Приказ Минприроды России от 30 сентября 2008 г. N 232

Об утверждении Методики по определению стартового размера разового платежа за пользование недрами

(с изменениями от 14 мая 2009 г.)

В соответствии со статьей 40 Закона Российской Федерации от 21 февраля 1992 г. N 2395-1 "О недрах" (Ведомости Съезда народных депутатов Российской Федерации и Верховного Совета Российской Федерации, 1992, N 16, ст. 834; Собрание законодательства Российской Федерации, 1995, N 10, ст. 823; 1999, N 7, ст. 879; 2000, N 2, ст. 141; 2001, N 21, ст. 2061; N 33, ст. 3429; 2002, N 22, ст. 2026; 2003, N 23, ст. 2174; 2004, N 27, ст. 2711; N 35, ст. 3607; 2006, N 17 (ч. I), ст. 1778; N 44, ст. 4538; 2007, N 27, ст. 3213; N 49, ст. 6056; 2008, N 18, ст. 1941; N 29 (ч. I), ст. 3418, 3420) приказываю:

Утвердить прилагаемую Методику расчета минимального (стартового) размера разового платежа за пользование недрами.

Министр                                                                                                                    Ю.П. Трутнев

Зарегистрировано в Минюсте РФ 22 декабря 2008 г.

Регистрационный N 12914

Приложение

Методика
расчета минимального (стартового) размера разового платежа за пользование недрами

Содержание

I. Общие положения

II. Расчет стартового размера разового платежа за пользование недрами

Приложение 1 Порядок расчета Кизуч

Приложение 2 Значения коэффициента Кинфр

Приложение 3 Значения коэффициента Краз

I. Общие положения

1. Настоящая Методика расчета минимального (стартового) размера разового платежа за пользование недрами (далее - Методика) разработана в соответствии со статьями 13.1 и 40 Закона Российской Федерации от 21 февраля 1992 г. N 2395-1 "О недрах" (Ведомости Съезда народных депутатов Российской Федерации и Верховного Совета Российской Федерации, 1992, N 16, ст. 834; Собрание законодательства Российской Федерации, 1995, N 10, ст. 823; 1999, N 7, ст. 879; 2000, N 2, ст. 141; 2001, N 21, ст. 2061; N 33, ст. 3429; 2002, N 22, ст. 2026; 2003, N 23, ст. 2174; 2004, N 27, ст. 2711; N 35, ст. 3607; 2006, N 17 (ч. I), ст. 1778; N 44, ст. 4538; 2007, N 27, ст. 3213; N 49, ст. 6056; 2008, N 18, ст. 1941; N 29 (ч. I), ст. 3418, 3420), постановлением Правительства Российской Федерации от 29 мая 2008 г. N 404 "Об утверждении Положения о Министерстве природных ресурсов и экологии Российской Федерации" (Собрание законодательства Российской Федерации, 2008, N 22, ст. 2581), постановлением Правительства Российской Федерации от 17 июня 2004 г. N 293 "Об утверждении Положения о Федеральном агентстве по недропользованию" (Собрание законодательства Российской Федерации, 2004, N 26, ст. 2669; 2006, N 25, ст. 2723; 2008, N 22, ст. 2581).

Приказом Минприроды России от 14 мая 2009 г. N 128 в пункт 2 настоящей Методики внесены изменения

2. Методика определяет принципы расчета минимального (стартового) размера разового платежа за пользование недрами при подготовке условий проведения конкурсов или аукционов на право пользования участками недр, содержащими полезные ископаемые (далее - стартовый размер разового платежа за пользование недрами), и предназначена для использования Федеральным агентством по недропользованию, его территориальными органами и подведомственными организациями.

Принципы расчета минимального (стартового) размера разового платежа за пользование недрами, установленные настоящей Методикой, рекомендуются для использования органами государственной власти субъектов Российской Федерации при расчете минимального (стартового) размера разового платежа за пользование недрами при подготовке условий проведения аукционов на право пользования участками недр, содержащими месторождения общераспространенных полезных ископаемых.

3. Стартовый размер разового платежа за пользование недрами определяется по каждому участку недр, по которому организуется и проводится конкурс или аукцион (далее - участок недр).

II. Расчет стартового размера разового платежа за пользование недрами

Приказом Минприроды России от 14 мая 2009 г. N 128 в пункт 4 настоящей Методики внесены изменения

4. Стартовый размер разового платежа за пользование недрами при подготовке условий проведения конкурсов или аукционов на право пользования участком недр определяется в соответствии со статьей 40 Закона Российской Федерации "О недрах" следующим образом:

1) В случае проведения конкурса или аукциона на право пользования участком недр федерального значения, содержащим месторождение полезных ископаемых, открытое в процессе геологического изучения юридическим лицом с участием иностранных инвесторов или иностранным инвестором, в отношении которых Правительством Российской Федерации принято решение об отказе в предоставлении права пользования данным участком недр для разведки и добычи полезных ископаемых в соответствии с частью пятой статьи 2.1 Закона Российской Федерации "О недрах", стартовый размер разового платежа за пользование недрами устанавливается как сумма расходов этого лица на поиск и оценку такого месторождения полезных ископаемых.

2) В остальных случаях минимальный стартовый размер разового платежа за пользование недрами устанавливается в размере не менее чем десять процентов расчетной величины суммы налога на добычу полезных ископаемых в расчете на среднегодовую мощность добывающей организации и рассчитывается по формуле:

,

где:

 - минимальный стартовый размер разового платежа за пользование недрами, тыс. руб.;

 - величина суммы налога на добычу полезных ископаемых в расчете на среднегодовую мощность добывающей организации (далее - среднегодовая величина суммы налога на добычу полезных ископаемых), тыс. руб.

В случае наличия на участке недр нескольких видов полезных ископаемых среднегодовая величина суммы налога на добычу полезных ископаемых расчетная рассчитывается по каждому виду полезного ископаемого, после чего полученные результаты суммируются.

Приказом Минприроды России от 14 мая 2009 г. N 128 в пункт 5 настоящей Методики внесены изменения

5. Среднегодовая величина суммы налога на добычу полезных ископаемых определяется по формуле:

1) Для полезных ископаемых, налоговая база при добыче которых определяется как количество добытых полезных ископаемых в натуральном выражении в соответствии со статьей 338 Налогового кодекса Российской Федерации*(1):

,

где:

 (руб.) - средняя величина ставки налога на добычу полезного ископаемого, определяемая как умножение базовой ставки, установленной статьей 342 Налогового кодекса Российской Федерации, на коэффициент, характеризующий динамику мировых цен на добытые полезные ископаемые*(2) (без учета условий применения налоговой ставки 0 процентов, установленных подпунктами 8 - 12 пункта 1 статьи 342 Налогового кодекса Российской Федерации и коэффициента, характеризующего степень выработанности запасов конкретного участка недр, установленного пунктом 4 статьи 342 Налогового кодекса Российской Федерации), за период 6 месяцев, предшествующих дате объявления конкурса или аукциона.

Расчет средней величины ставки налога на добычу полезных ископаемых осуществляется Федеральным агентством по недропользованию по данным Федеральной налоговой службы;

Vср (тыс. тонн, тыс. куб. метров, грамм, карат) - среднегодовая мощность добывающей организации (среднегодовая добыча полезного ископаемого).

2) Для полезных ископаемых, налоговая база при добыче которых определяется как их стоимость в соответствии со статьей 338 Налогового кодекса Российской Федерации:

,

где:

 (руб.) - стоимость единицы добытого полезного ископаемого. При этом добытое полезное ископаемое определяется в соответствии со статьей 337 Налогового кодекса Российской Федерации;

 (тыс. тонн, тыс. куб. метров, грамм, карат) - среднегодовая проектная мощность добывающей организации (среднегодовая добыча полезного ископаемого);

 (%) - ставка налога на добычу полезных ископаемых, установленная налоговым законодательством, без учета условий применения налоговой ставки 0 процентов, установленных подпунктами 8 - 12 пункта 1 статьи 342 Налогового кодекса Российской Федерации.

Расчет среднегодовой величины суммы налога на добычу полезных ископаемых осуществляется Федеральным агентством по недропользованию, его территориальными органами и подведомственными организациями исходя из стоимости единицы добытого полезного ископаемого (Цпи), определяемой по средней рыночной цене его реализации за период 6 месяцев, предшествующих дате объявления конкурса или аукциона.

Средняя цена реализации добытого полезного ископаемого определяется на основании сведений о ценах производителей добытого полезного ископаемого за период 6 месяцев, предоставляемых два раза в год по состоянию на 30 июня и 31 декабря Федеральной службой государственной статистики по запросу Федерального агентства по недропользованию (его территориальных органов), либо определяются Федеральным агентством по недропользованию (его территориальными органами) с учетом данных отчетов о выполненных работах по государственным контрактам, заключенным ими в соответствии с Федеральным законом от 21.07.2005 N 94-ФЗ "О размещении заказов на поставки товаров, выполнение работ, оказание услуг для государственных и муниципальных нужд."*(3) (Собрание законодательства Российской Федерации 2005, N 30, ст. 3105; 2006, N 1, ст. 18, 2006, N 31, ст. 3441; 2007, N 17, ст. 1929; 2007, N 31, ст. 4015; 2007, N 46, ст. 5553; 2008, N 30, ст. 3616; 2008, N 49, ст. 5723; 2009, N 1, ст. 16; ст. 31; 2009, N 18, ст. 2148; 2009, N 19, ст. 2283).

Стоимость добытых полезных ископаемых определяется в соответствии со статьей 340 Налогового кодекса Российской Федерации.

Приказом Минприроды России от 14 мая 2009 г. N 128 пункт 6 настоящей Методики изложен в новой редакции

6. При расчете минимального стартового размера разового платежа за пользование недрами учитываются запасы полезных ископаемых всех категорий в соответствии с Государственным балансом запасов полезных ископаемых, а также прогнозные ресурсы полезных ископаемых, содержащиеся на участке недр. При этом перевод запасов и прогнозных ресурсов полезных ископаемых из низких в более высокие категории осуществляется с использованием формул, включающих в себя коэффициенты, характеризующие достоверность оценки запасов и прогнозных ресурсов полезных ископаемых.

В целях настоящей Методики перевод запасов полезных ископаемых из низших в более высокие категории (промышленные категории) и прогнозных ресурсов полезных ископаемых из низких в более высокие категории осуществляется по формулам:

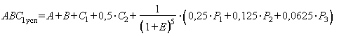
1) извлекаемые запасы нефти, природного газа, газового конденсата:

, где:

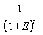
 - поправочный коэффициент, учитывающий сроки проведения работ по геологическому изучению , необходимых для подтверждения и перевода запасов и ресурсов полезных ископаемых из низших в более высокие категории, t1 - принимается 5 лет; t2 - принимается 10 лет.

Е - коэффициент приведения планируемых денежных поступлений, равный ставке рефинансирования Центрального банка Российской Федерации на дату определения размера разового платежа (единиц).

А, В, С1, С2 - объем запасов соответствующих категорий.

С3, Д, Д1, Д2 - объем прогнозных ресурсов соответствующих категорий.

2) запасы твердых полезных ископаемых:

, где

 - поправочный коэффициент, учитывающий сроки проведения работ по геологическому изучению, необходимых для подтверждения и перевода запасов и ресурсов полезных ископаемых из низших в более высокие категории, равный пяти годам.

А, В, С1, С2 - объем запасов соответствующих категорий.

Р1, Р2, Р3 - объем прогнозных ресурсов соответствующих категорий.

Приказом Минприроды России от 14 мая 2009 г. N 128 пункт 7 настоящей Методики изложен в новой редакции

7. Среднегодовая мощность добывающей организации (среднегодовая добыча полезного ископаемого за срок разработки месторождения) Vср определяется Федеральным агентством по недропользованию, его территориальными органами*(4).

Для участков недр с учтенными Государственным балансом запасами полезных ископаемых промышленных категорий среднегодовая мощность устанавливается по материалам технико-экономических обоснований (далее - ТЭО) коэффициента извлечения нефти, газа, конденсата и попутных компонентов, для твердых полезных ископаемых - по материалам ТЭО кондиций, прошедших государственную экспертизу и утвержденных в установленном порядке Федеральным агентством по недропользованию, как отношение объема извлекаемых запасов к сроку разработки месторождения.

В случае отсутствия ТЭО кондиций для участков недр, содержащих запасы твердых полезных ископаемых, среднегодовая мощность определяется в зависимости от величины запасов полезных ископаемых категории АВС1усл, определенных в соответствии с пунктом 6 настоящей Методики по формуле:

, где

З - отношение запасов полезного ископаемого к содержанию полезного ископаемого в руде (тонн).

В случае отсутствия ТЭО коэффициента извлечения нефти для участков недр, содержащих извлекаемые запасы нефти, среднегодовая мощность определяется в процентном отношении от величины извлекаемых запасов, определенных в соответствии с пунктом 6 настоящей Методики в размере:

3,5% от величины извлекаемых запасов - для участков недр с извлекаемыми запасами более 30 млн. т;

5% от величины извлекаемых запасов - для участков недр с извлекаемыми запасами от 3 до 30 млн. т;

6,5% от величины извлекаемых запасов - для участков недр с извлекаемыми запасами до 3 млн. т.

В случае отсутствия ТЭО коэффициента извлечения газа для участков недр, содержащих запасы природного газа, среднегодовая мощность определяется в процентном от величины запасов, определенных в соответствии с пунктом 6 настоящей Методики в размере:

3% от величины извлекаемых запасов - для участков недр с извлекаемыми запасами более 500 млрд. м3;

5% от величины извлекаемых запасов - для участков недр с извлекаемыми запасами от 30 до 500 млрд. м3;

8% от величины извлекаемых запасов - для участков недр с извлекаемыми запасами до 30 млрд. м3.

В случае отсутствия ТЭО коэффициента извлечения газа для участков недр, содержащих запасы газового конденсата, среднегодовая мощность определяется в процентном отношении от величины запасов, определенных в соответствии с пунктом 6 настоящей Методики. Размер процентного отношения для газового конденсата принимается равным процентному отношению для газа.

Для участков недр, содержащих сверхвязкую нефть, соответствующая величина среднегодовой мощности умножается на 0,8.

Приказом Минприроды России от 14 мая 2009 г. N 128 в пункт 8 настоящей Методики внесены изменения

8. Стартовый размер разового платежа за пользование недрами рассчитывается по формуле:

,

где:

 - минимальный стартовый размер разового платежа за пользование недрами, тыс. руб.;

Кинт - интегральный поправочный коэффициент, характеризующий рассматриваемый участок недр.

Для участков недр, содержащих запасы и (или) прогнозные ресурсы твердых полезных ископаемых, интегральный поправочный коэффициент Кинт является произведением значений поправочных коэффициентов:

Для участков недр, содержащих запасы и (или) прогнозные ресурсы нефти, природного газа, газового конденсата, интегральный поправочный коэффициент Кинт является произведением значений поправочных коэффициентов:

,

где:

 - поправочный коэффициент, выражающий степень геологической изученности, порядок расчета которого приведен в приложении 1 к настоящей Методике;

 - поправочный коэффициент, учитывающий состояние инфраструктуры района и основные географо-экономические факторы (близость магистральных трубопроводов, железнодорожных путей, иных видов транспорта и коммуникаций, источников электроэнергии, состояние местной инфраструктуры), значения которого приведены в приложении 2 к настоящей Методике;

 - поправочный коэффициент, характеризующий глубину залегания продуктивного пласта, определяется по формуле:

,

где:

Н - глубина залегания продуктивного горизонта, м. В случае глубины залегания от 6 000 м и более рассматриваемый коэффициент принимается равным 1.

Краз - поправочный коэффициент, учитывающий размерность месторождения полезного ископаемого, значения которого приведены в приложении 3 к настоящей Методике.

_____________________________

*(1) Собрание законодательства Российской Федерации 2000, N 32, ст. 3340; 2001, N 1, ст. 18; N 23, ст. 2289; N 33, ст. 3413, 3429; 2002, N 1, ст. 4; N 22, ст. 2026; N 30, ст. 3021, 3027, 3033; 2003, N 1, ст. 2, 6; N 21, ст. 1958; N 28, ст. 2886; N 52, ст. 5030; 2004, N 27, ст. 2711, 2715; N 30, ст. 3088; N 31, ст. 3220, 3231; N 34, ст. 3517, 3518, 3520, 3522, 3525; N 35, ст. 3607; N 41, ст. 3994; 2005, N 1, ст. 30, 38; N 24, ст. 2312; N 27, ст. 2710, 2717; N 30, ст. 3104, 3118, 3128, 3129, 3130; N 42, ст. 5581; 2006, N 3, ст. 280; N 23, ст. 2382; N 31, ст. 3436, 3443, 3450, 3452; N 45, ст. 4627; N 50, ст. 5279, 5286; N 52, ст. 5498; 2007, N 1, ст. 20, 31, 39; N 13, ст. 1465; N 21, ст. 2462; N 22, ст. 2563, 2564; N 23, ст. 2691; N 31, ст. 3991, 4013; N 45; ст. 5416; N 46, ст. 5557; N 49, ст. 6045, 6071; N 50, ст. 6237, 6245; 2008, N 18, ст. 1942; N 30, ст. 3614.

*(2) устанавливается для нефти в соответствии с пунктом 3 статьи 342 Налогового кодекса Российской Федерации.

*(3) В случае применения настоящей Методики для расчета минимального (стартового) размера разового платежа за пользование недрами органами государственной власти субъектов Российской Федерации при подготовке условий проведения аукционов на право пользования участками недр, содержащими месторождения общераспространенных полезных ископаемых, средняя цена реализации добытого полезного ископаемого определяется на основании сведений о ценах производителей добытого полезного ископаемого, предоставленных Федеральной службой государственной статистики по запросу органа государственной власти соответствующего субъекта Российской Федерации, либо определяются с учетом данных отчетов о выполненных работах по государственным контрактам, заключенным им в соответствии с Федеральным законом от 21.07.2005 N 94-ФЗ "О размещении заказов на поставки товаров, выполнение работ, оказание услуг для государственных и муниципальных нужд".

*(4) В случае применения настоящей Методики для расчета минимального (стартового) размера разового платежа за пользование недрами органами государственной власти субъектов Российской Федерации при подготовке условий проведения аукционов на право пользования участками недр, содержащими месторождения общераспространенных полезных ископаемых среднегодовая мощность добывающей организации определяется органом государственной власти соответствующего субъекта Российской Федерации.

Приложение 1

к Методике

Порядок расчета Кизуч

Расчет коэффициента  для участков недр, содержащих запасы и (или) прогнозные ресурсы нефти, природного газа, газового конденсата, производится по формуле:

Расчет коэффициента  для участков недр, содержащих запасы и (или) прогнозные ресурсы твердых полезных ископаемых, производится по формуле:

,

где:

 - коэффициент для соответствующей категории запасов и прогнозных ресурсов и территории, на которой расположен участок недр, значения коэффициента  приведены ниже;

 - ресурсная база соответствующей х-й категории запасов и ресурсов;

 - общая ресурсная база участка, определяется по формуле:

для углеводородного сырья:

;

для твердых полезных ископаемых:

.

Значения коэффициента Кi для участков недр, содержащих запасы и (или) прогнозные ресурсы твердых полезных ископаемых

Категория изученности

Значения коэффициента Ki

Р3

1

Р2

2

Р1

3

С2

4

ABC1

6

Значения коэффициента Кi для участков недр, содержащих запасы и (или) прогнозные ресурсы нефти, природного газа, газового конденсата

Риск

Территория (акватория)

Категория запасов/ресурсов

Коэффициент, зависящий от

Значения коэффициента (Ki)

степени изученности

экономико-географического положения

Низкий

Старые обустроенные регионы

ABC1

3,0

1

3,00

С2

2,7

2,66

С3

2,1

2,08

Д

1,4

1,44

Средний

Новые регионы, граничащие с обустроенными

ABC1

3,0

0,9

3,00

С2

2,7

2,39

С3

2,1

1,87

Д

1,4

1,30

Высокий

Новые регионы без развитой инфраструктуры

ABC1

3,0

0,8

3,00

С2

2,7

2,13

С3

2,1

1,66

Д

1,4

1,15

Очень высокий

Арктические акватории

ABC1

3,0

0,7

2,50

С2

2,7

1,86

С3

2,1

1,46

Д

1,4

1,01

Приложение 2

к Методике

Значения коэффициента Кинфр

Географо-экономические условия участка недр

Значения коэффициента Кинфр

Весьма благоприятные

3

Благоприятные

2

Неблагоприятные

1

Участки недр с весьма благоприятными географо-экономическими условиями характеризуются удаленностью от дорог общего пользования (в т.ч. железнодорожных и др. коммуникаций, в случае их необходимости для вывоза продукции) и ЛЭП до 10 км, развитой социальной инфраструктурой, наличием свободной рабочей силы, равнинным рельефом с относительными превышениями до 300 м, отсутствием территорий традиционного проживания и хозяйственной деятельности коренных малочисленных народов и других территорий, право пользования которыми ограничено действующим законодательством (земли обороны и безопасности, особо охраняемые территории и т.д.).

Участки недр с благоприятными географо-экономическими условиями характеризуются удаленностью от дорог общего пользования и ЛЭП до 100 км (при необходимости строительства железнодорожных путей для вывоза продукции до 50 км), недостаточностью свободной рабочей силы либо слаборазвитой социальной инфраструктурой, приуроченностью к низкогорным или безводным районам, отсутствием территорий традиционного проживания и хозяйственной деятельности коренных малочисленных народов и других территорий, право пользования которыми ограничено действующим законодательством (земли обороны и безопасности, особо охраняемые территории и т.д.).

Участки недр с неблагоприятными географо-экономическими условиями характеризуются бездорожьем, доставкой грузов вездеходным и авиатранспортом, по автозимнику, отсутствием дорог общего пользования и ЛЭП в радиусе более 100 км, средне- и высокогорным рельефом, значительной развитой речной сетью и/или заболоченностью зон, право пользования которыми ограничено присутствием территорий традиционного проживания и хозяйственной деятельности коренных малочисленных народов и ограничено действующим законодательством (земли обороны и безопасности, особо охраняемые территории и т.д.).

Приказом Минприроды России от 14 мая 2009 г. N 128 настоящая Методика дополнена приложением 3

Приложение 3

к Методике расчета минимального

(стартового) размера разового платежа за

пользование участками недр

Значения коэффициента Краз

Месторождения*

Запасы

Краз

нефти извлекаемые, млн. т.

газа геологические, млрд. м3

Уникальные

Более 300

Более 500

2.5

Крупные

60-300

75-500

2.0

Средние

15-60

40-75

1.5

Мелкие

До 15

До 40

1.0

_____________________________

* Классификация месторождений по величине (объемам) запасов приведена в соответствии с постановлением Правительства Российской Федерации от 11.02.2005 N 69 "О государственной экспертизе запасов полезных ископаемых, геологической, экономической и экологической информации о предоставляемых в пользование участках недр, размере и порядке взимания платы за ее проведение" (Собрание законодательства Российской Федерации". 2005, N 8, ст. 651; 2006, N 32, ст. 3570; 2007, N 5, ст. 663; 2009, N 18 (2 ч.). ст. 2248).".