МЕТОДИЧЕСКИЕ УКАЗАНИЯ
Проведение расчетов фоновых
концентраций
химических веществ в воде водотоков
1 РАЗРАБОТАН |
Гидрохимическим институтом |
|
2 РАЗРАБОТЧИКИ |
О.А. Клименко, канд. хим. наук; В.Ф. Геков, канд. техн. наук; Р.С. Пятницына, О.В. Сергеева |
|
3 УТВЕРЖДЕН |
Федеральной службой России по гидрометеорологии и мониторингу окружающей среды |
|
4 ЗАРЕГИСТРИРОВАН |
ЦКБ ПМП за номером РД 52.24.622 2001 |
|
5 ВЗАМЕН |
"Временных методических указаний по расчету фоновых концентраций химических веществ в воде водотоков" (Л.: Гидрометеоиздат, 1983) |
Содержание
РД 52.24.622-2001
МЕТОДИЧЕСКИЕ УКАЗАНИЯ
Проведение
расчетов фоновых концентраций
химических веществ в воде водотоков
Дата введения 2002-01-01
Настоящие методические указания устанавливают методы проведения расчетов фоновых концентраций химических веществ в воде водотоков в заданных створах.
Методические указания предназначены для оперативно-производственных подразделений Росгидромета, осуществляющих обработку результатов наблюдений на водных объектах, а также проектных организаций министерств и ведомств и других заинтересованных- организаций, имеющих лицензии на проведение расчетов фоновых концентраций химических веществ в воде водотоков или разработку проектов предельно допустимых сбросов вредных веществ в поверхностные водные объекты.
Фоновые концентрации химических веществ, рассчитанные в соответствии с настоящими методическими указаниями, могут быть использованы для нормирования сброса сточных вод для проектируемых, реконструируемых и действующих предприятий, а также при проектировании и осуществлении забора воды из водотоков на различные хозяйственные нужды.
В настоящих методических указаниях использованы ссылки на следующие стандарты:
ГОСТ 17.1.1.02-77. Охрана природы. Гидросфера. Классификация водных объектов
ГОСТ 17.1.1.01-77. Охрана природы. Гидросфера. Использование и охрана воды. Основные термины и определения
ГОСТ 19179-73. Гидрология суши. Термины и определения
ГОСТ 27065-86 (СТ СЭВ 5184-85). Качество вод. Термины и определения
В настоящих методических указаниях использованы следующие термины.
Вертикаль в створе водотока - условная отвесная линия от поверхности воды (или льда) до дна в водотоке, используемая для описания места отбора проб воды в створе или оценок и прогноза качества воды в нем.
Водоток - водный объект, характеризующийся движением воды в направлении уклона в углублении земной поверхности (ГОСТ 19179-73).
Загрязняющее вещество - вещество в воде, вызывающее нарушение норм качества воды (ГОСТ 17.1.1.01).
Качество воды - характеристика состава и свойств воды, определяющая пригодность ее для конкретных видов водопользования (ГОСТ 17.1.1.01).
Максимально загрязненная струя в створе водотока - масса воды с наиболее высоким содержанием загрязняющих веществ, занимающая определенную часть поперечного сечения водного потока.
Нормы качества воды - установленные значения показателей качества воды для конкретных видов водопользования (ГОСТ 27065).
Предельно допустимый сброс - масса вещества в сточных водах, максимально допустимая к отведению с установленным режимом в данном пункте (створе) водного объекта в единицу времени с целью обеспечения норм качества воды в контрольном пункте (ГОСТ 17.1.1.01).
Самоочищение воды - совокупность природных процессов, направленных на восстановление экологического благополучия водных объектов (ГОСТ 27065).
Створ водотока (реки) - условное поперечное сечение водотока, используемое для оценок и прогноза качества воды.
Сточные воды - воды, отводимые после использования в бытовой и производственной деятельности человека (ГОСТ 17.1.1.01).
Фоновая концентрация химического вещества - расчетное значение концентрации химического вещества в конкретном створе водного объекта, расположенном выше одного или нескольких контролируемых источников этого вещества, при неблагоприятных условиях, обусловленных как естественными, так и антропогенными факторами воздействия.
4.1 Расчет количественных значений показателей химического состава и свойств воды водотоков выше проектируемого или действующего выпуска сточных вод (далее для указанных величин используется термин "фоновые концентрации химических веществ") должен периодически проводиться с целью установления оптимальной степени очистки, режима и условий сброса сточных вод, при которых качество воды водотока ниже выпуска сточных вод будет удовлетворять установленным нормам.
4.2 Фоновые концентрации химических веществ рассчитываются для конкретного, задаваемого проектными или другими заинтересованными организациями створа водотока и являются количественной характеристикой содержания веществ в этом створе при наиболее неблагоприятных ситуациях, обусловленных как естественными условиями формирования химического состава и свойств воды, так и влиянием всех источников загрязнения, расположенных выше рассматриваемого створа.
4.3 За фоновую концентрацию вещества Сф* принимается статистически обоснованная верхняя доверительная граница возможных средних значений концентраций этого вещества, рассчитанная по результатам гидрохимических наблюдений для наиболее неблагоприятных гидрологических условий или наиболее неблагоприятного в отношении качества воды периода (сезона) в годовом цикле.
Значение фоновой концентрации вещества Сф* рассчитывается для конкретных створов водотоков и считается статистически обоснованным, если оно определено с доверительной вероятностью Р = 0,95.
4.4 В целях возможности осуществления контроля, проверки и корректировки рассчитанных значений фоновой концентрации вещества Сф*, а также увеличения запаса надежности расчетов разбавления загрязненных вод створ, задаваемый для определения фоновой концентрации вещества Сф*, должен располагаться выше рассматриваемого проектируемого или действующего выпуска сточных вод на 1 км для больших и средних рек1, на 500 м для малых рек.
Если между створом, для которого рассчитываются фоновые концентрации, и створом, где планируется осуществление сброса сточных вод, имеются притоки, то для устьевой части этих притоков фоновые концентрации рассчитываются отдельно.
__________________
1 Имеется в виду классификация рек в соответствии с ГОСТ 17.1.1.02.
4.5 Перечень веществ, для которых требуется рассчитать фоновую концентрацию вещества Сф*, определяется организацией-заказчиком.
4.6 В соответствии с правилами [1] (приложение Д) наиболее неблагоприятными расчетными гидрологическими условиями следует считать:
а) для незарегулированных водотоков - наименьший (минимальный) среднемесячный расход воды года 95 %-й обеспеченности по данным органов Росгидромета;
б) для зарегулированных водотоков - установленный гарантированный расход воды ниже плотины (санитарный попуск) при обязательном исключении возможности обратных течений в нижнем бьефе. В том случае, если систематические наблюдения не проводились, то сначала, пользуясь [2], определяют среднегодовой расход 95 %-й обеспеченности. Затем, учитывая внутригодовое распределение стока реки-аналога или пользуясь схемами внутригодового распределения стока по районам, устанавливают расчетный среднемесячный минимальный расход для этого характерного года.
4.7 Определение фоновой концентрации для любого вещества заключается в нахождении Сф*, соответствующей вышеуказанным расчетным гидрологическим условиям. Для периодически пересыхающих и перемерзающих участков водотоков, а также в том случае, если отсутствует достаточно надежная статистическая связь между концентрацией вещества и расходом речной воды, рассчитывается значение фоновой концентрации вещества Сф* за наиболее неблагоприятный в отношении качества воды период в годовом цикле.
4.8 В случае неравномерного распределения концентрации вещества в сечении заданного створа водотока (например, в зоне неполного смешения речной воды со сточной водой или водой притока) наиболее важным параметром является та Сф*, которая рассчитана отдельно для струи с наиболее высокой концентрацией этого вещества (далее эту струю будем называть контрольной струей или, если речь идет о влиянии на химический состав речной воды конкретного сброса сточных вод, максимально загрязненной струей). Значение фоновой концентрации вещества, полученное в контрольной струе заданного створа водотока, представляют как конечный результат расчета.
4.9 Для расчета фоновой концентрации вещества Сф* используют результаты систематических наблюдений, при получении которых не изменялись:
- методика отбора и анализа проб воды;
- водный режим водотока (зарегулирование, забор воды и т.п.);
- характер поступления рассматриваемых химических веществ на вышерасположенном участке водотока.
4.10 При расчете фоновой концентрации вещества Сф* следует учитывать только те створы наблюдений, где имеются данные не менее чем за один год - при ежемесячной, ежедекадной или еще более дробной системе отбора проб воды; не менее чем за двухлетний период при 6 - 11-разовом отборе проб воды в год; не менее чем за трехлетний период при 4 - 5-разовом отборе проб воды в год. Основное условие - чтобы наблюдения проводились во все характерные сезоны не менее одного года и минимальное число данных в каждом сезоне за расчетный период было не менее трех.
Результаты гидрохимических наблюдений на средних и больших реках в створах, расположенных примерно на 500 м ниже контролируемого выпуска сточных вод, разрешается использовать для расчета только в том случае, если отбор проб воды в них осуществлялся с учетом местоположения максимально загрязненной струи.
Характер наблюдений и состояние водного объекта за выбранный период должны соответствовать требованиям, указанным в 4.9.
4.11 При отсутствии на водотоке створов наблюдений, удовлетворяющих 4.9 и 4.10, расчет возможен только после проведения необходимых дополнительных наблюдений.
Отбор и анализ проб воды водотока проводится в соответствии с требованиями, изложенными в [3, 4].
4.12 Расчетные значения фоновой концентрации Сф* действительны в течение трех лет со дня выдачи официального ответа на запрос, после чего подлежат пересмотру (порядок запросов и ответов рассмотрен в разделе 6). В случае значительного изменения водного режима водотока, а также ввода, закрытия или реконструкции крупных предприятий, сбрасывающих сточные воды на вышерасположенных участках водотока, значения фоновой концентрации вещества Сф* независимо от сроков их установления обязательно корректируются.
5.1 Заданный для расчета фоновой концентрации вещества створ водотока может быть расположен ниже, выше или совпадать со створом, результаты наблюдений в котором соответствуют 4.9, 4.10.
5.2 По специфике вычислительных операций для заданного химического вещества условно можно выделить пять методов расчета, связанных с определением фоновой концентрации вещества Сф*:
1) выделение в заданном створе максимально загрязненной струи;
2) оценка достоверности статистической связи между концентрацией вещества и расходом воды в водотоке (отдельно для максимально загрязненной струи и остальной массы воды в водотоке); расчет фоновой концентрации вещества при наличии достоверной статистической связи между указанными параметрами;
3) расчет фоновой концентрации вещества для случая, когда систематические наблюдения в течение последних трех лет проводились не реже чем один раз в месяц;
4) расчет фоновой концентрации вещества для случаев, когда наблюдения проводились реже чем один раз в месяц;
5) пересчет фоновой концентрации вещества, полученной в створе систематических гидрохимических наблюдений, на другой заданный створ водотока.
5.3 Выделение в заданном створе максимально загрязненной струи проводится только в том случае, если число точек контроля состава воды в рассматриваемом створе превышает единицу1 и объем наблюдений в каждой точке контроля соответствует 4.9, 4.10.
__________________
1Сведения об организации гидрохимических наблюдений в створах водотоков приведены в работах [3-5].
5.3.1 Для каждой точки контроля в створе водотока рассчитывается среднее значение концентрации рассматриваемого вещества по формуле
где Сф(ср) - средняя концентрация вещества в рассматриваемой точке контроля;
Сф,i - i-е значение концентрации вещества в этой точке;
n - число значений Сф,i взятых для определения Сф(ср).
Перед расчетом Сф(ср) из рядов концентраций вещества должны быть удалены аномально высокие или низкие значения концентрации, появление которых может быть связано только с грубыми ошибками при получении информации или аварийными ситуациями на водном объекте.
5.3.2 Точка контроля, для которой полученное значение средней концентрации наибольшее, принимается за основную (опорную). Если концентрация вещества в основной точке контроля существенно отличается от концентраций этого вещества в "соседних" (справа, слева, выше, ниже) точках, то следует считать, что результаты наблюдений в основной точке контроля характеризуют качество воды в максимально загрязненной струе (методы сопоставления выборочных рядов данных указаны в 5.3.3).
Если концентрация вещества в основной вертикали отличается от концентраций этого вещества в одной или нескольких соседних (справа, слева, выше, ниже) точках контроля несущественно, то следует считать, что все эти точки расположены в одной контрольной струе. Для получения единого ряда концентраций, характеризующих состав воды в этой струе, результаты наблюдений, полученные в указанных точках контроля за расчетный период, объединяют и усредняют.
Аналогичное усреднение результатов наблюдений выполняют и для точек контроля, не вошедших в контрольную струю.
Если известно, что происходит периодическое поступление рассматриваемого вещества от какого-либо источника, расположенного выше заданного створа водотока, то следует попытаться выделить контрольную струю путем аналогичного анализа данных, но с учетом только тех периодов, когда может происходить выпуск рассматриваемого вещества из этого источника.
В заданном створе следует выделять не более двух условно изолированных масс воды: контрольную струю и остальную часть речной воды с более низкими концентрациями загрязняющего вещества.
Для каждой выделенной массы воды определяют примерную долю расхода воды водотока в меженный период. Определение последней осуществляют совместно с гидрологами посредством анализа распределения расхода воды в поперечном профиле створа водотока и анализа, местоположения в этом створе точек отбора проб воды, отнесенных к контрольной струе1.
______________________
1 Возможные ошибки при таком ориентировочном выделении расхода воды, относимого к контрольной струе, как правило, полностью компенсируются запасом надежности используемых методов расчета смешения и разбавления загрязненных масс воды в реке. Однако при вновь организуемых исследованиях следует иметь в виду, что правомерность отнесения получаемых значений концентраций ко всей выделяемой относительно однородной по химическому составу массе речной воды будет наиболее высока в тех створах, где отбираются усредненные (составные) пробы воды по всему сечению этой выделенной массы.
5.3.3 Оценку значимости отличия сравниваемых выборок концентраций вещества следует осуществлять с помощью непараметрического статистического критерия Вилькоксона - Манна - Витни (критерий и*) [6].
Сущность данной методики заключается в следующем.
Значения концентраций обеих выборок располагают в общую возрастающую последовательность, например в виде
где x1, ..., х4 - концентрации первой выборки;
у1, ..., у6 - концентрации второй выборки.
Каждому значению концентрации в общей возрастающей последовательности присваивается ранг, например:
|
у1 |
x1 |
х2 |
у2 |
у3 |
у4 |
х3 |
у5 |
у6 |
х4 |
|
1 |
2 |
3 |
4 |
5 |
6 |
7 |
8 |
9 |
10 |
(2)
Если в первой и второй выборках имеются равные значения концентрации, то каждому из них приписывается среднее значение ранга. Например, если х2 = у2, то для рассмотренной последовательности будем иметь:
|
у1 |
x1 |
х2 |
у2 |
у3 |
у4 |
х3 |
у5 |
у6 |
х4 |
|
1 |
2 |
3,5 |
3,5 |
5 |
6 |
7 |
8 |
9 |
10 |
(3)
При х2 = у2 = у3 получим:
|
у1 |
x1 |
х2 |
у2 |
у3 |
у4 |
х3 |
у5 |
у6 |
х4 |
|
1 |
2 |
4 |
4 |
4 |
6 |
7 |
8 |
9 |
10 |
(3а)
Далее отдельно для каждой выборки подсчитывается сумма рангов. Например, для последовательности (3) получим:
- для первой выборки
|
x1 |
х2 |
х3 |
х4 |
|
2 |
3,5 |
7 |
10 |
сумма рангов равна 22,5;
- для второй выборки
|
у1 |
у2 |
у3 |
у4 |
у5 |
у6 |
|
1 |
3,5 |
5 |
6 |
8 |
9 |
сумма рангов равна 32,5.
Значения критерия и* определяют по формулам
,
(5)
где Т1 - меньшая сумма рангов в сравниваемых выборках;
n1 - число значений концентраций в выборке с суммой рангов Т1;
Т2 - большая сумма рангов в сравниваемых выборках;
n2 - число значений концентраций в выборке с суммой рангов Т2.
Например, для последовательности (3) получим
.
(6)
Если число данных в большей из сравниваемых выборок m* менее или равно восьми m* ≤ 8), то рассчитывается теоретическое (критическое) значение критерия иТ по формуле
иТ = (0,448 m* - 0,301)n* - 0,287 m* - 0,204, (7)
где n* - число данных в меньшей из сравниваемых выборок.
Примечание - Результат, полученный по формуле (7), округляется до первого знака после запятой.
В том случае, если рассчитанное значение и* больше иТ, то отличие между сравниваемыми выборками принимается незначимым.
Например, для последовательности (3) m* = n2 = 6; n* = n1 = 4; и* = 12,5; иТ = 11,1. Следовательно, отличие сравниваемых выборок концентраций принимается незначимым (при Р = 0,90).
Если число данных в большей выборке более восьми (m* > 8), то оценка отличия сравниваемых выборок концентраций проводится по критерию z, который представляет собой приближенно нормированную величину, распределенную по нормальному закону:
В том случае, если рассчитанное значение z попадает в интервал -1,28 < z < 1,28, отличие между двумя сравниваемыми выборками концентраций принимается незначимым (при Р = 0,90).
5.4 Оценку возможности установления и использования для расчетов фоновых концентраций статистических связей между концентрацией вещества С и расходом воды в водотоке Q осуществляют в том случае, если на дату отбора проб представлены значения расхода речной воды.
5.4.1 Корреляционный анализ для оценки статистической связи типа С = f(Q) желательно проводить с использованием ПЭВМ. Если данный анализ выполняется "вручную", то для выяснения вида статистической связи (прямолинейная, логарифмическая, экспоненциальная) вначале анализируют характер распределения точек на графике связи С = f(Q). После выбора вида связи проводится корреляционный анализ линеаризованной статистической связи. При использовании ПЭВМ для анализа линеаризованных связей С = f(Q) рекомендуется использовать следующие уравнения регрессии:
|
у = a + bx, |
y = abx, |
|
у = a + bx2, |
|
|
|
y = ab1/x, |
|
у = a + blgx, |
y = axb, |
|
|
|
|
|
|
|
|
|
|
|
|
Статистическая связь принимается значимой, если она удовлетворяет параметрам, приведенным в таблице 1.
Таблица 1 - Критерии оценки качества статистических связей
|
Число членов ряда n |
Коэффициент корреляции r |
|
Категория качества |
|
≤ 15 |
≥ 0,81 |
≤ 0,40 |
Хорошая |
|
|
0,80-0,70 |
0,41-0,70 |
Удовлетворительная |
|
15 < n < 25 |
≥ 0,89 |
≤ 0,45 |
Хорошая |
|
|
0,88-0,66 |
0,46-0,75 |
Удовлетворительная |
|
≥ 25 |
≥ 0,87 |
≤ 0,50 |
Хорошая |
|
|
0,86-0,60 |
0,51-0,80 |
Удовлетворительная |
В таблицу 1 включены параметры:
σ - среднеквадратическое отклонение, определяемое для анализируемого ряда значений концентрации вещества по формуле
; (10)
Sсв - среднеквадратическая погрешность результатов проверочных расчетов значений концентрации вещества по найденному уравнению регрессии, определяемая по формуле
где Сф(р),i - значение концентрации вещества, полученное по уравнению регрессии по тем данным расхода воды в водотоке, при которых была зафиксирована Сф,i:
r - коэффициент корреляции линейной связи между параметрами Сф,i и Qi определяемый по формуле
,
(12)
где Сф,i, Qi - наблюденные i-е значения коррелируемых параметров;
Сф,ср, Qср - среднеарифметические значения этих параметров.
Если при
линеаризации статистической связи параметры Сф,i
и Qi использовались в измененном виде (например, lgСф,i;
; Qi2;
), то в формулу (12) их i-е значения следует
подставлять в том же измененном виде.
В случае наличия достоверной статистической связи С = f(Q) составляют необходимые расчетные зависимости (уравнения регрессии)1.
___________________
1 Способы упрощенного установления статистических связей можно найти в работах [7-10].
5.4.2 Значение фоновой концентрации вещества определяют по формуле2
где С'ф - рассчитанная по уравнению регрессии средняя концентрация вещества, соответствующая условиям расчетного минимального расхода воды в водотоке согласно 4.6;
- возможная погрешность определения С'ф.
__________________
2 При определении С*ф для растворенного в воде кислорода используется формула
.
(13а)
Значение параметра
, вычисляют по формуле
,
(14)
где tSt - коэффициент Стьюдента при Р = 0,95 (значения коэффициента приведены в приложении В).
Примеры расчетов фоновых концентраций представлены в приложений Г.
5.4.3 В створах
водотока, в которых с увеличением расхода воды увеличивается концентрация
рассматриваемого вещества, помимо фоновой концентрации при минимальном
расчетном расходе воды, по уравнению регрессии рассчитывают фоновую
концентрацию вещества, соответствующую как среднемноголетнему расходу воды
, так и наибольшему (максимальному) среднемесячному расходу
воды года 5 %-й обеспеченности
.
5.5 Расчет фоновой концентрации вещества при отсутствии достоверной статистической связи типа С = f(Q) и наличии ежемесячных наблюдений за химическим составом воды не менее трех лет должен выполняться с выделением наиболее неблагоприятных условий в отношении качества воды в годовом цикле по рассматриваемому веществу. Ниже показана последовательность этапов расчета.
5.5.1 В рассматриваемом диапазоне лет из результатов наблюдений исключают непоказательные экстремальные значения. Для этого рассчитывают величины I' и I" по формулам
,
(15)
,
(16)
где Сср, Сmaх, Cmin - соответственно средняя, максимальная и минимальная концентрации вещества за рассматриваемый период;
σ - среднеквадратическое отклонение значений концентрации вещества.
В том случае, если I' > Iн или I" > Iн (где Iн - нормативное значение, определяемое по таблице 2), то взятое для анализа экстремальное значение концентрации вещества исключается из рассматриваемого ряда данных.
Таблица 2 - Предельные значения Iн
|
n |
Iн |
n |
Iн |
n |
Iн |
n |
Iн |
|
3 |
1,150 |
10 |
2,180 |
17 |
2,480 |
50 |
2,860 |
|
4 |
1,460 |
11 |
2,230 |
18 |
2,500 |
200 |
3,076 |
|
5 |
1,670 |
12 |
2,290 |
19 |
2,530 |
250 |
3,339 |
|
6 |
1,820 |
13 |
2,330 |
20 |
2,560 |
500 |
3,528 |
|
7 |
1,940 |
14 |
2,370 |
25 |
2,635 |
|
|
|
8 |
2,030 |
15 |
2,410 |
30 |
2,696 |
|
|
|
9 |
2,110 |
16 |
2,440 |
40 |
2,792 |
|
|
5.5.2 Последний год наблюдений следует принимать за основной. Из предыдущих лет берут данные только за те годы, в которых значения концентрации рассматриваемого вещества несущественно отличаются от значений концентрации за основной год (правила сравнения двух выборок приведены в 5.3.3).
Если для определения фоновой концентрации вещества С*ф выделена контрольная струя, то выбор числа лет для статистической обработки проводят отдельно по данным, характеризующим содержание вещества в контрольной струе, и данным, характеризующим его содержание в остальной массе воды водотока.
5.5.3 Выбранные для расчета фоновой концентрации вещества С*ф данные сводятся в градации по месяцам (число градаций - 12).
Если хотя бы в одном месяце число данных оказалось менее трех, то продолжение расчета возможно только в соответствии с 5.6.
Далее из каждой выделенной градации исключают непоказательные экстремальные значения концентрации согласно 5.5.1.
5.5.4 В выделенных градациях рассчитывают среднюю концентрацию вещества. Месяц с наибольшим значением концентрации вещества принимают за основной (опорный). Если значение концентрации вещества в этом месяце существенно отличается от значений концентрации в остальных месяцах, то верхняя доверительная граница средней концентрации вещества в основном месяце принимается за искомое значение фоновой концентрации вещества С*ф. Формула для расчета фоновой концентрации вещества С*ф имеет вид1:
где Сф(ср) - средняя концентрация вещества в основном месяце;
σ - среднеквадратическое отклонение значений концентрации в этом месяце;
n - число данных в градации.
Если отличие данных в основном месяце от данных в одном или нескольких других месяцах несущественно, то результаты наблюдений, попавшие в несущественно отличающиеся градации, объединяются с результатами наблюдений в основной градации. Для вновь составленной (увеличенной) градации определяют среднюю концентрацию. Верхняя доверительная граница, определяемая по формуле (17), составит искомое значение фоновой концентрации вещества С*ф2.
_____________________
1 Для растворенного кислорода в формуле (17) знак "+" следует заменить на "-".
2 Если полученное значение фоновой концентрации С*ф превышает максимальное наблюденное значение Сф, то это означает, что либо были неправильно выбраны градации (или периоды) временных изменений концентрации вещества, либо при действительно высокой изменчивости значений концентрации вещества в выделенном периоде было проведено недостаточно наблюдений для расчета фоновой концентрации С*ф.
5.6 Расчет фоновой концентрации вещества при наблюдениях реже, чем один раз в месяц, выполняют с учетом возможных версий характерной внутригодовой периодичности (сезонности) изменения концентрации вещества. Последняя может быть связана с особенностями гидрологического, температурного, ледового режимов водотока или совокупности этих и других факторов воздействия. Основное условие при выборе версий - в каждом периоде (сезоне) должно быть не менее трех значений концентрации.
5.6.1 Отдельно в каждой версии в каждом выделенном периоде (сезоне) исключаются непоказательные экстремальные значения концентрации согласно 5.5.1. Затем в каждом выделенном периоде (сезоне) рассчитывают среднее значение концентрации вещества. Период (сезон) с наибольшей средней концентрацией вещества принимают в рассматриваемой версии за основной (опорный). Если значение концентрации вещества в этом периоде существенно отличается от значений концентрации в остальных периодах (сезонах), то верхнюю доверительную границу средней концентрации вещества в основном периоде (сезоне) принимают за предварительно рассчитанную фоновую концентрацию вещества С*ф(п) в данной версии. За искомое значение фоновой концентрации вещества С*ф принимают наибольшее из предварительно рассчитанных значений фоновой концентрации вещества.
Если в рассматриваемой версии данные в основном периоде (сезоне) отличаются от данных в одном или нескольких периодах (сезонах) несущественно, то их объединение и расчет С*ф(п) выполняют согласно 5.5.4.
5.6.2 При наличии в заданном створе выделенной максимально загрязненной струи расчеты, указанные в 5.5.3 - 5.6.1, проводятся отдельно для данных, характеризующих содержание вещества в контрольной струе, и данных, характеризующих его содержание в остальной массе воды водотока.
5.7 Пересчет фоновой концентрации вещества, полученной в створе систематических гидрохимических наблюдений, на другой расположенный ниже по течению створ водотока следует выполнять с учетом процессов смешения и разбавления в водотоке вод боковых притоков и сточных вод, а также процессов самоочищения воды водотока.
5.7.1 В связи с приближенностью существующих методов и моделей количественного описания процессов формирования химического состава речных вод для осуществления рассматриваемого пересчета концентраций химических веществ необходимо учитывать следующие условия.
Заданный для расчета фоновой концентрации вещества С*ф створ должен устанавливаться в соответствии с 4.4.
Время добегания водных масс на участке между створом наблюдения и створом, заданным для определения фоновой концентрации вещества, не должно превышать при расчетных гидрологических условиях для малых и средних рек с расходом воды менее 50 м3/с примерно двух суток (по расстоянию не более 50 км), для средних рек с расходом не менее 50 м3с - трех суток (по расстоянию не более 100 км) и для больших рек - пяти суток (по расстоянию не более 250 км).
При более значительном удалении створа, заданного для определения фоновой концентрации вещества, от створа систематических гидрохимических наблюдений необходимо провести дополнительные наблюдения с целью получения исходной информации для расчета фоновой концентрации вещества в соответствии с 4.4, 4.9 - 4.11.
Примечание - Не рекомендуется проводить пересчет фоновой концентрации растворенного в воде кислорода на нижележащие створы независимо от их местоположения.
5.7.2 Пересчет фоновой концентрации вещества для заданного створа водотока следует проводить с использованием формул:
(19)
В формулы (18)-(21) включены обозначения:
- фоновая концентрация вещества в максимально
загрязненной струе заданного (х-го) створа водотока, мг/дм3;
- фоновая концентрация вещества в начальном
створе наблюдений, мг/дм3;
Снз - концентрация вещества, до которой реально может происходить снижение содержания вещества в воде водотока на рассматриваемом участке, мг/дм3;
Сст,i - концентрация вещества в i-м выпуске сточных вод (или i-м притоке), рассчитанная по результатам наблюдений; при рассмотрении сточных вод значение Сст,i берется с обеспеченностью 20 % (для строящихся предприятий - по проектным данным); если расход сточных вод непостоянен, то при выборе значения Сст,i следует исходить из количества сбрасываемого вещества Сст,i qi (qi - расход сточных вод в i-м выпуске), рассчитанного с той же обеспеченностью; в устьевой части притока значение Сст,i рассчитывается как фоновая концентрация по 5.4-5.6;
Nст - общее количество учтенных источников вещества на рассматриваемом участке водотока;
εст,i - безразмерный коэффициент, учитывающий неконсервативность вещества, поступающего в водоток через i-й выпуск сточных вод (или i-й приток);
εф
- безразмерный коэффициент, учитывающий неконсервативность того же вещества,
используемый при повышенных концентрациях вещества в фоновом створе, т.е. при ![]()
ψi - безразмерный коэффициент,
учитывающий разбавление в водотоке вод i-го выпуска сточных вод (или
i-го притока) в максимально загрязненной струе заданного для расчета
створа.
Если в исходном
для расчета створе, выделены контрольная струя с наибольшей концентрацией
рассматриваемого вещества и остальная масса воды с менее высокой концентрацией,
то при пересчете фоновой концентрации вещества на нижележащий створ в формулах
(18)-(21) за Сст,i
принимается концентрация вещества, полученная в струе с меньшим расходом воды.
Концентрация вещества в струе с бoльшим расходом принимается
за фоновую концентрацию вещества
а сам расход в этой
струе - за расход воды в реке в исходном для расчета створе.
Значения
параметра Снз можно задавать на основании результатов
лабораторных или натурных наблюдений за самоочищением воды водотока. За Снз
можно также принять статистически обеспеченную нижнюю доверительную границу
среднего значения концентрации вещества в выделенном для расчета фоновой
концентрации вещества характерном периоде (сезоне), рассчитанную по результатам
гидрохимических наблюдений в ближайшем створе, расположенном ниже заданного для
расчета фоновой концентрации вещества
створа на
незагрязненном или слабо загрязненном участке водотока.
Для определения параметра Сст,i 20 %-й обеспеченности можно использовать формулы
m20% = 0,2 (n + 1,9), (22)
,
(23)
где m20% - порядковый номер значения Сст,i в ранжированном убывающем ряду;
n - число значений Сст,i взятых для расчета Cст(20%);
Cст(20%) -значение Сст,i 20 %-й обеспеченности;
Δm - дробная часть значения m20% (например, при m20% = 2,25 Δm = 0,25);
- разница между значениями Сст,i
которые соответствуют номерам m20% - Δm и m20% - Δm+1;
- значение Сст,i
в ранжированном убывающем ряду, соответствующее номеру m20% - Δm.
5.7.3 Коэффициент ε можно использовать для расчетов только в тех случаях, когда процессы самоочищения воды водотока от рассматриваемого химического вещества хорошо изучены. При отсутствии надежных данных о самоочищающей способности воды водотока принимается, что ε = 1. Следует однако иметь в виду, что если на участке водотока между створом наблюдения и заданным створом возможно появление дополнительного количества веществ в результате вторичного загрязнения (например, конечным или промежуточным продуктом распада которых может быть рассматриваемое вещество), то это условие не является достаточно "жестким". В случаях, вызывающих такого рода сомнения, следует провести несколько гидрохимических съемок по длине рассматриваемого участка водотока для оценки, по крайней мере, возможности появления случаев вторичного загрязнения. В расчетах допускается принимать, что
(24)
где К - суммарный коэффициент скорости самоочищения воды водотока от рассматриваемого химического вещества1, 1/сут;
τр - примерное время перемещения загрязненных масс воды от створа наблюдений до заданного для расчета фоновых концентраций створа, сут.
______________
1Способы определения коэффициента K можно найти в работе [5].
Параметр τр определяется по формуле
(25)
где Lp - расстояние по фарватеру водотока между рассматриваемыми створами, м;
υmах - максимальная скорость течения поды в водотоке на этом участке при расчетных гидрологических условиях, м/с;
86400 - коэффициент пересчета секунд в сутки.
Если между
коэффициентом скорости самоочищения воды от вещества К и расходом воды
установлена достоверная статистическая связь, то для расчета фоновой
концентрации вещества
используется Кр,
определяемый по формуле
Kp = K' - SK', (26)
где Кp - искомый расчетный коэффициент;
К'- коэффициент К, рассчитанный по уравнению регрессии для Q95%;
SK' - возможная погрешность определения К' по уравнению регрессии.
Параметр SK' - определяется по формуле, аналогичной формуле (11).
При значительном удалении заданного створа от створа наблюдений (τр > 0,1-0,2 сут) параметр К' для таких ингредиентов, как БПКполн, нефтепродукты, СПАВ, фенолы (групповые показатели содержания в воде органических веществ), можно определить по предварительно установленным для зимней межени статистическим связям типа К = f(τр).
При отсутствии
надежных статистических связей типа К = f(Q) или К
= f(τр)1 для расчета фоновой концентрации
вещества
берется К 80
%-й обеспеченности2, определяемый по следующим формулам:
m80% = 0,80 (n + 0,78), (27)
,
(28)
где m80% - порядковый номер величины Кр в ранжированном убывающем ряду;
n - число значений К, взятых для расчета Кр;
Δm - дробная часть значения m80% (например, при m80% = 14,25 Δm = 0,25);
Δk - разница между значениями К, которые соответствуют номерам m80% - Δm и m80% - Δm + 1.
_____________
1 Варьирование величины К в таких случаях может в большей степени зависеть от изменения температуры воды, влияния вторичного загрязнения, изменчивости исходного химического состава сбрасываемого со сточными водами вещества и т. д., чем от гидродинамических характеристик.
2 Выбор указанной обеспеченности вызван необходимостью использования гарантированных минимальных значений коэффициента К, а самого метода - сравнительно малым числом исходных данных.
Обязательным условием для расчета коэффициента К 80 %-й обеспеченности является наличие измеренных значений К на рассматриваемом участке реки при низких и высоких значениях расхода и температуры воды водотока, причем общее количество измеренных значений К за расчетный период должно быть не менее 10.
Кроме того, для веществ, которые могут присутствовать как в загрязненной, так и в незагрязненной воде водотока, необходимо иметь сведения о примерных уровнях концентраций, до которых реально может происходить их снижение в результате химических и биохимических процессов, т. е. сведения о параметре Снз. При отсутствии таких сведений следует принимать, что ε = 1.
Коэффициент εст,i определяется по формуле
(29)
где Кст,i - суммарный коэффициент скорости самоочищения речной воды от рассматриваемого вещества (без учета процессов разбавления вещества), сбрасываемого через i-й выпуск (или i-й приток), 1/сут;
τст,i - время перемещения загрязненных масс речной воды от i-го выпуска (или i-го притока) до заданного для расчета створа, сут.
Требования к определению и использованию величин Кст и εст аналогичны указанным для величин Кр и εф. В сложных ситуациях (несколько сравнительно близко расположенных выпусков сточных вод, наличие контрольной струи в створе наблюдений и т.п.) при расчетах допускается использование коэффициентов К, полученных в условиях лабораторных испытаний с учетом возможных изменений температуры и значений кратности разбавления сточной воды соответствующих выпусков (или притоков).
5.7.4 Вычисление коэффициентов ψi в зависимости от технических возможностей пользователя настоящих методических указаний можно проводить как по упрощенной методике (без использования ПЭВМ), так и по более сложной методике, предназначенной для ПЭВМ. Оба варианта расчета тем не менее позволяют получить достаточно надежные для рассматриваемой задачи значения ψi.
Если при расчетах ПЭВМ не используется, то вычисление значений коэффициента ψi проводят по следующим формулам1:
___________
1С теоретическими основами использованного метода расчета разбавления сточных вод можно ознакомиться в работах [11-14]
а) для загрязненной струи речной воды в заданном створе у левого берега
б) для загрязненной струи речной воды в заданном створе у правого берега
где
υ, Н, В - соответственно средние значения скорости течения (м/с), глубины (м) и ширины (м) речного потока на рассматриваемом участке1;
___________
1Если в пределах участка протяженностью Lx,i, имеются участки реки с существенно отличающимися морфометрическими характеристиками, то для каждого i-го источника в качестве параметров υ, Н, В следует брать их средневзвешенные значения с учетом длины таких участков.
Lx,i
- расстояние по фарватеру водотока от i-го источника до заданного
для расчета фоновой концентрации вещества
створа, м;
qi расход воды в i-м источнике загрязняющего вещества, м3/с;
qi(л) - расход воды в i-м левобережном источнике, м3/с;
qi(пр) - расход воды в i-м правобережном источнике, м3/с;
Dу - коэффициент поперечной дисперсии, м2/с.
Если при расчете по формулам (30), (33) для какого-либо источника вещества окажется, что ψi менее qi/(Q+qi) (где Q - расход воды в реке в начальном створе наблюдений; qi - расход воды в i-м источнике), то следует принимать, что ψi = qi/(Q+qi). Если при расчете по формулам (31), (32) окажется, что ψi более Q/(Q+qi), то следует принимать, что ψi = Q/(Q+ qi).
Далее,
используя одну из формул (18)-(21), выполняют расчет значения фоновой концентрации вещества
отдельно для
левобережной и правобережной струй в заданном створе водотока. За искомое
принимают наибольшее из полученных значений фоновой концентрации вещества
.
При расчетах, ориентированных на использование ПЭВМ, нужно провести ряд дополнительных вычислений и иметь в виду следующие условия:
1) предварительно должно быть рассчитано общее число выделяемых для расчета вертикалей в заданном створе водотока Nв:
(35)
(35а)
где
- наименьший расход
воды среди всех учитываемых источников на рассматриваемом участке реки, м3/с;
2) отсчет местоположения всех учитываемых вертикалей и источников сброса вещества в сечении водотока на рассматриваемом участке требуется вести от левого берега;
3) коэффициент смешения ψij рассчитывается для каждого источника в j-й вертикали заданного створа;
4) для расчета параметра ψij каждый i-й источник разбивается на определенное число условно точечных выпусков, общее число которых для него определяется по формуле
(36)
Примечание - Все значения Ni,ст следует округлять до целого числа.
5) расстояние в сечении реки от левого берега до каждого условно точечного выпуска y0,Ni вычисляется по следующим формулам:
(37)
(37а)
где у0,i - расстояние места i-го выпуска сточных вод от левого берега (при выпуске непосредственно с левого берега у0,i = 0; с правого берега - у0,i = B), м;
- расстояние от левого берега до первого
условно точечного выпуска i-го источника, м;
(38)
где Ni - номер очередного из Ni,ст условно точечного выпуска;
(39)
где
- расстояние от
левого берега до первого условно точечного выпуска i-го источника,
расположенного у правого берега, м;
(40)
(41)
Примечание - Значения параметра
следует округлять до
одного знака после запятой (до десятых).
6) расход воды
в одном условно точечном выпуске
вычисляется по
формуле
(42)
Расчет параметра ψij выполняют по формуле
(43)
где принимается, что ψij = 1, если имеет место условие
(44)
Во всех других случаях


(45)
Примечание - Значения параметров
знака после запятой (до сотых).
Если для i-го источника максимальное из рассчитанных по формуле (43) значений ψij окажется меньше qi/(Q+qi), то следует принять, что для этого источника все значения ψij = qi/(Q+qi).
Во всех случаях следует принимать, что ψij = 1, если в результате расчетов будет выполняться одно из условий
(46)
(47)
Далее,
используя одну из формул (18)-(21), для каждой j-й вертикали рассчитывают
значение фоновой концентрации вещества. За искомое значение
принимают наибольшее
из полученных значений фоновой концентрации вещества в сечении заданного створа
водотока.
5.7.5 Для определения коэффициента поперечной дисперсии Dy используют следующие формулы1:
___________________
Формула (48) рекомендована для расчета разбавления сточных вод в работе [15].
а) при наличии сведений о радиусе кривизны русла Rизд ниже рассматриваемого места выпуска сточных вод (или впадения притока), рассчитанном по одной-двум излучинам, и максимальной из средних по створам глубины на рассматриваемом участке Нmах
;
(48)
б) при отсутствии сведений о величинах Rизд и Нmах
где с - значение коэффициента Шези;
g - ускорение свободного падения, равное 9,8 м/с2;
М - коэффициент, зависящий от с (при 10 < с < 60 М = 0,7с + 6; при с ≥ 60 М = 48);
Кобщ - поправочный множитель, который для извилистых участков водотоков позволяет учитывать поперечную циркуляцию в потоке и его кинематическую неоднородность (для сравнительно прямых русел Кобщ=1);
φ - коэффициент извилистости реки, представляющий собой отношение длины участка, измеренной по фарватеру, к длине этого же участка, измеренной по прямой (для определения φ можно использовать крупномасштабную карту).
Коэффициент Кобщ вычисляют по уравнению
lg Кобщ = 0,25γн (1 + 0,54 w) + 0,589 w - 0,356, (50)
где
(51)
(52)
Значения коэффициента Шези определяют с использованием формулы Шези [16]
где I - гидравлический уклон, %о.
Если сведения о гидравлическом уклоне отсутствуют, коэффициент Шези вычисляют по формуле Н.Н. Павловского [17]
(54)
где R - гидравлический радиус потока (для летних условий R » Н), м;
nш - коэффициент шероховатости ложа реки, определяемый для участков реки по таблицам 3 и 4;
m - коэффициент, который вычисляется по формуле
(55)
Таблица 3 - Значения коэффициента шероховатости nш для открытых русел (по М. Ф. Срибному)
|
Характеристика ложа |
nш |
|
Реки в весьма благоприятных условиях (чистое прямое ложе со свободным течением, без обвалов и глубоких промоин) |
0,025 |
|
Реки в благоприятных условиях течения |
0,030 |
|
Реки в сравнительно благоприятных условиях, но с некоторым количеством камней и водорослей |
0,035 |
|
Реки, имеющие сравнительно чистые русла, извилистые, с некоторыми неправильностями в направлении струй, или же прямые, но с неправильностями в рельефе дна (отмели, промоины, местами камни); некоторое увеличение количества водорослей |
0,040 |
|
Русла больших и средних рек значительно засоренные, извилистые и частично заросшие, каменистые с неспокойным течением. Поймы больших и средних рек сравнительно разработанные, покрытые нормальным количеством растительности (травы, кустарники) |
0,050 |
|
Порожистые участки равнинных рек. Галечно-валунные русла горного типа с неправильной поверхностью водного зеркала. Сравнительно заросшие, неровные, плохо разработанные поймы рек (промоины, кустарники, деревья с наличием заводей) |
0,067 |
|
Реки и поймы, весьма заросшие (со слабым течением), с большими глубокими промоинами. Валунные, горного типа, русла с бурливым пенистым течением, с изрытой поверхностью водного зеркала (с летящими вверх брызгами воды). Поймы такие же, как предыдущей категории, но с сильно неправильным течением, заводями и пр. |
0,080 |
|
Горно-водопадного типа русла с крупновалунным строением ложа, перекаты ярко выражены, пенистость настолько сильна, что вода, потеряв прозрачность, имеет белый цвет; шум потока доминирует над всеми остальными звуками, делает разговор затруднительным |
0,100 |
|
Характеристика горных рек примерно та же, что и предыдущей категории. Реки болотного типа (заросли, кочки, во многих местах почти стоячая вода и пр.). Поймы с очень большими мертвыми пространствами, с местными углублениями, озерами и пр. |
1,133 |
Таблица 4 - Значения коэффициента шероховатости nш для равнинных рек (по Б.В. Полякову)
|
Категория |
Характеристика рек |
nш |
|
I |
Реки с песчаным руслом, ровным, без растительности, с незначительным перемещением лонных наносов |
0,020-0,023 |
|
II |
Реки с песчаным извилистым руслом, с большими перемещениями донных наносов, пойма, заросшая травой |
0,023-0,033 |
|
III |
Пойма, заросшая кустарником или редким лесом |
0,033-0,045 |
|
IV |
Пойма, заросшая лесом |
0,045-0,060 |
При расчете разбавления сточных вод в реках для зимних условий в выражения для расчета коэффициента Dy подставляется приведенное значение коэффициента Шези, учитывающее влияние ледяного покрова.
Значения приведенного коэффициента Шези сзим определяют по формуле
(56)
где nзим - приведенный коэффициент шероховатости;
Rзим - приведенный гидравлический радиус потока;
у - показатель, являющийся функцией коэффициента шероховатости и гидравлического радиуса.
Приведенный коэффициент шероховатости nзим вычисляют по формуле
(57)
где nл - коэффициент шероховатости нижней поверхности льда, определяемый по таблице 5.
Таблица 5 - Значения коэффициента шероховатости нижней поверхности льда nл [17]
|
№ п/п |
Число дней мосле ледостава |
nл |
|
1 |
До 10 |
0,150-0,050 |
|
2 |
10-20 |
0,100-0,040 |
|
3 |
20-60 |
0,050-0,030 |
|
4 |
60-80 |
0,040-0,015 |
|
5 |
80-110 |
0,025-0,010 |
|
Примечание - Для подпертых речных бьефов данные 1-й и 2-й строк таблицы, отвечающие рекам в бытовых условиях, следует уменьшить на 15 %, 3-й и 4-й строк - на 35 %. Меньшие значения nл характерны для гладкого по крова, большие - для ледяного покрова с торосами и шугой. |
||
Для рек в зимний период можно принять, что
Rзим = 0,5Н. (58)
Показатель у вычисляют по формулам
(59)
(60)
5.8 В тех
случаях, когда заданный для определения
створ находится выше
створа, в котором проводились систематические гидрохимические наблюдения,
расчет фоновых концентраций химических веществ можно выполнять в соответствии с
5.3-5.6
только после проведения необходимых гидрохимических наблюдений в этом створе,
организованных с учетом 4.3-4.12.
Если заданный
створ находится довольно близко к створу наблюдений (не далее 10 км) и выше
этих створов нет существенного поступления рассматриваемых веществ, то после
соответствующей проверки на местности и отбора нескольких контрольных проб воды
в обоих створах (с учетом времени перемещения исследуемой массы воды водотока),
в виде исключения, за фоновые концентрации веществ
в заданном створе
можно принять значения
, рассчитанные в створе систематических наблюдений по одному
из методов, указанных в 5.3-5.6.
В соответствии с правилами [1] проектная или другая заинтересованная организация, которой для нормирования сброса сточных вод или решения других водохозяйственных вопросов необходимы сведения о фоновых концентрациях химических веществ в определенном створе реки, может направлять запрос в территориальное управление Росгидромета.
В запросе обязательно указываются:
- название и ведомственная принадлежность запрашивающей организации, ее почтовый адрес;
- причина запроса (проектирование новых или реконструкция существующих очистных сооружений, разработка проекта предельно допустимого сброса сточных вод, перенесение местоположения сброса сточных вод и др.) с указанием названия организации или предприятия, для которых требуется рассчитать фоновые концентрации;
- название водотока и точное местоположение на нем створов, по которым запрашиваются сведения о фоновых концентрациях химических веществ;
- перечень веществ, для которых нужно рассчитать фоновые концентрации.
Для повышения полноты исходной информации для расчета фоновых концентраций веществ заинтересованные организации могут представить в местный орган Росгидромета вместе с запросом о фоновых концентрациях все имеющиеся в их распоряжении собственные результаты гидрохимических наблюдений на рассматриваемом участке водотока с указанием использованных методов химического анализа.
6.3 Фоновые концентрации химических веществ в воде водотоков рассчитываются местными органами Росгидромета в соответствии с настоящими методическими указаниями1.
____________
1Если по результатам наблюдений Росгидромета фоновые концентрации были рассчитаны какой-либо другой организацией, то для их практического использования требуется согласование с территориальным УГМС.
6.4 Сведения о фоновых концентрациях выдаются в течение двухмесячного срока со дня получения запроса.
При необходимости проведения дополнительных наблюдений на водном объекте сроки выдачи сведений о фоновых концентрациях, а также вопросы финансирования организуемых работ согласовываются организацией-заказчиком с соответствующим территориальным органом Росгидромета.
6.5 Материалы по расчету фоновых концентраций химических веществ оформляют по форме, указанной в приложении А. Представляемые результаты расчета утверждаются начальником УГМС.
Копии выданных документов сохраняются в Гидрометфонде УГМС совместно с запросами потребителей о фоновых концентрациях в течение шести лет.
6.6 Запросы и ответы регистрируются в журнале, составленном по форме, указанной в приложении Б.
|
Утверждаю Начальник (заместитель начальника) территориального УГМС личная подпись расшифровка подписи _________________________________ Дата_____________________________ Фоновые концентрации химических веществРека _________________________________ Местоположение створа_________________
Фоновые концентрации веществ действительны с ___________________________200___г. по _________________________200___г. Составители ___________________________________________________________________ (должность, Ф. И. О. составителей) Дата__________________________________Личные подписи________________________ составителей___________________________ 1 В этой графе
рекомендуется приводить данные о
|
|
Дата запроса |
Дата ответа |
Кто запрашивал |
Предназначение фоновых концентраций веществ |
Река, местоположение створа |
Перечень веществ и показателей состава воды |
Период, использованный для расчета фоновых концентраций |
Ф.И.О. выполнивших расчет фоновых концентраций веществ |
Примечания |
|
1 |
2 |
3 |
4 |
5 |
6 |
7 |
8 |
9 |
|
n - 1 |
tSt |
n - 1 |
tSt |
n - 1 |
tSt |
|
5 |
2,02 |
20 |
1,72 |
40 |
1.68 |
|
6 |
1,94 |
21 |
1,72 |
42 |
1,68 |
|
7 |
1,90 |
22 |
1,72 |
44 |
1,68 |
|
8 |
1,86 |
23 |
1,71 |
46 |
1,68 |
|
9 |
1,83 |
24 |
1,71 |
48 |
1,68 |
|
10 |
1,81 |
25 |
1,71 |
50 |
1,68 |
|
11 |
1,80 |
26 |
1.71 |
55 |
1,67 |
|
12 |
1,78 |
27 |
1,70 |
60 |
1,67 |
|
13 |
1,77 |
28 |
1,70 |
65 |
1,67 |
|
14 |
1,76 |
29 |
1,70 |
70 |
1,67 |
|
15 |
1,75 |
30 |
1,70 |
80 |
1,66 |
|
16 |
1,75 |
32 |
1,69 |
90 |
1,66 |
|
17 |
1,74 |
34 |
1,69 |
100 |
1,66 |
|
18 |
1.73 |
36 |
1,69 |
120 |
1,66 |
|
19 |
1,73 |
38 |
1,69 |
|
|
|
Примечание - При n < 5 принимается, что tst = 1. |
|||||
Пример Г.1 - В заданном для расчета
створе систематических гидрохимических наблюдений N реки А требуется
определить фоновую концентрацию вещества
для азота аммонийного
Расчетный минимальный
расход воды в реке Q95% = 14,5 м3/с. Результаты
наблюдений приведены в таблице Г.1 и на рисунке Г.1.
_____________
1 Для возможности проведения расчетов фоновых концентраций веществ на основе информации, выбираемой с помощью информационной системы "Гидрохим ПК", в ГХИ разработаны программы "ГХМ - ФОН1" и "ГХМ - ФОН2", эксплуатируемые в среде Windows 95/98, Windows NT 4.0 и выше.
Таблица Г.1 - Результаты наблюдений за содержанием азота аммонийного в створе N реки А
|
Дата |
Расход воды в реке, м3/с |
Содержание мг/дм3 |
Дата |
Расход воды в реке, м3/с |
Содержание |
|
1998 г. |
1999 г. |
||||
|
05 II |
12,3 |
1,33 |
13 II |
35,7 |
0,12 |
|
13 III |
23,9 |
0,35 |
02 III |
62,5 |
0,20 |
|
02 IV |
48,2 |
0,05 |
06 IV |
82,0 |
0,21 |
|
12 V |
59,6 |
0,20 |
07 V |
83,1 |
0,04 |
|
06 VI |
49,1 |
0,26 |
10 VI |
60,5 |
0,28 |
|
09 VII |
28,8 |
0,25 |
09 VII |
28,2 |
0,50 |
|
12 VIII |
14,5 |
1,11 |
06 VIII |
32,3 |
0,30 |
|
02 IX |
16,2 |
1,34 |
04 X |
51,0 |
0,25 |
|
04 X |
20,5 |
0,75 |
01 XI |
45,4 |
0,42 |
|
14 X1 |
41,1 |
0,20 |
08 XII |
34,3 |
0,25 |

Рисунок Г.1 - Зависимость изменения содержания азота аммонийного С от расхода воды в реке Q
В результате статистического анализа исходных данных получено:
n = 20; r = 0,93; Sсв = 0,16 мг/дм3; Sсв/s = 0,40; tSt = 1,73.
Выбранный вид статистической связи
(Г.1)
Сравнивая полученные данные с табличными (таблица 1), можно убедиться, что надежность статистической связи достаточно высока.
По уравнению
(Г.1) рассчитываем значение
при расчетном
минимальном расходе воды Q95 %:
![]()
По формуле (13) вычисляем
:
![]()
Пример Г.2 - В заданном для расчета
створе М реки Б требуется определить фоновую концентрацию
для химического
потребления кислорода (ХПК). Расчетный минимальный расход воды в реке Q95%
= 21,6 м3/с. Результаты наблюдений приведены в таблице Г.2 и на
рисунке Г.2.
В результате статистического анализа исходных данных получено:
n = 36; r = 0,88; Scв = 0,617 мг/дм3; σ = 1,28 мг/дм3; Scв/σ = 0,481; tst = 1,69.
Выбранный вид статистической связи
Сф = 2,276 + 0,065Q. (Г.2)
Поскольку статистическая связь достоверна, а содержание ХПК при повышении расхода воды в реке увеличивается, дополнительно рассчитаем фоновую концентрацию при среднем многолетнем расходе воды и максимальном среднемесячном расходе воды года 5 %-й обеспеченности, т.е. при Qср.мн = 45,0 м3/с и Q5% = 85,0 м3/с.
По уравнению (Г.2) находим:
С'ф = 2,276 + 0,065·21,6 = 3,68 (мг/дм3),
(мг/дм3),
(мг/дм3),
С*ф = 3,68 + 1,28·1,69·0,617 = 5,01 (мг/дм3),
(мг/дм3),
(мг/дм3).
Таблица Г.2 - Результаты наблюдений за содержанием химического потребления кислорода (ХПК) в створе М реки Б
|
Дата |
Расход воды в реке, м3/с |
ХПК, мг/дм3 |
Дата |
Расход воды в реке, м3/с |
ХПК, мг/дм3 |
Дата |
Расход воды в реке, м3/с |
ХПК, мг/дм3 |
|
1997 г. |
1998 г. |
1999 г. |
||||||
|
09 I |
21,6 |
5,4 |
21 I |
23,1 |
4,0 |
11 I |
27,7 |
4,0 |
|
05 II |
25,0 |
4,5 |
25 II |
24,9 |
2,7 |
17 II |
28,2 |
4,2 |
|
26 III |
55,0 |
7,5 |
23 III |
58,5 |
5,3 |
22 III |
57,0 |
6,1 |
|
03 IV |
60,2 |
5,7 |
16 IV |
85,0 |
7,9 |
13 IV |
65,3 |
6,7 |
|
15 IV |
62,5 |
6,2 |
12 V |
65,0 |
6,0 |
18 V |
58,0 |
6,7 |
|
05 V |
53,5 |
6,1 |
03 VI |
50,0 |
5,6 |
16 VI |
35,0 |
4,7 |
|
11 VI |
30,0 |
4,4 |
21 VII |
28,7 |
3,9 |
19 VII |
27,5 |
3,9 |
|
09 VII |
33,0 |
4,3 |
05 VIII |
23,5 |
3,7 |
30 VIII |
25,6 |
4,1 |
|
24 VIII |
23,6 |
3,6 |
19 IX |
59,0 |
6,7 |
29 IX |
46,7 |
4,2 |
|
25 IX |
44,9 |
4,8 |
26 X |
64,0 |
6,5 |
27 X |
47,1 |
5,2 |
|
21 X |
64,9 |
6,5 |
24 XI |
25,3 |
3,6 |
17 XI |
42,5 |
4,4 |

Рисунок Г.2 - Зависимость изменения содержания ХПК от расхода воды в реке
Пример Г.3 - В заданном для расчета
створе G реки В требуется определить фоновую концентрацию нефтепродуктов
. Расчетный минимальный расход воды в реке Q95%
= 75,3 м3/с. Результаты наблюдений приведены в таблице Г.3 и на
рисунке Г.3.
Поскольку
содержание нефтепродуктов в воде не зависит от расхода речной воды (рисунок
Г.3), обработку результатов наблюдений для определения
проводим согласно 5.5. Для выяснения значимости отличия
результатов наблюдений, полученных в 1999 г., от данных 1997, 1998 гг.
используем статистический критерий u*
Из таблицы Г.4 следует: Т1 = 145,5; n1 = n* = 12; Т2 = 154,5; n2 = m* = 12.
По формуле (4) находим величину u*:
u* (1999/1998) = 145,5 - 12 (12+1) / 2 = 67,5.
Таблица Г.3 - Результаты наблюдений за содержанием нефтепродуктов в створе G реки В
|
Дата |
Расход воды в реке, м3/с |
Содержание нефтепродуктов, мг/дм3 |
Дата |
Расход воды в реке, м3/с |
Содержание нефтепродуктов, мг/дм3 |
Дата |
Расход воды в реке, м3/с |
Содержание нефтепродуктов, мг/дм3 |
|
1997 г. |
1998 г. |
1999 г. |
||||||
|
09 I |
86,0 |
0,19 |
25 I |
71,7 |
0,13 |
27 I |
118,0 |
0,10 |
|
07 II |
86,2 |
0,07 |
20 II |
103,0 |
0,10 |
26 II |
108,0 |
0,05 |
|
07 III |
106,0 |
0,10 |
25 III |
212,0 |
0,08 |
25 III |
88,0 |
0,05 |
|
18 IV |
475,0 |
0,07 |
24 IV |
196,0 |
0,05 |
28 IV |
1645 |
0,07 |
|
26 V |
317,0 |
0,12 |
22 V |
1154 |
0,11 |
22 V |
408,0 |
0,07 |
|
26 VI |
186,0 |
0,20 |
24 VI |
192,0 |
0,05 |
26 VI |
175,0 |
0.08 |
|
25 VII |
89,0 |
0,10 |
23 VII |
135,0 |
0,06 |
23 VII |
90,5 |
0,13 |
|
15 VIII |
67,6 |
0,10 |
27 VIII |
93,5 |
0,08 |
25 VIII |
61,5 |
0,13 |
|
26 IX |
67,0 |
0,06 |
25 IX |
124,0 |
0,17 |
29 IX |
70.5 |
0,17 |
|
30 X |
11,4 |
0,15 |
28 X |
135,0 |
1.12 |
28 X |
69,5 |
0,06 |
|
27 XI |
86,0 |
0,07 |
25 XI |
320,0 |
0,11 |
18 XI |
75,0 |
0,09 |
|
26 XII |
64,4 |
0,10 |
25 XII |
99,0 |
0,10 |
16 XII |
102,0 |
0,12 |

Рисунок Г.3 - Изменение содержания нефтепродуктов С с увеличением расхода волы в реке Q
Так как m* > 8, по формуле (8) определяем параметр z.
![]()
Полученное значение z попадает в интервал -1,28 < z < 1,28, поэтому принимаем, что отличие результатов наблюдений за 1999 и 1998 гг. незначимо.
Аналогичным способом проверим значимость отличия данных в 1997 г. Результаты этого анализа; Т1 = 144; n1 = n* = 12; u*(1999/1997)= 56;
z1999/1997 = - 0,95.
Полученное значение z попадает в интервал - 1,28 < z < 1,28, поэтому принимаем, что отличие результатов наблюдений за 1999 и 1997 гг. незначимо.
Таблица Г.4 - Результаты совместного ранжирования данных за 1999 и 1998 гг.
|
Содержание нефтепродуктов, мг/дм3 |
Ранг |
Содержание нефтепродуктов, мг/дм3 |
Ранг |
|
1999 г. |
1998 г. |
||
|
0,05 |
2,5 |
0,05 |
2,5 |
|
0,05 |
2,5 |
0,05 |
2,5 |
|
0,06 |
5,5 |
0,06 |
5,5 |
|
0,07 |
7,5 |
0,08 |
10,0 |
|
0,07 |
7,5 |
0,08 |
10,0 |
|
0,08 |
10,0 |
0,10 |
14,0 |
|
0,09 |
12,0 |
0,10 |
14,0 |
|
0,10 |
14,0 |
0,11 |
16,5 |
|
0,12 |
18,5 |
0,11 |
16,5 |
|
0,13 |
21,0 |
0.12 |
18,5 |
|
0,13 |
21,0 |
0,13 |
21,0 |
|
0,17 |
23,5 |
0,17 |
23,5 |
|
n = 12 |
Σ = 145,5 |
n = 12 |
Σ = 154,5 |
Так как данные за 1997-1999 гг. отличаются несущественно, в дальнейшем статистическом анализе все данные будем рассматривать совместно. Результаты группируем помесячно в соответствии с 5.5 и для каждой выделенной градации определяем среднюю концентрацию нефтепродуктов (таблица Г.5). В январе среднее содержание нефтепродуктов было наибольшим, поэтому этот месяц относим к основной (опорной) градации. Используя критерий u* определим значимость отличия основной градации от остальных. От основной градации незначимо отличаются данные за июнь, сентябрь и октябрь (значения параметра u* больше значений параметра uT = 2,1). Данные за четыре месяца (январь, июнь, сентябрь и октябрь) объединяем в один массив (тогда n = 12) и, используя формулы (1), (10), (17), получаем:
Cф(ср) = 0,12 мг/дм3; σ = 0,05 мг/дм3; tSt = 1,80;
![]()
Таблица Г.5 - Определение концентраций нефтепродуктов по выделенным градациям, мг/дм3
|
Год |
I |
II |
III |
IV |
V |
VI |
VII |
VIII |
IX |
X |
XI |
XII |
|
1997 |
0,19 |
0,05 |
0,10 |
0,07 |
0,12 |
0,20 |
0,10 |
0,10 |
0,06 |
0,15 |
0,07 |
0,10 |
|
1998 |
0,13 |
0,10 |
0,08 |
0,05 |
0,11 |
0,05 |
0,06 |
0,08 |
0,17 |
0,12 |
0,11 |
0,10 |
|
1999 |
0,10 |
0,05 |
0,05 |
0,07 |
0,07 |
0,08 |
0,13 |
0,13 |
0,17 |
0,06 |
0,09 |
0,12 |
|
Σ |
0,42 |
0,20 |
0,23 |
0,19 |
0,30 |
0,33 |
0.29 |
0,31 |
0,40 |
0,33 |
0,27 |
0,32 |
|
n |
3 |
3 |
3 |
3 |
3 |
3 |
3 |
3 |
3 |
3 |
3 |
3 |
|
Cф(ср) |
0,14 |
0,07 |
0,08 |
0,06 |
0,10 |
0,11 |
0,10 |
0,10 |
0,13 |
0,11 |
0,09 |
0,11 |
Пример
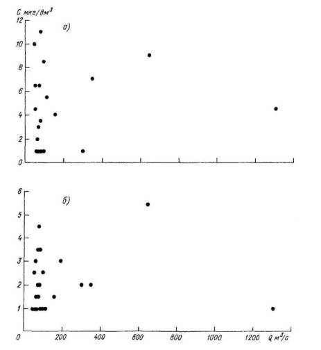
Г.4 - В заданном для расчета створе В реки К требуется определить
фоновую концентрацию меди
. Расчетный минимальный расход воды в реке Q95%
= 46,0 м3/с. Результаты наблюдений приведены в таблице Г.6 и на
рисунке Г.4.
Сравнение результатов наблюдений, полученных в отдельных вертикалях, показывает, что средняя концентрация меди у левого берега наибольшая1. Кроме того, содержание меди в этой вертикали значимо отличается от ее содержания в средней части сечения реки (Т1 = 456; u* = 180; z = 1,67). На основании этих результатов принимаем, что качество воды в контрольной струе характеризует концентрацию меди у левого берега.
____________
1Результат наблюдений, выделенный в таблице Г.6 рамкой, в расчете не учитывался, так как принят нехарактерным (при n = 23, Cф(ср) = 5,15 мкг/дм3; σ = 5,4 мкг/дм3; I' = 3,7; Iн = 2,6; I' > Iн).
Таблица Г.6. - Результаты наблюдений за содержанием меди в створе В реки К
|
Дата |
Расход воды в реке, м3/с |
Содержание меди, мкг/дм' |
|||
|
у левого берега |
на середине реки |
||||
|
1998 г. |
|||||
|
04 I |
61,6 |
1,0 |
1,5 |
||
|
02 II |
50,8 |
4,5 |
2,5 |
||
|
02 III |
46,8 |
10,0 |
1,0 |
||
|
10 IV |
111,0 |
5,5 |
1,0 |
||
|
11 V |
642,0 |
9,0 |
5,5 |
||
|
02 VI |
156,0 |
4,0 |
1,5 |
||
|
05 VII |
86,7 |
1,0 |
1,0 |
||
|
02 VIII |
51,8 |
6,5 |
1,0 |
||
|
05 IX |
75,5 |
1,0 |
4,5 |
||
|
04 X |
64,2 |
2,0 |
1,0 |
||
|
03 XI |
68,5 |
1,0 |
3,5 |
||
|
01 XII |
70,4 |
3,0 |
1,5 |
||
|
1999 г. |
|||||
|
04 I |
58,6 |
1,0 |
3,0 |
||
|
05 III |
75,3 |
6,5 |
2,0 |
||
|
03 IV |
301,0 |
1,0 |
2,0 |
||
|
07 V |
1305 |
4,5 |
1,0 |
||
|
05 VI |
348,0 |
7,0 |
2,0 |
||
|
01 VII |
191,0 |
|
25,0 |
|
3,0 |
|
06 VIII |
96,0 |
8,5 |
1,0 |
||
|
05 IX |
78,2 |
11,0 |
2,0 |
||
|
02 X |
80,0 |
3,5 |
3,5 |
||
|
06 XI |
98,0 |
1,0 |
2,5 |
||
|
03 XII |
71,6 |
1,0 |
2,0 |
||
|
Σ |
|
93,5 |
49,5 |
||
|
n |
|
22 |
23,0 |
||
|
Сф(ср) |
|
4,25 |
2,15 |
||

a) у левого берега. б) на середине реки
Рисунок Г.4 - Изменение содержания меди C с увеличением расхода волы в реке Q
Таким образом, для рассматриваемого сечения реки получено два ряда значений концентрации меди, один из которых характеризует качество воды в контрольной струе, второй - в остальной массе воды на середине реки и у правого берега. Значения концентрации меди в выделенных массах воды не зависят от изменения расхода воды в реке (рисунок Г.4).
Дальнейший
расчет фоновой концентрации меди
проводим отдельно для
каждой из выделенных водных масс. Сопоставление результатов наблюдений по годам
показало, что данные за 1999 г. несущественно отличаются от данных за 1998 г.
как в контрольной струе (Т1 = 118; u* = 63; z = 0,16), так
и в остальной массе воды в сечении реки (Т1 = 129; u* = 51; z = -0,95). В
связи с этим далее в статистическом анализе данные за 1999 и 1998 гг. будем
рассматривать как один массив.
Для оценки наличия существенных внутригодовых изменений содержания меди в речной воде выделим три версии периодичности (сезонности) этих изменений в годовом цикле:
1) по продолжительности гидрологических сезонов: весна (март-май),
лето-осень (июнь-сентябрь),
зима (декабрь-февраль);
2) по продолжительности характерных наблюдаемых температур в речной воде:
первый период с температурой менее 5 °С (ноябрь-апрель),
второй период с температурой в пределах 5-15 °С (май-октябрь),
третий период с температурой более 15 °С (июнь-сентябрь);
3) по совокупному влиянию различных факторов (по визуальному анализу данных):
первый период (март-сентябрь),
второй период (октябрь-февраль).
Размещение результатов наблюдений по градациям показано в таблице Г.7.
Таблица Г.7 - Распределение значений содержания меди, полученных в контрольной струе и остальной массе речной воды, с учетом версий выделенных градации (сезонов и периодов)
|
Версии и градации |
Контрольная струя |
Остальная масса речной воды |
||||
|
Сфi мкг/дм3 |
n |
Сф(ср) мкг/дм3 |
Сфi мкг/дм3 |
n |
Сф(ср) мкг/дм3 |
|
|
Первая версия: |
|
|
|
|
|
|
|
весна |
10,0; 5,5: 9,0; 6,5: 1,0; 4,5 |
6 |
6,08 |
1,0; 1,0; 5,5; 2,0; 2,0; 1,0 |
6 |
2,1 |
|
лето-осень |
4,0; 1,0; 6,5; 1.0; 2,0; 1,0; 7,0; 8,5; 11,0; 3,5; 1,0 |
11 |
4,2 |
1,5; 1,0; 1,0; 4.5; 1.0; 3,5; 2,0; 3,0; 1,0; 2,0; 3.5; 2,5 |
12 |
2,2 |
|
зима |
3,0; 1,0; 4,5; 1,0; 1,0 |
5 |
2,1 |
1,5; 1,5; 2,5; 3,0; 2,0 |
5 |
2,1 |
|
Вторая версия: |
|
|
|
|
|
|
|
первый период |
1,0; 3,0; 1,0; 4,5; 10,0; 5,5; 1,0; 1,0; 1,0; 6,5; 1,0 |
11 |
3,2 |
3,5; 1,5; 1,5; 2,5; 1,0; 1,0; 3,0; 2,0; 2,0; 2,5; 2,0 |
11 |
2,05 |
|
второй период |
9,0; 2,0; 4,5; 3,5 |
4 |
4,7 |
5,5; 1,0; 1,0; 3,5 |
4 |
2,75 |
|
третий период |
4,0; 11,0; 1,0; 6,5; 1,0; 7,0; 8,5 |
7 |
5,6 |
1,5; 1,0; 1,0; 4,5; 2,0; 3,0; 1,0; 2,0; |
8 |
2,0 |
|
Третья версия: |
|
|
|
|
|
|
|
первый период |
10,0: 5,5; 9,0; 4,0; 1,0; 6,5; 1,0; 6,5; 1,0; 4,5; 7,0; 8,5; 11,0 |
13 |
5,8 |
1,0; 1,0; 5,5; 1,5; 1,0; 1,0; 4,5; 2,0; 2,0; 1,0; 2,0; 3,0; 1,0; 2,0 |
14 |
2,0 |
|
второй период |
2,0; 1,0; 3,0; 4,5; 3,5; 1,0; 1,0; 1,0; 1,0 |
9 |
2,0 |
1,0; 3,5; 1,5; 3,0; 3,5; 2,5; 2,0; 1,5; 2,5 |
9 |
2,3 |
Таблица Г.8 - Результаты оценки отличия между отдельными градациями содержания меди в речной воде
|
Контрольная струя |
Остальная масса речной воды |
||||||
|
Первая версия |
|||||||
|
Весна/лето-осень |
Весна/зима |
Лето-осень/весна |
Лето-осень/зима |
||||
|
Т1=64,5 |
u*=43,5 |
Т1=19 |
u*=4 |
Т1=51 |
u*=40 |
Т1=46 |
u*=31 |
|
m*=11 |
n*=6 |
m*=6 |
n*=5 |
m*=12 |
n*=6 |
m*=12 |
n*=5 |
|
z=1,00 |
z=-2,10 |
z=0,33 |
z=-0,05 |
||||
|
Вторая версия |
|||||||
|
Третий период/ второй период |
Третий период/ первый период |
Второй период/ первый период |
Второй период/ третий период |
||||
|
Т1=23 |
u*=13 |
Т1=81,5 |
u*=53,5 |
Т1=33,5 |
u*=32,5 |
Т1=28 |
u*=18 |
|
m*=7 |
n*=4 |
m*=11 |
n*=7 |
m*=11 |
n*=4 |
m*=8 |
n*=4 |
|
z=-0,32 |
z=1,31 |
z=0,13 |
z=0,25 |
||||
|
Третья версия |
|||||||
|
Первый период/второй период |
Второй период/первый период |
||||||
|
Т1=66 |
u*=21 |
Т1=127,5 |
u*=82,5 |
||||
|
m*=13 |
n*=9 |
m*=14 |
n*=9 |
||||
|
z=-2,53 |
z=1,20 |
||||||
Сопоставление результатов наблюдений
по выделенным градациям (таблица Г.8) показывает, что в контрольной струе по
первой версии следует объединить в один основной массив данные за период
весна/лето-осень; по второй версии - за третий и второй периоды; по третьей
версии для расчета предварительного значения фоновой концентрации вещества
первый опорный период
принимается за основной. Для остальной массы воды в сечении реки ни по одной из
версий сезонности значимых отличий между выделенными градациями не обнаружено,
поэтому все данные по содержанию меди в этой массе воды будем рассматривать как
единый массив.
По первой версии сезонности получим
по второй версии сезонности -
по третьей версии сезонности -
За фоновую
концентрацию вещества
принимаем
концентрацию меди, равную 7,5 мкг/дм3.
Для остальной массы речной воды в сечении реки получим:
Пример Г.5 - Требуется определить
для меди в заданном
для расчета створе G реки К. В створе G систематические
гидрохимические наблюдения не проводились. На 10 км выше створа G
расположен створ L, где систематически проводятся наблюдения за
качеством воды. Минимальный среднемесячный расход воды года 95 %-й
обеспеченности в створе G Q1 = 46,0 м3/с. Этому
расходу соответствует средняя скорость течения воды υ = 0,25 м/с,
средняя глубина реки Н = 1,81 м и ширина реки В = 103 м.
Значения концентрации меди в створе L составляют в контрольной струе 7,5 мкг/дм3, в остальной массе воды - 2,6 мкг/дм3 (расчет указанных значений меди приведен в примере Г.4). Контрольная струя в створе L по ширине составляет примерно 34 м и имеет расход воды 15,3 м3/с. Ширина остальной массы речной воды - 69 м и расход этой массы воды - 30,7 м3/с.
Извилистость русла реки К на рассматриваемом участке составляет φ = 1,2, гидравлический уклон I = 0,012 %о. На 4 км ниже створа L в реку с левого берега впадает приток Т, а на 7 км ниже с правого берега поступают сточные воды (рисунок Г.5). Для устьевой части притока Т фоновое значение концентрации меди равно 4,2 мкг/дм3, расход воды - 15 м3/с. Коэффициент самоочищения речной воды от меди на рассматриваемом участке при Р = 80 % составляет Кр = Кст = 0,61 1/сут. Параметр Снз равен 1 мкг/дм3. Ниже впадения притока Т расчетные параметры русла реки составляют: Q2 = 68,1 м3/с; υ = 0,27 м/с; Н = 2,36 м; В = 108 м; I = 0,012 %о.
Учитывая исходные данные, контрольную струю в створе L принимаем за условный (первый) выпуск сточных вод, а остальную массу речной воды за исходный расход речной воды (рисунок Г.5).
По формулам (53), (49) рассчитаем параметры с и Dy на участке реки до и ниже впадения притока Т:
![]()

Рисунок Г.5. - Схема рассматриваемого участка реки К
![]()
![]()
![]()
На участке реки К от створа L до створа G протяженностью 10 км средневзвешенные значения параметров υ, Н, В, с, Dy составят:
![]()
![]()
![]()
![]()
![]()
Рассчитаем по формулам (34), (30), (31) параметры xi и ψi для левобережной струи водных масс в створе G:

![]()


![]()


![]()

Для правобережной струи в створе G, используя формулы (32), (33), получим:
![]()

![]()

![]()

Далее для
расчетов за фоновую концентрацию вещества
принимаем значение, полученное в створе L для массы
воды за пределами контрольной струи:
= 2,6 мкг/дм3.
Поскольку Снз <
, расчеты
проведем по формуле (20). Параметр
для левобережной
струи в створе G составит1:
_________
1Так как для правобережного выпуска сточных вод в левобережной струе в створе G параметр ψз(л) составил 0,0000, данные по этому выпуску не включены в расчет по формуле (20).



= 1,992 + 0,234 + 3,265 + 1,358 = 6,8 (мкг/дм3).
Для правобережной струи в створе G аналогичный параметр будет равен:




= 1,992 + 0,234 + 0,001 + 0 +1,649 = 3,9 (мкг/дм3).
В качестве
искомой фоновой концентрации меди в воде реки К в створе G принимаем
= 6,8 мкг/дм3.
Пример Г.61 - Требуется определить
для СПАВ в створе М
реки Н. В створе М наблюдения не проводились. На 864 м выше
створа М расположен створ А, где систематически проводятся
наблюдения за химическим составом речной воды. На 364 м выше створа М в
реку Н впадает приток П. Данные по реке Н в створе А:
= 0 мкг/дм3;
Q1 = 101,4 м3/c. Ниже впадения притока П данные по
реке Н составляют: Q2 = 152 м3/с, υ = 2,42
м/с, Н = 2,37 м, В = 26,5 м, nш = 0,043, φ = 1. Исходные
данные по притоку П: q = 50,6 м3/с, Сст =
100 мкг/дм3.
_____________
1Исходные данные для примера были взяты из работы [15] (с. 130, пример 1) для иллюстрации сходимости расчетов смешения и разбавления сточных вод по методу ГГИ и по методу, использованному в настоящих методических указаниях.
Контрольные
результаты расчета
в створе М на
ПЭВМ с использованием программы "ГХМ - ФОН2", разработанной в
соответствии с указаниями 5.7.2, 5.7.4, составили:
максимальное значение 94 мкг/дм3;
минимальное значение 0 мкг/дм3;
в 10 м от берега со стороны выпуска сточных вод 40 мкг/дм3;
в 12 м от берега со стороны выпуска сточных вод 25 мкг/дм3;
в 20 м от берега со стороны выпуска сточных вод 1 мкг/дм3.
В качестве
искомой фоновой концентрации СПАВ в воде реки Н в створе М принимаем
= 94 мкг/дм3.
1 Правила охраны поверхностных вод (типовые положения) / Госкомприрода СССР. - М.,1991.-34с.
2 СН 435-72. Указания по определению расчетных гидрологических характеристик.
3 РД 52.24.309-92. Методические указания. Охрана природы. Гидросфера. Организация и проведение режимных наблюдений за загрязнением поверхностных вод суши на сети Роскомгидромета.
4 Р 52.24.353-94 Рекомендации. Отбор проб поверхностных вод суши и очищенных сточных вод. - М., 1995. - 28 с.
5 Справочник по гидрохимии. - Л.: Гидрометеоиздат, 1989. - 391 с.
6 Химмельблау Д. Анализ процессов статистическими методами. - М.:Мир, 1973. - 957 с.
7 Плохинский Г.А. Биометрия. - М; Изд-во МГУ, 1970. - 367 с.
8 Уланова Е.С., Сиротенко О.Д. Методы статистического анализа в агрометеорологии. -Л.: Гидрометеоиздат, 1968. - 156 с.
9 Клименко О.А., Тарасов М.Н. Временные методические рекомендации по оперативному прогнозированию загрязненности рек. - Л.: Гидрометеоиздат, 1981. - 103 с.
10 Тарасов М.Н., Клименко О.А. и др. Вопросы исследования и прогнозирования загрязненности рек // Гидрохимические материалы. - 1977. - Т. 67. - 114 с.
11 Кондюрина Т.А., Филькин Г.В., Степанов П.М. Распределение концентраций в потоке // Методы системного анализа в управлении водохозяйственными системами. - Новочеркасск, 1979. - С. 149-152.
12 Кондюрина Т.А., Филькин Г.В. К вопросу о теоретическом решении распространения примеси и потоке // Тр. Грузинского с.-х. ин-та. - 1981.-Т. 12. - С. 96-100.
13 Филькин Г.В., Медведева Л.Д. Поле концентраций, создаваемое линейным выпуском / Гидрохимический институт. - Новочеркасск, 1985. - 6 с. - Деп. в ВИНИТИ, № 3949-85.
14 Кондюрина Т.А., Филькин Г.В. Математическая модель процессов смешения сточных вод в водотоках // Тр. Южгипроводхоза. - Ростов-на-Дону, 1990.-С. 136-140.
15 Методические основы оценки антропогенного влияния на качество поверхностных вод / Под ред. А.В. Караушева. - Л.: Гидрометеоиздат, 1981. - С. 42-44.
16 Чугаев Р.Р. Гидравлика.-Л.: Энергоиздат, 1982. - С. 176-178.
17 Справочник проектировщика. Канализация населенных мест и промышленных предприятий. - М.: Стройиздат, 1981. - С. 32-40.
|
Номер изменения |
Номер страницы |
Номер документа |
Подпись |
Дата |
||||
|
Измененной |
замененной |
новой |
аннулированной |
внесения изменения |
введения изменения |
|||
|
|
|
|
|
|
|
|
|
|