном или качественно-количественном способе регулирования параметров воздуха в кондиционируемых помещениях подача вентилятора переменна. В этом случае гидромуфту испытывают для определения зависимости подачи вентилятора от давления масла в системе, а также изменения давления масла в зависимости от продолжительности работы шестеренного насоса.
Испытания осуществляют после аэродинамической регулировки сети при достижении требуемой подачи вентилятора и определении соответствующей максимальной частоты вращения шкива гидромуфты.
При проведении испытаний включают шестеренный насос на накачку масла в гидромуфту на 1 мин, измеряют частоту вращения шкива гидромуфты. В том случае, если частота вращения шкива не соответствует нижнему пределу регулирования, кратковременным включением шестеренного насоса не накачку или откачку масла добиваются указанной частоты вращения шкива. Затем записывают давление масла в системе, измеряют подачу вентилятора, снова включают шестеренный насос на 30 с на накачку масла, замеряют подачу вентилятора и записывают давление масла. Шестеренный насос включают на 30 с до тех пор, пока давление масла не будет соответствовать максимальной частоте вращения шкива гидромуфты. Испытания производят для режимов повышения и понижения частоты вращения шкива гидромуфты.
7.14. Результаты испытаний следует представлять в виде зависимости подачи вентилятора от давления масла в гидромуфте и продолжительности работы шестеренного насоса (рис. 16).

Рис. 16. Результаты испытания гидромуфты (индукторной муфты):
1 - обратный ход; 2 - прямой ход
Если с изменением частоты вращения рабочего колеса вентилятора поддерживается постоянное давление воздуха в какой-либо точке сети, испытания гидромуфты выполняют аналогично изложенным выше. По результатам испытания строят график зависимости давления вентилятора от давления масла в гидромуфте и продолжительности работы шестеренного насоса.
7.15. Цель испытания и наладки индукторной муфты скольжения аналогична цели испытания и наладки гидромуфты.
Эксплуатационное испытание муфты
7.16. Испытание индукторной муфты скольжения производят для определения зависимости частоты вращения шкива муфты от силы тока возбуждения обмотки. Регулирование тока возбуждения выполняют с помощью вариатора напряжения, ползунок которого приводится во вращение с помощью электрического исполнительного механизма ПР-1М или МЗО. Испытание муфты осуществляют после аэродинамической регулировки вентиляционной сети и окончательной корректировки частоты вращения рабочего колеса вентилятора с помощью исполнительного механизма.
7.17. При пробном пуске муфты после окончательной корректировки частоты вращения рабочего колеса вентилятора с помощью токоизмерительных клещей замеряют фактическую силу тока и вычисляют потребляемую мощность электродвигателя.
7.18. Если в результате проведенного расчета мощность на валу электродвигателя окажется больше паспортной, необходимо определить потеря мощности не якоре муфты. Мощность, теряемая в якоре муфты, не должна превышать пределов, указанных табл. 5.
Таблица 5
|
Тип Муфты |
Потери мощности в якоре муфты, кВт, при частоте вращения электродвигателя, с-1 (об/мин) |
|
|
24,5 (1470) |
16,7 (1000) |
|
|
ИМС-15 |
4 |
3 |
|
ИМС-22 |
9 |
7 |
|
ИМС-40 |
17,5 |
13 |
|
ИМС-75 |
40 |
30 |
|
ИМС-100 |
40 |
30 |
|
ИМС-160 |
66 |
50 |
7.18.1. Для определения потерь мощности в муфте выполняют поверочный расчет.
При выполнении расчета определяют:
мощность на ведомом валу муфты Nм, кВт,
(152)
где L - подача вентилятора, м3/с;
Pv - полное давление, развиваемое вентилятором, Па;
ηv - коэффициент полезного действия (КПД) вентилятора;
ηп - КПД клиноременной передачи (принимается равным 0,95);
частоту вращения муфты пм, c-1 (об/мин)
(153)
где пv - частота вращения рабочего колеса вентилятора, при которой обеспечивается требуемая подача, c-1 (об/мин);
Dшк.вент, Dшк.п - диаметры шкивов соответственно вентилятора и муфты, мм;
момент на выходном валу муфты Мм кг·м
(154)
момент на валу электродвигателя Мэ, кг·м
(155)
мощность на валу электродвигателя Нэ, кВт
(156)
где пэ - частота вращения вала электродвигателя, с-1 (об/мин);
мощность, теряемую в якоре муфты, кВт
(157)
7.19. Если фактические потери мощности в якоре муфты превышают предельно допустимые, необходимо уменьшить диаметр шкива муфты и повторить испытания.
7.20. Если фактические потери мощности в муфте не превышают предельно допустимые, а потребляемая мощность электродвигателя больше паспортной, электродвигатель следует заменить.
7.21. При количественном или качественно-количественном способе регулирования параметров воздуха испытание индукторной муфты производят в такой последовательности:
полностью открывают приемный клапан кондиционера, при наличии рециркуляции клапаны наружного и рециркуляционного воздуха устанавливают в промежуточное положение;
включают электродвигатель вентилятора;
включают на 5 с испытательный механизм вариатора напряжения;
замеряют тахометром частоту вращения шкива муфты. В том случае, если частота вращения шкива не соответствует нижнему значению предела регулирования (25 % частоты вращения электродвигателя), кратковременным включением исполнительного механизма на увеличение силы тока возбуждения добиваются требуемой частоты вращения шкива. На стекле амперметра краской наносят риску, соответствующую нижнему пределу силы тока возбуждения;
включают на 3-5 с дополнительной механизм вариатора напряжения на увеличение силы тока возбуждения. Замеряют подачу вентилятора и записывают силу тока. Пятисекундные включения исполнительного механизма вариатора напряжения производят до получения проектной подачи вентилятора. Силу тока при этом также отмечают на стекле амперметра.
Испытания индукторной муфты производят в режиме повышения и понижения тока возбуждения.
7.22. Результаты испытаний представляют в виде зависимости подачи вентилятора от силы тока возбуждения и времени включения исполнительного механизма вариатора напряжения (см. рис. 16).
7.23. В том случае, если с помощью изменения подачи вентилятора поддерживается постоянное давление воздуха в какой-либо точке сети, испытания муфты проводят аналогично изложенным. По результатам испытания строят график зависимости давления вентилятора от силы тока обмотки возбуждения муфты.
7.24. Если проектом предусмотрена качественная схема регулирования параметров воздуха в помещении, испытание муфты ограничивается определением минимальной и максимальной силы тока возбуждения.
7.25. Цель наладки камеры орошения - обеспечение требуемых параметров обработанного воздуха в расчетное режиме.
7.26. Перед испытанием необходимо:
проверить правильность сборки и комплектность камеры орошения;
проверить правильность обвязки камеры трубопроводами, плотность притворов дверок камеры, отсутствие зазоров между сепараторами и стенками камеры, герметичность фланцевых соединений (между рамой сепаратора и стенками камеры не должно быть зазоров);
очистить все элементы камеры орошения от загрязнений;
установить термометр при наличии гильзы и манометр на трубопровод насоса;
определить диаметр выходного отверстия форсунок;
обеспечить установку насоса под заливом;
наполнить поддон камеры орошения водой;
открыть полностью задвижку на всасывающем трубопроводе насоса, вентиль на подпитке;
включить вентилятор, а затем насос;
отрегулировать задвижкой давление на стороне нагнетания насоса до расчетного.
7.27. Проверку эффективности сепараторов следует проводить путем визуального наблюдения за выносом водяных капель в промежуточную секцию, примыкающую к камере орошения.
Устранение выноса влаги за сепаратор может быть обеспечено:
исправлением поврежденных пластин и устранением неравномерности их расположения;
заделкой имеющихся зазоров между сепараторами и стенками камеры орошения;
уменьшением скорости воздуха в камере;
заменой сепаратора.
7.28. Испытание следует проводить при установившемся режиме, который характеризуется стабильностью температур воздуха и воды до и после камеры орошения в течение цикла измерений и в точках, обеспечивающих достоверность определяемой величины. Количество циклов не менее двух. Продолжительность каждого цикла не менее 20 мин.
7.29. Испытания камеры орошения рекомендуется проводить в такой последовательности:
гидравлические испытания камеры орошения;
определение аэродинамической характеристики камеры;
определение тепловых характеристик камеры.
7.29.1. Порядок гидравлического испытания камеры орошения:
определить пропускную способность шарового клапана путем замера расхода воды мерным сосудом в единицу времени и сравнись полученный результат с расчетным количеством воды на подпитку; если фактическое количество воды на подпитку меньше расчетного, то выполнить ревизия шарового клапана, при необходимости заменить на, больший;
определить работоспособность переливного устройства при полностью открытом шаровом клапане, если камера работает в адиабатическом режиме; при расчетном давлении в трубопроводе теплохладоносителя и полностью открытом регулирующем клапане на теплохладоносителе, если камера работает в политропическом режиме. При недостаточной пропускной способности переливного устройства выполнить наладку системы отвода воды (увеличить диаметр трубопровода, уклон трубопровода, изменить конструкцию переливного устройства и т.д.);
отрегулировать нормальный уровень воды в поддоне камеры орошения, поддерживаемый шаровым клапаном;
визуально определить работоспособность форсунок в целом;
определить расход воды q, кг/с, через одну форсунку путем прямого измерения с помощью шланга и мерного сосуда;
определить суммарный расход воды W, кг/с, через все форсунки по формуле
где Z - общее количество форсунок;
определить необходимое расчетное давление воды перед форсунками р, кПа, при измеренном расходе воды через форсунки по графику (рис. 17). В случае отличия фактического давления от расчетного более чем на 15 % дополнительно выполнить ревизию трубопроводов и форсунок камеры орошения.

Рис. 17. Расходные характеристики форсунок:
а - для камер ОКС УЦ14-10×15; б - для камер ОКС УЦ6-5, 5×5,5; в - для камер ОКФ ШФ 5/9
7.29.22 Порядок определения аэродинамической характеристики камеры:
замерить полное давление воздуха до и после камеры орошения р1 и р2, Па;
замерить расход воздуха через камеру орошения L, м3/с;
определить сопротивление камеры орошения по воздуху по формуле
(159)
сравнить фактическое сопротивление с каталожным значением и при невязке более 20 % очистить поверхность сепараторов.
7.29.3. Порядок теплового испытания камеры орошения, работающей в адиабатическом режиме:
замерить давление воды перед форсунками р, кПа;
замерить температуры воздуха до и после камеры орошения по "сухому" tc1, tc2 и "мокрому" tм1, tм2 термометрам;
замерить температуру воды, циркулирующую в камере орошения tв, °С.
7.29.4. Порядок теплового испытания камеры орошения, работающей в политропическом режиме:
замерить давление воды перед форсунками р, кПа;
замерить температуры воздуха до и после камеры орошения по "сухому" tc1, tc2 и "мокрому" tм1, tм2 термометрам;
замерить температуру воды, подаваемой, на форсунки tвн °с;
замерить температуру воды в поддоне tвк, °С;
замерить температуру теплохладоносителя tх С, до смешивания его с водой в поддоне камеры орошения.
7.30. При испытании камеры орошения прямоточного кондиционера для определения температуры воздуха после камеры орошения замер температур рекомендуется производить в сечении за вентилятором по "сухому" и "мокрому" термометрам t'c2, °С и t'м2, °C, при отключенном по теплоносителю втором подогреве, при этом температуру воздуха за камерой орошения tc2, °С, рассчитывать по формуле
(160)
где Δtв - нагрев воздуха в вентиляторе, определяемый при испытании вентилятора, °С.
Температуру воздуха по "мокрому" термометру t'м2 определить построением процесса нагрева в вентиляторе на J-d диаграмме при постоянном влагосодержании.
7.31. При испытании камеры орошения, работающей в адиабатическом режиме, расположенной непосредственно за воздухонагревателем, температуру и влажность перед камерой орошения следует определять построением процесса обработки воздуха в J-d диаграмме при постоянной энтальпии для камеры орошения и с учетом испытания воздухонагревателя в соответствии с рекомендациями пп. 4.31 - 4.40.
7.32. При испытании камеры орошения в кондиционере с рециркуляцией необходимо:
замерить расход рециркуляционного воздуха Lр, м3/с, а также его температуру по "сухому" tрс, °C, и "мокрому" tpм, °C, термометрам;
при смешивании потоков до камеры орошения замерить расход наружного воздуха до точки смешения Lн, м3/с, а также его температуру по "сухому" tнс, °С, и "мокрому" tнм, °С, термометрам;
при смешивании после камеры орошения замерить общий расход воздуха L, м3/с, а также его температуру по "сухому" tc, °C, и "мокрому" tм, °C, термометрам аналогично рекомендациям п. 7.30.
Температуру и влажность воздуха до и после камеры орошения определяют построением процесса смешивания воздуха в J-d диаграмме.
7.33. Обработка данных испытания каждого цикла замеров для адиабатического режима:
определить массовый расход воздуха G, кг/с, через камеру орошения по формуле
где ρ - плотность воздуха в месте замера его расхода, рассчитываемая по формуле (9), кг/м3;
определить расход воды, циркулирующей в камере орошения Wвн, кг/с, по формуле (158);
определять коэффициент орошения В, кг/кг, по формуле
(162).
определить массовую скорость Vρ, кг/ (c·м2) движения воздуха через камеру орошения по формуле
(163)
где F - площадь подарочного сечения камеры орошения, м2;
определить коэффициент эффективности Е' камеры орошения по формуле
(164)
7.34. Обработка данных испытания каждого цикла замеров для политропического режима:
определить массовый расход воздуха через камеру орошения G, кг/с, по формуле (161);
определить расход воды, циркулирующей в камере орошения Wвн, кг/с, по формуле (158);
определить коэффициент орошения, В, кг/кг, по формуле (158);
определить массовую скорость движения воздуха через камеру орошения Vρ, кг/(с·м2), по формуле (163);
определить коэффициент эффективности камеры орошения по формуле
(165)
или
(166)
7.35. Если расхождение значений коэффициента эффективности тепломассообмена, определенного по результатам испытаний различных циклов, более 15 %, необходимо провести дополнительные испытания.
Полученный по данным испытаний коэффициент эффективности камеры орошения сравнивают с каталожным. Если он отличается от каталожного более чем на 10 %, необходимо выполнить ревизию камеры орошения, а испытания повторить.
7.36. Определить расход теплохладоносителя Wх, кг/с, по формуле
(167)
7.37. Определить расход воды Wвк, кг/с, подмешиваемой из поддона камеры орошения, по формуле
(168)
7.38. Определить фактическую тепло- и холодоотдачу камеры орошения Q, кВт, по воздуху и воде по формулам
(169)
где J1, J2, - энтальпия воздуха до и после камеры орошения, определяемая по J-d диаграмме, кДж/кг;
и
(170)
где Cw - удельная теплоемкость воды, кДж/ (кг·°С).
Если невязка значений тепло- и холодоотдачи камеры орошения по воздуху и воде более 10 %, необходимо выявить и устранить причины невязки, испытания повторить.
7.39. Результаты многократных измерений обрабатывают в соответствии с рекомендациями пп. 2.77-2.80.
7.40. Определить тепло- и холодоотдачу Q, кВт, камеры орошения в расчетном режиме по формуле (169).
Определить температуру воды до и после камеры орошения tвк.p и tвн.p °С расчетном режиме по формулам
(171)
и
(172)
где tм1р, tм2р - температуры воздуха до и после камеры орошения по "мокрому" термометру в расчетном режиме, °С;
Wвк - расход воды, циркулирующей в камере орошения по данным испытания, кг/с;
Е - коэффициент эффективности камеры орошения по данным испытания.
7.41. Определять расход теплохладоносителя Wкр, кг/с, при заданной температуре теплохладоносителя tх в расчетном режиме по формуле
(173)
7.42. Определить температуру теплохладоносителя tхр °С, при заданном расходе теплохладоносителя в расчетном режиме по формуле
(174)
7.43. Полученное значение температуры теплохладоносителя обеспечить при наладке системы тепло- и холодоснабжения.
7.44. Цель наладки - обеспечение требуемой холодоотдачи воздухоохладителя в расчетном режиме.
7.45. Перед испытанием необходимо:
определить тип воздухоохладителя и его каталожные технические характеристики;
определить схему обвязки секций воздухоохладителя по хладоносителю и схему установки по воздуху;
очистить поверхность воздухоохладителя от загрязнений;
ликвидировать неплотности во всех по ходу воздуха элементах кондиционера;
закрыть обвод воздухоохладителя по воздуху;
полностью открыть запорно-регулирующую арматуру на подающем и обратном трубопроводах хладоносителя, обводные вентили закрыть;
определить наличие перепада давления хладоносителя по манометрам, установленным на подающем и обратном коллекторах хладоносителя;
установить термометры в гильзы на трубопроводах хладоносителя;
включить вентилятор.
7.46. Испытание следует проводить в режиме максимально возможной нагрузки по теплу при условии создания перепадов температур по хладоносителю не менее 3 °С.
7.47. Испытания должны состоять из замеров расходов воздуха через воздухоохладитель, замеров полных давлений воздуха и не менее двух циклов замеров температур хладоносителя и воздуха по "сухому" tс и "мокрому" tм,°C, термометрам до и после воздухоохладителя.
7.48. Замеры параметров воздуха после воздухоохладителя, а также при испытании кондиционеров воздуха с рециркуляцией производить аналогично рекомендациям п. 7.30.
Замеры следует производить при установившемся режиме, который характеризуется стабильностью температур воздуха и хладоносителя до и после воздухоохладителя в течение цикла. Количество циклов не менее двух, продолжительность цикла не менее 20 мин.
7.49. Обработка данных испытаний каждого цикла измерений:
определить сопротивление воздухоохладителя по воздуху как разность полных давлений до и после воздухоохладителя и сравнить с каталожным значением. При невязке более 20 % очистить поверхность воздухоохладителя и измерения повторить;
определить массовый расход воздуха через воздухоохладитель G, кг/с, по формуле (161);
построить фактический процесс обработки воздуха на J-d диаграмме (рис. 18), соединив точки 1 и 2, характеризующие состояние воздуха до и после воздухоохладителя;

Рис. 18. Процессы обработки воздуха в воздухоохладителях
построить условный процесс сухого охлаждения воздуха, заменяющий при расчете воздухоохладителя фактический процесс тепло- и массообмена. Линию фактического процесса продолжить до пересечения с кривой насыщения φ = 100 % в точке 3. Линия постоянного влагосодержания из точки 3 характеризует направление условного процесса. Параметры воздуха до воздухоохладителя в условном процессе сухого охлаждения соответствуют точке, находящейся да пересечении линии начального фактического теплосодержания воздуха (J1), и линии условного процесса (точка 5), а после воздухоохладителя - точке, находящейся на пересечении линии конечного фактического теплосодержания (J2) воздуха с той же ливней уcловyого процесса (точка 4);
определить температурный критерий для условного процесса по данным испытания по формуле
(175)
где tу1, tу2 - температуры воздуха до и после воздухоохладителя в условном процессе сухого охлаждения, °С;
T1 - температура хладоносителя на входе в воздухоохладитель, °С;
определить отношение водяных эквивалентов хладоносителя и воздуха по формуле
(176)
определить по
номограммам (см. рис. 12-14) теплотехническую характеристику воздухоохладителя Ф1исп
по полученным значениям φ и
.
7.50. В случае расхождения значений теплотехнической характеристики Фисп, определенных по результатам отдельных циклов, более чем на 15 %, необходимо провести дополнительные испытания.
Результаты измерений обрабатывают в соответствии с рекомендациями пп. 2.78 - 2.80.
7.51. Определить расчетную теплотехническую характеристику воздухоохладителя для расхода воздуха, полученного при испытании, по формуле
(177)
где А, r, n - постоянные в выражении для коэффициента теплопередачи воздухонагревателя, приведенные в справочном приложении 20;
f1 - фасадное (или живое) сечение для прохода воздуха воздухоохладителя, м2;
f2 - живое сечение воздухоохладителя для прохода хладоносителя, м2; ρw - плотность хладоносителя, кг/м3;
CG, cw - удельная теплоемкость воздуха и хладоносителя соответственно, кДж/(кг·°С);
F - поверхность теплообмена воздухоохладителя, м2.
Если фактическая теплотехническая характеристика меньше расчетной более чем на 10 %, необходимо очистить поверхность воздухоохладителя и промыть трубки для прохода теплоносителя, повторить испытания.
7.52. Определить теплотехническую характеристику воздухоохладителя для требуемого расхода воздуха Gтр, кг/с, по формуле
(178)
7.53. Определить температурный критерий дня параметров воздуха в расчетном режиме по формуле
(179)
где t1р, t2р - температуры воздуха до и после воздухоохладителя в расчетном режиме (при процессе с конденсацией - по условному процессу сухого охлаждения), °С;
Т1р - температура хладоносителя в расчетном режиме, °С.
7.54.
Определить по номограммам (см. рис.
12 - 14)
отношение водяных эквивалентов хладоносителя и воздуха в расчетном режиме
по полученным значениям Ф1р
и φр.
7.55. Определить расход хладоносителя W, кг/с, в расчетном режиме по формуле
(180)
Полученное значение W необходимо обеспечить при наладке системы холодоснабжения.
7.56. Определить холодоотдачу воздухоохладителя в расчетных условиях Qp, кВт, по формуле
(181)
7.57. Испытание и наладку блока, работающего в режиме нагрева в холодный период года, производить в соответствии с пп. 7.29 - 7.31, 7.33 и 7.41.
7.58. Испытание и наладку блока, работающего в режиме охлаждения воздуха холодной водой в теплый период года, производить в соответствии с пп. 7.44 - 7.53.
7.59. Испытание и наладку блока, работающего в режиме испарительного охлаждения и увлажнения воздуха циркуляционной водой, производить в соответствии с пп. 7.32 -.
7.60. Цель испытания и наладки - определение статической характеристики клапана и обеспечение требуемой характеристики.
7.61. Перед испытанием необходимо:
обеспечить плавность и легкость хода створок клапана;
обеспечить плотность притвора створок в закрытой положении;
установить люфт в сочленениях клапана; выполнить аэродинамическую наладку сети.
7.62. Испытание и наладка клапана, работающего двухпозиционно - "открыт-закрыт":
визуально проверить положение створок клапана при полном его открытии и закрытии;
при необходимости выполнить ревизию механических узлов клапана.
7.63. Испытание и наладка регулирующего воздушного клапана:
замерить расход воздуха через клапан в контрольной точке сети при пяти положениях рабочего органа исполнительного механизма в прямой и при пяти положениях в обратном ходе;
построить статическую характеристику клапана в координатах: относительное угловое перемещение створок клапана и расход воздуха;
определить необходимость наладки клапана исходя из требований специалистов по КИПиА, обусловленных работой клапана в автоматическом режиме (см. раздел 8);
выполнить при необходимости наладку клапана - уменьшить проходное сечение клапана отключением части его створок;
установить конечные положения створок клапана исходя из выбора рабочей зоны статической характеристики, т.е. исключить зону, в которой изменение положения створок клапана не влияет на расход воздуха через него;
уменьшить максимальное расстояние между кривыми прямого и обратного ходов рабочего органа до значения, необходимого для поддержания заданных показателей качества процесса регулирования, путем уменьшения люфтов шарнирных соединений.
7.64. Испытание и наладка смесительных воздушных клапанов:
замерить расходы воздуха через каждый клапан в контрольных точках сети при пяти фиксированных положениях створок клапанов, движущихся синхронно;
построить статические и суммарную характеристики каждого клапана в координатах: относительное угловое перемещение створок клапана и расход воздуха. При отклонении суммарного расхода воздуха от постоянного значения необходимо выполнить ревизию механических узлов клапана;
определить необходимость наладки клапанов исходя из требований специалистов по КИПиА, обусловленных работой клапанов в автоматическом режиме;
выполнить при необходимости наладку клапанов в соответствии с рекомендациями п. 7.63;
повторить испытания.
7.65. При неудовлетворительных результатах повторного испытания заменить клапан.
При наладке рекомендуется:
для смешивания потоков использовать клапаны со створками параллельного вращения;
для дросселирования использовать клапаны со створками встречного вращения.
7.66. Цель испытания и наладки - определение статической характеристики и максимальной пропускной способности регулирующего клапана, обеспечение требуемых технических характеристик клапана.
7.67. Испытание клапана следует производить после испытания и наладки воздухонагревателя (воздухоохладителя) и системы теплохолодоснабжения.
7.68. Испытания клапана должны состоять из трех циклов замеров температур теплохладоносителя и температур воздуха через воздухонагреватель (охладитель) при полностью открытом клапане и при четырех различных положениях затвора клапана в каждом цикле замеров.
7.69. Перед испытанием необходимо:
определить тип регулирующего клапана и его паспортные технические характеристики;
выполнить ревизию клапана;
обеспечить легкость хода затвора клапана;
закрыть обвод клапана по теплохладоносителю;
установить термометры при наличии гильз на подающем и обратном трубопроводах теплохладоносителя;
подключить исполнительный механизм клапана при отсутствии ручного привода.
7.70. Испытания проводить в такой последовательности:
определить располагаемый перепад давлений теплохладоносителя;
замерить давления по манометрам, установленным в подающем и обратном трубопроводах магистрали или в коллекторах теплового ввода, p1 и р2, кПа;
определить располагаемый перепад давлений Δро, кПа, по формуле
(182)
где Δh - разность уровней установки манометров относительно отметки пола, м;
открыть полностью клапан, зафиксировать положение штока клапана h', мм;
закрыть полностью клапан, зафиксировать положение штока клапана h", мм;
определить величину полного хода рабочего органа клапана hmax, мм, по формуле
(183)
Сравнить величину полного хода рабочего органа по данным испытания с каталожной и при отличии более чем на 15 % выполнить ревизию клапана.
7.71. Замерить расход L, м3/с, и температуру t, °с, воздуха через воздухонагреватель (охладитель) в контрольной точке сети, определить массовый расход воздуха через воздухонагреватель (охладитель) по формуле (161).
7.72. Определить максимальную пропускную способность клапана:
открыть полностью клапан;
замерить температуры воздуха до и после воздухонагревателя (охладителя) t1 и t2, °с;
замерить температуры теплохладоносителя до и после воздухонагревателя (охладителя) Т1 и Т2, °с.
Замеры температур производить в соответствии с рекомендациями пп. 2.12 и 2.13;
определить температурный критерий по формуле
(184)
определить отношение водяных эквивалентов воздуха и теплохладоносителя по формуле
(185)
определить максимальную пропускную способность клапана, кг/с, по формуле
(186)
7.73. Сравнить максимальную пропускную способность клапана по данным испытания с расчетной Wp, если расчетное значение больше на 10 %, то необходимо выполнить ревизию клапана или заменить клапан на больший; повторить испытания.
7.74. Выполнить испытания при каждом из четырех различных положений клапана в цикле;
прикрыть клапан, зафиксировать величину хода рабочего органа относительно его положения при полностью открытом клапане h1, мм;
выполнить испытания, аналогичные проведенным, при полностью открытом клапане (см. пп. 7.71-7.73).
7.75. По результатам испытания определить:
температурный критерий φ по формуле (184);
относительный температурный критерий по формуле
(187)
где φмакс - температурный критерий, полученный в результате замеров при полностью открытом клапане;
относительную величину хода рабочего органа по формуле
(188)
7.76. Построить статическую характеристику клапана по результатам замеров в координатах φ и h.
7.77. Необходимость наладки клапана, т.е. его реконструкции, определяют специалисты по КИПиА исходя из фактической статической характеристики клапана (см. раздел 8) и требований к ней, обусловленных работой клапана в автоматическом режиме.
7.78. Расчет реконструкции регулирующего клапана выполнить следующим образом:
определить пропускную способность регулирующего участка сети тепло- и холодоснабжения Xvy, м2, в начале и конце которого давление среды остается неизменным или колеблется в пределах ± 15 % при любом положении затвора клапана
(189)
где ρw - плотность теплохладоносителя, кг/м3;
Δpy - потери давления на регулируемом участке при расчетном расходе теплохладоносителя за исключением потерь давления по данным испытания системы тепло- и холодоснабжения, кПа;
Wp - расчетный расход теплохладоносителя, кг/с;
определить перепад давления теплохладовооителя Δpк, кПа, который необходимо сдросселировать в клапане, по формуле
(190)
где Δpо - минимальный располагаемый перепад давления на регулируемом участке по данным, испытания системы тепло- и холодоснабжения, кПа;
определить расчетную пропускную характеристику клапана Xv.кр, м2, по формуле
(191)
определить расчетную площадь проходного сечения дроссельного устройства клапана FRпр, мм2, по формуле
(192)
определить степень искажения пропускной характеристики клапана пр, вносимую регулируемым участком сети в расчетном режиме по формуле
(193)
определить отношение
(194)
где ф1р - теплотехническая характеристика воздухонагревателя (охладителя) по данным испытания воздухонагревателя (охладителя);
определить
конструктивные характеристики профиля окна клапана по рис. 19 для полученных
значений пр и
,
номер профиля окна, максимальную высоту hмакс ширину Хмакс
окна;

Рис. 19. .Диаграмма для определения номера профиля окна
определить площадь проходного речения окна fо мм2, по одной из формул (рис. 20);

|
|
|
|||||
|
1 |
2 |
3 |
4 |
5 |
6 |
|
|
0,0 |
1,0 |
1,0 |
1,0 |
1,0 |
1,0 |
1,0 |
|
0,2 |
0,86 |
0,72 |
0,56 |
0,34 |
0,18 |
0,1 |
|
0,4 |
0,69 |
0,45 |
0,32 |
0,16 |
0,07 |
0,04 |
|
0,6 |
0,59 |
0,33 |
0,20 |
0,10 |
0,05 |
0,02 |
|
0,8 |
0,55 |
0,28 |
0,15 |
0,8 |
0,04 |
0,02 |
|
1,0 |
0,55 |
0,28 |
0,14 |
0,8 |
0,04 |
0,02 |
|
Формула для определения fo |
0,7hmax·xmax |
0,49hmax·xmax |
0,35hmax·xmax |
0,23hmax·xmax |
0,075hmax·xmax |
0,065hmax·xmax |
|
хmax не менее мм |
2 |
4 |
8 |
13 |
25 |
50 |
Рис. 20. Безразмерные профили окон и их характеристики
определить расчетное количество окон с округлением до большего целого числа по формуле
(195)
определить конструктивную площадь проходного сечения клапана Fк.пр., м2, по формуле
(196)
7.79. Проверить возможность реконструкции регулирующего клапана:
определить необходимое условие возможности реконструкции по формуле
(197)
где Dy - условный параметр клапана, мм.
Если условие не соблюдается, то для реконструкции принять клапан с большим условным диаметром, для которого продолжить расчет реконструкции;
принять по конструктивным соображениям расположение окон на затворе клапана, определяя количество m и минимальный размер α промежутков между соседними окнами в затворе;
проверить возможность выполнения клапана односедельной конструкции по формуле
(198)
Если условие не соблюдается, то для реконструкции принять клапан с большим условным диаметром или выполнить расчет для двухседельной конструкции;
вычислить максимальный диаметр проходного сечения седла односедельного клапана dс.макс., мм, обеспечивающий номинальные усилия в исполнительном механизме по формуле
(199)
где Рдоп - номинальное усилие, развиваемое исполнительным механизмом клапана; принять по технической характеристике клапана, Н;
Δрв - максимальный перепад давления на регулируемом участке сети; принять по данным испытания системы тепло- и холодоснабжения, кПа.
для двухседельной конструкции определить достаточный условный диаметр, клапана Dу, мм, по формуле (197), приняв Z, т и α как для затвора с максимальным количеством окон.
7.80. При реконструкции клапанов рекомендуется:
применять односедельные конструкции клапанов для снижения неплотностей в дроссельном устройстве, при реконструкции двухседельных клапанов в односедельные неиспользуемые седла надежно заглушать;
принимать минимально возможный диаметр проходного сечения седла;
объединять окна в затворе между собой попарно, промежутки между соседними, не объединенными между собой, окнами принимать одинаковыми, во не менее 3-4 мм.
7.81. После наладки выполнить крепление затвора клапана к штоку исполнительного механизма так, чтобы исключить возможность его сворачивания со штока и нарушение его первоначальной регулировки.
7.82. Цель испытания и наладки - определения фактического режима работы насоса в сети и сопоставление его с каталожным по подаче и давлению, обеспечение требуемого режима работы насоса.
7.83. Перед испытаниями необходимо:
выполнить работы по камере орошения в соответствии с рекомендациями пп. 7.26 - 7.29.1;
определить марку насоса и тип электродвигателя, сравнить комплект агрегата с проектными данными;
выявить наличие дефектов (вмятины, трещины в корпусах насоса и электродвигателя, люфты в их креплении и т.п.) и выполнить ревизию механических узлов согласно заводскому паспорту;
проверить соответствие обвязки камеры орошения трубопроводами, включая установку регулирующей арматуры, проекту;
установить манометры на всасывающем и нагнетательном трубопроводах;
открыть полностью арматуру на трубопроводах;
заполнить поддон камеры орошения до уровня, поддерживаемого шаровым клапаном;
обеспечить залив насоса водой перед пуском, контролируя его по появлению воды в отверстии в верхней точке кожуха;
включить насос, проверить и, если это необходимо, обеспечить правильность вращения вала электродвигателя.
7.84. Располагаемое давление насоса р, кПа, определяют при полностью открытых задвижках по результатам замеров давлений воды на всасывающем p1 и нагнетающем p2, кПа, трубопроводах:
(200)
где (h1 - h2) - разность уровней установки манометров относительно отметки оси насоса, м.
7.85. Подачу насоса W, кг/с, определяют с помощью замеров давления воды перед форсунками по формуле
(201)
где Z - число форсунок, шт.;
g - расход воды через одну форсунку, определяемый по расходной характеристике форсунки при давлении воды перед ней по данным испытаний, кг/с, или путем непосредственного измерения расхода с помощью мерного сосуда в соответствии с рекомендациями п. 2.58.
7.86. При испытаниях насоса необходимо следить за нагревом электродвигателя, температура поверхности которого не должна превышать допустимую по паспорту.
7.87. Результаты испытаний сравнивают с каталожными.
7.87.1. При несоответствии данных испытаний каталожным более чем на 10 % выполнить ревизию насоса.
7.87.2. При соответствии данных испытаний каталогу и отличии фактической подачи от расчетной не более чем на 10 % наладка сети не требуется.
7.87.3. При соответствии данных испытания каталогу и фактической подаче засоса меньше расчетной более чем на 10 % необходимо выполнить наладку сети трубопроводов:
прочистить форсунки в камере орошения;
прочистить фильтр для воды;
выполнить ревизию запорно-регулировочной арматуры;
промыть трубопроводы.
7.87.4. Повторить испытания насоса в сети. При неудовлетворительных результатах необходимо:
выполнить испытание сети трубопроводов по участкам, замеряя давления манометрами, установленными в начале и конце каждого участка;
заменить трубопроводы на участках, имеющих большее гидравлическое сопротивление, трубопроводами большего диаметра;
повторить испытания насоса в сети.
7.87.5. При соответствии технических данных испытания каталогу и фактической подаче насоса больше расчетной необходимо:
при отличии до 20 % - отрегулировать, подачу задвижкой на нагнетании насоса или дроссельной шайбой;
при отличии более чем на 20 % - заменить рабочее колесо насоса колесом меньшего диаметра или заменить насос исходя из расчетных подачи, давления и фактического сопротивления сети трубопроводов.
7.88. Сопротивление сети трубопроводов при расчетной подаче Рр, кПа, определить по формуле
(202)
где Рисп - сопротивление сети трубопроводов при подаче насоса по данным испытания, кПа;
Wисп - подача насоса по данным испытания, кг/с;
Wp - расчетная подача насоса, кг/с.
7.89. Цель испытаний и наладки указанных систем - обеспечение требуемых параметров воздушной среды рабочей зоны в зависимости ох изменения тепловой нагрузки в помещениях.
7.90. При наладке СКВ с количественным регулированием необходимо обеспечить:
аэродинамическую устойчивость системы. При регулировании расхода воздуха по отдельным участкам (зонам) должна быть обеспечена стабильность расходов воздуха в нерегулируемых ответвлениях системы, обслуживавших в данный момент помещения со стабильной тепловой нагрузкой;
минимально необходимый расход наружного воздуха во всем диапазоне изменения общего расхода приточного воздуха;
надежность и эффективность работы вентиляторов и тепломассообменных аппаратов при максимальных и минимальных нагрузках;
создание оптимальных условий воздушной среды в рабочей или обслуживаемой зоне помещений при максимальных и минимальных воздухообменах.
7.91. Наладку СКВ этого типа следует производить в такой последовательности:
определить расчетный максимальный расход воздуха;
Для СКВ с количественным регулированием расчетным является, как правило, теплый период года. Расчетная тепловая нагрузка помещения (зовы) равна сумме составляющих тепловой нагрузки данного помещения для одного расчетного часа (в момент наступления максимума), которая определяется в соответствии о рекомендациями раздела 5.
Для СКВ, обслуживающей помещения с различной ориентацией по сторонам света, суммарную тепловую нагрузку на систему определяют для одного расчетного часа. С учетом разновременности нагрузок подача приточного вентилятора будет несколько меньше суммарного максимального расхода воздуха по всем обслуживаемым СКВ помещениям (зонам);
для анализа работы вентиляторов необходимо иметь их заводские характеристики при максимальной и минимальной частоте вращения или характер изменения паспортных характеристик вентиляторов при использовании направляющих аппаратов для регулирования режимов работы вентиляторов;
Определить по заводским (паспортным) характеристикам максимальное рабочее давление для применяемых в СКВ воздухораспределителей или доводчиков;
построить характеристику приточного вентилятора и характеристику сети для минимального и максимального расходов воздуха (рис. 21).

Рис. 21. Режим работы ПВ в системе количественного регулирования направляющим аппаратом (кривая С) или частотой вращения вентилятора (П1 > П2)
Рабочая точка А слева от максимума кривой КПД соответствует минимальному статическому давлению перед доводчиками плюс потери давления в сети при минимальном расходе воздуха. При этом режим работы вентилятора будет соответствовать частоте вращения п2 или кривой С при использовании направляющего аппарата. Кривая С соответствует определенному углу закрытия направляющего аппарата. Рабочая точка Б соответствует максимальному расходу воздуха при частоте вращения вентилятора П1 (П1 > П2) и полном открытии направляющего аппарата.
Рабочая точка Б при полной нагрузке должна лежать справа от максимума
кривой КПД вентилятора, так как СКВ большую часть времени работает при L
< Lp и рабочая точка будет скользить влево в сторону
повышения КПД вентилятора; определить отношение ![]()
где Lвент - полезная подача воздуха приточным вентилятором;
ΣLпом - суммарный полезный расход воздуха по всем помещениям, обслуживаемым СКВ;
произвести аэродинамическую регулировку сети, отрегулировать все концевые устройства системы (доводчики, воздухораспределители) на значение K·Lp, где Lp - расчетный расход воздуха через концевое устройство. При этом нет необходимости добиваться высокой точности в регулировании расходов воздуха, поскольку во время эксплуатации системы происходит автоматическое перераспределение расходов воздуха по зовам в соответствии с нагрузкой.
При испытании и наладке зональных воздушных клапанов следует обратить особое внимание на обеспечение их необходимой характеристики. Клапан должен иметь примерно линейную зависимость расхода воздуха от угла поворота створок. Такая характеристика может быть получена, если перепад давления при полностью открытых клапанах составляет 3-6 % статического давления сети (в точке, где оно автоматически поддерживается) для клапанов с непараллельными створками и 10-30 % - с параллельными створками. Кроме того, скорость воздуха в живом сечении полностью открытого клапана должна быть не менее 5 м/с при автоматическом поддержании давлений в сети коллектора до 250 Па и не менее 10 м/с при давлении около 1000 Па.
Соблюдение всех указанных условий может быть достигнуто уменьшением размера клапана по сравнению с размером воздуховода, в котором он установлен, закреплением в закрытом положении части створок у многостворчатых клапанов или ограничением угла поворота створок;
определить по аэродинамическим характеристикам потери давления в воздухораспределителях или доводчиках при максимальном и минимальном расходах воздуха;
отрегулировать все доводчики и соответствующие им воздухораспределители на максимальные расчетные расходы воздуха. Настроить доводчики на минимальный расход я произвести наладку направляющего аппарата или регулятора частоты вращения рабочего колеса вентилятора до получения расчетных минимальных значений статического давления и расхода. Провести испытания доводчиков при настройке их на минимальный расход;
отрегулировать на расчетные расходы все воздухоприемные устройства совместно с рециркуляционно-вытяжным вентилятором, приточный вентилятор при этом должен работать на режиме максимальной подачи;
установить местоположение датчика регулятора статического давления. Датчик должен находиться в приточном магистральном воздуховоде на достаточном удалении ох приточного вентилятора, где потери давления составляют 50-70 % общих потерь в сети. Установка датчика в наиболее удаленной от вентилятора точке системы дает большую экономию эксплуатационных затрат, но увеличит амплитуду изменения давления в системе при изменения расхода от максимального до минимального значения;
обеспечить необходимый расход наружного воздуха при минимальной подаче приточным вентилятором. Минимальное количество наружного воздуха определяют по наибольшему из:
требуемого по нормам расхода на одного человека;
необходимого для компенсации воздуха, удаляемого местной вытяжной вентиляцией;
требуемого для поддержания в помещении избыточного давления;
необходимого для ассимиляции вредностей.
Наладку регулятора частоты вращения рабочего колеса или направляющего аппарата вентилятора для обеспечения расчетных значений расхода и статического давления производят в соответствии с рекомендациями пп. 7.2 - 7.24 в такой последовательности:
выборочно проверить статическое давление не менее чем на трети концевых устройств по всей системе. При большом разбросе значений статического давления или выявлении отдельных значений, не достигающих расчетного минимума, надо проконтролировать все концевые устройства;
определить в магистральном приточном воздуховоде суммарный расход воздуха;
при низком статическом давлении или низком расходе воздуха, или низких значениях обеих величин надо повысить частоту вращения рабочего колеса приточного вентилятора. При высоком или нормальном статическом давлении, но недостаточном общем расходе воздуха необходимо испытать все концевые устройства и наладить их на требуемые соотношения расходов воздуха; произвести испытание и наладку воздушных фильтров, камер орошения и поверхностных воздухоохладителей я воздухонагревателей центрального кондиционера для условий, указанных в пп. 4.30 - 4.57, 4.116 - 4.142 и 7.25 - 7.56;
произвести по результатам испытаний расчет воздухонагревателей первого подогрева на "замораживание". Температура обратной воды Т2 для условий максимального (Lмакс) и минимального (Lмин.) расходов воздуха при расчетной наружной температуре tнр и наружной tн = 0-3 °С должна быть не менее 20 °С, а ее скорость ω не менее 0,2 м/с;
произвести испытание и наладку системы воздухораспределения в кондиционируемых помещениях в соответствии с рекомендациями пп. 4.58 - 4.78.
Установленные воздухораспределители должны обеспечивать метеорологические условия в помещениях, соответствующие требованиям ГОСТ 12.1.005-76, при расчетной глубине регулирования
(203)
Система воздухораспределения должна обеспечивать достаточно равномерное распределение параметров воздуха в обслуживаемой зове при снижении расхода на 30 - 60 % расчетного значения (ηмакс = 0,3 - 0,6). Наибольшую эффективность в СКВ с количественным регулированием обеспечивают воздухораспределители, в которых регулируется площадь выходного сечения при изменении расхода подаваемого воздуха. При этом сохраняются примерно постоянными скорость выпуска воздуха и дальнобойность приточных струй в широком диапазоне изменения расхода. Предельная глубина регулирования для серийных воздухораспределителей (решетки РР, ВДУМ, ВДПМ, ВДШ, ВЭПв, ВЦ, ВЭЦ) составляет 0,1 - 0,5 при расчете на допустимые условия и 0,2-0,4 при расчете на оптимальные условия.
7.92. При наладке воздухораспределителей целесообразно подавать холодный воздух горизонтальными струями, настилающимися на потолок. Испытание и наладку системы воздухораспределения производят для условий максимального и минимального расчетных воздухообменов в помещениях.
7.93. При наладке системы воздухораспределения следует руководствоваться следующими положениями:
эффективность воздухораспределения повышается при наличии большого числа приточных отверстий, соответственно меньшей пропускной способности и установке на воздухораспределителе рассеивающей решетки, обеспечивающей небольшую дальнобойность струи;
при наличии отопительной системы в периферийных помещениях подача воздуха должна производиться, как правило, в направлении от наружной стены;
при большой неравномерности температур или повышенных скоростях воздуха в рабочей зоне в условиях минимального воздухообмена необходимо уменьшить глубину регулирования η, а минимальный расход воздуха Lмин. соответственно увеличить до значения, обеспечивающего нормируемые условия в рабочей зоне.
7.94. Наладка СКВ на экстремальные эксплуатационные режимы обеспечивает правильное функционирование системы во всем диапазоне.
7.95. Перед испытанием и наладкой СКВ необходимо:
очистить воздуховоды от пыли и мусора до подключения ЭКД, чтобы мусор не попал в камеры первичного воздуха (работы выполняют силами монтажной организации или заказчика).
При продувке воздуховодов поочередно искусственно увеличивают скорость воздуха в них, дросселируя с помощью воздушных клапанов или заглушек остальные приточные воздуховоды;
проверить соответствие проекту типа и числа ЭКД, установленных в каждом кондиционируемом помещении;
проверить соответствие проекту диаметра воздуховыпускных сопел, сопловые панели должны иметь отверстия одного диаметра (допускаемое отклонение ± 0,1 мм) без заусенцев. Они должны быть закреплены в установочных гнездах плотно и без перекосов. Загрязненные и замасленные сопловые элементы очищают "ершом";
проверить наличие и состояние фильтра. При загрязнении фильтр снять с ЭКД, промыть теплой водой с моющим средством, прополоскать в чистой воде и просушить, после чего установить на кондиционер;
осмотреть и очистить теплообменники ЭКД. Особенно недопустимы вмятины на трубках и калачах, которые могут стать причиной течей и источником шума;
проверить и обеспечить плавность хода клапанов первичного и рециркуляционного воздуха, сопла и теплообменники. Воздушные клапаны должны плавно перемещаться во всем диапазоне регулирования;
проверить наличие и плотность прилегания резиновых заглушек;
проверить конструкцию воздуховыпускной решетки (она должна иметь живое сечение 70-80 % и угол наклона перьев 70°);
проверить положение воздуховыпускного патрубка (он должен максимально близко подходить к воздуховыпускной решетке);
проверить легкость съема ограждающих конструкций ниши для установки доводчика с целью обеспечить доступ к ЭКД;
проверить места установки датчика и задатчика с целью обеспечить достоверные показания температур и не повредить коммуникация термосистем при съеме ограждающих конструкций доводчика;
проверить качество установки дефростеров (наличие хомутов, отсутствие переломов, плотность посадки дефростеров и т.п.);
снять, проверить и прочистить при необходимости сетчатые фильтры на воде в системе ЭКД;
произвести опрессовку и промывку трубопроводов системы тепло- и холодоснабжения (работы производят силами монтажной организации или заказчика).
7.96. Обследовать кондиционируемые помещения. Проверить соответствие проекту расчетных теплопотерь и тепловлагоизбытков в соответствии с рекомендациями раздела 5. Если в результате проверки будет установлено, что фактические выделения тепла и влаги, теплопотери или число людей в помещениях не соответствуют проектным данным, выполняют проверочный расчет ЭКД для определения возможности их использования при отличном от проектного режиме работы.
7.97. Испытание и наладку СКВ производить в такой последовательности:
отрегулировать систему на проектные или требуемые расходы воздуха на доводчиках;
произвести наладку центрального кондиционера, от которого первичный воздух поступает к доводчикам;
наладить систему тепло- и холодоснабжения доводчиков;
произвести поверочный расчет и наладить ЭКД.
7.98. Расходы воздуха распределяют методом пропорционального регулирования каждого ответвления в определенной последовательности;
перед началом наладочных работ открывают все регулирующие воздушные клапаны на воздуховодах и встроенные в ЭКД. Предварительно прикрывают направляющий аппарат или клапан на вентиляторе кондиционера, чтобы избежать перегрузки электродвигателя; регулируют подачу вентилятора кондиционера или его статическое давление на нагнетании на расчетные значения с помощью направляющего аппарата или воздушного клапана;
включают вытяжную установку, которая должна работать в период наладки;
приступают к регулированию расхода воздуха по отдельным ЭКД. Расходы воздуха через ЭКД определяют по значению статического давления Ps на соплах, измеряемого с помощью микроманометра (см. рис. 3). Давление измеряют в любом сопле, так как расхождение в этом случае не превышает ± 2 %.
7.99. Динамическое давление Рα, Па, на выходе из сопла определяют по формуле
(204)
где μ - коэффициент, учитывающий потери статического давления при прохождении воздуха черев сопла.
Коэффициент μ принимает значения от 0,9 до 0,95, причем меньшие значения μ соответствуют меньшим диаметрам отверстий сопел и большим скоростям выхода воздуха и наоборот.
7.100. Скорость воздуха на выходе из сопел Vс, м/с, определяют но формуле
(205)
где Pα - динамичеcкое давление, Па;
ρ - плотность воздуха, кг/м3.
7.101. Расход первичного воздуха через ЭКД Lперв. м3/с, рассчитывают по формуле
(206)
где Σfc - суммарная площадь отверстий м2.
Для удобства определения расхода первичного воздуха рекомендуется
использовать формулу
, где
(207)
где к - коэффициент угла наклона трубки микроманометра;
h - отсчет по шкале микроманометра, мм.
7.102. До начала регулировки сети предварительно измеряют давление на соплах ЭКД по всей системе. Анализируя результаты испытаний, выявляют закономерность распределения давления по всей сети в целом и определяют прибор, находящийся в наименее благоприятных (по давлению) условиях. Выявляют ЭКД, имеющие по различным причинам резко пониженное давление по сравнению с расчетным. После устранения дефектов повторно измеряют давления на этих ЭКД. Повторные измерения на остальных ЭКД делать не следует, так как изменение расхода на нескольких ЭКД может лишь незначительно повлиять на расходы через остальные ЭКД.
7.103. Определяют начальное давление, на которое должен быть настроев контрольный доводчик (КД). Во всех случаях наладку начинают с КД. Значение давления по КД обеспечивают дросселированием, принимая его как среднее из значений давления на КД и показательном доводчике (ПД) (рис. 22), который расположен ближе к вентилятору и у которого давление на соплах наименьшее. Наладку ведут по текущему значению давления, измеряемого на соплах КД, если все ЭКД в системе требуется отрегулировать на один и тот же расход первичного воздуха. При наличии в системе разных типов ЭКД или при различных расчетных расходах первичного воздуха наладку производят по текущему относительному давлению, измеренному на соплах ЭКД. Относительным давлением т называется отношение фактически измеренного давления на соплах Zт к давлению, соответствующему расчетному расходу воздуха Zp, Zт и Zp определяют по шкале микроманометра соответственно при текущем (фактическом) и расчетном расходах воздуха.

Рис. 22. Последовательность аэродинамической регулировки эжекционных доводчиков
Для примера на рис. 22 показана последовательность аэродинамической регулировки ЭКД (цифры в кружочках). Регулировку начинают с ответвления (А), на котором расположен КД. Регулировку производят в направлении от КД к вентилятору. Каждый последовательно расположенный ЭКД настраивают на относительный расход mкд, измеренный на КД:
(208)
7.103.1. После регулировки всех ЭКД ответвления А может оказаться, что относительный расход на КД несколько увеличился, однако перенастраивать его не следует. Надо только зафиксировать новое значение относительного расхода. Затем налаживают ответвление В, на котором в первую очередь настраивают ЭКД, наиболее отдаленный от вентилятора (местный контрольный доводчик - МКД). Его настраивают на новый относительный расход через КД, который был зафиксирован после наладки ответвления А.
Остальные ЭКД на ответвлении В настраивают на относительный расход, который отрегулирован на МКД данного ответвления. При наладке ответвления С МКД этого ответвления настраивают на вновь измеренный относительный расход КД на ответвлении А. Остальные ЭКД этого ответвления настраивают по относительному расходу МКД ответвления С и вновь фиксируют текущее относительное давление на КД. Аналогичным образом проводят настройку остальных ответвлений Д и Е. Во избежание ошибок не рекомендуется менять КД, по которому настраивают местные контрольные ЭКД на ответвлениях.
7.103.2. Затем налаживают магистральные стояки У и Z. На каждом стояке выбирают свой КД, по относительному расходу на котором настраивают все ЭКД этого стояка.
После регулировки магистральных стояков У и Z может оказаться, что относительные расходы контрольных ЭКД на магистральных стояках X, У и Z различны. Тогда регулируют расходы по стоякам У и Z воздушными клапанами, установленными в корне каждого магистрального стояка в соответствии с относительным расходом на КД стояка X. При этом на всех ЭКД системы устанавливают одинаковые относительные расходы.
7.104. Регулируют подачу приточного вентилятора на расчетное значение, при этом расходы воздуха через каждое ответвление и каждый ЭКД автоматически принимают расчетные значения. После регулировки вентилятора проводят контрольные измерения давления первичного воздуха по всем ЭКД. Система считается отрегулированной, если отклонения фактических расходов первичного воздуха не превышают ± 10 % расчетных. При недостаточной подаче вентилятора следует увеличить частоту вращения рабочего колеса.
7.105. Регулируют вытяжную установку.
7.106. Наладка системы с ЭКД может продолжаться несколько дней или недель. За это время могут измениться сила и направление ветра, погода, напряжение сети, питающей электродвигатель вентилятора, эффект тяги в здании, сопротивление установки и температура воздуха. Поэтому при возобновлении прерванных работ очень важно сверять показания на КД с последним, зафиксированным накануне, относительным давлением. В случае отклонения давления на соплах КД от зафиксированного для повышения точности регулировки следует провести подрегулировку вентилятора кондиционера с помощью направляющего аппарата.
7.107. Наибольшее распространение получили следующие СКВ:
двухтрубная система с режимом тепло- и холодоснабжения: холодный первичный воздух - горячая вода (рис. 23, 24).

Рис. 23. Двухтрубная система с режимом тепло- и холодоснабжения:
1 - вентилятор; 2 - камера орошения; 3 -воздухоохладитель; 4 - воздухонагреватель первого подогрева; 5 - рулонный фильтр; 6 - водоподогреватель; 7 - индивидуальный регулятор температуры; 8 - эжекционный кондиционер-доводчик; 9 - воздухоподогреватель второго подогрева; 10 - шумоглушитель

Рис. 24. График регулирования температуры в двухтрубной системе:
tгв - температура горячей воды; tв - температура воздуха помещения; tпв - температура первичного воздуха; tзрасч, tлрасч - расчетные температуры наружного воздуха соответственно холодного и теплого периода года tзросы, tлросы - соответственно температура зимней и летней точки росы
Количество первичного холодного воздуха должно обеспечить удовлетворение санитарной нормы и ассимиляцию теплоизбытков и влаговыделений в помещении. Горячая вода должна возмещать теплопотери и холод, вносимый первичным воздухом. Горячая вода подается к ЭКД переменной температуры по графику в зависимостей от наружной температуры. Отопление помещений в нерабочее время виной происходит при работе теплообменников ЭКД в режиме естественной конвекции с повышенной температурой горячей воды (без подачи первичного воздуха в ЭКД);
четырехтрубная система (рис. 25, 26).

Рис. 25. Четырехтрубная СКВ с местными доводчиками:
1 - рулонный фильтр; 2 - воздухонагреватель первого подогрева; 3 - камера орошения; 4 -воздухоохладитель; 5 - вентилятор; 6 - шумоглушитель; 7 - водоохладитель; 8 - водоподогреватель; 9 - расширительные баки; 10 - эжекционный кондиционер-доводчик; 11 - индивидуальный регулятор температуры

Рис. 26. График регулирования температуры в четырехтрубной системе:
tгв - температура горячей воды; tп - температура воздуха помещения; tпв - температура первичного воздуха; tхв - температура холодной воды
Первичный холодный воздух должен подаваться в количестве, достаточном для удовлетворения санитарной нормы и ассимиляции влаговыделений в помещениях. В однорядный теплообменник ЭКД подается горячая вода, а в двухрядный - холодная. Горячая вода подается с переменной температурой по графику в зависимости от наружной температуры. Ассимиляция теплоизбытков в помещении осуществляется первичным воздухом и холодной водой.
7.108. Порядок поверочного расчета ЭКД в двухтрубной системе. Расчет и построение на J-d диаграмме начинают для теплого периода года. Определяют угловой коэффициент луча процесса в помещении Е:
(209)
где Qизб - удельные (на один ЭКД) фактические теплоизбытки по полному теплу в расчетных условиях, кВт;
Wл - удельные (на один ЭКД) фактические влаговыделения в летнем режиме, кг/с.
На J-d диаграмму (рис. 27) наносят точки В - параметры внутреннего воздуха и Н - расчетные параметры наружного воздуха.

Рис. 27. J-d диаграмма процессов обработки воздуха в ЭКД двухтрубной системы
Проводят построение вспомогательных кривых φтр и φп. Кривая φтр соответствует, относительной влажности воздуха на выходе из камеры орошения или поверхностного воздухоохладителя центрального кондиционера (обычно в пределах 85-95 %). Кривая φп соответствует относительной влажности первичного воздуха с учетом его нагрева в вентиляторе и воздуховодах. Через точку В проводят летний луч процесса до пересечения с кривой φп. Получают точку П - параметры первичного воздуха. Вертикаль, проведенная через точку П до пересечения с кривой φтр, определяет точку О - параметры охлажденного и осушенного первичного воздуха. Определив из построения разность теплосодержаний внутреннего Jв и первичного Jп воздуха, подсчитывают расход первичного воздуха Lн, м3/с, необходимый для компенсации теплоизбытков:
(210)
где ρ - плотность воздуха, кг/м3.
Если фактический расход первичного воздуха не обеспечивает ассимиляцию теплоизбытков или санитарную норму наружного воздуха, необходимо регулировкой воздушного клапана увеличить его расход или понизить теплосодержание первичного воздуха. Понижение температуры "точки росы" на центральном кондиционере целесообразно осуществлять, вели большинство ЭКД в системе работают на максимальном расходе первичного воздуха и не обеспечивают ассимиляцию теплоизбытков в расчетных условиях.
Зная расход приточного воздуха (Lп), определенный испытаниями в сечении выходного патрубка КД, определяют коэффициент эжекции Кэ:
Определив по J-d диаграмме влагосодержание внутреннего dв и первичного dтр воздуха, рассчитывают ассимиляционную разность влагосодержаний Δdаc, г/кг:
(212)
Откладывая влево от точки В найденную величину Δdаc, получаем влагосодержание приточного воздуха dc и точку С, которая выражает состояние приточного воздуха в расчетном режиме для теплого периода года:
(213)
Линия НО характеризует процесс охлаждения и осушки наружного воздуха в центральном кондиционере.
Производят построение процессов обработки воздуха на J-d диаграмме для холодного периода года. Определяют угловой коэффициент зимнего луча процесса:
(214)
где Qпот - удельные (на один ЭКД) расчетные теплопотери, кВт;
W3 - удельные (на один ЭКД) расчетные влаговыделения в зимнем режиме, кг/с.
На J-d диаграмму наносят точки В' и Н' (параметры внутреннего и наружного воздуха).
Проводят построение вспомогательных кривых φ'тр
и φ'п по аналогии с теплым периодом года. Определяют
параметры приточного воздуха. Находят значение ассимиляционной разницы
энтальпии
приточного и внутреннего воздуха:
(215)
Через точку В' проводят зимний луч процесса. От линии энтальпии точки В' откладывают вверх значение ΔJ'ac. Пересечение этой линии с лучом процесса определяет положение точки С', выражающей параметры приточного воздуха в расчетном режиме холодного периода года.
Определяют параметры первичного воздуха после увлажнения его в центральном кондиционере и после нагрева в вентиляторе и воздуховодах. Находят расчетную разность влагосодержаний Δd' г/кг, внутреннего и первичного воздуха:
(216)
где d'в и d'c - влагосодержание соответственно внутреннего и приточного воздуха, г/кг.
Отложив на J-d диаграмме значение Δd' влево от вертикали, проходящей через точку В', получают линию влагосодержания воздуха после его обработки в центральном кондиционере d'тр. Пересечение этой линии с кривыми φ'тр и φ'п определяет положение точки О' (параметры воздуха после увлажнения в центральном кондиционере) и точки П' (параметры воздуха после нагрева в вентиляторе и воздуховодах).
Соединяя точки П' и С' прямой и продолжая ее до пересечения с вертикалью, проходящей черев точку В', получают точку Т', выражающую состояние рециркуляционного воздуха после его нагрева в теплообменнике ЭКД. Пересечение адиабаты, проведенной через точку О', с вертикалью, проведенной через точку Н', определяют положение точки К, выражающей состояние воздуха после нагрева в воздухонагревателе первого подогрева центрального кондиционера воздуха. Расчетную нагрузку на теплообменник каждого ЭКД Qтр, кВт, вычисляют по формуле
(217)
а в режиме естественной конвекции - по формуле
(218)
где tвх - температура воздуха помещения в холодный период года, °С;
tдо - температура воздуха в помещении при дежурном отоплении, °С;
tнр - расчетная температура наружного воздуха для холодного периода года, °С.
7.109. Порядок поверочного расчета ЭКД в четырехтрубной системе. Расход первичного воздуха Lн должен обеспечивать санитарную норму подачи наружного воздуха, что достигается регулировкой ЭКД по первичному расходу. По результатам испытаний:
вычисляют фактическое значение Кэ;
определяют угловой коэффициент летнего луча процесса в помещении Е;
для теплого периода года на J-d диаграмме (рис. 28) наносят точки В - параметры внутреннего воздуха и Н - параметры наружного воздуха.
Через точку В проводят луч процесса Е;

Рис. 28. J-d диаграмма процессов обработки воздуха в ЭКД четырехтрубной системы
строят вспомогательные кривые φтр и φп (по аналогии двухтрубных систем);
определяют необходимую ассимиляционную разность энтальпий внутреннего Jв и приточного Jс воздуха по формуле
(219)
от ливии энтальпии точки В (Jв) откладывают вниз значение ΔJac и находят положение Jс. Пересечение этой линии с лучом процесса определяет положение точки С, выражающей параметры приточного воздуха в расчетном режиме для теплого периода года;
находят расчетную разность влагосодержаний внутреннего (dв) и первичного (dп) воздуха летом по формуле
(220)
где dc - влагосодержание приточного воздуха, г/кг.
Отложив Δd влево от вертикали, проходящей через точку В, получают линию влагосодержа-вия после обработки воздуха в центральном кондиционере dтp. Пересечение этой линии с кривыми φтр и φп определяет положение точки О (параметры воздуха после охлаждения и осушки в центральном кондиционере) и точки П (параметры воздуха после нагрева в вентиляторе и воздуховодах) ;
соединяют точки П и С прямой и, продолжая ее до пересечения с вертикалью, проходящей через точку В, получают точку Т, выражающую состояние рециркуляционного воздуха после охлаждения в теплообменнике ЭКД;
охладительную нагрузку на теплообменник ЭКД Qохл, кВт, определяют с учетом холода, вносимого первичным воздухом по формуле
(221)
7.110. Если на теплообменник ЭКД приходится меньше 60-70 % общей охладительной нагрузки, целесообразно увеличить теплосодержание первичного воздуха Jп, байпасируя часть его в обвод камеры орошения или поверхностного воздухоохладителя в центральном кондиционере, или повысив температуру "точки росы" первичного воздуха, при этом производят пересчет летнего режима и заново строят процесс в J-d диаграмме.
7.111. Процесс обработки воздуха на J-d диаграмме для холодного периода года полностью совпадает с аналогичным построением для двухтрубной системы.
7.112. Испытания ЭКД производят в такой последовательности:
определяют расход первичного воздуха Lперв и при отличии его от расчетного производят регулировку СКВ в соответствии с рекомендациями пп. 4.23 - 4.29.3;
сняв направляющую решетку, установленную в подоконнике в сечении выходного патрубка ЭКД, устанавливают воздушный клапан в положение полного закрытия отверстия в задней стенке смесительной камеры ЭКД и намеряют расход приточного воздуха Lпр или рециркуляционного Lр, вычисляют коэффициент эжекции Кэ по формуле (211) и сравнивают его с данными каталога. При фактическом значении Кэ меньше каталожного производят чистку оребрения теплообменников и воздушного фильтра, а затем повторяют испытания;
производят испытания теплообменников ЭКД в режиме тепло- и холодоотдачи в соответствии с рекомендациями пп. 4.30 - 4.53, 7.44 - 7.56. Регулируют работу центрального кондиционера таким образом, чтобы температура первичного воздуха на выходе из сопел ЭКД соответствовала проектному значению.
Охлаждение рециркуляционного воздуха в теплообменнике ЭКД должно
происходить без его осушки, для чего температура подаваемой холодной воды
должна быть
(tтр - температура "точки
росы" рециркуляционного воздуха).
Измеряют температуру и относительную влажность воздуха на входе в теплообменник, на выходе из ЭКД и первичного воздуха. Измеряют температуру воды на входе и выходе из теплообменника. С помощью J-d диаграммы определяют теплосодержание воздуха рециркуляционного Jр, приточного Jпр и первичного Jпер, кДж/кг.
Испытания по определению тепло- и холодоотдачи теплообменников выполняют при установившемся режиме работы ЭКД и расчетных параметрах теплохладоносителя и воздуха в помещении.
Расчетом определяют теплосодержание воздуха после теплообменника Jк, кДж/кг:
(222)
Холодоотдачу теплообменника Qх, кВт, определяют по формуле
(223)
Расход холодной воды через теплообменник Wх, кг/с, находят по формуле
(224)
где Cw - теплоемкость воды, Cw = 4,187 кДж/кг·°С;
,
-
температура холодной воды соответственно на входе и выходе из теплообменника,
°С.
Теплоотдачу теплообменника, Qт, кВт, определяют по формуле
(225)
Расход горячей воды через теплообменник Wт, кг/с, находят по формуле
(226)
где tг, tо - температура горячей воды соответственно на входе и выходе из теплообменника, °С.
В том случае, когда испытания теплообменника осуществляли при температуре теплоносителя ниже расчетного значения, производить пересчет теплоотдачи ЭКД.
Холодоотдачу теплообменника, работающего без осушки воздуха, Qх, кВт, определяют по формуле
(227)
Теплоотдачу теплообменника Qт, кВт, определяют по формуле
(228)
где Gпр, Gпер - соответственно расход приточного и первичного воздуха, кг/с;
tпр, tp, tперв - соответственно температура приточного, рециркуляционного и первичного воздуха, °С.
На основании результатов испытаний теплообменников рассчитывают удельную тепло- и холодоотдачу по формулам (232 - 234), которую сравнивают с каталожной удельной тепло- и холодоотдачей. Если его фактическая тепло- или холодоотдача занижена по сравнению с каталожной более чем на 10 % необходимо произвести очистку наружной и внутренней поверхности теплообменника.
Для определения расхода воды через теплообменник доводчика требуется определить перепад температур воды на входе и выходе из него. При наличии гильз на трубопроводах, подводящих горячую или холодную воду к группе ЭКД, можно с достаточной степенью точности пользоваться следующим способом определения расхода теплохладоносителя через ЭКД. С помощью воздушнотепловых балансов каждого доводчика, входящего в данную группу, определяют суммарную тепло- или холодоотдачу всех теплообменников данной группы ΣQ, кВт. Определяют перепад температур прямой и обратной воды для вcей группы теплообменников ΔT, °С. Рассчитывают расход воды на группу ЭКД W, кг/c:
(229)
Соответствующие расходы воды через теплообменники, входящие в данную группу, будут равны:
(230)
где Q1, Q2, ... Qп - тепло- или холодоотдача каждого из теплообменников, определенная по воздушно-тепловому балансу, кВт.
7.113. В комбинированных СКВ подача необходимого количества наружного воздуха производится центральным кондиционером, совместно с которым работают система отопления-охлаждения, вентиляторные доводчики, системы доувлажнения и другие местные устройства. В комбинированных СКВ применяют системы водяного отопления в холодный период года (радиаторные, конвекторные, панельные, радиационные) и водяного охлаждения в теплый период (конвекторные, панельные и радиационные). Совместная работа воздушной и водяной систем в зависимости от доли тепловой нагрузки, переносимой на водяную систему, позволяет экономить от 10 до 90 % электроэнергии на ассимиляцию теплоизбытков или компенсацию дефицита тепла в помещениях.
В тех зданиях и сооружениях, где нельзя применять центральную рециркуляцию воздуха по санитарно-гигиеническим или технологическим соображениям, используют местную рециркуляцию в пределах каждого помещения с помощью вентиляторно-смесительных доводчиков с теплообменниками для снижения расхода холода. В теплое время года в теплообменники доводчиков поступает холодная вода, а холод тратится на приготовление как первичного воздуха в центральном кондиционере, так и вторичного рециркулируемого воздуха в теплообменниках вентиляторных доводчиков. Комбинированные СКВ с водяным охлаждением применяют главным образом в помещениях с незначительными влаговыделениями, когда отсутствует опасность образований конденсата на местных приборах охлаждения. Местные приборы рассчитывают на восприятие 40-50 % явной тепловой нагрузки помещений, температура их поверхности должна быть на 2-3 °С выше температуры "точки росы" воздуха в помещении. В комбинированных СКВ систему отопления рассчитывают обычно на обеспечение температуры воздуха на 2-4 °С ниже заданной для данного помещения. Находят также применение комбинированные СКВ, в которых и качестве местных устройств применяют автономные и неавтономные кондиционеры, работающие только на рециркуляционном воздухе.
Наладку комбинированных СКВ производят в такой последовательности:
производят испытание и наладку центрального кондиционера и сети воздуховодов. При этом расход наружного воздуха должен обеспечивать санитарную норму подачи на 1 чел, быть достаточным для компенсации местной вытяжки или технологических нужд, обеспечивать избыточное давление (подпор) в помещениях или обеспечивать ассимиляцию вредностей;
производят испытание и наладку вытяжных установок;
регулируют местные устройства (кондиционеры, доводчики) на расчетные расходы воздуха и теплохладоносителя;
одновременно с испытаниями местных устройств не ассимиляцию теплоизбытков составляют воздушный баланс по теплу и влаге и определяют общую тепловую нагрузку на СКВ;
корректируют работу центрального кондиционера и местных устройств, обеспечивая с целью экономичности СКВ максимально возможную холодоотдачу доводчиков (местных кондиционеров) при отсутствии опасности выпадения конденсата;
производят комплексные испытания СКВ совместно с устройствами авторегулирования.
В цехах, требующих поддержания высокой влажности воздуха, применяют комбинированные СКВ. Комбинированные СКВ представляют собой систему центрального кондиционирования воздуха с пневматическими форсунками местного доувлажнения. Наибольшее распространение получили автоматические установки доувлажнения воздуха "Туман". Перед испытанием и наладкой системы доувлажнения воздуха необходимо:
проверить правильность установки форсунок и прокладки труб в соответствии с проектом;
проверить давление сжатого воздуха и воды, которое должно быть в заданных техническими условиями пределах, перед узлом управления;
установить вентилями давление сжатого воздуха, поступающего на форсунки, равным 0,15 МПа (1,5 кг/см2), а давление воды у форсунки - 0,015-0,02 МПа (0,15-0,2 кгс/см2);
осуществить пробный пуск системы. При этом проверяют плотность всех соединений на воздушных и водяных магистралях, исправность работы форсунок, которые не должны давать капели во время работы и при остановке и пуске системы. Форсунки регулируют игольчатым дросселем визуально. Факелы распыленной воды должны быть одинаковой насыщенности и не должны пульсировать. В результате регулировки необходимо получить двусторонний равномерный факел распыленной воды с полным испарением ее в воздухе помещения;
произвести наладку систем автоматического регулирования узла управления;
произвести наладку центрального кондиционера, вытяжной установки и сети воздухораспределения в соответствии с рекомендациями пп. 4.23 - 4.29, 4.58 - 4.78 и 7.1 - 7.94.
7.114. Испытание и наладку системы доувлажнения производят в такой последовательности:
при выключенной системе доувлажнения, работе центрального кондиционера на расчетной производительности и адиабатическом увлажнении наружного воздуха (рис. 29, т. 1) измеряют параметры воздуха после камеры орошения (см. рис. 29, т. 2) и в рабочей зоне (см. рис. 29, т. 3), которые наносят на J-d диаграмму. Измерения необходимо производить при расчетной тепловой нагрузке на СКВ;
включают систему доувлажнения, в установившемся режиме работы измеряют параметры воздуха в рабочей зоне помещения и наносят на J-d диаграмму (см. рис. 29. т. 4);

Рис. 29. J-d диаграмма процесса обработки воздуха в комбинированной СКВ с доувлажнением
определяют производительность одной форсунки системы доувлажнения по формуле
(231)
где G - количество воздуха, поступающего в помещение от кондиционера, кг/с;
d4, d3 - влагосодержание воздуха рабочей зоны соответственно при работающей и выключенной системах доувлажнения, г/кг;
Z - количество установленных пневматических форсунок;
при производительности форсунки менее 1,4·10-3 кг/c и влажности воздуха в помещении менее расчетного значения необходимо увеличить расход воды в системе, повысить давление после водяного редуктора и повторить испытания;
при недостаточной влажности воздуха в помещении и W ≥ 1,4·10-3 кг/с следует увеличить число форсунок;
следует сократить число установленных форсунок, если фактическая производительность системы доувлажнения превышает требуемую более чем на 10 %;
определить место установки влагорегулятора. Измерить влажность воздуха по всей площади рабочей зовы и рассчитать ее среднее значение. Прибор следует установить на высоте 1,6-1,7 м от пола в зоне, где влажность воздуха близка к ее среднему значению.
7.115. До испытания и наладки ВКД необходимо:
осмотреть ВКД и убедиться в его полной исправности; проверить чистоту воздушного фильтра и поверхности теплообменника;
произвести наладку сетей тепло- и холодоснабжения, открыть вентили на трубопроводах подачи теплохладоносителя;
установить воздушный регулирующий клапан в крайнее положение, обеспечивавшее максималный расход рециркуляционного воздуха.
7.116. Испытание и наладку ВКД производят в такой последовательности:
определяют фактические теплоизбытки и теплопотери помещения;
проверяют наличие напряжения в сети и включают вентилятор ВКД;
измеряют расходы наружного, рециркуляционного и приточного воздуха;
регулируют расход наружного воздуха дросселированием подводящего воздуховода или изменением ширины выпускной щели путем вращения воздуховода вокруг своей оси;
испытывают теплообменники ВКД в режиме тепло- и холодоотдачи в соответствии с рекомендациями пл. 4.30-4.53 и 7.44-7.56;
выключают вентилятор ВКД, прекращают подачу наружного воздуха, воздушный регулирующий клапан устанавливают в полностью закрытое положение. Подают горячую воду к ВКД и производят испытание теплообменника в режиме естественной конвекции;
на основании результатов испытаний теплообменника рассчитывают:
удельную теплоотдачу на 1° перепадов начальных температур воды и воздуха Ат, кВт·м3/кг·°С
удельную теплоотдачу в режиме естественной конвекции Ат.к, кВт·м3/кг·°С
(233)
удельную холодоотдачу Аохл, кВт·м3/кг·°С
где Qт и Qтк - теплоотдача соответственно при вынужденной и естественной конвенциях, кВт;
Qx - холодоотдача, кВт;
tв - температура рециркуляционного воздуха, °С;
Т1, Т2 - температура горячей воды соответственно на входе и выходе из теплообменника, °С;
,
- температура
холодной воды соответственно на входе и выходе ив теплообменника, °С;
wг, wх - расход соответственно горячей и холодной воды через теплообменник, кг/с.
Индекс "к" относится к режиму естественной конвекции.
Полученные по результатам испытаний фактические значения Aт, Aтк, Аохл сравнивают с каталожными. Если фактическая тепло- или холодоотдача по сравнению с каталожной занижена более чем на 10 %, необходимо повысить Qт или Qтк путем увеличения расхода теплоносителя или его температуры, а Qx - увеличением расхода или понижением температуры холодной воды.
Примечания. 1. Увеличение расхода теплоносителя выше 0,056 кг/с, а хладоносителя выше 0,11 кг/с нецелесообразно, так как возрастание тепло- и холодоотдачи незначительно.
2. Температура подаваемой
холодной воды должна быть
(tтр - температура "точки росы"
рециркуляционного воздуха).
Изменение тепло- или холодоотдачи теплообменника может быть достигнуто и регулированием расхода проходящего через него рециркуляционного воздуха.
7.117. При регулировании СКВ добиваются соответствия фактических тепло- и холодоотдачи ВКД теплопотерям и теплоизбыткам в помещении, определенным методом воздушно-теплового баланса в соответствии с рекомендациями пп. 5.29-5.56 или расчетом.
ИСПЫТАНИЕ И НАЛАДКА ОДНОЗОНАЛЬНЫХ И МНОГОЗОНАЛЬНЫХ ДВУХВЕНТИЛЯТОРНЫХ СКВ
7.118. При наладке двухвентиляторных СКВ (рис. 30) возможны следующие варианты работы воздушных регулирующих клапанов:
в регулировании участвуют клапаны Кл1, Кл2, Кл3;
в регулировании участвуют рециркуляционный (Кл2) и выбросной (Кл3) клапаны. Клапан наружного воздуха Кл1 сблокировав с электродвигателем приточного вентилятора;
регулирование осуществляется клапанами Кл1 и Кл2, работающими от одного привода;
регулирование осуществляется одним рециркуляционным клапаном Кл2. Клапаны Кл1 и Кл3 сблокированы с электродвигателем соответственно приточного и рециркуляционно-вытяжного вентиляторов.

Рис 30. Двухвентиляторная многозональная СКВ
7.119. При наладке двухвентиляторных СКВ необходимо выбрать предпочтительный способ регулирования рециркуляционного, наружного и выбросного воздуха, учитывая следующие положения:
схема регулирования с помощью трех клапанов обеспечивает наибольшую аэродинамическую устойчивость СКВ. Поэтому ее следует применять в тех случаях, когда колебания подачи приточного и рециркуляционно-вытяжного вентиляторов по требованиям технологии производства и для поддержания постоянного избыточного давления в помещениях должны быть сведены к минимуму. Точность регулирования температуры "точки росы" при этом способе будет наименьшей;
схема регулирования с двумя клапанами, установленными в рециркуляционном канале и канале выбросного или наружного воздуха, более проста, чем схема с тремя клапанами, и обеспечивает более высокую точность поддержания температуры "точки росы". Однако неизбежными являются колебания подачи приточного вентилятора. Если сопротивление канала наружного воздуха составляет не более 10 % сопротивления всей системы, то колебание подачи вентилятора в среднем не превышает 5 %. При работе СКВ на минимуме наружного воздуха уменьшается общее сопротивление сети и возрастает подача приточного вентилятора. Минимальная подача приточного вентилятора будет при работе СКВ на одном наружном воздухе.
7.120. Схема регулирования с одним клапаном, установленным в рециркуляционном канале, наиболее проста. Однако она обладает наименьшей аэродинамической устойчивостью, так как в процессе регулирования происходит изменение подачи приточного и рециркуляционно-вытяжного вентиляторов. При этом увеличение подачи рециркуляционно-вытяжного вентилятора, как правило, превышает увеличение подачи приточного вентилятора. При наладке такой системы необходимо проверять изменение воздушного баланса помещений, имея в виду обеспечение подпора в кондиционируемых помещениях во всем диапазоне регулирования.
7.121. До наладки СКВ для выбора способа регулирования температуры "точки росы" необходимо выявить допустимое изменение подачи приточным вентилятором с учетом следующих обстоятельств:
- подбор оборудования СКВ обычно производят с запасом в 10-15 %;
- в расчетном летнем режиме СКВ работают, как правило, при минимальном расходе наружного воздуха, т.е. с максимальным общим расходом приточного воздуха;
- тепловая нагрузка на СКВ не является стабильной и изменяется во времени.
7.122. В схеме регулирования с тремя клапанами колебания в подаче вентиляторов составляют 3-5 %.
Если давление приточного вентилятора считать постоянным, то изменение его подачи можно определить по уравнению
(235)
где Lv, L'v - подача вентилятора при сопротивлении участка "аб", соответственно равном Раб.мин и Раб.макс,
Па; Рп - сопротивление сети приточных воздуховодов, включая кондиционер и участок "аб", при расходе Lv, м3/с,
Раб.мин = Раб.макс (1-m)2,
где
доля расхода рециркуляционного воздуха от
подачи вентилятора;
(1-m) - относительный расход наружного воздуха.
В таблице 6 приведено увеличение подачи приточного вентилятора в процентах при максимальном расходе рециркуляционного воздуха по сравнению с работой вентилятора только на наружном воздухе.
Таблица 6
|
|
Раб.макс/Рп |
||||||
|
0,05 |
0,1 |
0,15 |
0,2 |
0,3 |
0,4 |
0,5 |
|
|
0,9 |
2,2 |
5,2 |
8,3 |
12 |
19 |
29 |
41 |
|
0,7 |
2,2 |
4,9 |
7,8 |
10,5 |
17,5 |
25 |
36,5 |
|
0,6 |
2,1 |
4,2 |
7,0 |
9,5 |
15,5 |
23 |
31 |
|
0,5 |
2,0 |
4,0 |
6,0 |
18,2 |
13,5 |
19,5 |
26 |
|
0,4 |
1,5 |
3,1 |
5,0 |
6,8 |
11 |
16 |
21 |
7.123. Изменения подачи вентилятора будут тем меньше, чем меньше сопротивление участка "аб" по сравнению с сопротивлением всей системы и чем меньшее количество воздуха рециркулирует в системе. При наладке СКВ для уменьшения колебаний в подаче "приточного вентилятора необходимо уменьшить сопротивление участка "аб" или увеличить минимальный расход наружного воздуха, или увеличить сопротивление приточных воздуховодов. Последнее увеличит расход энергии приточным вентилятором, но при этом будет обеспечено постоянство подачи вентилятором в пределах допустимых колебаний.
Для рециркуляционно-вытяжного вентилятора в уравнении (235) вместо
значений Раб.макс и Раб.мин необходимо
подставить значения ![]()
В табл. 7 приведены значения увеличения подачи рециркуляционно-вытяжного вентилятора в процентах при максимальном расходе рециркуляционного воздуха по сравнению с работой вентилятора только на выброс.
Таблица 7
|
|
|
Рв.макс/Р |
||||||
|
0,05 |
0,1 |
0,15 |
0,2 |
0,3 |
0,4 |
0,5 |
||
|
0,8 |
0,8 |
2,2 |
5,2 |
8,3 |
12 |
19 |
29 |
40,5 |
|
0,7 |
0,9 |
2,2 |
5,0 |
8,1 |
11 |
18 |
27 |
38 |
|
0,8 |
2,2 |
5,2 |
8,3 |
12 |
19 |
28,5 |
40,5 |
|
|
0,6 |
0,9 |
2,2 |
4,9 |
7,7 |
10,2 |
16,8 |
24,5 |
34 |
|
0,8 |
2,2 |
5,0 |
8,0 |
11,1 |
17,5 |
26 |
37 |
|
|
0,5 |
0,9 |
2,1 |
4,2 |
6,8 |
9,0 |
15 |
21,3 |
29 |
|
0,8 |
2,2 |
4,8 |
7,2 |
10 |
16,2 |
23,5 |
32,5 |
|
|
0,4 |
0,9 |
1,8 |
3,8 |
5,5 |
7,5 |
12 |
17,5 |
23,5 |
|
0,8 |
2,0 |
4,0 |
6,0 |
8,2 |
13,5 |
19,5 |
26 |
|
Примечания. 1.
доля расхода удаляемого воздуха от расхода приточного.
2. Ly - расход удаляемого воздуха, м3/с.
7.124. Аэродинамические испытания и наладку СКВ производят в такой последовательности:
при полностью открытых клапанах Кл1 и Кл3 и закрытом клапане Кл2 регулируют вентиляторы и сеть приточных и рециркулядионно-выбросных воздуховодов на проектные расходы воздуха; производят наладку воздушных клапанов Кл1 - Кл3 в соответствии с рекомендациями пп. 7.60 - 7.65 и о учетом следующих положений. Для регулирования соотношений количеств смешиваемых воздушных потоков наиболее пригодны спаренные взаимообратные клапаны со створками параллельного вращения, характеристики которых наиболее приближаются к линейным. Минимальные и максимальные потери давления в открытых клапанах должны соответствовать:
для клапанов со створками параллельного вращения
(236)
для клапанов со створками встречного вращения
(237)
где Руч - сопротивление регулируемого участка, Па.
Для эффектного регулирования расхода по линейному закону площадь проходного клапана должна быть меньше площади сечения воздуховода, в котором он установлен. Обычно скорость воздуха в сечении полностью открытого клапана не должна быть меньше 5-7 м/с;
клапаны налаживают на максимальные проектные расходы соответственно наружного, рециркуляционного и удаляемого воздуха.
При использовании способа регулирования одним или двумя клапанами не участвующие в схеме регулирования клапаны используют для первоначальное регулировки минимальных расходов наружного или удаляемого воздуха.
7.125. Отрегулировать систему на расчетное отношение расходов наружного и рециркуляционного воздуха. При этом определенные по аэродинамическим замерам расходы воздуха следует контролировать по замерам температур воздуха до и после смешения. Температуру смеси наружного - од года рассчитывают по условиям переходного и рециркуляционного воздуха определяют по формуле
(238)
где tн, tp - температуры наружного и рециркуляционного воздуха, °С;
Gм, Gр - расходы наружного и рециркуляционного воздуха, кг/с.
Чем больше разность температур наружного и рециркуляционного воздуха, тем легче отрегулировать положение воздушных клапанов.
7.126. Определить подачу приточного и рециркуляционно-вытяжного вентиляторов при работе системы на минимальном расходе наружного воздуха. Сравнить подачу вентиляторов при двух крайних режимах работы.
7.127. Отрегулировать подпор воздуха в кондиционируемом помещении при работе СКВ на минимальном расходе наружного воздуха:
открывают один из дверных проемов кондиционируемого помещения;
с помощью анемометра, шеста и шелковинок или задымления определяют направление движения воздуха по высоте дверного проема.
При поступлении воздуха в кондиционируемое помещение через дверной проем из смежных помещений постепенно уменьшают подачу рециркуляционно-вытяжного вентилятора до обеспечения движения воздуха по всей площади дверного проема из кондиционируемого помещения в смежные. Если создание подпора требует недопустимого снижения подачи рециркуляционно-вытяжного вентилятора, производят герметизацию оконных и дверных проемов помещений и при необходимости увеличивают минимальный расход наружного воздуха, потребляемого кондиционером.
7.128. Для достижения допустимых колебаний в подаче вентиляторов производят регулировку соотношений наружного, рециркуляционного и удаляемого воздуха или изменяют сопротивление отдельных участков сети в соответствии с вышеприведенными рекомендациями.
7.129. Совместно с наладчиками автоматики определяют точность регулирования температуры "точки росы".
7.130. При наладке центральных СКВ необходимо определить возможность сокращения производительности в холодный период года. Возможность и пределы снижения производительности определяют уменьшением избытков тепла, условиями сохранения равномерности параметров воздуха в рабочей (обслуживаемой) зове кондиционируемых помещений и необходимостью обеспечения санитарной нормы подачи наружного воздуха.
Производительность СКВ на весь холодный период года рассчитывают по условиям переходного периода, т.е. на температуру наружного воздуха 10 °С и относительную влажность 70 %.
7.131. При расчете сокращения производительности СКВ определяют отношение избытков тепла в переходный период к избыткам явного тепла в теплый период при соответствующих расчетных параметрах наружного воздуха для всех помещений (зон), обслуживаемых одной СКВ. Целесообразно избытки явного тепла принимать по, результатам натурных балансов по теплу. Подачу рециркуляционно-вытяжного вентилятора и кондиционеров сокращают на значение, равное наибольшему из рассчитанных для разных помещений отношений теплоизбытков.
7.132. Наладку СКВ на холодный период года производят при сокращенной
производительности. Подачу воздуха в помещения (зоны) уменьшают пропорционально
установленному сокращению подачи кондиционера. Испытаниями системы
воздухораспределения определяют равномерность распределения параметров в
рабочей зоне. Если неравномерность параметров превышает допустимое значение,
увеличивают производительность СКВ. Руководствуясь отношением
,
определяют количество наружного воздуха, которое поступит в каждую зону Lн.з или помещение Lv.з, после сокращения общей производительности кондиционера. Если
окажется, что санитарная норма не обеспечена, увеличивают расход наружного
воздуха, вводимого СКВ или меняют отношение, положенное в основу сокращения
производительности.
1.133. Центральную прямоточную многозональную СКВ применяют, если рециркуляция воздуха недопустима. В состав многозональных систем входят местные подогреватели (МП), устанавливаемые по числу обслуживаемых зон помещений или комплексов одинаковых помещений. Регулирование местных подогревателей осуществляют терморегуляторами, датчики которых устанавливают в рабочей зоне или вытяжном воздуховоде из соответствующего помещения. При наладке местных подогревателей следует учитывать, что последние, как правило, рассчитывают на обеспечение режима воздушного отопления при сокращенной общей производительности СКВ.
7.134. В двухканальных СКВ приточный воздух, приготовленный в центральном кондиционере, подается по двум параллельным каналам (теплый и холодный) к смесителям и после смешивания поступает в помещения. Температура в каждом помещения поддерживается терморегулятором, воздействующим на воздушные клапаны смесителя, которые изменяют соотношение расхода холодного и теплого воздуха в подаваемой смеси. Смесители могут быть двух типов: с регулятором расхода и без него.
Смесительные устройства могут размещаться в обслуживаемых помещениях, вблизи них, а также в машинных залах кондиционеров или в специально выделенных помещениях. В зависимости от процессов обработки воздуха двухканальные СКВ могут иметь различные технологические схемы. Принципиальная схема одной из систем приведена на рис. 31.

Рис. 31. Схема двухканальной системы кондиционирования воздуха:
1 - кондиционер; 2 - вентилятор; 3 - воздухонагреватель; 4 - воздухоохладитель; 5 - воздушный клапан; 6 - коллектор теплого воздуха; 7 - коллектор холодного воздуха; 8 - смеситель; 9 - датчик терморегулятора; 10 - исполнительный механизм; 11 - кондиционируемое помещение
7.135. При отсутствии заводской настройки регуляторов расхода регулировку смесителей на данный расход выполняют на стенде. В процессе стендовой настройки регулятор смесителя устанавливают в положение, соответствующее требуемому расходу и выявляют минимальное давление, при котором расход воздуха через смеситель остается постоянным, т.е. выявляют собственное сопротивление смесителя в режиме минимального дросселирования регулятора расхода включают оборудование системы. Управляя исполнительными механизмами дистанционно или по месту, устанавливают воздушные клапаны смесителей в положение (по каталожным расходным характеристикам), соответствующее максимальной (расчетной) подаче воздуха из холодного канала. Измеряют подачу воздуха приточными вентиляторами и расходы воздуха в теплом и холодном каналах. Сопоставляют фактические расходы воздуха с проектными и при необходимости производят аэродинамическую регулировку сети до смесителей.
7.136. На основе анализа схем приточных воздуховодов и характеристик смесителей выявляют смесители с максимальный сопротивлением сети, включая собственно сопротивление смесителей (эти смесители расположены в наиболее удаленной от вентилятора точке системы). Производят аэродинамическую регулировку этих участков сети. При недостаточном статическом давлении в канале холодного воздуха осуществляют мероприятия по его обеспечению: аэродинамическую регулировку или реконструкцию сети; замену отдельных смесителей смесителями другого типоразмера; корректировку температуры воздуха в каналах с целью изменения расчетного соотношения расходов из каналов при неизменной тепло- и холодоотдаче смесителей и т.п.
7.137. Воздушные клапаны смесителей устанавливают в положение, соответствующее максимальному (расчетному) расходу теплого воздуха и выполняют работы в последовательности, приведенной в пп. 7.135 и 7.136 применительно для теплого канала.
Если статическое давление в канале теплого воздуха превышает статическое давление в канале холодного более чем на 20 %, необходимо выполнить и аэродинамическую регулировку сети с целью снижения этой разницы.
7.138. Производят аэродинамическую регулировку сети остальных смесителей и наладку воздухораспределительных устройств в кондиционируемых помещениях, а также выполняют испытание и регулировку вентиляционных вытяжных систем.
7.139. Выполняют испытание и наладку оборудования кондиционеров и других вентиляционных установок. Для обеспечения минимальной и максимальной температур приточного воздуха tх.пр, tг.пр, подаваемого в помещение, следует поддерживать температуру воздуха в каналах tх.кан, tг.кан с учетом негерметичности одного из закрытых воздушных клапанов смесителей:
(239)
(240)
где tх.пр.1, (tг.пр) - температуры приточного воздуха при полностью закрытом теплом (холодном) клапане смесителя;
tх.кан, tг.кан - температуры воздуха соответственно в холодном и теплом каналах;
п - доля воздуха, проходящего через закрытый клапан смесителя из-за его неплотности.
Количество воздуха, проходящего через закрытый клапан смесителя, определяет по техническим данным завода-изготовителя или по результатам испытаний:
(241)
Проверку плотности закрытия воздушных клапанов выполняют только в смесителях, для которых расчетные температуры приточного воздуха в режиме охлаждения или воздушного отопления отличаются на 1-3 °С от температур соответственно в холодном и теплом каналах.
7.140. Производят наладку смесительных устройств. Проверяют возможность подачи смесителями расчетных минимальной и максимальной температур приточного воздуха. Определяют поле температур воздуха после смесителя и влияние расслоения на параметры воздушной среды помещений.
7.141. По данным испытаний оборудования СКВ изображают процессы обработки воздуха в J-d диаграмме при расчетных параметрах наружного воздуха для теплого и холодного периодов года (рис. 32).

Рис. 32. - J-d диаграмма процессов обработки воздуха в двухканальных СКВ:
Н - наружный воздух П - воздух после первого подогрева; В -внутренний воздух; Кт - коллектор теплого воздуха; Кх - коллектор холодного воздуха; У - камерный воздух; Прт - приточный теплый воздух; Прх - приточный холодный воздух
7.142. Включают оборудование системы в ручном режиме управления. Управляя исполнительными механизмами дистанционно или приборами по месту, устанавливают воздушные клапаны смесителей в положение (по каталожным расходным характеристикам), соответствующее максимальной (расчетной) подаче воздуха из холодного канала. Измеряют подачу воздуха приточными вентиляторами и расходы воздуха в теплом и холодном каналах. Сопоставляют фактические расходы воздуха с проектными и производят аэродинамическую регулировку сети до смесителей.
7.143. Включают в работу регуляторы автоматического поддержания постоянного статического давления в холодном канале. Датчик регулятора не следует устанавливать вблизи вентилятора, в конце канала или на участке, где соотношение скоростей Vмакс/Vмин более 1,5.
7.144. На основании анализа схем приточных воздуховодов и характеристик смесителей выявляют смесители с максимальным сопротивлением сети, включая собственное сопротивление смесителей. Производят аэродинамическую регулировку этих участков сети. При недостаточном статическом давлении в канале холодного воздуха осуществляют мероприятия по его обеспечению (аналогично п. 7.136).
7.145. Воздушные клапаны смесителей устанавливают в положение, соответствующее максимальному (расчетному) расходу теплого воздуха, и выполняют работы в последовательности, приведенной в пп. 7.142 и 7.143 применительно для канала теплого воздуха.
7.146. Производят испытания коллекторов. Определяют распределение статического давления по длине каналов теплого и холодного воздуха. Выполняют характерные точки в каналах для установки датчиков регуляторов давления. Значение статического давления в отдельных точках канала теплого воздуха превышает статическое давление в соответствующих точках канала холодного воздуха более чем на 10 %, необходимо выполнить аэродинамическую регулировку сети с целью снижения этой разницы.
Снимают регулировочную характеристику воздушных клапанов теплого и холодного каналов при различных эксплуатационных режимах. Для этого при работе регулятора определяют статическое давление в точке установки датчика при ступенчатом изменении расхода воздуха в каналах от максимального до минимального расчетного значения. Клапаны должны обеспечивать поддержание заданного давления в каналах во всех режимах работы систем с относительной погрешностью ± 5 %. Если клапан не обеспечивает необходимого качества регулирования, необходимо:
увеличить сопротивление клапана путем частичного или полного закрытия отдельных створок;
ограничить ход клапана в диапазоне рабочего участка его характеристики;
изменить конструкцию клапана.
7.147. Производят аэродинамическую регулировку сетей остальных смесителей и выполняют испытание и регулировку вентиляционных вытяжных систем.
7.148. Выполняют наладку смесителей. Выявляют фактические характеристики всех смесителей. Независимо от положения створок теплого и холодного клапанов смеситель должен обеспечивать постоянный расход приточного воздуха. Если смеситель не удовлетворяет указанным требованиям, устанавливают смеситель другого типоразмера. Проверяют возможность подачи смесителями расчетных минимальной и максимальной температур приточного воздуха.
7.149. Производят испытание и наладку оборудования кондиционеров и других вентиляционных установок. По данным испытаний изображают процессы обработки воздуха в J-d диаграмме яри расчетных параметрах наружного воздуха теплого и холодного периодов года (см. рис. 30).
7.150. Неавтономные кондиционеры КТН-3,15, КТН-6,3, КТН-10 и КТН-20 с общей подачей воздуха соответственно 3150, 6300, 10000 и 20000 м3/ч предназначены для автоматического поддержания в обслуживаемом помещении заданной температуры и относительной влажности воздуха, необходимых по санитарно-гигиеническим или технологическим условиям. В кондиционерах применена электропневматическая система автоматики. Поддержание температуры воздуха в помещении осуществляется изменением теплоотдачи воздухонагревателя второго подогрева. Относительную влажность воздуха в кондиционируемом помещении регулируют постоянной температурой "точки росы". Это достигается в холодный и переходный периоды года последовательным регулированием теплоотдачи воздухонагревателя первого подогрева и изменением расходов наружного и рециркуляционного воздуха. В теплый период года температуру "точки росы" регулируют изменением расхода холодной воды, подаваемой в камеру орошения.
7.151. До испытания и наладки кондиционеров воздуха необходимо совместно со службой эксплуатации или монтажниками:
сверить соответствие проекту типа установленного кондиционера, а также схем обвязки трубопроводами воздухонагревателей первого и второго подогревов и: камеры орошения;
проверить болтовне соединения агрегатов и аппаратуры соединении электропроводки и при необходимости произвести подтяжку крепежных элементов сборочных единиц;
проверить состояние подшипников валов вентиляторов и насоса. Пополнить смазку подшипниковых узлов шприцем через масленки в корпусе подшипников или вскрыв крышки подшипниковых узлов;
произвести осмотр электродвигателей, проверить надежность соединения контактов заземления, при необходимости смазать подшипники.
Смазка должна заполнять 0,5 объема камеры подшипникового узла;
очистить водяной фильтр;
проверить чистоту воздушного фильтра;
осмотреть наружную„поверхность воздухонагревателей и сепараторов. При загрязнении очистить их струей воды;
проверить воздушный клапан на легкость хода от руки. При необходимости устранить заедания створок клапана;
пополнить смазкой подшипниковые узлы поворотных осей;
включив электродвигатели насоса и вентилятора, проверить правильность вращения рабочих колес. Направление вращения колеса должно совпадать с направлением развертки "улитки" кожуха. В случае неправильного вращения необходимо переключить фазы на присоединительных клеммах.
7.152. Испытание и наладку местных неавтономных кондиционеров производят в такой последовательности:
аэродинамические испытания с определением подачи и давления кондиционера (см. п. 4.9-4.22);
регулирование кондиционера на расчетное отношение расхода наружного и рециркуляционного воздуха и расчетную подачу (см. п. 7.119);
испытание воздухонагревателей первого и второго подогревов (см. п. 4.30-4.53);
регулирование теплоотдачи воздухонагревателей с проверкой первого подогрева на возможность замерзания (см. п. 4.30-4.53);
испытание и наладка камеры орошения (см. п. 7.25 - 7.43).
ИСПЫТАНИЕ И НАЛАДКА АВТОНОМНЫХ КОНДИЦИОНЕРОВ ВОЗДУХА
7.153. Цель работ по испытанию и наладке - автономных кондиционеров - обеспечение требуемой подачи воздуха, производительности по холоду, теплу и влагоотдаче.
7.154. В соответствии с ГОСТ 10808-73 кондиционеры воздуха общего назначения, осуществляющие охлаждение воздуха с помощью встроенной холодильной машины, изготовляют двух типов:
КТА 1 - автономный кондиционер воздуха с водяным охлаждением конденсатора;
КТА 2 - то же, с воздушным охлаждением конденсатора.
Отклонения производительности для обоих типов кондиционеров допускаются: ± 10 % по воздуху, минус 8 % - по холоду (верхнее отклонение не регламентируется).
Показатели производительности по холоду, теплу и потребляемой мощности приняты при условиях, указанных в табл. 8.
Таблица 8
|
Параметры |
Состояние воздуха |
температура охлажденной воды, °с |
Часть наружного воздуха в общем количестве обрабатываемого воздуха, % |
|||
|
входящего в кондиционер |
наружного |
|||||
|
температура, °с |
относительная влажность, % |
температура, °с |
относительная влажность, % |
|||
|
Производительность по холоду и потребляемая мощность |
27 |
50 |
35 |
40 |
24 |
30 |
|
Производительность по теплу |
21 |
30 |
-5 |
80 |
- |
15 |
Примечание. Предельные значения температур наружного воздуха от минус 40 до плюс 45 °С, охлаждающей воды - до 30 °С.
Кондиционеры должны обеспечивать автоматическое регулирование температуры воздуха в помещении от 18 до 28 °С с погрешностью ± 2 °С в заданном режиме работы (зима - лето).
По заказу потребителей кондиционеры могут быть изготовлены с регулированием относительной влажности воздуха в помещении от 30 до 70 % с погрешностью ± 5 %, а также без подогрева воздуха.
Наладка кондиционеров воздуха на проектные расходы воздуха
7.155. До начала наладочных работ необходимо:
ознакомиться с проектом СКВ;
сверить смонтированное оборудование, системы трубопроводов и воздуховодов с проектом, проверить соответствие монтажа требованиям СНиП и заводским инструкциям;
обследовать кондиционируемые помещения для определения соответствия проекту: размера и объема; ориентации относительно сторон света; конструкции наружных и внутренних ограждений; системы воздухораспределения; числа и типа нагревательных приборов; температурного графика системы отопления; мощности установленного технологического оборудования и освещения. Особое внимание при обследовании кондиционируемых помещений следует обратить на соответствие проекту мест установки датчиков температуры (относительной влажности). Каждое отклонение от проекта должно быть согласовано с авторами проекта. На вое обнаруженные дефекты и недоделки составляют ведомости, по которым строительно-монтажные организации их устраняют.
7.156. После устранения недоделок и дефектов монтажа необходимо провести испытания и наладку автономного кондиционера:
определить подачу вентилятора при работе его на сеть воздуховодов;
испытать и отрегулировать сеть воздуховодов с целью достижения проектных показателей по расходу воздуха;
определить теплоотдачу воздухонагревателей при фактических параметрах воздуха и теплоносителя;
отрегулировать тепловой режим работы холодильной машины и определить ее холодопроизводительность. При этом необходимо обеспечить максимально возможную тепловую нагрузку на холодильную машину. Проверить на срабатывание приборы защиты и блокировки;
определить фактическую влагопроизводительнсоть увлажнительного устройства.
7.157. Если при испытаниях кондиционера воздуха обнаружены заводские дефекты изготовления, составляют акт-рекламацию, на основании которого предъявляется претензия заводу-изготовителю.
7.158. После наладки кондиционера на проектные расходы воздуха при работающей холодильной машине измеряют уровень звукового давления в помещениях и сравнивают с нормативным значением. На установку оформляют паспорт в двух экземплярах согласно обязательному приложению 35.
7.159. До начала наладки необходимо выполнить работы, указанные в п. 7.155. Поверочный расчет режима работы кондиционера воздуха следует производить по методике, изложенной в каталоге-справочнике "Кондиционеры". - М.: ЦНИИТЭстроймаш, 1981.
Определить фактические нагрузки на кондиционер воздуха. При составлении тепловлажвостного баланса кондиционер воздуха можно использовать при двух режимах работы:
холодильная машина выключена. Кондиционер воздуха работает на смеси рециркуляционного и наружного воздуха. Осуществляется подача воздуха в помещение с расчетной разностью температур, близкой к проектной, благодаря использованию "холода" наружного воздуха. Составление балансов при таком режиме работы кондиционера воздуха возможно в холодный и переходный периоды года, а также в теплый период года при пониженных температурах наружного воздуха;
холодильная машина работает непрерывно или циклично. Выполнить наладку холодильной машины на оптимальный режим работы, под которым следует понимать не только наиболее экономичный и безопасный, но и обеспечивающий долговечность оборудования.
7.160. При составлении балансов в потоке приточного воздуха следует установить термограф и гигрограф, на основе записей которых можно с достаточной для инженерных расчетов точностью определить значения средних во времени параметров приточного воздуха. Составление балансов при непрерывной работе холодильной машины кондиционера воздуха существенно сокращает объем расчетов и позволяет получить более достоверные данные.
7.161. Далее следует провести испытания и наладку кондиционера воздуха:
испытать и отрегулировать сеть воздуховодов для достижения требуемых расходов по фактическим нагрузкам;
испытать и наладить воздухонагреватели для обеспечения требуемой теплоотдачи в расчетном режиме;
испытать и наладить холодильную машину кондиционера воздуха для достижения требуемой холодопроизводительности при расчетном тепловом режиме;
испытать и наладить увлажнительное устройство для обеспечения требуемой относительной влажности воздуха в кондиционируемом помещении в расчетный холодный период года;
испытать и наладить воздушный фильтр для обеспечения заданной чистоты внутреннего воздуха;
измерить и сравнить о нормативным звуковое давление в помещении;
провести комплексные испытания кондиционера воздуха при автоматическом поддержании требуемых параметров воздуха.
7.162. До начала работ по аэродинамическому испытанию кондиционера воздуха необходимо:
выполнять ревизию воздушного фильтра я при необходимости произвести очистку или замену фильтрующего материала;
проверить правильность направления вращения рабочего колеса вентилятора;
проверить степень натяжения приводного ремня центробежного вентилятора (прогиб в середине ремня от усилия большого пальца руки должен составлять 10 - 15 мм);
открыть воздушные клапаны наружного и рециркуляционного воздуха;
полностью открыть дросселирующие устройства в системе воздуховодов, присоединенных к кондиционеру воздуха.
При установке кондиционера воздуха непосредственно в помещении и отсутствии приточных и рециркуляционных воздуховодов подачу кондиционера по воздуху определяют измерением скоростей воздуха анемометром на приточной решетке. Определяют анемометром расходы наружного и рециркуляционного воздуха.
С помощью воздушных клапанов обеспечивают требуемую подачу кондиционера и заданные расходы наружного и рециркуляционного воздуха.
7.163. При наличии сети воздуховодов, подключенных к кондиционеру, его подачу определяют косвенным путем по замерам динамического давления в контрольной точке сети воздуховодов в соответствии с рекомендациями п. 2.35. Давление, развиваемое вентилятором на нагнетающей стороне, измеряют в выхлопном патрубке вентилятора или в контрольной точке сети с пересчетом потерь давления.
Если испытаниями установлено, что подача кондиционера ниже требуемой более чем на 10 %, необходимо:
измерить аэродинамическое, сопротивление Р, Па, и количество воздуха L, м3/с, проходящего по воздуховодам на всасывающей и нагнетающей стороне кондиционера;
из формулы Р = кL2 определить аэродинамическую характеристику "К" сети воздуховодов вcаcывающей и нагнетательной стороны кондиционера воздуха;
найти по аэродинамической характеристике суммарное аэродинамическое сопротивление воздуховодов нагнетающей и всасывающей сторон при требуемом расходе воздуха.
Если аэродинамическое сопротивление воздуховодов при требуемом расходе больше свободного напора кондиционера, необходимо разработать мероприятия по уменьшению сопротивления воздуховодов или рекомендовать установку дополнительного вентилятора, работающего последовательно.
После увязки аэродинамического сопротивления вентиляционных сетей, присоединенных к кондиционеру воздуха, со значением свободного напора, развиваемого его вентилятором, с помощью дросселирующих устройств в системе воздуховодов или воздушных клапанов кондиционера воздуха обеспечивают требуемую подачу и необходимый расход наружного воздуха.
7.164. Испытания и наладку воздухонагревателей проводят согласно рекомендациям пп. 4.30 - 4.53. Следует иметь в виду, что каталожная теплопередача воздухонагревателей согласно ГОСТ 10808-73 дана при начальных температурах теплоносителя 95 °С и воздуха 21 °С. Фактическую теплоотдачу воздухонагревателей сравнивают с требуемой в расчетных условиях.
ИСПЫТАНИЕ И НАЛАДКА ХОЛОДИЛЬНЫХ МАШИН
Цель испытаний и наладки холодильных машин кондиционеров - обеспечение требуемой их холодопроизводительности при расчетных температурах охлаждаемого объекта и охлаждающей воды (воздуха). Требуемая холодопроизводительность должна быть достигнута при работе машин в оптимальном режиме. Если фактическая холодопроизводительность машин меньше требуемой, должен быть выполнен анализ режима работы машины и разработаны мероприятия по обеспечению требуемой холодопроизводительности.
7.165. Подготовка холодильной машины к испытаниям. До пуска холодильной машины в работу необходимо:
ознакомиться с инструкцией завода-изготовителя по эксплуатации данной холодильной машины;
изучить устройство и компоновку холодильной машины;
с помощью галоидной лампы (течеискателя) проверить машину на герметичность, обратив внимание на те места, где имеются подтеки масла.
При обнаружении утечек в местах, доступных для подтягивания соединений, двумя ключами, но без применения рычагов, подтягивают соединение. Если невозможно устранить утечку (например, в корпусе вентиля, аппарата), составляют акт, который заказчик отправляет на завод.
Перед включением машины проверяют положение запорных вентилей на газовых и жидкостных линиях хладона. Запорные вентили-тройники у компрессора открывают полностью, вращая шпиндель против часовой стрелки до упора, затем вращают его на пол-оборота по часовой стрелке, чтобы соединить всасывающие и нагнетательные полости машины с приборами защиты или манометрами. Остальные вентили открывают полностью. Перед открытием (закрытием) любого вентиля рекомендуется на пол-оборота ослабить гайку сальника. После закрытия (открытия) вентиля поджать гайку (тем самым будет обеспечена долговечность работы сальника). Открытие и закрытие запорных вентилей, регулировку ТРВ, ослабление и поджатие сальникового уплотнения необходимо выполнять специальными ключами, имеющимися в ЗИЛе, или изготовленными заказчиком по эскизам наладчиков.
До подачи охлаждающей воды необходимо проверить наличие водяного фильтра. Установка его обязательна, если кондиционер имеет устройство для увлажнения воздуха. Отсутствие водяного фильтра может привести к засорению соленоидных и водорегулирующих вентилей и форсунок.
Если подача охлаждающей воды осуществляется по вновь проложенному трубопроводу, необходимо предварительно выполнить его промывку.
Если у холодильной машины не предусмотрены штатные манометры для контроля давлений кипения и конденсации, необходимо выдать заказчику эскизы переходных штуцеров, накидных гаек и трубок, с помощью которых на период испытаний и наладки будут подключены манометры. Для подключения манометров на всех типах холодильных машин как отечественных, так и зарубежных марок предусмотрены штуцеры, как правило, на вентилях-тройниках.
До включения машины испытаниями определяют фактическую тепловую нагрузку (расход и энтальпия воздуха), которая должна быть близкой к расчетной.
Необходимо иметь в виду, что у отечественных автономных кондиционеров, а также у некоторых импортных штатные вентиляторы имеют низкий развиваемый напор и в тон случае, если к кондиционерам подсоединена вентиляционная сеть со значительным сопротивлением, подача кондиционеров по воздуху может быть значительно меньше номинальной. В этих условиях добиться оптимального температурного режима работы холодильной машины нельзя. Кроме того пониженная подача милиционера по воздуху может иметь место из-за неправильного направления вращения рабочего колесе вентилятора. Необходимо проверять правильность направления вращения вентилятора.
К моменту проведения испытаний холодильной машины кондиционера, ранее находившегося в эксплуатации, необходимо выяснить у заказчика виды ремонта, которым подвергалась машина, производилась ли ее дозарядка хладоном, маслом и длительность эксплуатации машины. Полученная информация в случае неудовлетворительной работы машины позволят быстрее выявить и устранить вызвавшие ее причины.
Рекомендуется выполнить ревизию конденсатора водяного охлаждения для определения степени загрязненности внутренней теплопередающей поверхности трубок. Опыт наладки показывает, что часто наблюдается сильное загрязнение водяной полости конденсатора даже в том случае, когда для охлаждения используют воду из водопровода.
Испытаниям холодильной машины и последующим изысканиям мероприятий, обеспечивающих ее эффективную работу, должны предшествовать работы по настройке приборов защиты.
Настройку реле давления имеющих шкалы давлений и дифференциала осуществляют, вращая регулировочные винты до совмещения острия указательных стрелок с серединами рисок, соответствующих требуемым значениям давлений срабатывания и дифференциала. У холодильных машин импортного исполнения защита по вязкому давлению иногда отсутствует. При регулировке датчиков реле давления необходимо использовать поверенные манометры.
Реле высокого давления можно отрегулировать, искусственно повышая давление в конденсаторе уменьшением подачи количества охлаждающей воды или остановкой осевого вентилятора для конденсаторов с воздушным охлаждением. Реле вязкого давления можно отрегулировать прикрытием вентиля на жидкостной линии после ресивера (конденсатора).
Пуск холодильной машины осуществляют на ручном управления. В момент пуска холодильной машины, когда не проверены и не настроены узлы защиты, необходимо постоянно следить за тем, чтобы не было чрезмерно высокого давления конденсации. При двух-трех кратковременных включениях (каждое последующее большей длительности) убеждаются в отсутствии посторонних стуков. В момент пуска возможно величие резких стуков с большой частотой (с частотой вращения электродвигателя компрессора). Причиной этих стуков может быть наличие масла на всасывающей стороне компрессора, которое при длительной остановке машины может скопиться во всасывающем патрубке компрессора в результате стока пленки масла со всей длины всасывающего трубопровода. Если, после кратковременных включений, стук не прекращается, а прослеживается тенденция к его усилению, необходимо пуск машины осуществлять при прикрытом всасывающем вентиле на компрессоре и закрытом вентиле на трубопроводе подачи жидкого хладона в испаритель. После прекращения стука (если он не вызван механическими причинами) открывают вентиль на жидкостной линии хладона, а затем постепенно открывают всасывающий вентиль на компрессоре.
Появление стука в компрессоре после открытия вентилей свидетельствует о наличии гидравлических ударов ("залив" компрессора). В данном случае необходимо прикрыть ТРВ. До регулировки ТРВ необходимо:
проверить правильность монтажа термочувствительного патрона ТРВ. Он должен быть плотно прижат к трубопроводу специальным хомутом и обязательно расположен над горизонтальным всасывающим трубопроводом;
убедиться, что съемные щиты каркаса кондиционера установлены по месту и прочно закреплены.
Проведение испытаний холодильной машины при снятом хотя бы одном щите, оказывающем влияние на организацию потоке воздуха через воздухоохладитель, недопустимо.
При регулировке ТРВ иметь в виду, что в зависимости от типа ТРВ вращение винта настройки по часовой стрелке может приводить к уменьшению перегрева (более позднему началу открытия клапана) или наоборот. При настройке ТРВ винт необходимо поворачивать баз усилий, предварительно отжав сальник. Часто причиной выхода из строя ТРВ является поломка зуба большой шестерни регулировочного устройства при приложении больших усилий на винт настройки при крайних положениях. Если при пуске выяснено, что причины стука в компрессоре не механического характера, после устранения стука необходимо продолжить испытание и наладку машины. При механических причинах стука компрессор должен быть немедленно остановлен и подвергнут ревизии. Одной из причин стуков может быть вскипание масла в картере компрессора в момент пуска машины.
7.166. Общие условия проведения испытаний. испытание холодильных машин следует проводить, при установившемся тепловом состоянии. Время проведения испытания должно быть не менее 1 ч, запись показаний приборов следует производить через каждые 10-15 мин, но не ранее чем черва 40 мин после включения в работу холодильной машины. Подача кондиционера по воздуху должна быть близка к требуемой (± 10 %). Во время теплотехнических испытаний необходимо соблюдать следующие условия работы холодильной машины:
жидкий хладон должен поступать к ТРВ без примеси газов;
пар хладона, засасываемого компрессором, должен быть перегрет (влажный ход компрессора недопустим).
При определении холодопроизводительности холодильной машины должны быть замерены:
температура воздуха по "сухому" и "мокрому" термометрам до и после воздухоохладителя;
температура воздуха по "сухому" термометру до и после конденсатора (при воздушном охлаждении конденсатора);
температура воды до и после конденсатора (при водяном охлаждении конденсатора);
давление кипения и конденсации (по штатным или контрольным манометрам, установленным на период проведения испытаний).
Фактическую холодопроизводительность холодильной машины определяют как среднюю за цикл испытаний при усредненных значениях параметров охлаждаемой и охлаждающих сред.
7.167. Признаки недостаточного количества хладона в системе:
высокая температура перегрева паров на всасывании (всасывающий трубопровод теплый, рука, определяющая температуру всасывающего трубопровода компрессора, почти не ощущает холода);
конденсатор (кожухотрубный) на ощупь теплый по всему корпусу;
более 50 % калачей конденсатора воздушного охлаждения теплые;
температура поверхности жидкостной трубки после ТРВ имеет переменную температуру (то охлаждается, то нагревается), имеет место прорыв газа через ТРВ;
высокая температура нагнетания;
давление хладона в испарителе чрезмерно низкое и его не удается повысить при полном открытии ТРВ (чем больше открывают ТРВ, тем более отепляется трубка после него);
перепад температур между средней температурой обрабатываемого воздуха и температурой кипения более 15-18 °С;
поверхность жидкостной линии после конденсатора (ресивера) периодически меняет температуру;
картер компрессора сильно нагрет, температура выше 40 °С
По данным испытаний холодопроизводительность машины понижена (расход воздуха близок к требуемому).
Совокупность перечисленных признаков, одни из которых проявляются более четко, другие менее ясно выражены, позволяет сделать вывод о недостаточности хладона в системе. Приведенные выше признаки тем более ярко проявляются, чем больше недостает хладона в холодильной машине. Выявленные до начала испытаний отдельные места утечек хладона или следы масла служат дополнительным подтверждением, что причиной неудовлетворительной работы холодильной машины является недостаточное количество хладона в системе.
7.168. Признаки избыточного количества хладона в системе:
высокое давление конденсации;
охлаждающая вода незначительно нагревается в конденсаторе;
корпус конденсатора на ощупь в большей своей части холодный. Только в верхней части конденсатора имеется незначительная нагретая газовая полость (при простукивании ключом корпус конденсатора издает глухой звук);
температура поверхности жидкостной линии близка к температуре отепленной воды после конденсатора, что свидетельствует о наличии большого переохлаждения хладона в конденсаторе;
большее "открытие" ТРВ приводит к "заливу" компрессора, при этом поверхность нагретой полости в конденсаторе увеличивается;
разница между температурой конденсации и температурой воды после конденсатора более 5 °С.
Следует принять следующие меры. Перекачать часть хладона в баллон с надписью "хладов с маслом". При перекачке путем отбора части хладона с нагнетательной стороны работающего компрессора давление конденсации должно поддерживаться не более высоком уровне, чем давление в баллоне. При перекачке с неработающим компрессором баллон должен быть погружен в воду с температурой более низкой, чем температура термодинамического равновесия, установившаяся в системе холодильной машины.
7.169. Признаки загрязнения внутренней теплопередающей поверхности водяным камнем (пылью или грязью для воздушных конденсаторов):
высокое давление конденсации, охлаждающая вода незначительно нагревается в конденсаторе (корпус конденсатора на ощупь в значительной своей части теплый. Это свидетельствует об отсутствии переполнения его хладоном);
переохлаждения хладона не наблюдается (разница между температурой конденсации и температурой воды после конденсатора более 4-5 °С)
Необходимо принять следующие меры:
вскрыть крышки конденсатора и дополнительно визуально убедиться в правильности высказанного предположения. Произвести чистку теплопередающей поверхности трубок.
7.170. Признаки уменьшения подачи охлаждающей воды на конденсатор вследствие засорения водяного фильтра, водорегулирующего клапана, неполного открытия соленоидного вентиля:
высокое давление конденсации, охлаждающая вода значительно нагревается в конденсаторе;
с возрастанием давления в конденсаторе после пуска машины не наблюдается увеличения расхода воды через него.
Необходимо принять следующие меры: последовательно выполнить ревизию водяного фильтра, водорегулирующего вентиля и соленоидного вентиля.
7.171. Признаки наличия воздуха в системе холодильной машины:
высокое давление конденсации, наличие сильной вибрации стрелки манометра, установленного на нагревательной стороне компрессора;
разница между температурой конденсации и температурой воды после конденсатора более 5 °С;
при неработающей машине повышенное давление в конденсаторе. Давление хладона в конденсаторе не соответствует температуре окружающего воздуха (проток воды через конденсатор исключен). Необходимо принять следующие меры:
обеспечить проток охлаждающей воды через конденсатор в течение 1,5-2 ч (компрессор не работает);
из верхней точки конденсатора через воздухоспускную пробку выпустить в атмосферу воздушно-хладоновую смесь. Выпуск осуществляют в несколько приемов до тех пор, пока давление в конденсаторе не станет соответствовать температуре охлаждающей воды.
7.172. Причины пониженного давления кипения. Причинами пониженного давления кипения или его непрерывного снижения, вплоть до момента срабатывания защиты "по низкому давлению", могут быть:
засорение жидкостного фильтра (фильтра-осушителя);
засорение чулка-фильтра перед ТРВ (в некоторых типах ТРВ);
засорение жидкостного трубопровода;
неисправность соленоидного вентиля;
неисправность ТРВ;
недостаточное количество хладона в системе.
Обнаружение любой из указанных выше причин обеспечивается проверкой температуры поверхности жидкостного трубопровода от конденсатора до ТРВ (на ощупь, рукой). После места засорения наблюдается резкое снижение температуры поверхности.
При засорении чулка-фильтра ТРВ весь, корпус ТРВ холодный, холод ощущается уже в месте присоединения жидкостной питающей трубки к ТРВ. Неисправность ТРВ дополнительно может быть проверена путем нагрева в руке термочувствительного баллона. Если при нагреве баллона не наблюдается увеличение расхода хладона через ТРВ (давление кипения не повышается), то ТРВ неисправен и подлежит замене. Недостаточная пропускная способность ТРВ может быть также следствием невозможности его настройки из-за поломки зуба большой шестерни регулирующего устройства. При поломке зуба винт настройки легко вращается при неограниченном числе его оборотов. ТРВ необходимо вскрыть и выполнить его настройку путем непосредственного вращения большой шестерни. Собрать и опробовать в работе. При определенном опыте удается добиться удовлетворительной настройки при одном-двух вскрытиях ТРВ.
При разборке-сборке ТРВ часто имеют место случаи поломки губа большой шестерни зубом малой. Поэтому не рекомендуется у разобранного ТРВ вращать большую или малую шестерни, если механизм настройки ТРВ исправен.
7.173. Прочие неисправности:
отсутствие масла в картере компрессора, которое уходит при включении в работу компрессора. Если в компрессоре, не предусмотрев подогрев масла в картере перед его пуском в работу, то могут иметь место случаи уноса масла. В неработающем компрессоре давление в картере всегда выше, чем в работающем. С увеличением давления концентрация хладона в масле увеличивается. С пуском компрессора давление в картере резко снижается, происходит бурное вскипание масляно-хладоновой смеси и, как следствие, унос масла. После непродолжительной работы компрессора масло возвращается, в картер. Ускорить возврат масла можно путем уменьшения перегрева отсасываемых из испарителя паров.
Вскипание масляно-хладоновой смеси можно наблюдать через стекло контроля за наличием масла в картере;
отсутствие масла в картере. Масло не возвращается спустя 15-20 мин после пуска компрессора. Мало масла в системе. Нормальная циркуляция масла нарушена из-за плохой работы маслосъемных колец поршней или из-за работы компрессора со слишком большем перегревом отсасываемых из испарителя паров. Последняя причина имеет место у холодильных машин с затопленным испарителем;
неисправность клапанов компрессора. Неисправность клапанов может быть выявлена путем ощупывания крышек блоков цилиндров и их боковых поверхностей. При неудовлетворительной работе всасывающих клапанов перегревается крышка блоков цилиндров со стороны всасывания, при неудовлетворительной работе нагревательных клапанов крышка блока нагревается до 110-140 °С. В отдельных случаях изменяется характерный шум от работы клапанов. Следствием неисправности клапанов является пониженная холодопроизводительность машины или повышенная температура кипения по отношению к оптимальной;
влажный ход компрессора. Причинами влажного хода компрессора могут быть неправильная настройка ТРВ, излишнее количество хладона или масла в системе. Влажный ход компрессора характеризуется недостаточным перегревом паров на нагнетании (температура поверхностей картера компрессора холодная, картер переполнен "маслом"). В смотровых стеклах наблюдается "кипение" масла. При значительном заливе, кроме того изменяется характерный шум от работы компрессора - появляются стуки. Работа компрессора с влажным ходом недопустима как по соображениям предотвращения поломки клапанов, гидравлических ударов, гак и по энергетическим. При сухом ходе имеют место более высокие значения действительного холодильного коэффициента;
излишнее количество масла в системе. Путем настройки ТРВ ве удается добиться удовлетворительного перегрева паров на всасывании в компрессоре; перепад температур между кажущейся температурой кипения в испарителе (считываемой о манометра) и температурой паров хладона на всасывании компрессора превышает 15-18 °С. Дальнейшее увеличение перепада до 20-22 °С по-прежнему не дает положительного эффекта.
При температуре кипения в испарителе (по нанометру) ниже нуля (минус 1 - минус 3 °С) не наблюдается обмерзание (покрытие инеем) жидкостного трубопровода после ТРВ. Компрессор по-прежнему работает влажным ходом, картер холодный. В смотровых стеклах картера может наблюдаться барботаж масла.
Указанное выше можно объяснить тем, что излишнее обогащение хладона в испарителе маслом приводит к кажущемуся понижению температуры кипения в испарителе, считываемая с манометра температура кипения не соответствует действительной, температура кипения масляно-хладоновой смеси в действительности выше (за счет повышенной концентрации масла в смеси). Расчетные разности и перепады изменения температур воздуха, на которые ориентируется наладчик при регулировании температурного режима работы установки, в данной случае не обеспечивают желаемого результата. Настройка ТРВ для получения необходимого перегрева может быть выполнена только при таких давлениях в испарителе, когда значения считываемых температур с манометра будут отрицательны. Настройка ТРВ при положительных температурах кипения в испарителе (по манометру) не дает эффекта, так как ТРВ реагирует на фактическую температуру перегрева, которая не может быть определена обычный способом по разнице температур хладона на всасывании в компрессор и температуры, считываемой с манометра. Настраивая ТРВ на перегрев 4-8 °С и выше, по-прежнему имеем недопустимо высокий уровень заполнения испарителя. Машина работает влажным ходом. Ожидаемый перепад температур воздуха в испарителе не обеспечивается. Необходимо излишек масла выпустить из системы (через картер компрессора). Если выпуск излишка приведет к отсутствию возврата масла в картер компрессора, необходимо выяснить и устранить причины, вызывающие неудовлетворительную циркуляцию масла в системе при нормальной зарядке.
Причинами нарушения нормальной циркуляции масла могут быть:
плохая работа маслосъемных колец;
увеличенные зазоры в мотылевых подшипниках (для поддержания требуемого давления смазки приходится осуществлять усиленную циркуляцию масла);
неправильно отрегулированный перегрев паров на всасывании.
Причинами пониженного давления смазки могут быть:
неисправность редукционного клапана;
увеличенные зазоры в мотылевых подшипниках;
излишнее обогащение масла хладоном в картере компрессора (при влажном ходе машины);
завышенная толщина уплотнительной прокладки крышки масляного шестеренного насоса;
некачественная сборка корпуса плунжерного насоса;
загрязнение приемного фильтра масляного насоса.
Нормальный перепад между давлением смазки и давлением в картере составляет 80-150 кПа.
7.174. Зарядка системы хладоном (производится монтажниками, или эксплуатационниками). Дозарядку системы хладоном следует производить при наличии штатных манометров (мановакуумметров) или подключенных на период испытания и наладки холодильной машины. Заказчиком должна быть изготовлена зарядная трубка о накидными гайками и ниппелем под штуцер баллона с хладоном. Эскиз зарядной трубки о накидными гайками и ниппелем выдает наладчики. Следует иметь в виду, что баллоны с хладоном могут иметь штуцеры с различной резьбой. Если отсутствует специальный штуцер на холодильной машине (на стороне всасывания) для подключения зарядной трубки, то необходимо разработать эскиз на изготовление тройника. К тройнику подключают мановакуумметр и зарядную трубку. Выполняя дозарядку системы хладоном, следует учитывать, что режим работы холодильной машины не нарушается, если машина заправлена хладоном на 85-115 % номинального значения. Поэтому при первой дозарядке в систему следует добавить 20-25 % хладона, при последующих - по 15 %. Между выполняемыми дозарядками необходимо делать перерывы по 30-40 мин, в течение которых машина входит в установившийся режим работы. Во время этих перерывов производят настройку ТРВ (ранее открытого полностью). При выполнении дозарядок хладона машина постепенно входит в оптимальный режим работы.
При полной зарядке системы хладоном необходимо рассматривать два случая:
давление в системе полностью отсутствует, в системе возможно наличие воздуха;
давление в системе есть, но оно ниже давленая, соответствующего термодинамическому равновесию хладона при окружающей температуре воздуха. Наличие воздуха в системе исключается.
В первом случае систему вакуумируют до остаточного давления 1333 Па (10 мм рт. ст.), с помощью форвакуумного насосе. После вакуумирования производят зарядку системы по массе согласно паспорту на холодильную машину. Если форвакуумный насос отсутствует, вакуумирование системы допустимо производить рабочим компрессором.
Открывают все запорные вентили на паровых и жидкостных линиях хладона. Система с атмосферой сообщается через штуцер на нагнетательном вентиле - тройнике. Контакты реле блока низкого давления шунтируют. Компрессор пускают в работу. Через штуцер начинает происходить выхлоп паровоздушной смеси в атмосферу. Постепенно начинает закрываться нагнетательный вентиль компрессора, при этом начинает расти сила выхлопа, закрытие клапана производят с такой скоростью, чтобы сила выхлопа, определяемая на слух, была постоянной. Постепенно сила выхлопа уменьшается, клапан закрывают быстрее. После того, как выхлоп газа прекратится (наблюдается только пульсация скоростного напора в выходном сечении штуцера при закрытом нагнетательном клапане), к штуцеру с помощью накидной гайки присоединяют манометр. Окончательное обжатие трубки манометра накидной гайкой производят после нажатия на кнопку "стоп" в момент снижения числа оборотов компрессора.
При выполнении работ по вакуумированию системы с помощью рабочего компрессора нужно быть предельно внимательным, впервые такую работу выполнять только под руководством опытного наладчика. Во избежание порчи приборов контроль давления на низкой и высокой стороне производить с помощью мановакуумметров. Полную зарядку системы и дозарядку ее необходимо производить по массе хладона. Дозарядку масла в холодильные машины производить не нужно, если оно не было частично спущено при выполнении ремонтных работ.
7.175. Определение холодопроизводительности машины. Холодопроизводительность холодильной машины Qоннетто, кВт, определяют по результатам испытаний по формуле
(242)
где Gвозд - подача кондиционера по воздуху, кг/с;
Δφ - изменение энтальпии воздуха при прохождении его через воздухоохладитель, кДж/кг.
Если при испытаниях температурный режим работы холодильной машины отличался от расчетного (требуемого) режима, причем по температуре кипения более чем на 1 °С и температуре конденсации - 2 °С, необходимо пересчитать фактическую холодопроизводительность машины на расчетные (требуемые) условия Qорнетто, кВт, по формуле
(243)
где Qоннетто - холодопроизводительность при условиях испытаний, кВт;
Δtо - разность температур кипения при испытании и расчетных условиях, °С;
Δtк - разность температур конденсации при расчетных условиях и испытаниях, °С
При понижении температуры кипения на 1 °С холодопроизводительность машины снижается на 3,5-4,0 %, а при повышении температуры кипения на 1 °С на 1,5-2,0 %. Наиболее экономичным является режим работы машины с возможно более высокой температурой кипения и возможно более низкими температурами конденсации и переохлаждения.
После проведения комплекса наладочных работ составляют паспорт автономного кондиционера (см. обязательное приложение 37).
7.176. Регулирование температурного режима холодильной машины. Режим работы компрессорной холодильной машины характеризуется температурами кипения tо, конденсации tк, переохлаждения хладона перед регулирующим вентилем tп, всасывания tвс и нагнетания tн. В исправно действующей машине эти температуры являются функциями двух независимых переменных температур; охлаждаемого объекта tоб и охлаждающей среды конденсатора tохл.ср. при установившемся режиме работы каждому значению независимых переменных температур tоб и tохл.ср соответствуют вполне определенные значения tо, tк, tп, tвс и tн. Отклонения этих температур от нормальных значений свидетельствуют о наличии неисправностей в работе машины.
На основании опыта проектирования и эксплуатации холодильных машин систем KB определены расчетные разности температур между обменивающимися теплом средами и пределы изменения температур отдельных сред в аппаратах. Эти данные для разных аппаратов следующие:
для кожухотрубных и других конденсаторов, работающих на однократно используемой воде, последняя должна нагреваться на 5-8 °С (в зависимости от ее стоимости). Температура конденсации должна быть на 5-6 °С выше температуры отходящей вода. Для конденсаторов с ресиверной частью переохлаждение жидкого агента должно быть на 2-3 °С ниже температуры конденсации;
для конденсаторов, работающих на оборотной воде, вода должна нагреваться на 2-3 °С. Температура конденсации должна быть на 5-6 °С выше температуры отходящей воды;
для конденсаторов воздушного охлаждения воздух должен нагреваться на 2-3 °С, температура конденсации должна быть на 10-12 °С выше температуры поступающего воздуха;
для воздухоохладителей непосредственного испарения в автономных кондиционерах температура кипения должна быть ниже средней температуры охлаждаемого воздуха на 15-18 °С;
перегрев паров Δt на всасывании в компрессор для плюсовых температурных условий (tк = 35 °С, tо = 5 °С) должен быть равен 4-8 °С.
Приведенные разности и пределы изменения температур используются в расчетах подавляющего числа отечественных теплообменных аппаратов холодильных установок, но не являются обязательными и могут изменяться в целях экономии эксплуатационных затрат или для достижения меньшей массы и компактности оборудования. Приведенные выше данные в основном характерны и для импортных холодильных машин.
7.177. Пример пересчета холодопроизводительности кондиционера КТА-2,0-045 на каталожные условия.
Каталожные данные. Qок = 9,28 кВт;
Gвк = 2400 кг/ч; tок = 5 °С; tкк = 35 °С.
Данные испытания. Qокнетто = 8,45 кВт;
Gвн = 2400 кг/ч; tон = 2 °С; tкн = 32 °С.
Определяем фактическую холодопроизводительность Qнетто холодильной машины, пересчитанную на каталожные условия по формуле (243):
![]()
Фактическая холодопроизводительность машины в расчетных условиях будет
меньше каталожной на ![]()
По ГОСТ 10808-73 для всех кондиционеров предельное отклонение по холодопроизводительности не должно быть больше - 8 %.
7.178. Испытание и наладка увлажнительных устройств. Увлажнительные устройства отечественных кондиционеров обеспечивают повышение влагосодержания обрабатываемого воздуха на 0,5 - 1,25 г/кг в зависимости от типа кондиционера. В кондиционерах общего назначения увлажнение происходит благодаря подаче пара в поток обрабатываемого воздуха. По конструктивному исполнению увлажнительные устройства - парогенераторы прямого действия. Нагрев воды осуществляется трубчатыми электронагревателями, расположенными в ванне с водой, или лампами инфракрасного излучения. Уровень воды в ваннах обеспечивается водорегулирующими клапанами. До начала испытаний увлажнительного устройства следует проверить:
отсутствие грязи в ванне парогенератора; отсутствие отложения слоя накипи на трубчатых электронагревателях;
уровень воды в ванне и отсутствие засорения переливного отверстия.
Испытание увлажнительного устройства производить спустя 30-40 мин после включения его в работу. Для надежной работы увлажнительного устройства необходимо устанавливать фильтр на линии подпитки водопроводной воды. В импортных кондиционерах для повышения влагосодержания обрабатываемого воздуха используют парогенераторы или форсунки с отражателями, обеспечивающие тонкое диспергирование горячей воды с полным испарением ее в воздушном потоке. При испытаниях воздухонагреватель и холодильная машина не должны работать.
Влагопроизводительность кондиционера определяют при его работе на рециркуляционном воздухе, что позволяет сократить объем инструментальных замеров и расчетов. Замеряются температуры воздуха по мокрому и сухому термометрам до и после кондиционера. По J-d диаграмме определяют значения влагосодержания воздуха до и после кондиционера. Влагопроизводительность Wувл, кг/ч, кондиционера определяют по формуле
(244)
где Gв - подача кондиционера по воздуху, кг/ч;
Δd - приращение влагосодержания обрабатываемого, воздуха, г/кг.
Испытание и наладку фильтров, производить в соответствии с разделом 6, испытание и наладку устройств автоматизация - в соответствии с разделом 8.
7.179. Комплексные испытания системы. Комплексные испытания желательно производить при параметрах наружного воздуха близких к расчетным и при наличия максимальных тепловлагоизбытков в кондиционируемых помещениях. При испытаниях, выполняемых в переходный или холодный период года, количество наружного воздуха уменьшается до значения санитарной нормы. Если позволяют местные условия, кондиционер переводят на работу с полной рециркуляцией. Это позволяет обеспечить тепловую нагрузку на кондиционер, близкую к расчетной. Датчики температуры и относительной влажности настроить на поддержание требуемых параметров воздуха в помещении. В месте установки датчиков в рабочей зоне помещения и в потоке приточного воздуха установить термографы и гигрографы. Чувствительный элемент гигрографа экранировать от прямого воздействия скоростного потока воздуха. Кондиционер включать в работу и комплексные испытания выполнять в течение 6-8 ч. Испытание не следует проводить в день, непосредственно следующий за нерабочим днем, а также в первые 2 ч работы первой смены (при одно- и двухсменной работе). Цикличность работы холодильной машины должна регистрировать наладчика, цикличность работы холодильной машины и коэффициент ее рабочего времени может быть с достаточной точностью определен по форме кривой записи температуры приточного воздуха термографом. На основе средних по времени значений температуры и влагосодержания приточного воздуха и воздуха помещения, подученных в результате обработки термограмм и гигрограмм, определять фактическую тепловлажностную нагрузку и коэффициент рабочего времени холодильной машины. Коэффициент рабочего времени должен быть меньше единицы. На основе гигрограммы могут быть внесены коррективы в тепловой режим работы холодильной машины для изменения ее осушающей способности. Для повышения осушающей способности холодильной машины ее переводят на режим работы при более низкой температуре кипения, чем оптимальная. Машина начнет работать с большим коэффициентом рабочего времени, степень осушки воздуха во время ее работы увеличится. Для уменьшения осушающей способности холодильной машины ее переводят на режим работы при более высокой температуре кипения, чем оптимальная, но при этом коэффициент рабочего времени должен увеличиваться не более чем на 10 %. Работа холодильной машины с повышенной температурой кипения снижает ее осушительную способность, коэффициент влаговыпадения уменьшается. На основе комплексных испытаний определить ассимилирующую способность кондиционера по теплу, достаточность влагопроизводительности его увлажнительного устройства. Необходимо фиксировать параметры воздуха в помещении, которые могут быть обеспечены при наладке кондиционера.
По результатам испытания и наладки СКВ на санитарно-гигиенические (технологические) требования составляют технический отчет с характеристикой оборудования.
8.1. Испытание и наладку САР (см. справочное приложение 36) выполняют после осуществления пусконаладочных работ и аэродинамической, гидравлической и тепловой наладки систем В и КВ.
8.2. Методика и порядок выполнения работ по испытанию и наладке САР приняты из условий аппроксимации объектов регулирования систем В и КВ типовым звеном первого порядка с запаздыванием.
8.3. В состав испытания и наладка САР включаются следующие работы: экспериментальное определение параметров объектов регулирования, проверка устойчивости регуляторе, выбор регулятора, расчет параметров настройки регулятора и проверка показателей качества регулирования.
8.4. До начала испытаний чувствительный элемент регулятора устанавливают в такую зону объекта, чтобы измерительное устройство регулятора обеспечивало регистрацию усредненных значений регулируемого параметра при всех эксплуатационных возмущениях в объекте.
8.4.1. Значение выходной величины объекта регулирования целесообразно регистрировать измерительным устройством регулятора, что позволит уменьшить ошибку при испытаниях. В этом случае допускается измерение других параметров (например, сопротивления в Ом), значения которых строго пропорциональны значениям выходной величины объекта.
Для указанных измерений могут быть также использованы приборы серии КС2, КС4 с записью в прямоугольной координатной сетке. В этом случае необходимо соблюдение следующих условий: класс точности измерительного прибора должен быть не ниже класса точности датчика регулятора, чувствительный элемент прибора устанавливают в непосредственной близости от чувствительного элемента регулятора, при определении динамических параметров объекта постоянные времени и времени запаздывания датчика регулятора и измерительного прибора должны быть соответственно близки по значению.
8.4.2. Параметры объектов регулирования определяют по его статической и динамической характеристикам для каждого расчетного периода. Из статической характеристики определяют коэффициент усиления объекта К0, из динамической - постоянную времени Т0 и запаздывание τ объекта.
Примечание. Под расчетным периодом регулирования понимается календарное время (например, холодный или теплый период года), в течение которого меняющаяся статическая характеристика объекта регулирования совершает свой полный цикл.
8.4.3. Построение общей статической характеристики состоит в последовательном ступенчатом измерении входной величины объекта регулирования (например последовательным перемещением исполнительного устройства с шагом, равным 10 % его максимального хода) и в измерении установившейся при этом выходной величины (например установившегося значения температуры приточного воздуха).
8.4.3.1. При величии статических преобразователей между исполнительным устройством и датчиком их характеристики могут быть включены в общую статическую характеристику объекта регулирования. В этом случае входная величина первого из указанных статических преобразователей используется как входная величина всего объекта регулирования. Так, например, в качестве входной величины всего объекта регулирования могут быть приняты: давление сжатого воздуха, направляемого к позиционеру пневмопривода; перемещение выходного органа электропривода исполнительного устройства и т.п.
8.4.3.2. Построение общей статической характеристики объекта регулирования с постоянными параметрами приведено на рис 33,а.

Рис. 33. Статическая характеристика объектов регулирования температуры приточного воздуха для всего периода регулирования:
а - характеристика
объекта с постоянными параметрами; б - характеристики объекта с переменными
параметрами (температура горячей воды калорифера меняется по графику ТЭЦ); в -
характеристики объекта с переменными параметрами; 1, 2 - рабочие участки
характеристики; кривая ОАвс - экспериментально снятая характеристика при
средних значениях температуры наружного воздуха с рабочим участком АВ
;
прямые Оа
и Bс
рабочие участки, рассчитанные соответственно
для высоких и низких температур наружного воздуха; кривая OMNF - экспериментально снятая
характеристика при высоких значениях температуры наружного воздуха с рабочим
участком ОМ
;
прямая MN
- рабочий участок для средних расчетных
температур недужного воздуха; φ - регулируемый параметр; (Q - температура воздуха);
- перемещение исполнительного устройства
Начало
координат (точка 0) соответствует значению параметра φн
при начальном положении
исполнительного
устройства. В общем случае статическая характеристика звеньев САР, отнесенных к
объекту регулирования, криволинейна. Средний коэффициент усиления определяют по
формуле
(245)
Этому среднему
коэффициенту усиления соответствует статическая характеристика в виде прямой
линии 0С, соединяющей точки о координатами φн,
и φк,
.
Для
криволинейной статической характеристики могут быть выявлены два, три и более
условно линеаризованных рабочих участка, в пределах которых определяются
средние коэффициенты усиления. Рабочий участок I (см. рис. 33,а) имеет
наибольшую крутизну, т.е. φ1 - φн =
φк - φ1, а
.
Следовательно, максимальный коэффициент усиления равен
Статическую характеристику считают линейной, если
(247)
8.4.3.3. Построение общей статической характеристики объекта регулирования с переменными параметрами приведено на рис. 33, б и в. К таким объектам относят теплообменники или другие устройства, к которым подводят среды с меняющимися параметрами. В этом случае статические характеристики объектов регулирования представляют собой семейство кривых и для определения максимального коэффициента усиления Ко.макс выбирают две-три кривые из этого семейства, затем разбивают каждую из них на рабочие участки и рассчитывают Ко для каждого участка по формуле (245). Большее значение Ко принимают за Ко.макс для всего объекта регулирования.
8.4.3.4. Пример определения Ко.макс САР стабилизации температуры приточного воздуха вентиляционной установки, теплообменник которой обогревается горячей водой из теплосети:
задаются диапазонами температур наружного воздуха с высокими (от 10 до 0 °С), средними (от 0 до минус 10 °С) и низкими (от минус 10 до минус 25 °С) значениями;
строят экспериментальную статическую характеристику объекта регулирования ОАВС (см. рис. 33,б) для любого промежуточного значения диапазона температур наружного воздуха, соответствующего по графику теплосети температуре горячей воды;
на полученной
статической характеристике выбирают рабочие участки, в пределах которых
предположительно перемещается исполнительное устройство, для каждого указанного
диапазона температур наружного воздуха: при высоких значениях
, средних
и низких
. Если экспериментальная
статическая характеристика построена в диапазоне средних температур наружного
воздуха, как показано на рис. 33,б, то для расчета коэффициента усиления по
этой характеристике принимают входную
и выходную (φ2 - φ1) величины, а выходные
величины (φ1п - φн) и (φкп
- φ2п) определяют пересчетом для соответствующих,
входных величин
и
. Аналогичный пересчет
пояснен на рис. 33,в, где экспериментальная статическая характеристика ОМ NF снята
в диапазоне высоких температур наружного воздуха, а пересчет осуществляется для
их средних значений. Из экспериментальной статической характеристики определяют
коэффициенты усиления для входной
, выходной (φк
- φн) величин и входной (μк -
μн), выходной (φк - φн)
величин. При неизменных расходах воздуха и горячей воды, температура которой
меняется по графику теплосети, выходные величины других диапазонов наружного
воздуха (например, ΔQa 2.1 р, ΔQa.p) определяют по формулам:
для рабочего участка криволинейной статической характеристики
(248)
для линейной статической характеристики
(249)
где Qa2.1p -
расчетная
разность температур воздуха ва теплообменнике при изменении положения
исполнительного устройства от
до
°C;
Qв1p, Qв1 - соответственно расчетное по графику теплосети и полученное при испытаниях значение температуры горячей воды, подаваемой в теплообменник, °С;
Qa.1р, Qa1 - соответственно расчетное и подученное при испытаниях значение температуры воздуха до теплообменника, °С;
ΔQa1, ΔQa2
- полученная
при испытаниях разность температуры воздуха на теплообменнике соответственно
для положений исполнительного устройства
и
°С;
ΔQaр, ΔQa - соответственно
расчетная и полученная при испытаниях разность температур воздуха на
теплообменнике при изменении положения исполнительного устройства от начального
до конечного
положения,
°С
8.4.3.5. Для рабочих участков, полученных пересчетом и принятых из экспериментальной кривой, рассчитывают коэффициенты усиления по уравнению (246) и большее значение принимают за Ко макс для всего объекта регулирования.
8.4.3.6. Принятые для расчета максимальный и средний коэффициенты усиления объекта регулирования должны быть скорректированы, если не все статические звенья САР (например, позиционер, сочленение между регулирующим устройством и приводом и другие) были учтены в экспериментально снятой общей статической характеристике. Коррекцию выполняют по известным правилам для последовательного и параллельного соединений звеньев САР.
8.4.4. Динамическую характеристику объекта регулирования определяют построением экспериментальной кривой разгона. Построение кривой разгона осуществляют путем записи изменения регулируемой величины во времени после скачкообразного изменения регулирующего воздействия. Величину регулирующего воздействия обычно принимают в пределах 20-100 % максимального расчетного значения и выбирают равной или больше максимального значения скачкообразного эксплуатационного возмущения (например при пуске установки). Увеличение скачкообразного воздействия больше максимального эксплуатационного значения приводит к тому, что получаемый переходной процесс отличается от эксплуатационного, вместе с тем уменьшаются ошибки при измерениях.
8.4.4.1.
Построение кривой разгона начинают при установившемся состоянии в объекте. С
максимально возможной для данной аппаратуры скоростью изменяют значение
входного сигнала объекта регулирования (например, перемещают исполнительное
устройство) на заранее определенное значение от
до
. Момент внесения
регулирующего воздействия (возмущения) отмечают на картограмме прибора. временную характеристику снимают в двух
эксплуатационных режимах (при увеличении и уменьшении регулирующего
воздействия). На картограмме регистрирующего прибора весь период эксперимента
от внесения возмущения до нового установившегося состояния разбивают на 8-12
равных промежутков времени. Для каждого момента времени можно определить
относительное значение регулируемой величины по формуле
(250)
где φi - текущее значение регулируемого параметра.
Относительные
значения регулируемого параметра наносят на новую сетку в координатах
(относительная величина регулируемого
параметра - время). Линия, соединяющая точки
для каждого момента времени,
характеризует кривую разгона объекта регулирования (рис. 34) или график его
переходной функции. Такая кривая разгона I называется тарированной,

Рис. 34. Аппроксимация кривой разгона объекта регулирования типовым звеном первого порядка с запаздыванием:
1 - тарированная экспериментальная кривая разгона объекта регулирования; 2 - аппроксимирующая кривая разгона;
φр, φи - соответственно ординаты аппроксимирующей и экспериментальной кривых разгона
По тарированной
кривой разгона определяют время t(0,7) и t(0,33), соответствующее
относительным значениям регулируемого параметра
и
.
Вычисляют время запаздывания
(251)
и постоянную времени
(252)
8.4.4.2.
Проверяют правильность построения кривой разгона и расчета параметров Т0
и τ для двух промежуточных значений времени t(0,55) и t(0,865) путем сравнения ординат
тарированной экспериментальной кривой разгона φn
с
соответствующими ординатами аппроксимирующей кривой
.
Указанные промежутки времени с момента внесения регулирующего воздействия и
соответствующие им ординаты аппроксимирующей кривой разгона составляют:
для t(0,55) = 0,8 Т0
+ τ
;
для t(0,865) = 2 Т0 +
τ
,
где τ и Т0 вычисляют по формулам (251 и 252).
Сравниваемые ординаты не должны отличаться более чем на 10 %.
8.4.5. При наличии в САР нескольких источников регулирующего воздействия (например, для регулирования температуры "точки росы" в кондиционере используют теплоноситель, смесь наружного и рециркуляционного воздуха, хладоноситель) Ко, Ко. макс, Т0, и τ следует определять для каждого источника регулирующего воздействия в отдельности. В этом случае полученные данные по объекту регулирования используют либо для расчетов параметров настройки регулятора в каждом режиме работы установки (в холодном, переходном, теплом), где используются соответствующие источники регулирующего воздействия и исполнительные устройства, либо для выбора тех значений Ко, Ко. макс, Т0, и τ, по которым могут быть подобраны единые параметры настройки регулятора.
8.5. Проверка устойчивости САР.
8.5.1. Проверка устойчивости САР позволяет убедиться в правильности выбора типов и модификаций приборов и механизмов, используемых для комплектации регулятора. Эта проверка служит для подтверждения правильности выбора оборудования и технологической схемы обработки воздуха, а также для выбора мероприятий по повышению эффективности и качества регулирования САР. Исходными данными для проверки устойчивости являются:
экспериментально полученные параметры объекта регулирования (принята аппроксимация объекта типовым звеном первого порядка с запаздыванием);
максимальные эксплуатационные возмущения;
заданные параметры качества регулирования;
требуемый вид переходного процесса.
Примечание. При проверке устойчивости и определении параметров настройки импульсных регуляторов их технические характеристики преобразуют и численно приравнивают к соответствующим характеристикам непрерывных регуляторов того же закона регулирования.
Проверка устойчивости САР осуществляется в зависимости от используемого в регуляторе закона регулирования (см. справочное приложение 36).
8.5.2. Рп-регуляторы. Для использования Рп-регуляторов необходимо, чтобы амплитуда Δφ отклонения регулируемой величины от заданного значения была равна или меньше динамической точности CAP Δ':
(253)
где l ≈ 2,718.
8.5.3.
Рс-регуляторы непрерывного действия. Проверяют возможность настройки
нечувствительности регулятора меньше заданной статической точности, т.е. ε
< Δ. Если техническая характеристика регулятора не
позволяет обеспечить последнее условие, увеличивают заданное значение
статической точности либо меняют датчик регулятора. Затем подсчитывают
предельное значение скорости выходного устройства привода
, исходя из
заданного времени переходного процесса tp
и
фактического максимального скачкообразного эксплуатационного возмущения в
единицах регулируемого параметра Δφмакс:
(254)
где
- перемещение выходного устройства привода,
принятое для расчета Ко.ср, %;
Тс
- время
перемещения выходного устройства привода от
до
, с.
По условию (254) и характеристике регулятора для дальнейших расчетов принимают минимально возможное значение скорости

Устойчивость САР и соответствие технических характеристик регулятора требуемым проверяют по диаграмме (рис. 35), исходя из расчетных значений

Устойчивость САР,
включающий в себя Рс-регулятор, повышается при уменьшении скорости перемещения
выходного устройства привода
- и увеличении нечувствительности регулятора
ε.
8.5.4. Рс-регуляторы импульсного действия. Аналогично для Рс-регулятора непрерывного действия определяют возможность настройки нечувствительности регулятора из условия ε < Δ и при необходимости принимают технические решения, обеспечивающие указанное условие.
Из технической характеристики регулятора определяют минимальное время импульса tuм и проверяют выполнение недопустимости перерегулирования:
(255)
где Тм - время полного перемещения выходного устройства.
Если условие
(255) не соблюдается, то либо изменяют технические характеристики регулятора,
например, уменьшают скорость выходного устройства привода, либо заменяют
соответствующий прибор в функциональном блоке регулятора, например,
устанавливают другой импульсный прерыватель, имеющий требуемое время импульса.
Затем рассчитывают минимально возможное среднее значение скорости перемещения
выходного устройства привода при его циклической работе
, %/с,
исходя из времени импульса tuм и скорости непрерывного
перемещения выходного устройства привода 100/Тм, в %/с,
принятых в условии (255), а также исходя из времени цикла Тц,
с:
(256)
Время цикла принимают максимально возможным исходя из технической характеристики регулятора, заданного времени переходного процесса tp и максимального скачкообразного эксплуатационного возмущения Δφмакс:
; (257)
. (258)
Далее подсчитывают величину
,
по которой в зависимости от τ/Т0 по диаграмме (см. рис. 35) определяют устойчивость САР и возможность регулятора обеспечить заданный вид переходного процесса регулирования.
Устойчивость САР с импульсным Рс-регулятором повышается при увеличении времени цикла Тц, уменьшении времени импульса tим и увеличении нечувствительности регулятора ε.

Рис. 35. Диаграмма настройки Рс-регуляторов непрерывного действия в САР:
1 - с минимальным временем; 2 - без перерегулирования; К0.макс - максимальный коэффициент усиления объекта регулирования; Тс - время непрерывного перемещения исполнительного устройства из начального в конечное положение (для импульсных регуляторов вместо Тс принимается Тс.им)
8.5.5.
И-регулягоры непрерывного действия. Проверяют возможность настройки
нечувствительности регулятора из условия ε < Δ. По технической
характеристике регулятора принимают для дальнейших расчетов максимально
возможное значение настройки постоянной времени интегрирования Ти.
Затем по диаграмме (рис. 36) проверяют устойчивость САР и возможность
регулирования для значений
и
.

Рис. 36. Диаграмма
настройки И-регуляторов непрерывного действия в САР (в координатах
;
):
1 - с 20%-ным перерегулировавием; 2 - без перерегулирования; Ти - постоянная времени интегрирования (для импульсных регуляторов вместо Ти принимается Ти.им)
Если параметр настройки
регулятора имеет размерность
, то
для проверки устойчивости принимают Ти.о = 100 Ти.
Устойчивость САР с И-регулятором повышается при увеличении постоянной времени
интегрирования Ти и увеличении нечувствительности регулятора
ε.
8.5.6. И-регуляторы импульсного действия. Определяют возможность настройки требуемой нечувствительности регулятора ε < Δ.
Задают минимальное время постоянного импульса tим и импульса автоматической коррекции tоим исходя из технической характеристики регулятора и соблюдая при этом условия недопустимости перерегулирования:
. (259)
Примечание. Под автоматической коррекцией импульса понимается автоматическое изменение длительности импульса tим.макс в зависимости от принятого значения tоим и отклонения регулируемого параметра от заданного значения:
, (260)
где Δφв - эксплуатационное возмущение в единицах регулируемого параметра.
Исходя из технической характеристики регулятора принимают максимальное значение времени цикла Тц и подсчитывают постоянную времени интегрирования:
. (261)
Для значении Ко.макс/Ти.им и τ/Тс по диаграмме (см. рис. 36) проверяют устойчивость САР и возможность регулятора обеспечить заданный переходной процесс регулировки.
Устойчивость САР с импульсным И-регулятором повышается при уменьшении времени импульса tим, tоим, а также при увеличении времени цикла Тц и нечувствительности регулятора ε.
8.5.7. П-регуляторы непрерывного действия. Первоначально определяют заданное значение магической ошибки в масштабе по возмущению
, (262)
где φст - заданное значение статической ошибки в единицах регулируемого параметра;
Δφмакс, φ0макс - соответственно скачкообразное и медленно меняющееся максимальное возмущение в единицах регулируемого параметра.
Из условия применимости П-регулятора для заданной статической ошибки
(263)
вычисляют произведение коэффициента пропорциональности на максимальный коэффициент (Кр·Ко.макс).
Исходя из (Кр·Ко.макс) и τ/Т0 по диаграмме (рис. 37) определяют устойчивость САР.

Рис. 37. Диаграмма настройки П-регуляторов непрерывного действия в САР:
1 - с 20%-ным перерегулированием; 2 - без перерегулирования
Устойчивость САР при использовании П-регулятора увеличивается при возрастании заданного значения статической ошибки и уменьшении эксплуатационного возмущения.
8.5.8. ПИ-регуляторы непрерывного действия. В зависимости от τ/Т0 и принятого вида переходного процесса регулирования по диаграммам (рис. 38, 39) находят значение КрКо.макс и Ти/τ, где Ти - время изодрома, с.

Рис. 38. Диаграмма настройки ПИ-регуляторов непрерывного действия в САР для процесса без перерегулирования

Рис. 39. Диаграмма настройки ПИ-регуляторов непрерывного действия в САР для процесса с 20 % перерегулированием (координаты Tи/τ, Кр·Ко.макс и τ/Т0)
Устойчивость САР определяют по диаграмме на рис. 40.

Рис. 40. Границы устойчивости САР с ПИ-регуляторами непрерывного действия:
Ти - постоянная времени интегрирования (время изодрома); τ - время запаздывания
Устойчивость САР о ПИ-регуляторами повышается при увеличении времени изодрома Ти и уменьшении коэффициента пропорциональности регулятора Кр.
8.6. Наладка регуляторов.
8.6.1. После пусконаладочных работ (см. раздел 1, "Основные положения") дальнейшее выполнение наладочных работ зависит от результатов проверки устойчивости САР. Если САР неустойчива или вид ее переходного процесса и параметры качества регулирования не удовлетворяют заданным значениям, наладочные работы начинают с изысканий и выполнения технических мероприятий, позволяющих изменить параметры объекта регулирования, либо выбирают другой регулятор.
8.6.1.1. К техническим мероприятиям, позволяющим изменить значения параметров объекта регулирования, можно отнести изменение статической характеристики исполнительного устройства (уменьшение Ко.макс), перестановку чувствительного элемента регулятора в другую характерную точку объекта (изменение величин Ко, Т0, τ) и ряд других мероприятий.
8.6.1.2. Закон регулирования может быть выбран по диаграммам показателей качества САР (рис. 41 - 44), по τ/Т0 и заданным параметрам качества. В указанных диаграммах параметры качества регулирования выражены в масштабе возмущения по нагрузке (x, x1, хст, Δх) и в масштабе времени (t*p/τ, tp/τ):
, (265)
, (266)
, (267)
, (268)
где φ1, φ2 - соответственно первоначальное (максимальное) и последующее (вторичное) отклонения регулируемой величины в переходном процессе регулирования, выраженные в единицах регулируемого параметра;
t*p,. tp - соответственно время первого полупериода колебания и всего переходного процесса регулирования;
τ - запаздывание.

Рис. 41. Зависимость
для САР без перерегулирования:
х1, хст - соответственно отклонение регулируемого параметра и статическая ошибка в масштабе возмущения по нагрузке; Рс, П, И, ПИ, ПИД - названия регуляторов (законы регулирования)

Рис. 42. Зависимость
для САР без перерегулирования:
tp - время переходного процесса

Рис.
43. Зависимость
для САР с 20% перерегулированием:
Х1, Хст - соответственно отклонение регулируемого параметра в первом полупериоде и статическая ошибка в масштабе возмущения по нагрузке

Рис.
44. Зависимость
для САР с 20% перерегулированием:
tp - время первого полупериода переходного процесса регулирования
Для каждого вида переходного процесса регулирования используют две диаграммы показателей качества. Первоначально на рис 41, 43 выбирают закон регулирования исходя из τ/Т0 и Х1 (для П-регулятора принята функциональная зависимость от Хст ), затем по рис. 42, 44 выбранный закон регулирования подтверждается исходя из τ/Т0 и времени переходного процесса, выраженного в масштабе времени. Показатели качества САР с принятым регулятором должны быть по ординате выше заданных значений. В противном случае следует пересмотреть требования к переходному процессу либо изменить параметры объекта регулирования.
Если заданным условиям удовлетворяют два и более закона регулирования, последний выбирают из экономических соображений.
8.6.2. Для устойчивой САР завершающим этапом наладки являются определение и установка параметров настройки регулятора. Предлагаются два варианта по определению параметров настройки регуляторов.
8.6.2.1. Определение параметров настройки регуляторов по диаграммам.
Рп-регуляторы
Устанавливают нечувствительность
регулятора несколько меньше динамической точности Δ', т.е. ε
< Δ, и определяют
в масштабе максимально регулирующего
воздействия:
(268)
По τ/Т0 и ε из диаграммы на рис. 45 находят комплекс
![]()
где ![]()
из которого определяют период автоколебаний Та.
По тем же
значениям ![]()

Рис. 45. Зависимость периода колебаний в САР c Рп-регуляторами:
ΔМ - максимальное эксплуатационное возмущение; μмакс - перемещение исполнительного устройства, соответствующее максимальному эксплуатационному возмущению
на диаграмме рис. 46 находят амплитуду А в масштабе максимального регулирующего воздействия и амплитуду отклонения Δφ в единицах регулируемого параметра:
(269)
Полученные
значения Та и Δφ сравнивают с их заданными
значениями и в случае необходимости меняют параметры настройки регулятора
или параметры объекта регулирования Ко.ср,
То, τ.

Рис. 46. Зависимость амплитуды колебаний в САР с Рп-регуляторами
Рс-регуляторы непрерывного действия
Нечувствительность регулятора устанавливают меньше требуемой статической точности ε < Δ.
Из общей
статической характеристики объекта регулирования определяют и устанавливают
требуемые пределы перемещения выходного устройства привода, обеспечивающие
работу исполнительного устройства от
до
. По
заданному виду переходного процесса и по
из диаграммы на рис. 35
находят величину
, из которой
вычисляют необходимое время перемещения исполнительного устройства Тс.
Затем рассчитывают и устанавливают необходимую скорость перемещения выходного
устройства привода регулятора
(270)
Рс-регуляторы импульсного действия
Нечувствительность регулятора устанавливают меньше требуемой статической точности:
ε < Δ. Подсчитывают максимально допустимое значение импульса:
Из общей
статической характеристики объекта регулирования определяют необходимые пределы
перемещения исполнительного устройства
и соответственно устанавливают требуемые
пределы перемещения выходного устройства привода. Используя заданное значение Тм
(из технической характеристики регулятора), вычисляют время непрерывного
перемещения исполнительного устройства Тс:
(272)
Далее,
аналогично Рс-регулягорам непрерывного действия, задают вид переходного
процесса и по
находят из диаграммы на рис. 35
величину
из которой подсчитывают необходимое время
импульсного перемещения выходного устройства привода Тс.им,
связанного с параметрами настройки регулятора:
(273)
И-регуляторы непрерывного действия
Нечувствительность регулятора и пределы перемещения исполнительного устройства устанавливают аналогично Рс-регуляторам.
По значению
и принятому виду переходного процесса из
диаграммы на рис. 36
находят величину
, из которой
вычисляют отношение скорости перемещения исполнительного устройства ([% хода
H.У.]/с) к единице
измерения регулируемого параметра
где
Ти - постоянная времени интегрирования.
При необходимости определяют максимальную скорость перемещения исполнительного устройства по формуле
(274)
И-регуляторы импульсного действия
Нечувствительность регулятора и пределы перемещения исполнительного устройства устанавливают аналогично Рс-регуляторам непрерывного действия. По формуле (271) подсчитывают максимально допустимый импульс tим, значение которого устанавливают вручную. В процессе регулирования величина tим остается постоянной.
Максимально допустимый импульс автоматической коррекции определяют по формуле
(275)
Затем
аналогично И-регулятораы непрерывного действия задают вид переходного процесса
и по значению
из диаграммы на рис. 36
находят значение
, из
которого подсчитывают постоянную времени интегрирования Ти.им,
определяют время цикла Тц и паузы tn по
формулам:
(276)
(277)
где tим.макс - время максимального импульса, с,
tим.макс = t°им Δφмакс + tим.
П-регуляторы непрерывного действия
По значению
и принятому виду переходного процесса из диаграммы на рис. 37
находят значение Кр·Ко.макс. Из Кр·Ко.макс
подсчитывают коэффициент пропорциональности (передачи) регулятора Кр,
имеющий размерность ![]()
Степень неравномерности (пределы пропорциональности) регулятора определяют в зависимости от используемых приборов по следующим формулам:
в единицах регулируемого параметра на процент хода исполнительного устройства
(278)
в единицах регулируемого параметра
(279)
в процентах шкалы регулятора
(280)
где Δφш - максимальное числовое значение параметра на шкале регулятора (измерительного прибора).
При максимальных скачкообразных и медленно меняющихся эксплуатационных возмущениях, равных регулирующему воздействию, т.е. при (Δφмакс + φ°мак) ≥ (φк - φн), степень неравномерности регулятора должна удовлетворять условию:
(281)
где Δ - статическая точность.
Степень неравномерности регулятора устанавливают таким образом, чтобы при среднем воздействии и заданном значении регулируемого параметра положение исполнительного устройства занимало бы среднее положение от значения принятого перемещения
![]()
ПИ-регулягоры непрерывного действия
По
и принятому виду переходного процесса из диаграмм на рис.
38, 39
находят значения Кр Ко.макс и
Из Кр
Ко.макс подсчитывают коэффициент пропорциональности (передачи)
регулятора Кр, и аналогично, как для П-регуляторов, определяют
степень неравномерность регуляторов. Из
подсчитывают постоянную времени интегрирования (время изодрома).
8.6.2.2. Определение параметров настройки регуляторов по методу предельных колебаний.
Рс- и И-регуляторы непрерывного действия
Нечувствительность регулятора и пределы перемещения выходного устройства привода определяют и устанавливают, как указано в расчете, по диаграммам. Произвольно устанавливают относительно большое время непрерывного перемещения исполнительного устройства Тс и постоянную времени интегрирования Ти. Изменением задания подают скачкообразное возмущение в объект регулирования, равное максимально эксплуатационному возмущению, и наблюдают переходной процесс Испытания повторяют, постепенно уменьшая значения Тс и Ти. Когда установленные значения Тс и Ти приводят переходной процесс к незатухающему колебанию регулируемого параметра в объекте, испытания прекращают.
Параметры настройки регуляторов, при которых возникают незатухающие колебания регулируемого параметра для указанных условий, называются соответственно предельным временем непрерывного перемещения исполнительного устройства Т'с и предельной постоянной времени интегрирования Т'и.
Затем рассчитывают параметры настройки регулятора:
(282)
(283)
где Ко.и - фактическое значение коэффициента усиления объекта регулирования при указанных испытаниях.
Рс- и И-регуляторы импульсного действия
Аналогично, как
указано в расчете, по диаграммам для Рс- и И-регулягоров непрерывного действия
устанавливают нечувствительность регулятора ε и пределы перемещения
выходного устройства привода исполнительного устройства. Затем подсчитывают по (271) и устанавливают в и-регуляторе максимально допустимый импульс tим. и произвольно устанавливают
большее значение
для импульсного Рс-регулятора и
для импульсного И-регулятора. Далее повторяют порядок
указанных испытаний, постепенно уменьшая последующие значения отношения времени
цикла к времени импульса
, а также отношение времени
цикла к времени импульса на единицу регулируемого параметра
по сравнению с предыдущими до тех пор, пока
не возникнут незатухающие колебания регулирующего параметра в объекте.
Установленные при этом предельные отношения обозначим
![]()
Исходя из полученных значений тс и ти рассчитывают параметры настройки:
для импульсных Рс-регуляторов
(284)
(285)
где ![]()
для импульсных И-регуляторов
(286)
(287)
где ![]()
П-регуляторы непрерывного действия
Устанавливают произвольно большую неравномерность регулятора. Затем аналогично Рс- и И-регуляторам непрерывного действия повторяют испытания, уменьшая каждый раз неравномерность регулятора δ. Неравномерность регулятора, при которой возникают незатухающие колебания регулируемого параметра в объекте, называется предельной неравномерностью регулятора δпр данного объекта регулирования. По полученному значению δпр рассчитывают параметр настройки регулятора:
(288)
П-регуляторы импульсного действия
Устанавливают
пределы пропорциональности регулятора из условия δ ≤ 2Δ где
Δ заданная статическая точность поддержания регулируемого параметра. Затем
устанавливают произвольно большое значение
.
Повторяя порядок указанных испытаний, постепенно уменьшают
до значения
, называемого предельным, при
котором возникают незатухающие колебания регулируемого параметра в объекте. По тс
рассчитывают параметры настройки импульсного прерывателя регулятора:
(289)
(290)
где
(291)
Пи-регуляторы непрерывного действия
В регуляторе отключают воздействие по интегралу и определяют предельную неравномерность δпр как для П-регулятора непрерывного действия, фиксируя при этом предельный период регулируемого параметра Рпр. По полученным данным рассчитывают параметры настройки регулятора:
(292)
(293)
где Ти - время изодрома.
Пример определения параметров настройки регуляторов см. в приложении 37.
После установки параметров настройки регуляторов производят их окончательную доводку по результатам эксплуатации и последующих испытаний САР. Необходимость доводки обусловлена тем, что приведенные методы определения параметров, выборе, закона регулирования и параметров настроек регулятора имеют ряд допущений, которые введены .для сокращения времени выполнения наладочных работ.
Испытание САР по определению параметров качества регулирования проводят следующим образом. При установившемся заданном значении регулируемого параметра изменяют задание у регулятора на значение, равное максимальному эксплуатационному возмущению, либо, отключив исполнительное устройство от автоматического управления, подают исполнительным устройствам указанное возмущение, а затем возвращают его к автоматическому управлению. Из полученного переходного процесса регулирования определяют все параметры качества регулирования (см. рис. 4 справочного приложения 36). Переходный процесс регулирования рекомендуется регистрировать записывающим прибором, но могут быть также использованы показывающие приборы. Методика измерения регулируемого параметра аналогична той, которая попользуется для построения кривой разгона объекта регулирования.