АВОК СТАНДАРТ-5-2004
Отраслевой стандарт
ABOK
СТАНДАРТ
СИСТЕМЫ
АВТОМАТИЗАЦИИ
И УПРАВЛЕНИЯ
ЗДАНИЯМИ
Часть 2
ОСНОВНЫЕ ПОЛОЖЕНИЯ
Аппаратные средства
НП «Инженеры по отоплению, вентиляции, кондиционированию воздуха, теплоснабжению и строительной теплофизике» (НП «АВОК»)
Москва - 2004
Разработан комитетом НП «АВОК» «Интеллектуальные здания и информационно-управляющие системы»:
А. М. Абрамов, технический директор ЗАО «АРМО-Инжиниринг»;
А. А. Баранов, председатель комитета НП «АВОК» «Интеллектуальные здания и информационно-управляющие системы», технический директор 000 «Микрос Инжиниринг»;
М. М. Бродач, канд. техн. наук, профессор МАрхИ, вице-президент НП «АВОК»;
Н. В. Воеводенко, канд. техн. наук, глава представительства фирмы Sauter в России;
А. А. Головин, руководитель отдела НП «АВОК»;
А. В. Голышко, канд. техн. наук, главный эксперт компании «Комстар»;
Г Р. Кранц, член исполнительного комитета и наблюдательного совета VDI TGA, руководитель проекта EN ISO 16484, представитель НП «АВОК» в Германии и Западной Европе;
Б. М. Либерман, канд. техн. наук, директор департамента инженерных систем ЗАО «Би-Эй-Си»;
В. А. Максименко, директор по маркетингу 000 «Микрос Инжиниринг»;
В. В. Муравьев, канд. физ.-мат. наук, директор «РуссСпарта»;
Г И. Нищев, ведущий специалист 000 «Оптима»;
О. Е. Павлов, генеральный директор ООО «Интеллектуальные Дома»;
Д. Л. Ревизников, доктор физ.-мат. наук, главный эксперт ООО «ЭкоПрог»;
И. П. Тарасов, заместитель директора по развитию «АРМО-Групп»;
А. В. Фрейдман, заместитель директора ООО «Науцилус».
Утвержден и введен в действие постановлением Бюро президиума НП «АВОК» от 9 июня 2004 г. Введен впервые.
Стандарт временный, срок действия - 1 год. Замечания и предложения по стандарту принимаются до 1 сентября 2005 г.
«Стандарты АВОК» - это наименование технических материалов в области отопления, вентиляции, кондиционирования воздуха, тепло- и холодоснабжения, теплозащиты, микроклимата зданий и сооружений и их элементов, представленных в форме нормативных документов. Наименование «Стандарты» им дано исходя из интернациональности содержания этого термина для технических материалов, представляемых в форме нормативных документов, что соответствует мировой практике разработки нормативных документов профессиональными организациями аналогичного профиля, например, ASHRAE, ARI, REHVA, SCANVAC. В России имеют место названия для нормативных документов: ГОСТы «Строительные нормы и правила» (СНиП), «Свод правил по проектированию и строительству» (СП), которые на разных языках будут иметь разное написание и звучание.
В международной практике наименование технического документа «Стандарт», как правило, соответствует рекомендательному документу в отрасли.
НП «АВОК» как профессиональное объединение специалистов, главная задача которого содействовать прогрессу отрасли, разрабатывает стандарты АВОК с целью:
- повышения уровня проектирования, строительства и эксплуатации с ориентацией на использование современных технологий в отопительно-вентиляционной технике;
- улучшения качества микроклимата зданий;
- повышения энергетической эффективности зданий;
- гармонизации отечественной нормативной базы с прогрессивными международными стандартами.
Система подготовки каждого стандарта АВОК включает в себя два этапа:
1. Введение в пользование «временного» стандарта со сроком действия 1 год. В течение этого периода его апробация, сбор замечаний и предложений и подготовка стандарта со сроком действия 4 года.
2. Введение в пользование стандарта со сроком действия 4 года, его дальнейшим совершенствованием и переизданием.
Стандарты АВОК имеют рекомендательный статус. В разработке таких стандартов и их дальнейшем использовании НП «АВОК» получил одобрение со стороны Управления стандартизации, технического нормирования и сертификации Госстроя России, Москомархитектуры, Мосгосэкспертизы, а также других региональных организаций, заинтересованных в использовании документов такого рода. После годовой апробации при положительном заключении о возможности их использования стандарты АВОК представляются в соответствующие организации для утверждения и придания им регионального или федерального статуса.
Стандарты АВОК распространяются на сферу деятельности НП «АВОК», а также на другие направления строительства.
Стандарты АВОК относятся к проектированию, строительству, испытаниям, эксплуатации, сертификации систем и оборудования для отопления, вентиляции, кондиционирования воздуха, тепло- и холодоснабжения, теплозащиты, микроклимата зданий и сооружений и их элементов.
НП «АВОК» активно участвует в разработке международных нормативно-методических документов и проводит политику адаптации этих документов для российских условий, если это экономически и практически целесообразно.
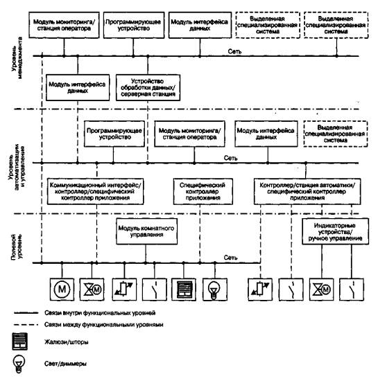
|
6.2. Устройства администрирования/диспетчеризации САиУЗ (система верхнего уровня). |
|
6.4. Устройства автоматики. Полевые/функциональные устройства |
АВОК СТАНДАРТ
СИСТЕМЫ АВТОМАТИЗАЦИИ И УПРАВЛЕНИЯ ЗДАНИЯМИ
Часть 2. ОСНОВНЫЕ ПОЛОЖЕНИЯ
Аппаратные средства
BUILDING AUTOMATION AND CONTROL SYSTEMS
Комитет АВОК «Интеллектуальные здания и информационно-управляющие системы» в рамках сотрудничества с комитетом ISO/TC 205, рабочей группой 3 (WG3) разработал настоящий стандарт АВОК «Системы автоматизации и управления зданиями (САиУЗ) (Building Automation and Control Systems - BACS). 4. 2. Основные положения. Аппаратные средства». Настоящий стандарт является разделом комплекса стандартов АВОК «Системы автоматизации и управления зданиями» (САиУЗ) (Building Automation and Control Systems - BACS), включающего:
1. Общие положения;
2. Основные положения;
3. Правила документирования;
4. Обеспечение совместимости;
5. Требования к составным частям автоматизированных систем (АС);
6. Требования к АС;
7. Создание, функционирование и развитие АС;
8. Типовые и унифицированные решения в АС;
9. Прочие стандарты.
Структура комплекса стандартов АВОК соответствует ГОСТ 34.003-90 «Термины и определения», ГОСТ 34.001-90 «Основные положения».
Комплекс стандартов АВОК «Системы автоматизации и управления зданиями» был разработан для того, чтобы внедрять САиУЗ при проектировании новых зданий и реконструкции эксплуатируемых зданий в целях создания приемлемой среды функционирования здания, повышения и обеспечения энергоэффективности зданий, поддержания контролируемой комфортной среды обитания.
В части 2 «Основные положения. Аппаратные средства» предложена обобщенная системная модель САиУЗ, при этом представления всех разновидностей систем автоматизации с их внутренними связями могут быть сведены к виду, соответствующему этой модели, а описание разных систем может быть осуществлено в терминах обобщенной модели САиУЗ.
Область применения
Часть 2 «Основные положения. Аппаратные средства» стандарта АВОК «Системы автоматизации и управления зданиями» выполняет следующие функции:
1. Устанавливает назначение аппаратных средств конкретных видов, описывает требования к общей функциональности и инженерным службам для создания САиУЗ. Она определяет термины, которые будут использоваться в проектировании, и задает правила интеграции соответствующих систем. Описывает требования к конфигурации аппаратных средств, стратегии управления, администрированию систем и процессу ввода в эксплуатацию.
2. Устанавливает основные положения по составу, видам обеспечения, функциям и задачам аппаратных средств, предоставляет описание характерной модели системы, к которой можно привести все различные типы САиУЗ и их объединения (сеть САиУЗ). Часть 2 «Основные положения. Аппаратные средства» охватывает:
- устройства для реализации функций уровня администрирования, такие как операторские станции, серверы обработки данных и другие устройства человеко-системного интерфейса;
- контроллеры, станции автоматизации и специализированные контроллеры приложений уровня управления;
- полевые устройства и их интерфейсы;
- кабельные системы и коммуникационные сетевые устройства;
- средства для производства инжиниринговых работ и для ввода систем в эксплуатацию.
В части 2 «Основные положения. Аппаратные средства» рассмотрены основные характеристики устройств САиУЗ, которые необходимы при проектировании систем и поставке оборудования. Детальная проработка проектов, базирующаяся на полном и точном функциональном описании элементов систем автоматизации, является ответственным этапом для успешного внедрения и эксплуатации САиУЗ.
3. Устанавливает правила межсистемного и внутрисистемного взаимодействия аппаратных средств, требования и определения, касающиеся САиУЗ и прикладного программного обеспечения, характерные функции для проектных решений, а также инженерные функции для управления и обслуживания здания. Она вводит понятия коммуникационных функций и тем самым предоставляет возможность их формализованного описания, что необходимо при интеграции систем автоматизации инженерного оборудования и специализированных систем иного назначения.
Основу части 2 «Основные положения. Аппаратные средства» составляют материалы стандарта ISO 16484-2, который был подготовлен Техническим комитетом ISO ТС 205 «Проектирование среды здания» (Building environment design) в сотрудничестве с Европейским комитетом по стандартизации CEN.
Эти материалы были любезно предоставлены НП «АВОК» Техническим комитетом ISO ТС 205 в рамках полномочий, переданных НП «АВОК» Госстандартом России, по участию в разработке стандарта ISO 16484-2.
Данная серия европейских стандартов предназначена для проектирования новых зданий и реконструкции существующих с целью создания комфортной среды проживания, практической экономии энергоресурсов.
Настоящая часть описывает аппаратные средства, используемые для САиУЗ.
Преимущества использования данной серии европейских стандартов для САиУЗ обусловлены следующими факторами:
1. Проектирование внутренней среды всех типов зданий требует сложных методов для автоматизации и управления. Функциональная интеграция инженерных служб, включающих, помимо систем отопления, вентиляции и кондиционирования воздуха (ОВК), системы освещения и управления распределением электроэнергии, системы безопасности, системы вертикального транспорта (лифты, эскалаторы) и обеспечивающих управление техобслуживанием или средствами обслуживания, является общей задачей для всех сторон, участвующих в разработке объединенной многофункциональной (мульти-прикладной) системы. Такая интеграция дает возможность воспользоваться преимуществом согласованного взаимодействия приложений, автоматизирующих различные процессы. Этот стандарт является практическим руководством для застройщиков, архитекторов, проектировщиков, консультантов и подрядчиков, а также пользователей системы по тому, каким образом структурировать и подразделить такие ресурсы на составные части. •
2. На этапе эксплуатации в течение жизненного цикла здания периодически возникает потребность в обновлении и модернизации устройств, систем и сетей. При этом различны цели, задачи, масштаб и предмет этих изменений. Для того чтобы сделать возможным модернизацию системы путем добавления/замены соответствующих устройств, при этом обеспечить расширение сети здания и внести изменения в процессы взаимодействия между сетью САиУЗ и другими системами, в стандарте определены понятия различных функциональных элементов САиУЗ, интерфейсов и протоколов. На практике изготовители поддерживают как открытые стандартизованные интерфейсы и протоколы, так и свои, частные, зачастую закрытые, интерфейсы и протоколы. Изготовитель может спроектировать изделие для каких-либо своих определенных маркетинговых целей с использованием частного интерфейса/протокола и предоставить возможность интеграции специального устройства в среду многофункционального приложения САиУЗ. В последующих частях комплекса стандартов АВОК «Системы автоматизации и управления зданиями» будут определены также интерфейсы с рекомендованными коммуникационными протоколами и правила испытаний на соответствие для поддержки совместной работы устройств разных производителей.
3. Заказчик, проектировщик, системный интегратор или подрядная организация по установке электрических/механических систем смогут координировать действия, направленные на создание САиУЗ.
Цель данного стандарта не в том, чтобы стандартизировать аппаратные средства, программное обеспечение или архитектуру некоторой системы, а в том, чтобы определить процесс создания проектов, которые должны строго соответствовать требованиям к функциональным возможностям системы и качеству решения.
Настоящий комплекс стандартов АВОК «Системы автоматизации и управления зданиями» предназначен для использования всеми специалистами, участвующими в проектировании, производстве, разработке, установке, вводе в эксплуатацию, обслуживании и обучении САиУЗ, и может применяться в следующих качествах:
- в качестве руководства по терминологии в области автоматизации и управления зданиями. Однозначная терминология требуется для полной и точной передачи смысла и деталей данного стандарта;
- при разработке устройств для САиУЗ, чтобы избежать избыточного дублирования понятий, функций или неоднозначности терминологии, не ограничивая при этом развитие новых изделий, систем или приложений. Точное определение функциональных возможностей системы необходимо для предотвращения взаимного дублирования функций в различных устройствах системы управления;
- в качестве основы создания интерфейсных изделий и систем. Для совместного взаимодействия на сетевом уровне элементы САиУЗ подразумевают наличие общего протокола передачи данных и единой информационной модели;
- в качестве основы разработки проектной спецификации технических средств САиУЗ для организации документооборота между поставщиками продуктов/систем САиУЗ и организаций заказчиков. Успех при проектировании, приобретении, установке и функционировании САиУЗ предполагает тщательную проработку и интеграцию различных элементов проекта;
- в качестве свода правил для надлежащего ввода системы в эксплуатацию, предшествующего передаче системы;
- в качестве учебного пособия образовательными учреждениями, осуществляющими подготовку специалистов в области САиУЗ.
САиУЗ создаются в целях обеспечения гарантированной устойчивости функционирования процессов жизнеобеспечения требуемого качества в контролируемых зданиях, создания комфортной среды проживания, повышения эффективности использования энергетических ресурсов.
Объектами мониторинга и управления являются инженерно-технические конструкции зданий, системы жизнеобеспечения и безопасности, включающие:
- системы отопления, вентиляции, кондиционирования, холодо- и теплоснабжения;
- системы водоснабжения и канализации;
- системы электроснабжения;
- системы газоснабжения;
- инженерно-технический комплекс пожарной безопасности;
- системы вертикального транспорта;
- система голосового оповещения;
- комплекс технических средств безопасности;
- иные системы обеспечения технологических процессов в зданиях.
Обеспечение комфортных условий для проживания достигается соответствием параметров жизнеобеспечения (например, давления, расхода и температуры теплоносителя в магистралях теплоснабжения; давления и расхода воды в магистралях холодного водоснабжения; давления в магистралях газоснабжения, напряжения и тока в линиях электроснабжения и др.) нормативным значениям, а также отсутствием и предупреждением отказов в работе внутридомового оборудования.
Часть 2 «Основные положения. Аппаратные средства» описывает требования к аппаратным средствам для выполнения задач в САиУЗ. В ней приводятся термины, определения и сокращения для понимания всех частей комплекса стандартов АВОК «Системы автоматизации и управления зданиями».
В настоящем стандарте рассматриваются следующие аппаратные элементы/устройства:
- устройства для функций администрирования, сбора и хранения данных, операторские станции и другие устройства человеко-системного интерфейса;
- оборудование организации сетей передачи данных верхнего уровня (для рабочих станций и сетевых контроллеров);
- сетевые контроллеры;
- контроллеры, станции автоматизации и специализированные контроллеры приложений;
- полевые устройства и их интерфейсы;
- кабельные системы и соединение устройств;
- средства для инжиниринговых работ и ввода системы в эксплуатацию.
Часть 2 «Основные положения. Аппаратные средства» предоставляет описание характерной модели системы, к которой можно привести все различные типы САиУЗ и их средства связи (сеть САиУЗ). Концепция сети САиУЗ в графическом виде в терминах топологии локальной сети приведена в п. 6.
1. Стандарт АВОК-3-2003. Системы автоматизации и управления зданиями. Ч. 1. Общие положения. М.: АВОК-ПРЕСС, 2003.
2. ГОСТ 34.ХХХ-ХХ. Информационная технология. Комплекс стандартов и руководящих документов на автоматизированные системы:
2.1. ГОСТ 34.001-90. Основные положения;
2.2. ГОСТ 34.003-90. Термины и определения;
2.3. ГОСТ 34.201-89. Виды, комплектность и обозначение документов при создании автоматизированных систем;
2.4. ГОСТ 34.601-90. Автоматизированные системы. Стадии создания;
2.5. ГОСТ 34.602-89. Техническое задание на создание автоматизированной системы;
2.6. ГОСТ 34.603-92 Виды испытаний автоматизированных систем;
3. EN ISO 16484-Х. Building Automation and Control Systems - BACS:
3.1. EN ISO 16484-2. Building Automation and Control Systems - BACS. Part 2: Hardware;
3.2. EN ISO 16484-3. Building Automation and Control Systems - BACS. Part 3: Functions;
3.3. prEN ISO 16484-5. Building automation and control systems - BACS. Part 5: Data communication protocol (ISO/DIS 16484-5:2002),
4. IEC 60364. Electrical installation of buildings.
5. IEC 60715. Dimensions of low-voltage switchgear and controlgear - Standardized mounting on rails for mechanical support of electrical devices in switchgear and controlgear installations.
6. ISO/IEC 2382-1:1993. Информационная технология. Словарь. Ч. 26. Взаимосвязь открытых систем.
7. ISO/IEC2382-18. Информационная технология.
8. ISO/IEC 7498-1:1994. Information technology - Open Systems Interconnection - Basic reference model. Part 1: The basic model.
9. ISO/IEC 10746-2:1996. Information technology - Open Distributed Processing - Reference model. Part 2: Foundations.
10. ISO/IEC TR 13233:1995. Information technology - Interpretation of accreditation requirements in ISO/IEC Guide 25 - Accreditation of information technology and telecommunications testing laboratories for software and protocol testing services.
11. Системы автоматизации и управления зданиями: Англо-немецко-русский терминологический словарь / А. М. Абрамов, А. А. Баранов, М. М. Бродач и др. М.: АВОК-ПРЕСС, 2004.
Термины и определения представлены в прил. 1.
Символы, сокращения и аббревиатуры представлены в прил. 2.
САиУЗ обычно состоит из следующих основных компонентов:
- оборудования (технических средств), включающего:
1) полевые устройства (КИПиА);
2) управляющие устройства;
3) кабельную сеть;
4) средства коммуникации;
5) серверы и рабочие станции;
- прикладного программного обеспечения (выполняемого с использованием программных средств);
- сервисного обеспечения (выполняемого с использованием инструментальных средств инжиниринга - проектирования, программирования и наладки).
Каждая САиУЗ проектируется индивидуально посредством комбинации следующих компонентов:
- стандартного компьютерного оборудования (устройства обработки данных);
- типового коммуникационного оборудования передачи данных;
- специального оборудования производителя;
- стандартного системного программного обеспечения (например, операционная система, система управления базами данных, исполнительные модули SCADA-систем);
- специального инструментального программного обеспечения специфичного для приложений и устройств конкретного производителя (например, программы и инструментальные средства инжиниринга);
- прикладного программного обеспечения, разрабатываемого в рамках проекта в целом и для специальных приложений проекта (например, функции, которые должны быть разработаны в рамках проекта для управляющих устройств, серверов, рабочих станций и средств коммуникации).
Решения, связанные с функциональностью (технологические решения по инженерным системам), обычно принимаются до того, как определяется специальная конфигурация проекта с ее структурой и компонентами оборудования для САиУЗ.
Существует множество различных решений по оборудованию, средствам коммуникации и программному обеспечению, позволяющих достигнуть необходимой функциональности.
Общие варианты построения систем коммуникации даны в п. 6.6.1, коммуникационный сервис и объекты взаимодействия САиУЗ будут определены в разрабатываемых частях комплекса стандартов АВОК «Системы автоматизации и управления зданиями».
Функции САиУЗ, которые реализуются с помощью программного обеспечения в аппаратных средствах и средств инжиниринга, будут описаны в следующей части комплекса стандартов АВОК «Системы автоматизации и управления зданиями». В нее будут включены методы определения функций САиУЗ, которые необходимы при разработке проектов.
Для всех компонентов системы/оборудования в соответствии с требованиями проекта должны быть определены показатели и характеристики, общие для некоторых видов устройств и служащие критериями для установления механических, электрических требований к устройствам и окружающей среде по следующим параметрам:
- потребляемая мощность;
- рабочее напряжение;
- тепловыделение;
- распространение акустического шума;
- параметры окружающей среды: температура, относительная влажность и запыленность;
- использование некоррозионных элементов крепежа;
- степень защиты, обеспечиваемая корпусами (IP - класс защиты);
- защита от физических ударов/вибрации;
- класс электрической безопасности (например, защита от удара электрическим током);
- EMC (EMI) соответствие/класс защиты;
-и др.
Устройства администрирования/диспетчеризации обычно выполняют следующие функции:
- коммуникационное взаимодействие с устройствами САиУЗ через сети автоматизации/управления;
- ведение журнала (сохранение/запись) исторических данных, их архивация и анализ для оптимизации режимов управления и обслуживания;
- коммуникационное взаимодействие для обмена данными со специализированными выделенными системами (например, с системой пожарной сигнализации) с целью обеспечения их согласованного взаимодействия через устройства уровня администрирования и реализации функций администрирования/диспетчеризации этих систем.
Описание программного обеспечения и функций системы администрирования будет описано в разрабатываемых частях комплекса стандартов АВОК «Системы автоматизации и управления зданиями».
Обычно функции администрирования осуществляются с использованием устройств обработки данных. При этом могут применяться как устройства мониторинга и управления (MOU) (рабочие станции), так и программирующие устройства (PU), имеющие мониторы (устройства визуального отображения).
Установленные требования должны быть согласованы по следующим пунктам:
- технологические требования к процессам функционирования здания;
- размер и масштаб системы (объемы автоматизации), определяемый типом и количеством входов/выходов, функций обработки и управления, человеко-машинным интерфейсом;
- степень сложности, определяемая функциональной структурой и степенью взаимосвязи процессов;
- время отклика (реакции) системы;
- количество и тип интерфейса периферийных приборов;
- возможность модернизации/обновления.
В том случае, когда требуется компьютерное оборудование промышленного класса (соответствующее требованиям для промышленных условий), это должно быть специально оговорено.
При применении такого оборудования должны быть определены соответствующие условия установки и монтажа.
При выборе компьютерного оборудования, например, персональных и/или мини-компьютеров (равно как и промышленных компьютеров) характеристики устройств должны соответствовать требованиям конкретного проекта САиУЗ.
Специальные рабочие характеристики устройств обработки данных:
- Общие:
1) вычислительная мощность;
2) конструктивное исполнение (например, настольный или вертикальный блок, блок, монтируемый на стойку, и т. д.);
3) количество и тип разъемов, гнезд для плат для расширения функциональности вычислительного оборудования, виды внутренних и внешних системных шин и интерфейсов для связи с периферийным оборудованием.
- Для основного запоминающего устройства:
1) требуемые объемы памяти и технология основного запоминающего устройства;
2) требуемое среднее время доступа к данным и срок их хранения;
3) необходимость гарантированного резервирования данных оперативного и долговременного хранения.
- Коммуникационные возможности обеспечения взаимодействия с контроллерами, со всеми типами используемых в проекте сетей связи, с выделенными специализированными системами (DSS) и другими видами устройств:
1) количество и тип поддерживаемых интерфейсов;
2) количество и тип поддерживаемых протоколов для коммуникации через интерфейсы;
3) требования по надежности и безопасности (дублирование процессоров, кластеризация, ограничение доступа к вводу/выводу).
6.2.3.1. Запоминающее и архивирующее устройство
Для каждого проекта должны быть установлены соответствующие функции и рабочие характеристики устройств хранения и архивации данных. Эти параметры должны быть согласованы с базовыми показателями и характеристиками оборудования в соответствии с п. 6.1.3.
Общие рабочие характеристики устройств:
- количество и срок хранения информации;
- требования к устройствам и носителям среды архивации и возможности работы с данными (режимы работы);
- требования по резервированию и отказоустойчивости запоминающих устройств, например, использование RAID-массивов хранения информации.
Специальные рабочие характеристики устройств:
- скорость доступа к данным;
- время, необходимое для резервирования системных данных;
- объем памяти;
- резервное копирование.
6.2.3.2. Устройства визуального отображения
Устройства визуального отображения (VDU), как оконечные устройства, обеспечивают с помощью человеко-машинного интерфейса следующие функции:
- наблюдение, обработку и исполнение рабочих функций оператора и сообщений о тревоге;
- путем представления в виде графического интерфейса пользователя (GUI) выполнение рабочих функций оператора, например, представление информационной точки данных (САиУЗ), графика, а также обработку сигналов тревоги и календарное планирование.
Устройства мониторинга и управления или станции оператора либо взаимодействуют с сервером как отдельным устройством через его функции через сеть САиУЗ, либо функции сервера интегрированы в устройство мониторинга и управления или рабочую станцию. Функции сервера могут быть также интегрированы в контроллеры. В общем, функционирование человеко-машинного интерфейса возможно на любом уровне управления (при взаимодействии с устройствами администрирования, управляющими устройствами и устройствами автоматики).
Устройство визуального отображения может быть составной частью станции оператора (например, в виде персонального компьютера), которая включает в себя монитор, клавиатуру и, возможно, указывающее устройство. Для каждого проекта должны быть установлены соответствующая функциональность и характеристики. Типовые рабочие характеристики станции оператора:
- размер и состав устройства;
- тип устройства визуального отображения (монитор на базе электронно-лучевой трубки (ЭЛТ), ЖК-экран, видеопроектор и др.), объем памяти для графических плат;
- устойчивость к воздействиям окружающей среды;
- клавиатура и указывающее устройство, например: мышь, шаровой манипулятор, сенсорный экран, световое перо;
- возможность управления доступом пользователей, например, кодовые карточки доступа, кодовые брелоки и т. д.
Типовые рабочие характеристики устройства визуального отображения:
- тип устройства визуального отображения индивидуального или в составе станции оператора на персональном компьютере;
- размер устройства и размер экрана (монитора);
- тип устройства ЭЛТ, ЖК-экран и др.;
- требуемое разрешение и частота обновления экрана;
- возможности алфавитно-цифрового и/или графического отображения;
- черно-белый или цветной монитор;
- защита от бликов экрана;
- защита от рентгеновского излучения;
- соответствие стандартам.
6.2.3.3. Печатающее устройство (принтер)
Для каждого проекта должны быть определены соответствующие функции и рабочие характеристики печатающих устройств. Эти требования должны соответствовать основным рабочим характеристикам оборудования согласно п. 6.1.3 и следующим требованиям:
- Тип принтера должен определяться по следующим параметрам:
1) возможность графического и/или цветного изображения;
2) технология печати, например, ударного или неударного действия;
3) параметры печати, например, требуемое количество символов в строке, строк на странице, разрешение;
4) требуемая скорость печати, количество символов в секунду, страниц в минуту;
5) тип бумаги (листы, рулонная лента - складная перфорированная лента);
6) акустическое воздействие.
- Тип подключения принтера будет определяться по следующим параметрам:
1) прямой интерфейс (например, параллельный, последовательный или инфракрасный);
2) сетевой интерфейс. Критерии рабочих характеристик:
- поддерживаемые принтеры, интерфейсы и драйверы;
- разрешение;
- соответствие стандартам (графика/специальные языковые символы);
- технология печати;
- характеристики используемой бумаги.
6.2.4.1. Интерфейсный модуль сопряжения данных
Интерфейсные модули сопряжения данных (DIU) используются для задач обмена информацией между САиУЗ и выделенными специализированными системами по их собственной сети. Когда связь устанавливается через общедоступные сети данных, необходимо использовать интерфейсные модули сопряжения данных. Список DIU-приборов (например, шлюз, маршрутизатор, модем) и драйверов, поддерживаемых САиУЗ, должен быть предоставлен, когда это требуется.
Повторитель не является DIU-прибором в этом контексте.
В общем, интерфейсные модули сопряжения данных должны быть определены в соответствии со следующими показателями:
- имя, тип, спецификация производителей сетей. Используемые сети должны соответствовать национальным стандартам;
- требуемая скорость передачи данных;
- тип или стандарт доступа к сети (например, модем, маршрутизатор).
Критерии рабочих характеристик:
- поддерживаемые протоколы/интерфейсы;
- соответствие локальным правилам;
- соответствие стандартам;
- метод сжатия и коррекции;
- скорость передачи в битах/бодах.
6.2.4.2. Интерфейсы с выделенными специализированными системами
В сочетании с САиУЗ выделенные специализированные системы могут использоваться для таких приложений, как:
- управление сервисом/техническим обслуживанием;
- анализ данных в реальном времени или долгосрочное хранение информации о событиях;
- анализ архивированных исторических данных;
- системы поискового вызова;
- сбор данных и отчетность по противопожарной системе и системе безопасности.
Для обмена информацией между САиУЗ и специальными выделенными системами может быть организован обмен данными через интерфейсный модуль сопряжения данных.
Коммуникация должна быть определена следующими показателями:
- количество и тип интерфейсов со специально выделенными системами;
- требуемые рабочие характеристики;
- тип интерфейса:
1) коммуникация по линии через сеть или интерфейсный модуль сопряжения данных,
2) напряжение на свободных контактах;
- направление коммуникации;
- спецификация типа сети и протокола;
- требуемый объем памяти в САиУЗ для поддержки специально выделенной системы.
6.2.5.1. Устройство звукового оповещения
Сигнал тревоги или система сообщений о событиях может создавать звуковую индикацию. Должно быть определено, нужно ли подтверждать индикацию вручную или она работает автоматически. Основные характеристики звукового оповещения должны быть определены в соответствии со следующими показателями:
- уровень громкости;
- тип подтверждения;
- активирующее устройство, например, реле в устройстве управления или администрирования;
- режим и условия эксплуатации (многофункциональное устройство, сигнализатор, уличное исполнение и т. д.);
- обработка первого и последнего сигнала.
6.2.5.2. Устройство оптического сообщения
Сигнал тревоги или система сообщений о событиях может создавать оптическую индикацию. Должно быть определено, нужно ли подтверждать индикацию вручную или она работает автоматически. Основные характеристики оптического сообщения должны быть определены в соответствии со следующим:
- яркость;
- тип подтверждения;
- активирующее устройство, например, реле в устройстве управления или администрирования;
- обработка первого и последнего сигнала;
- режим и условия эксплуатации.
Приборы, станции, устройства и управляющее периферийное оборудование для функций автоматизации и управления обеспечивают условия для выполнения следующих основных задач САиУЗ:
- прямое цифровое управление (ПЦУ или DDC);
- энергетическая и эксплуатационная оптимизация;
- наблюдение за работой установок;
- информация о тревоге, сбое, техническом обслуживании и функционировании;
- автоматическое и ручное управление (локальная ручная корректировка исключается);
- сбор данных для статистики и анализа величин и состояний;
- обмен информацией между функциями автоматизации и управления, устройствами автоматики и функциями администрирования.
Большинство функций, связанных с работой установок в реальном времени, осуществляются в независимых контроллерах. Основными рабочими функциями контроллеров являются:
- функции физических входов и выходов;
- функции коммуникации входов и выходов для общих точек данных;
- мониторинг;
- взаимное соединение;
- циклическое управление в замкнутом контуре и командное управление с разомкнутым контуром (в системе без обратной связи);
- расчет/оптимизация;
- функции комнатного управления (т. е. управление в отдельной зоне, управление освещением, управление шторами/жалюзи).
Описание технологических функций будет приведено в разрабатываемых частях комплекса стандартов АВОК «Системы автоматизации и управления зданиями».
Специально выделенные системы могут взаимодействовать с функциями обработки данных САиУЗ через интерфейсный модуль сопряжения данных в САиУЗ и с функциями администрирования САиУЗ через межсистемное устройство с сетью управления верхнего уровня.
Состав оборудования можно варьировать таким образом, чтобы он соответствовал требованиям приложения и был конструктивно организован в виде блоков механического оборудования (MER), например:
- приборы для мониторинга и ручных операций управления могут быть предусмотрены на уровне автоматизации и управления;
- локальные ручные пульты/индикационные приборы могут поставляться с принадлежностями для монтажа;
- управляющие устройства могут иметь как встроенные элементы электрической защиты, так и внешние;
- некоторые устройства автоматики (полевые приборы) могут иметь встроенные функции управления (например, ограничение, двухпозиционное управление и т. п.).
При определении требований к оборудованию для типовых управляющих устройств в дополнение к основным рабочим характеристикам оборудования, определенным в п. 6.1.3, должны учитываться следующие показатели:
- тип и количество функций входов/выходов и функций обработки данных, необходимых для управления ОВК и другим связанным с ним оборудованием установок;
- функции, предназначенные для локального человеко-машинного интерфейса;
- тип и количество функций коммуникации, необходимых для функций управления верхнего уровня;
- тип и количество локальных ручных пультов/индикационных приборов, необходимых для работы установки при любых штатных и чрезвычайных условиях;
- тип и количество взаимосвязанных модулей/коммуникационных приборов, обеспечивающих соединение с другим оборудованием установки;
- временные ограничения, накладываемые человеко-машинным интерфейсом.
6.3.2.1. Задачи и структуры
Контроллеры САиУЗ или станции автоматизации автоматически воздействуют на оборудование установки, обеспечивая эффективную работу и высокую работоспособность установки путем исполнения специальных функций, предусматриваемых тем или иным проектом. Специальные функции будут описаны в разрабатываемых частях группы стандартов.
Контроллер может представлять собой одно компактное устройство с фиксированным числом входов/выходов или группу управляющих модулей (например, один базовый модуль, к которому можно подсоединить дополнительные модули и/или модули ввода/вывода напрямую или через последовательную коммуникационную систему).
Способы, которыми может передаваться информация между контроллерами САиУЗ, следует предусматривать следующих видов:
- через кабельные сигнальные линии;
- через сеть САиУЗ с использованием устройств с коммуникационными возможностями.
Контроллеры характеризуются следующими общими показателями:
- количество и тип физических точек входов/выходов для каждого прибора или модуля;
- количество и тип каждого коммуникационного интерфейса;
- количество доступных/возможных адресов точек данных.
6.3.2.2. Электропитание
Модули контроллеров могут иметь как собственные источники питания, так и получать электропитание от общего источника для группы управляющих модулей. Модульный контроллер может иметь базовое устройство (шасси) для объединения модулей. Базовое устройство может содержать модуль электропитания.
Источник питания должен удовлетворять всем региональным (государственным) нормам по безопасности и специальным проектным требованиям. Следует специально оговаривать использование низкого или сверхнизкого напряжения (<50 В) переменного или постоянного тока.
К основным показателям источников электропитания относятся следующие:
- входное напряжение (согласно региональным нормам);
- вид внешнего электропитания (переменного или постоянного тока);
- выходное напряжение и ток;
- наличие встроенной защиты источника от короткого замыкания по выходу (или нет);
- наличие локальных сигнальных ламп/светодиодов, например, для индикации наличия напряжения питающей сети и выходного напряжения, сбоя и т. д.;
- двоичные выходы (контактные группы) для сигнализации об отказе или сбое питания.
6.3.2.3. Устройства обработки информации
Устройство обработки информации контроллера обрабатывает физические данные от всех входов/выходов контроллера и виртуальные данные от других коммуникационных модулей, присоединенных через сеть САиУЗ.
Чтобы адресовать свою информацию и выполнить программные функции, контроллер должен быть запрограммирован, и должны быть установлены требуемые параметры.
Если контроллер не оснащен источником бесперебойного питания, тогда в случае отказа питания следует предусмотреть:
- перечень программ, параметров и данных, которые необходимо сохранять при сбое электропитания;
- внутренние системные часы (временные и календарные функции) должны продолжать работать в течение определенного времени в зависимости от приложения. Эти параметры должны быть определены в каждом проекте.
При возобновлении питания встроенные функции контроллера должны возобновляться автоматически, без ручного вмешательства оператора. Однако должно быть определено поведение специальных приложений котроллера после перезапуска.
Контроллер может содержать приборы и программные функции для самонаблюдения (например, сторожевой таймер) и должен выдавать отчеты об отказах; эта информация может передаваться через коммуникационную сеть САиУЗ.
Обрабатывающее устройство может быть оборудовано следующими типами интерфейсов:
- интерфейсы электропитания;
- интерфейсы для физических точек данных (входов/выходов);
- интерфейсы для коммуникации человека с системой;
- интерфейс коммуникации с сетями. К основным техническим показателям и параметрам контроллеров относятся следующие:
- максимальное число обрабатываемых точек данных различных типов физической и виртуальной информации;
- минимальное время цикла для сканирования максимального числа точек данных в каждом обрабатывающем устройстве;
- максимальное число контуров (процессов) управления, доступных в каждом обрабатывающем устройстве;
- минимальное время цикла обработки для замкнутого цикла управления;
- минимальное время буферизации программ и данных в оперативной памяти контроллера, обеспечивающее их сохранность для продолжения работы после кратковременного сбоя и/или для копирования (сохранения) данных из оперативной памяти в энергонезависимую память контроллера при отказе электропитания;
- минимальное время сохранности программ и данных в энергонезависимой памяти, а также время работы внутренних часов контроллера (системного таймера), необходимое для продолжения работы контроллера после возобновления электропитания, например: 48 или 72 часа;
- способность самотестирования и возможности индикации состояний запуска/отказа и т. д.
Функционально-программные показатели контроллеров для обработки данных будут описаны в разрабатываемых частях стандарта.
6.3.2.4. Интерфейсы входов/выходов
6.3.2.4.1. Общее
Обрабатывающее устройство контроллера может иметь встроенные (внутренние) интерфейсы входов/выходов для физических точек данных, коннекторы (соединители, разъемы, клеммники и т. д.) для локальных внешних интерфейсов входов/выходов и/или для дистанционных внешних интерфейсов. Соединение между обрабатывающим устройством и локальными внешними модулями входов/выходов для физических входов/выходов может иметь одно соединение на каждую точку (параллельного типа) или выполняться через локальную шину (последовательного типа). Коммуникационные интерфейсы входов/выходов для дистанционных инсталляций соединяются с полевой сетью. Требования к коммуникационным входам и выходам определены в п. 6.3.2.6.
Интерфейсные модули ввода/вывода, модули сопряжения и коннекторы следует монтировать так, чтобы они были легко доступны для обслуживания. Они также должны быть четко промаркированы. Интерфейсы входов/выходов должны быть обеспечены средствами подключения для испытаний и иметь устройство отображения (например, светодиодные индикаторы), чтобы показывать состояние сигналов. Рекомендуются нержавеющий крепеж и/или разъемы и розетки.
Физические входы/выходы должны быть определены в соответствии со следующими показателями:
- верхнее напряжение и пределы защиты по электромагнитной совместимости;
- гальваническая развязка сигналов на входах/выходах;
- номинальное напряжение;
- максимальный номинальный ток на бинарных, цифровых и аналоговых выходах;
- если требуется, вид взрывозащищенности.
Рабочие характеристики:
- максимальное число физических входов/выходов;
- максимальное число коммуникационных интерфейсов;
- типы возможных сигналов на входах/выходах;
- отображение (индикация) рабочего состояния/сигналов на входах/выходах.
Обмен сигналами между полевыми приборами рабочей установки и контроллерами следует выполнять через следующие входы и выходы (пп. 6.3.2.4.2-6.3.2.4.6).
6.3.2.4.2. Двоичный вход
Двоичный вход (BI) используется для ввода одного бинарно-закодированного входного сигнала. Рекомендуется использовать контакты, свободные от напряжения и скачков.
Должны быть определены следующие требования к физическим двоичным входам:
- максимальная распознаваемая частота;
- требуемое качество передающих контактов (максимальное сопротивление).
6.3.2.4.3. Двоичный выход
Двоичный выход (ВО) обычно используется для подачи команд на исполнительное устройство или для включения контактора с целью переключения электрического мотора (например,
вентилятора, насоса). Где это нужно, к двоичным выходам подсоединяются дополнительные реле со свободными от напряжения контактами.
Двоичные выходы могут создавать моментальное соединение (импульсный сигнал) или удерживаемое соединение (устойчивое состояние или постоянный сигнал) для команд управления при многопозиционном управлении, например, трехпозиционными исполнительными устройствами.
Должны быть определены следующие требования к физическим двоичным выходам:
- внутренние или внешние реле для двоичных выходов;
- тип формирователя выходного сигнала (например, двунаправленный тиристор симистор, релейный контакт: замыкающий, размыкающий, переключаемый, остаточный);
- максимальное напряжение и номинальная коммутационная способность (номинальные ток и напряжение);
- используются ли внешние реле;
- номинальное рабочее напряжение на обмотке и полное сопротивление.
6.3.2.4.4. Аналоговый вход
Аналоговый вход (AI) используется для ввода измеряемого параметра (в виде напряжения и/или тока). Активные датчики (преобразователи) с диапазонами сигнала 1...5 В, 0(2)...10 В или соответственно (0)4...20 мА) и пассивные сопротивления подключаются напрямую.
Обычно аналоговые входы не имеют гальванической изоляции и соединены с базовым заземлением контроллера/коммуникационного интерфейса.
Пассивные датчики низкого сопротивления (например, Pt 100, Ni 100) должны быть соединены с использованием трех- или четырехпроводной техники, и на них подается постоянный ток или напряжение.
Должны быть определены следующие требования к физическим аналоговым входам:
- диапазон сигнала, диапазон измерения;
- класс точности аналоговых входов;
- тип датчиков/преобразователей;
- тип аналоговых входов (например, пассивный/активный);
- разрешение параметра процесса, обеспечиваемое входной схемой контроллера.
6.3.2.4.5. Аналоговый выход
Аналоговый выход (АО) должен быть защищен от короткого замыкания. Исполнительные устройства могут быть соединены с аналоговыми выходами напрямую или через соединительные модули.
Выходы с диапазоном сигнала (0)4...20 мА должны давать нагрузку при определенном максимальном сопротивлении (например, 250 Ом).
Выходы с диапазоном сигнала 1...5 В или 0(2)...10 В должны быть способны управлять нагрузкой при определенном минимуме сопротивления (например, 10 кОм).
Должны быть определены следующие требования к физическим аналоговым выходам:
- максимальное сопротивление для токового выхода;
- минимальное сопротивление для выхода напряжения;
- диапазон тока/напряжения;
- разрешение параметра процесса, обрабатываемое цифро-аналоговым преобразователем (DAC).
6.3.2.4.6. Счетный вход
Счетный вход (CI) используется для подсчета импульсных сигналов. Счетные входы сконструированы как двоичные входы для подсоединения контактов, свободных от напряжения, или полупроводниковых мгновенных контактов. В случае функций оборудования счетчик должен работать как последовательный накопитель.
Подсчитываемые величины следует хранить в долговременной памяти в течение определенного времени из-за возможного отказа питания. Требуемое время хранения должно быть определено для каждого проекта, например, как минимум 48 или 72 часа, в зависимости от приложения. Функции и диапазоны измерений будут описаны в следующих частях комплекса стандартов АВОК «Системы автоматизации и управления зданиями». Допустимо обеспечение возможности предварительной установки/переустановки для накапливаемой величины.
Должны быть определены следующие требования к физическим счетным входам:
- максимальная скорость импульсов и минимальная длительность;
- требуемое качество передающих контактов;
- общий диапазон величины (если применяется для оборудования);
- возможности переустановки/предварительной установки (если применяется для оборудования);
- величина свертывания (максимальная величина, при которой счетчик еще не возвращается в ноль).
6.3.2.5. Коммуникационный интерфейс
Управляющие устройства могут быть оборудованы интерфейсами коммуникации данных для всех типов сетей, например, для обмена данными с шиной/сетью, интерфейсами входов/выходов, СКП, устройствами оператора и программирующими устройствами, станциями оператора, приборами управления, специально выделенными системами.
Графическое изображение общей структуры системы и соответствующие пояснения даны в п. 6.6.
Специальные функции коммуникации для входов/выходов и функции для коммуникации с управляющими приборами должны быть определены индивидуально для проекта/установки, как будет описано в одной из разрабатываемых частей комплекса стандартов АВОК «Системы автоматизации и управления зданиями». Там же будет описан протокол для взаимодействия систем.
Коммуникация может осуществляться либо через интерфейсы поточечно, по системной шине, сети, через приборы интерфейса для данных, или через модем в общую телефонную сеть, или через поставщика услуг для сетей данных.
Коммуникация может быть осуществлена с помощью специальных интерфейсов/протоколов производителя либо с помощью стандартизованных интерфейсов/протоколов. Оборудование для компонентов каждого интерфейса должно соответствовать определенным стандартам, например, IEEE, ITU (CCITT), EIA или эквивалентным.
Для дистанционной работы или программирования может быть использован встроенный или внешний модем связи с общедоступной сетью.
Отключение одного коммуникационного интерфейса не должно влиять на эффективность остальных связей САиУЗ.
Типовые коммуникационные интерфейсы и их физические критерии эффективности должны быть определены для каждой сети следующим образом:
- тип сети или прямое соединение, например, по частному протоколу или в соответствии со стандартным протоколом для каждого из видов: функциональная/полевая сеть (FN), сеть управления (CN), сеть администрирования (MN);
- предписание соответствия реализации протокола (если он применяется);
- общее число узлов, поддерживаемых сетью;
- максимальное расстояние/длина системы коммуникации/кабеля;
- максимальное расстояние между устройствами в сети;
- длина кабеля без усилителя (усилитель используется как повторитель);
- максимальное число усилителей или повторителей;
- тип интерфейса/стандартов, используемых для коммуникационной среды, и соединителей на уровне 1 в ISO - OSI базовой эталонной модели согласно ISO 7498-1:1994;
- возможность использовать переносное устройство мониторинга и управления и программирующее устройство, тип и требования для подключения к сети;
- максимальная скорость в битах (бит/сек.) для коммуникационных интерфейсов в сети;
- используемый тип протокола интерфейса для модема, например, CCITT V25bis (для Hayes-AT-команд), CCITT V35, и т. д.;
- если требуется, тип огнезащиты, например, внутренний;
- класс защиты;
- пределы зашиты от скачков напряжения.
6.3.2.6. Устройство наблюдения и управления, программирующее устройство
Процессор контроллера может иметь возможность соединения с одним или более человеко-системным интерфейсом (HSI) для взаимодействия. Используемые приборы являются устройствами мониторинга и управления, панелями оператора, программирующими устройствами или станциями оператора.
Требования к устройствам визуального отображения как части станции оператора даны в п. 6.2.3.2. Программируемые устройства в общем подобны инструментам инжиниринга/пусконаладки, которые рассмотрены в п. 6.7.
Устройство мониторинга и управления и программирующее устройство могут представлять собой встроенные, локальные, стационарные, переносные ручные приборы или устройства/станции в сети. Устройство мониторинга и управления и программирующее устройство используются как интерфейсы для взаимодействия человека с системой и могут быть специальными устройствами производителя или устройствами стандартного типа. Функции устройства мониторинга и управления и программирующего устройства могут поддерживаться разнообразной продукцией. Выбор зависит от специальных требований проекта.
В следующем списке даны общие требования к спецификации устройства мониторинга и управления и программирующего устройства:
- требования к работе и обслуживанию здания;
- необходимый уровень обучения службы эксплуатации;
- официальные требования по механике, электрике и окружающей среде; 1 - тип оболочки (например, встроенный или навесной).
Должен быть определен следующий список типовых требований:
- электропитание;
- время работы без основного питания;
- сетевой интерфейс;
- размер и тип визуального отображения (например, электронно-лучевая трубка, плоский экран, сенсорный экран);
- требования к алфавитно-цифровому отображению или графике;
- тип монитора (например, черно-белый или цветной);
- тип клавиатуры, указывающих устройств и т. п.;
- требования к соединению с принтером. Рабочие характеристики:
- вес;
- интерфейсы с оператором (например, переключатель, пусковая кнопка).
6.3.2.7. Оболочка
Управляющие устройства и устройства мониторинга и управления могут быть смонтированы одним из следующих способов:
- монтаж на переднюю дверь шкафа;
- монтаж на DIN-рейку 35 мм, IEC 60715;
- монтаж на стойку;
- монтаж на стену.
Оболочки и монтажное расположение управляющего оборудования должны быть ясно и постоянно опознаваемы. Должны быть предоставлены соответствующие схемы управления, схемы установок и другая документация. Все компоненты должны быть легко доступны и заменяемы при техническом обслуживании.
Должны быть определены следующие требования:
- максимальный размер корпуса;
- тип монтажа;
- материал;
- средства блокировки корпуса;
- цвет.
Рабочие критерии:
- оболочка и/или модуль легко заменяемы;
- винтовые клеммы или штепсельные разъемы.
6.3.3.1. Задача и структура
Специализированный контроллер приложения (СКП) является управляющим устройством, специально разработанным для решения определенных прикладных задач управления (например, для комнатного управления и оконечных устройств). Благодаря обычному расположению вблизи устройств автоматики (полевых приборов) СКП часто соединяют с распределенной сетью автоматики (полевой сетью).
Как правило, СКП - это компактные, полностью интегрированные отдельные приборы, выполняющие все функции локального приложения. Комнатные приборы для установки заданных значений и рабочих режимов могут дополнять их.
Функциональность СКП для установок/проектов будет описана в разрабатываемых частях комплекса стандартов АВОК «Система автоматизации и управления зданиями».
Критерием эффективности является способность выполнять определенные функции.
6.3.3.2. Процессоры СКП
Изготовленные по техническим условиям заказчика электронные устройства и программы выполняют все требования специального приложения. Любая долговременная память содержит структуру приложения и значения параметров по умолчанию.
6.3.3.3. Физические входы/выходы СКП
Ряд цифровых/аналоговых входов/выходов с фиксированным физическим расположением определен для управляющих устройств специальных приложений.
6.3.3.4. Возможности коммуникации СКП
Должно быть обеспечено соединение управляющей цепи с терминалами сети. Встроенные коммуникационные терминалы допускают различные интерфейсы для устройства мониторинга и управления и программируемого устройства, для комнатных приборов, для полевых приборов, а также для объединения с другими СКП, соединенными с сетью.
6.3.3.5. Оболочка СКП
Предусмотрены следующие варианты установки СКП (тип должен быть определен согласно требованиям приложения):
- некомплектные электронные печатные платы для интеграции в оборудование приложения;
- электронные табло, обладающие специальными возможностями человеко-машинного интерфейса;
- отдельные, полностью комплектные приборы, которые могут быть закреплены или защелкнуты на монтажные рейки.
Приборы должны быть четко и надежно промаркированы для идентификации. Должно быть предусмотрено место для ярлыков с указаниями (например, адрес, режим), чтобы однозначно определить данный продукт и его функции в системе.
Критерии исполнения сформулированы в п. 6.1.3.
Полевые приборы САиУЗ включают датчики и исполнительные устройства. Они подключаются к интерфейсам ввода/вывода контроллеров непосредственно или через коммуникационные устройства/сети. Датчики, исполнительные устройства и другие устройства предоставляют необходимую информацию об условиях, состоянии и значениях параметров процессов в установке и осуществляют непосредственное выполнение запрограммированных операций. Должны предусматриваться следующие функции:
- датчики:
1) двоичный вход, мониторинг состояния;
2) импульсный вход, счет;
3) аналоговый вход, измерение;
4) состояние/значение коммуникационного входа;
- исполнительные устройства:
1) двоичный выход, переключение;
2) аналоговый выход, позиционирование;
3) состояние/значение коммуникационного выхода;
- другие полевые приборы:
1) модули сопряжения;
2) локальные ручные пульты/индикационные приборы;
3) локальные устройства комнатного управления;
4) приборы для локального управления и функций автоматической безопасности, например, лимитирующие. Полевые приборы, напрямую включенные в сеть, как описано выше, должны выполнять функции безопасности.
Рекомендуется, чтобы все полевые приборы были четко и надежно промаркированы с указанием адресов точек в САиУЗ.
Описание функций ввода и вывода будет приведено в разрабатываемых частях комплекса стандартов АВОК «Системы автоматизации и управления зданиями».
Модули сопряжения осуществляют гальваническую развязку при передаче сигналов между контроллером и внешним напряжением. Номинальное напряжение на катушке модуля сопряжения для двоичных выходов (реле сопряжения) должны быть определены в соответствии с существующими нормативными документами.
Категория контакта должна быть определена в соответствии с аппаратурой, с которой осуществляется интерфейс. Требуется, чтобы контроллер и модули сопряжения были совместимы.
Модули сопряжения могут монтироваться внутри шкафов с энергетическим оборудованием, что позволит использовать низковольтную проводку или интерфейсы полевых шин для соединений между шкафами с управляющим оборудованием и шкафами с энергетическим оборудованием. Как описано в п. 6.4.3, модули сопряжения вместе с приборами для локального управления и индикации (LO/ID) могут образовывать единый блок. Разъемы/терминалы модулей сопряжения должны быть промаркированы четко и в одном стиле.
Для модулей сопряжения должны быть описаны следующие требования:
- легкий доступ и замена для обслуживания;
- использование размыкающих реле (в зависимости от применения);
- метод монтажа (например, крепление к стене, защелка к монтажной рейке);
- винтовые зажимы или штыревые разъемы;
- наличие разъемов для диагностики;
- наличие локальных ручных пультов/индикационных приборов для локального управления/отображения.
6.4.3.1. Назначение и использование
Приборы для локального управления и индикации предоставляют интерфейс к устройствам автоматики (полевому оборудованию), обеспечивающий ручное включение/выключение, позиционирование и/или индикацию для ограниченного числа операций оборудования ОВК (например, вентиляторов, клапанов, регуляторов тяги, насосов).
Компоненты оборудования вне зависимости от работы централизованного управления могут быть напрямую включены/выключены или перепозиционированы пользователем, и их состояние может быть отображено, например, светодиодом.
Прибор для локального управления и индикации гарантирует, что оборудование может контролироваться локально с помощью ручного отключения от управляющих сигналов (например, с помощью управляющей панели) при некоторых ограничениях. Все подобного рода ограничения должны быть описаны в явном виде (например, приборы для осуществления функций безопасности).
Приборы для локального управления и индикации не предусматривают дистанционных операций или ручное управление в режиме диалога.
6.4.3.2. Конструкция приборов для локального управления и индикации
Сервисные операции по локальному прямому ручному управлению могут осуществляться с помощью приборов для локального управления и индикации, функционирующих следующим образом:
- как отдельные функциональные элементы (например, выключатели, потенциометры);
- рабочие элементы, интегрированные в интерфейсные модули ввода/вывода;
- в комбинации с реле сопряжения;
- вместе со специальными модулями для непосредственного ручного управления.
Индикационные устройства (например, светодиоды) должны отображать состояние (например, включение/выключение) и действующее положение (например, открыто/закрыто) выходов компонентов и команд от контроллеров. Рекомендуется, чтобы рабочее состояние сигналов приборов для локального управления и индикации отслеживалось контроллером (например, ручное управление активно/неактивно, предустановленное состояние и положение, установленное вручную).
Основные рабочие характеристики приборов для локального управления и индикации:
- эргономика устройства;
- серия модулей, доступных для переключения, позиционирования, индикации и т. д.;
- сигнальные индикаторы для доступных двоичных входов/выходов;
- отображение сигналов аналоговых входов/выходов, которые доступны, а также метод отображения;
- простота замены устройств в случае отказа.
6.4.3.3. Безопасность использования приборов для локального управления и индикации
Должна существовать защита от несанкционированного доступа к локальным ручным пультам/индикационным приборам (например, с помощью их монтажа внутри закрываемых панелей). Важные функции безопасности или сохранность взаимных блокировок не должны отключаться с локального ручного пульта.
6.4.4.1. Общие положения
Датчики подразделяются на три группы:
- Группа 1. Источники двоичного сигнала:
а) замыкающие/размыкающие выключатели или счетчики импульсов для счетных функций,
б) переключатели с функциями ограничения и опционального ручного сброса.
- Группа 2. Пассивные аналоговые датчики (например, выход переменного сопротивления).
- Группа 3. Активные датчики/преобразователи: сигнал с активным выходом, который должен быть специфицирован для проекта/приложения, например, 1...5 В, 0(2)...10 В или (0)4...20 мА.
Кроме того, существуют сетевые или шинные двоичные/аналоговые датчики для подключения к полевой сети в соответствии с п. 6.4.4.5 или датчики с цифровым выходом, например, в двоично-десятичном коде (BCD).
Ключевые параметры:
- требуемый тип датчика/преобразователя;
- требуемые выходные напряжение/ток для активных датчиков/преобразователей;
- точность или класс точности измерения для активных или пассивных датчиков (например, класс 1, точность 1 % от полной шкалы по выходу);
- среднее время наработки между регламентными работами (МТВМ);
- требуемый тип (спецификация) кабеля;
- требуемые параметры по электромагнитной совместимости.
6.4.4.2. Источник двоичного сигнала
Для источника двоичного сигнала необходимо предусмотреть замыкающие или размыкающие обесточенные контакты. Для индикации рабочего состояния «on» (включено) контакт должен быть замкнут (нормально разомкнутый контакт). На каждую активную функцию требуется один контакт (один бит информации в точке данных на одно состояние контакта). Для некоторых функций безопасности и тревог необходимо иметь размыкающие контакты (для обнаружения сбоя).
Переключатели, использующиеся в качестве источника двоичного сигнала, должны выполнять требования действующих нормативных документов.
Ключевые параметры источников двоичных сигналов:
- минимальное время изменения состояния, распознаваемое системой;
- максимальное сопротивление контакта;
- максимальное время дребезга контакта.
6.4.4.3. Пассивный датчик
Пассивные датчики для получения сигнала используют аналоговые значения сопротивления. Они должны выполнять следующие требования:
- там, где используются термопарные (RTD) датчики с максимальным сопротивлением 200 Ом или менее (например, Pt 100, Ni 100), они должны быть подключены по трех- или четырехпроводной схеме;
- пассивные датчики могут быть подключены по двухпроводной схеме, если их минимальное сопротивление составляет 1 000 Ом (например R 1000, Ni 1000, термисторы).
6.4.4.4. Активный датчик/преобразователь
Аналоговые активные датчики и преобразователи обеспечивают выход аналоговых сигналов. Активные датчики состоят из пассивного чувствительного элемента с интегральным преобразователем.
Преобразователи - это электронные устройства, которые преобразуют сигналы от пассивных датчиков и обеспечивают выходной сигнал или напряжение 1 ...5 В, 0(2)... 10 В, или ток (0)4...20 мА, который должен быть специфицирован для каждой части приложения внутри проекта.
Они должны отвечать следующим требованиям:
- тип выходного сигнала должен быть определен;
- выходной сигнал должен иметь защиту от короткого замыкания;
- питающее напряжение или ток для активного датчика/преобразователя должно обеспечиваться от отдельного или встроенного источника питания контроллера, как описано в п. 6.3.2.2;
- должны быть описаны номинальное значение и разброс выходного импеданса (например, 250 Ом с относительным допуском ±5 %).
Свойства полевой сети для активных датчиков или преобразователей приведены в п. 6.4.4.5.
6.4.4.5. Шинный/сетевой датчик/преобразователь
Датчики/преобразователи с соединительным устройством полевой сети должны использовать стандартные коммуникационные протоколы. Такой протокол должен быть специфицирован в соответствии с конкретным приложением в проекте. Он должен быть совместим с коммуникационным интерфейсом, как описано в п. 6.3.2.5 и/или п. 6.3.3.4. Если он не задан, может использоваться протокол определенного поставщика.
Свойства датчиков или преобразователей, подключаемых к распределенной сети автоматики (полевой сети), должны удовлетворять следующим требованиям:
- питающее напряжение или ток для коммуникативных датчиков/преобразователей должны обеспечиваться отдельным или встроенным источником питания, или устройство автоматики (полевое устройство) получает питание из сети (прибор с шинным питанием);
- должны быть четко определены коммуникационные протоколы.
Ключевые параметры, которые должны быть определены:
- диапазон сигнала, диапазон измерения;
- класс точности;
- периодичность процесса опроса значения измеряемой величины или периодичность сообщения при автоматической выдаче измеренной величины.
6.4.5.1 Общие положения
6.4.5.1.1. Типы исполнительных устройств
Исполнительные устройства (включая приводы позиционирующих устройств) - это приборы, которые напрямую с помощью модуля сопряжения или через локальные ручные пульты/индикационные приборы подключаются к двоичным или аналоговым выходам или коммуникационным интерфейсам контроллера.
Для каждого управляющего приложения должны быть специфицированы соответствующие тип и функции исполнительного устройства.
Исполнительные устройства подразделяются на переключаемые (однопозиционные или многоступенчатые) и позиционирующие (т. е. трехточечные или с двунаправленным включением/выключением и аналоговые).
Есть также исполнительные устройства с коммуникационным входом для подключения к распределенной сети автоматики (полевой сети).
Примеры:
- электрический переключающий исполнительный механизм:
1) однопозиционные или многоступенчатые пускатели электродвигателя;
2) реле для вентиляторов, насосов и т. д.;
- исполнительное устройство типа включение/выключение (переключатель):
1) клапан открыт/закрыт;
2) исполнительное устройство клапана с широтно-импульсной модуляцией;
3) исполнительное устройство заслонки открыт/закрыт;
- исполнительные устройства типа трехточечные, с двунаправленным включением/выключением и аналоговые:
1) реверсивные исполнительные устройства приводов для клапанов и заслонок (трехточечные, двунаправленные);
2) позиционеры аналогового управления со стандартным выходным диапазоном, как описано в п. 6.3.2.4.5;
3) приводы для модулирующего управления стандартным сигналом или сигналом по спецификации поставщика.
6.4.5.1.2. Общие требования к исполнительному устройству
Для каждого исполнительного устройства должно быть определено, имеется ли и какая именно из позиций безопасности должна выполняться без резервного источника энергии. Должно быть установлено, какие события вызывают предохраняющие функции, например:
- в случае отказа питания;
- в случае отказа электрического плавкого предохранителя/размыкателя;
- при угрозе замерзания;
- при угрозе задымления или пожара.
Ниже перечислены типовые требования, которые должны быть заданы в дополнение к основным ключевым параметрам аппаратных средств, описанным в п. 6.1.3:
- тип подачи питания (по управляющему/шинному проводу, отдельному проводу);
- номинальное напряжение и потребляемая мощность;
- максимальная потребляемая мощность;
- непосредственное ручное управление;
- уровень вибрации;
- максимальные/минимальные параметры окружающей среды (температура, влажность, давление и т. п.);
- положение монтажа (например, горизонтальное или вертикальное);
- тип механического соединения (к заслонке или клапану);
- характеристики полевой сети в соответствии с коммуникационными интерфейсами управляющих устройств;
- тип электрической изоляции (класс);
- если необходимо, тип взрывозащиты (искробезопасности);
- среднее время наработки между регламентными работами;
- спецификация требуемых кабелей.
6.4.5.1.3. Общие требования к электрической коммутационной аппаратуре
Электрические коммутационные приборы должны устанавливаться и соединяться проводами в шкафах/корпусах коммутационной сборки в соответствии с национальными стандартами.
Должны быть, установлены тип обнаружения перегрузки каждого электродвигателя и особые пусковые условия, заслуживающие внимания, например:
- термореле на контакторе исполнительного устройства;
- термистор в обмотке катушки;
- запуск схемой треугольник/звезда. Необходимо задать следующие требования, специфические для коммутации:
- электрическая мощность;
- одиночная или многокаскадная коммутация;
- тип и число катушек электромотора для различной скорости (например, раздельные обмотки);
- открытая/закрытая индикация/подтверждение с помощью вспомогательных контактов на исполнительном устройстве;
- индикация/проверка включения/выключения с помощью возвратного сигнала, обеспечиваемого дополнительными контактами на пусковом реле.
Если управляющие функции силовой установки осуществляются управляющим устройством, то должны быть определены следующие функциональные требования, специфичные для конкретного приложения:
- максимальное число команд старт/стоп за временной интервал (например, количество стартов в час, пауза после последнего старта);
- часть времени пуска, необходимая для обработки условий полной загрузки;
- максимальное и минимальное время выключения, например для отключения нагрузки;
- проверка наличия приводного ремня вентилятора с помощью детектора воздушного потока или аналогичного прибора.
6.4.5.2. Переключающие приводы (типа включение/выключение)
Должны быть установлены следующие специфические требования:
- индикация/подтверждение открытия/закрытия через дополнительные контакты на исполнительном устройстве;
- время открытия/закрытия для термоэлектрических исполнительных устройств с широтно-импульсной модуляцией;
- время цикла в случае широтно-импульсной модуляции.
6.4.5.3. Позиционирующие исполнительные устройства
6.4.5.3.1. Общие положения
В соответствии с требуемым качеством управления должны учитываться критерии замкнутого цикла управления. В зависимости от типа позиционирующего исполнительного устройства должен выполняться ниже приведенный список требований.
Каждое приложение должно быть определено индивидуально, должны или нет в модулирующих исполнительных устройствах быть предусмотрены ответные сигналы индикации положения, независимые от сигнала позиционирования. Эти ответные значения могут иметь сопротивления в интервале 0...200 Ом или 0...5 кОм или быть стандартизованным сигналом напряжения/тока с минимальным разбросом ±2,5 %.
Ключевые параметры:
- разрешение позиционирования исполнительного устройства;
- тип клапана (например, одиночный, тринаправленный/смесительный);
- коэффициент пропускной способности клапана или коэффициент потока (Cv);
- номинальный диаметр (DN) и номинальное давление (PN);
- требуемые материалы клапана и отделки;
- характеристики клапана - линейная или равнопроцентная;
- счетный вход в случае импульса с модуляцией;
- время полного хода для приложений с клапаном или заслонкой (двух- и трехточечный, двунаправленный типа включение/выключение);
- требуемое усилие закрывания для клапана/исполнительного устройства (кПа);
- тип окружающей среды и номинальное/максимальное давление среды (кПа);
- уровень акустического шума (дБ).
6.4.5.3.2. Позиционирующее исполнительное устройство для трехточечного управления
Серводвигатели модулированных исполнительных устройств с трехточечным сигналом для клапанов, задвижек и т. п. должны использовать специальное напряжение. Требования и ключевые параметры см. в п. 6.4.5.2.1.
6.4.5.3.3. Позиционирующее исполнительное устройство с аналоговым сигналом
Серводвигатели аналогового позиционирующего исполнительного устройства должны использовать стандартные сигналы, которые должны быть определены в соответствии с приложением (проектом), подробности даны в п. 6.3.2.4.5. Если они не определены, могут использоваться сигналы, специфицируемые поставщиком, например, В или I/P (давление пневматики) конверторы, частотные преобразователи, клапаны с модулированной катушкой и шинные/сетевые коммуникационные устройства.
6.4.5.4. Шинное/сетевое исполнительное устройство
Переключающие исполнительные устройства (типа включение/выключение) и позиционирующие исполнительные устройства, функционирующие в рамках распределенной сети автоматики должны использовать стандартный коммуникационный протокол. Протокол должен быть описан в соответствии со специфическим приложением в проекте; он должен быть интероперабельным (совместно функционирующим) с коммуникационным интерфейсом контроллер/СКП (специальный контроллер - ASC), описанным в пп. 6.3.2.5 и/или 6.3.3.4. Если он не определен, может использоваться протокол производителя.
Переключающие и позиционирующие исполнительные устройства, предусматривающие связь по полевой сети, должны удовлетворять следующие требования:
- питание для коммуникационных исполнительных устройств должно доставляться отдельным или встроенным источником питания, в противном случае полевое устройство получает питание из сети (устройство с сетевым питанием);
- коммуникационный протокол должен быть однозначно определен. .
Ключевые параметры, которые должны быть определены:
- диапазон выходного тока/напряжения (если есть);
« - разрешение в единицах характерных величин процесса.
Комнатное устройство оказывает влияние на режимы работы и параметры (например, с помощью регулятора) комнатного управления и/или служит для отображения соответствующих характеристик. Это устройство человеко-машинного интерфейса предназначено для управления людьми, находящимися в данном помещении. Более подробно аппаратные средства описаны в п. 6.3.3.
Основные ключевые параметры аппаратных средств описаны в п. 6.1.3.
Настоящий раздел описывает характеристики для соединений и кабелей между устройствами САиУЗ.
Методы подключения устройств САиУЗ могут подразделяться на две группы.
Первый метод подключения или кабельная сеть полевых приборов к контроллерам:
- прямое подключение;
- прямое подключение через локальные ручные пульты/индикационные приборы;
- матричная кабельная сеть;
- полевая сеть или шина. Второй метод подключения или кабельная сеть других устройств САиУЗ:
- прямое подключение;
- связь с помощью соединения «точка-точка»;
- связь через сеть или шину.
Электрические кабели и электропроводка должны удовлетворять региональным стандартам на следующие показатели:
- управляющие и измерительные сигналы;
- сверхнизкое напряжение;
- низкое напряжение;
- высокое напряжение, если есть.
Все кабели должны быть четко и единообразно промаркированы с обоих концов и соответствовать списку кабелей и схемам цепей. Если задано, отдельные проводники, внутренние и внешние, также должны быть промаркированы.
Требования к кабельной сети, которые должны быть описаны:
- характеристики кабеля, например, переплетение, экранирование, число проводников, сечение проводника, диаметр проводов, параметры напряжения/тока, емкостное сопротивление, класс изоляции;
- тип монтажа;
- провода со специальными цветами для специфических приложений:
1) сигнальные провода: в соответствии с региональными стандартами, если они есть, иначе - любые цвета могут быть специфицированы для использования в составе кабелей полевой шины/клеммами разводки шкафа и контроллером, но внутри системы/проекта должно быть единообразие;
2) провода для приложений систем безопасности/жизнеобеспечения: в соответствии с законодательством и стандартами;
3) магистрали: в соответствии со стандартами.
Коммуникационная инфраструктура, например, среда передачи данных, электрические спецификации интерфейсов и коммуникационный протокол могут отличаться в зависимости от требуемой функциональности. Должны быть определены топология системы и длина сетевых сегментов, характерных для приложения/проекта.
Функции менеджмента в общем случае требуют высоких скоростей передачи данных, особенно когда используются объемные файлы (т. е. файлы графики, архивных данных и файлы конфигурации системы). Функции автоматизации и управления в общем случае требуют связи через соединение равноправных узлов. Датчики и исполнительные устройства, которые имеют интерфейс к полевой сети, могут снабжаться электроэнергией или через сеть (устройства с сетевым питанием) или получать энергию от других источников.
Сетевая/шинная архитектура должна предусматривать возможность введения устройств резервного питания, инструментов тестирования и анализа для каждого узла связи.
В целях гибкости приложения этот стандарт не предписывает жесткую архитектуру системы. Скорее, он описывает модель общей системы для сети САиУЗ, к которой можно привести САиУЗ всех типов и их объединения. Графически концепция сети САиУЗ в терминах топологии локальной вычислительной сети (ЛВС) представлена на рисунке.

Рис. Варианты структуры внутренних связей САиУЗ
6.6.2.1. Сеть администрирования
В сети администрирования САиУЗ операторские станции, операторские и мониторинговые модули, программаторы и другие периферийные компьютерные устройства подключены к устройству обработки данных (например, одной или нескольким серверным станциям).
В рамках сети администрирования САиУЗ напрямую или через интерфейс данных могут быть соединены несколько автономных систем, например, специализированные выделенные системы. Примерами выделенных специализированных систем являются системы пожарной сигнализации, системы обнаружения вторжений (охранной сигнализации), системы управления доступом и системы технического обслуживания/эксплуатации/управления здания/сооружения. Такие системы могут использовать свои собственные частные сети или стандартную сеть.
6.6.2.2. Сеть автоматизации и управления (AN/CN)
По сети автоматизации и управления САиУЗ устройства управления, мониторинговые и операторские модули, станции оператора или операторские панели и/или программаторы подключены к устройству обработки данных (например, к одной или более серверной станции).
Через интерфейсный модуль сопряжения данных к функциям обработки САиУЗ могут быть подключены выделенные специализированные системы.
6.6.2.3. Распределенная сеть автоматики (полевая сеть)
По распределенной сети автоматики (полевой сети) САиУЗ к одному или более управляющему устройству подключены полевые приборы и оконечное электрическое оборудование.
Модули и аппараты со встроенными органами управления и внешние полевые приборы могут быть подключены через стандартный протокол полевой сети или интерфейсный модуль сопряжения данных к функциям обработки данных САиУЗ.
Примечание: рисунок также показывает подключение СКП через полевую сеть с комнатными приборами для комнатного управления и с датчиками/исполнительными устройствами.
6.6.3.1. Сеть администрирования к сети автоматизации и управления
На рисунке показано три способа реализации межсетевых соединений:
- непосредственно сеть администрирования к сети автоматизации и управления, в этом случае сеть администрирования и сеть автоматизации и управления представляют собой одну и ту же сеть;
- через устройство обработки данных или серверную станцию для соединения сети администрирования к сети автоматизации и управления используется одно или несколько устройств обработки данных или серверные станции, выполняющие функции моста, маршрутизатора или шлюза;
- через интерфейсный модуль сопряжения данных(например, модем, кодер/декодер -PAD, шлюз), который обеспечивает коммуникационные соединения между сетью администрирования и сетью автоматизации и управления.
6.6.3.2. Сеть автоматизации и управления к распределенной сети автоматики (полевой сети)
На рисунке показано три метода межсетевых соединений:
- непосредственно сеть автоматизации и управления к полевой сети, в этом случае они представляют собой одну и ту же сеть;
через коммуникационный интерфейс/контроллер/СКП. Чтобы подключить сеть автоматизации к полевой сети, используются одно или несколько устройств (например, контроллер, коммуникационный интерфейс, выполняющие функции моста, маршрутизатора или шлюза);
- напрямую с КИПиА. Контроллеры соединены напрямую или через приборы для локального управления и индикации с КИПиА.
Коммуникационный протокол САиУЗ описывает формат и структуру передаваемых данных, определяет правила и порядок обмена пакетами данных для связи между устройствами. Он состоит из наборов структур данных, свойства которых представляют различные характеристики аппаратуры, программного обеспечения и режимы работы устройств.
Структуры данных предоставляют средство идентификации и доступа к информации без необходимости иметь подробные сведения о внутренней конструкции или конфигурации устройства. Протокол, как правило, описывает набор сообщений для передачи кодированных двоичных, аналоговых и алфавитно-цифровых (символьных) данных между устройствами. Помимо этого, протокол может включать в себя определения, описания и спецификации физической среды передачи данных, скорости передачи данных, механизмов передачи и защиты данных, а также другие данные.
В настоящем стандарте соглашения объединены под термином «протокол» и нестрого определены. В конечном счете, все коммуникационные протоколы являются сводом заданных правил для решения проблем обмена информацией и стечением времени, по мере развития технологий, все они подлежат изменению либо замене новыми.
Описания и спецификации протоколов для реализации взаимодействия устройств САиУЗ будут представлены в разрабатываемых частях комплекса стандартов АВОК «Системы автоматизации и управления зданиями».
Для технического обслуживания и пусконаладки САиУЗ инженер-пусконаладчик должен быть оснащен переносными инжиниринговыми инструментами, которые могут локально подключаться к контроллеру или к сети.
Инжиниринговые функции будут описаны в разрабатываемых частях комплекса стандартов АВОК «Системы автоматизации и управления зданиями».
Инструменты инжиниринга используются для следующих задач:
- сбор и документирование проектно-специфических данных, параметров, текста и схем;
- проектирование, реализация и испытания проектно-специфических управляющих функций.
Наиболее распространенными инструментами, подходящими для использования, являются персональные компьютеры и взаимодействующие периферийные устройства.
Если необходимо, производители САиУЗ в своих предложениях должны устанавливать тип и характеристики инструментов инжиниринга, например, возможность использования устройств управления (менеджмента) для осуществления инжиниринговых функций, которые будут описаны в разрабатываемых частях комплекса стандартов АВОК «Системы автоматизации и управления зданиями», через сеть функций администрирования и автоматизации.
Инструменты пусконаладки используются для следующих задач:
- калибровка полевых приборов;
- испытания физических функций ввода/вывода всех точек данных;
- испытания всех функций обработки и системного программного обеспечения;
- генерация отчетов о пусконаладке для документального подтверждения завершения работ;
- генерация списка точек данных САиУЗ для реализованной версии.
Примечание: подробный список точек САиУЗ будет приведен в разрабатываемых частях комплекса стандартов "АВОК «Системы автоматизации и управления зданиями».
Примеры инструментов, используемых для пусконаладки:
- персональные компьютеры, терминалы и портативные устройства;
- эмуляторы для калибровки;
- приборы для измерения напряжения, электрического тока, температуры, влажности, скорость потока воздуха и т. д.;
- логические анализаторы и анализаторы коммуникационных протоколов;
- модемы или маршрутизаторы, которые могут использоваться для осуществления некоторых задач пусконаладки дистанционно (удаленно).
В том случае если производитель поставляет инструменты пусконаладки, должна быть представлена подробная спецификация необходимого оборудования.
Термины и определения
Данный раздел содержит список терминов, используемых в комплексе стандартов АВОК «Системы автоматизации и управления зданиями».
RAID-массив
Матрица независимых дисковых накопителей с резервированием. Концепция устройства управления матрицей дисков для персональных компьютеров PCI-/ SCSI, определенная Центром Беркли для повышения надежности хранения данных на жестких дисках и дисководах, а также для снижения вероятности отказов.
RAID 0: удаление данных, резервирования нет.
RAID 1: зеркальное отображение диска/дублирование диска, 100% резервирование для малых систем.
RAID 2-4: система Хемминга, удаление битов или блоков с контролем четности не используется.
RAID 5: удаление блоков с распределенной четностью для систем большой емкости.
RAID 10: матрица зеркально отраженных удаленных элементов для систем большой емкости и высокой производительности.
Примечание: RAID система не заменяет резервирования данных.
Автоматизация и управление
<САиУЗ> функция устройств, станций, модулей и периферийных устройств управления, обеспечивающая автоматическое управление, блокировку, контроль, оптимизацию, обработку человеческого вмешательства, и администрирование (менеджмент).
Автоматизация и управление зданием
Комплекс изделий программного обеспечения и технического обслуживания для автоматического управления, мониторинга и оптимизации человеческого вмешательства и администрирования с целью достичь энергетически эффективных, экономичных и безопасных операций по обслуживанию оборудования зданий.
Адрес
<САиУЗ> уникальный идентификатор объекта и/или идентификатор устройства в пределах системы или объединенных систем.
Примечание 1: в САиУЗ каждая точка данных имеет идентификатор, называемый адресом точки.
Примечание 2: в САиУЗ каждый объект связи имеет свойства, называемые идентификатором объекта и именем объекта.
Адрес пользователя
<САиУЗ> адрес точки, используемый оператором в системном интерфейсе с человеком.
Адрес точки
<САиУЗ> уникальный идентификатор точки данных, используемый для доступа к информации данной точки.
Алгоритм
1. <САиУЗ> вычисление, результат которого на выходе дает оценку изменения переменной.
2. <Технология управления> полностью определенная конечная последовательность из инструкций, посредством которой значения выходных переменных могут быть вычислены по значениям входных переменных.
Алфавитно-цифровой
Набор символов, который состоит по крайней мере из десятичных цифр и символов, букв.
Примечание: рекомендуется точно определять расширения набора символов в каждом случае.
Аналоговая величина
Информация, содержащая численное представление о количестве.
Аналоговый вход/выход
Часть аппаратного средства в составе управляющего устройства для измерения или позиционирования.
Архитектура
<САиУЗ> структура и средства, которыми компоненты и устройства системы связаны для взаимодействия.
Безопасность
1. Состояние безопасности.
2. <Защита данных> любая из ряда процедур, используемых для гарантии того, что обмен информацией контролируется от несанкционированного доступа. Меры безопасности направлены на предотвращение раскрытия специальной информации даже тем лицам, которые имеют разрешенный доступ в коммуникационную сеть.
Примечание: безопасность защиты данных отличается от контроля доступа, несмотря на то, что некоторые меры безопасности могут обеспечиваться путем ограничения физического доступа к самой коммуникационной среде.
Ввод в действие (пусконаладка)
Проектно и системно специфический процесс калибровки полевых устройств, тестирования точек данных, параметров, функций и систем программного обеспечения как части технических услуг для различных частей применяемой САиУЗ.
Примечание: ввод в эксплуатацию/вывод из эксплуатации - перевод системы в рабочее/нерабочее состояние на неопределенный срок.
Взаимное соединение (программное логическое управление)
Последовательность управления, которая соединяет одно, оборудование с другим посредством булевых логических действий и действий включения/выключения. Логические данные представляются в виде одного двоичного числа.
Влияние клапана
Отношение перепада давления на полностью открытом управляющем клапане к полному перепаду давления на системе, включающей данный управляющий клапан.
Возможность взаимодействия
1. <САиУЗ> способность устройств различных типов и различных изготовителей к обмену информацией, например, командами (переключение, позиционирование) через сеть связи.
Примечание: возможность взаимодействия -это критерий для взаимной функциональной интеграции, что включает:
а) число включенных систем, компонентов и функций;
б) режим работы системы;
в) режим обработки ошибок.
2. <Информационные технологии> способность двух или более систем к обмену информацией и совместному использованию информации обмена.
Примечание: способность к взаимодействию - свойство полностью распределенной системы, составленной из n-разнородных систем. Поэтому анализ должен учитывать все подсистемы распределенной системы одновременно.
Время отклика, время реакции
Время, необходимое для того, чтобы выполненное действие дало требуемый результат или инициировало событие.
Время цикла
Время, связанное с одной законченной операцией повторяющегося процесса.
Выделенная специализированная система (DSS)
Система, используемая для применения вне САиУЗ. Выделенные специальные системы, например, системы пожарной тревоги, системы обнаружения вторжения, системы управления доступом, системы управления лифтом или системы ремонта/обслуживания. Эти системы могут быть предусмотрены как выделенные.
Выход
См.: двоичный выход и аналоговый выход.
Глобальный
<Общая терминология> имеющая отношение ко всем устройствам или узлам на общей сети связи.
Примечание 1: общая сеть состоит из двух или более сетей, связанных маршрутизаторами. В общей сети САиУЗ имеется только один верный (правильный) путь сообщения между двумя любыми узлами.
Примечание 2: имеются САиУЗ с глобальными точками данных внутри их конфигурации. В случае объединения и, соответственно, интегрирования разнородных систем это могут быть общие точки данных.
Данные
Формализованное, подготовленное представление информации для специализированной связи, интерпретации или автоматической обработки.
Примечание: обработка данных не является синонимом обработки информации.
Датчик
Прибор или инструмент, разработанный для поиска и измерения переменной величины.
Примечание 1: датчики бывают активные и пассивные.
Примечание 2: в САиУЗ датчик является полевым прибором, который обеспечивает необходимую информацию (сигнал) о физических условиях, состояниях, параметрах процессов и позволяет управляющей функции выполнить запрограммированные операции.
Примечание 3: термин «датчик» не делает различия между бинарным и аналоговым типами. Эта отличительная особенность должна быть определена, например, датчик переключателя/кнопки (двоичный), термостат, температурный датчик (аналоговый).
Примечание 4: кроме того, датчики различаются типом их корпуса и монтажа (например, поверхностный тип), а также их назначением.
Двоичный вход/выход
Аппаратное средство управления устройствами для обработки их состояния или переключения.
Примечание: двоичная функция, имеющая переключаемое состояние входа/выхода.
Двоичный сигнал
Сигнал, который отражает состояние (например, включение/выключение) в простой двоичной кодировке цифровой информации (логика 0 и 1). Это применяется к функциям ввода и вывода САиУЗ.
Примечание 1: в САиУЗ цифровое значение - это переменный сигнал, который представляет в цифровой форме значение кодированной аналоговой или двоичной информации. Это относится к сетевым/разделяемым точкам данных.
Примечание 2: устройства с несколькими двоичными входами/выходами часто называют цифровыми.
Двухточечная связь «точка-точка»
Последовательная связь через фактическое прямое соединение между оконечным оборудованием данных (DTE), например, через цифровую сеть с интегрированными услугами (ISDN).
Диаграмма управления
Блок-схема, представляющая процедуру, конфигурацию и функциональные возможности установки для обслуживания здания, включая оснащение аппаратурой и функциями САиУЗ.
Диаграмма функциональных блоков
Одна или более сеть, связывающие графически представленные функции, функциональные блоки, элементы данных, метки и элементы.
Примечание: метка описывает элемент текстового языка программирования, состоящего из команды с операционной частью, объектной частью (если сеть приложений), и комментарий.
Динамическое отображение.
Текущие состояния переменных или точек данных, отображаемые на интерфейсе пользователя.
Дистанционный (при наличии дистанционной связи)
Относится к приборам или узлам сети, отличной от той, к которой принадлежит данный прибор, узел.
Примечание: применяется для дистанционного управления/дистанционной работы.
Дом
Структура, предназначенная для жилья.
Журнал записей
Журнал записей (один или больше) или его электронный эквивалент, куда заносятся все необходимые подробности работы системы, ее характеристики и обслуживание, где записи надежно хранятся и доступны для последующего поиска.
Журнал трендов
Представление ряда измерений величины (величин) в течение временного интервала.
Примечание 1: значения отображаются в пределах периода регистрации в установленный период времени или при установлении пороговых значений.
Примечание 2: журнал трендов с текущими значениями отображает тенденцию развития, показанную в виде кривой изменения значения величины по времени.
Примечание 3: журнал трендов с сохранением или архивацией значений является исторической базой данных трендов (тип представления, применяющийся в статистическом анализе).
Загружать в удаленный компьютер
Процесс передачи выполняемой программы, изображения или базы данных из удаленного устройства способом, позволяющим последующую соответствующую загрузку.
Загрузка
Специфический тип передачи файла, который относится к передаче исполнительной программы, изображения или содержимого базы данных на удаленное устройство, где это (содержимое файла) может выполняться.
Задержка сообщения
Функция, позволяющая игнорировать воздействие любых изменений входных параметров и состояния на дальнейшую работу, если входной сигнал не подтвержден временем начальной установки.
Примечание: упоминается также как задержка изменения состояния.
Замкнутый контур (цикл) управления (система с обратной связью)
Система, воздействующая на процесс таким способом, чтобы уменьшить различие к нулю между измеренным значением и желательным (установкой).
Примечание: регулирующее действие описывает алгоритм управления (пропорциональный, интегральный, производный) как отношение между входным и выходным сигналами.
Здание
Индивидуально установленная структура большого объема, отличная от индустриальных структур, то есть коммерческих, индустриальных, или коммерческих жилых владений с прилегающими пристройками и участками.
Примечание: САиУЗ может использоваться также для других структур, например, дом, туннель, железная дорога, судно.
Идентификация оператора
Подтверждение того, что оператор, регистрирующийся на устройстве, идентифицирован как реально обладающий правами.
Изменение значения
Событие, которое происходит когда измеренное или вычисленное аналоговое значение изменяется на заранее определенную величину.
Изменение состояния
Событие, происходящее, когда измеренное или рассчитанное булево или дискретное перечисленное значение изменяется.
Импульсный сигнал
Сигнал от прибора, соединенного с датчиком или измерителем, который производит импульсы, число которых пропорционально величине измерений.
Инжиниринг
Проектные работы и специальные системные услуги, обеспечивающие процесс планирования, определения конфигурации системы и ввода в действие различных частей САиУЗ.
Примечание 1: систематическое применение научных и технических ноу-хау, методов и опыта для проектирования, реализации, испытания и документирования программного обеспечения и устройств системы.
Примечание 2: выполняемыми задачами, например, являются определение конфигурации физических и логических соединений и связей между всеми элементами системы для получения необходимого решения.
Примечание 3: ISO/IEC определяют инжиниринг как систематическое применение научных и технических ноу-хау, методов и опыта для проектирования, реализации, испытания и документирования программного обеспечения и устройств системы.
Инициализация, установка в исходное состояние.
Процесс, устанавливающий исходное состояние, обычно из состояния включения питания.
Примечание: инициализация может потребовать переустановку логического или физического адреса узла.
Инсталляция
Физическая доставка и соединение механического, электрического и коммуникационного оборудования внутри здания.
Интеграция
<САиУЗ> специфические процессы и процедуры реализации межсистемных связей между различными системами/элементами/приборами.
Примечание 1: интеграция объединяет процессы для выделенных специальных систем и специализированных контроллеров приложения с помощью интегрированного коммуникационного интерфейса.
Примечание 2: интеграция гетерогенной (разнородной) САиУЗ отличается от соединения систем, однако такая реализация называется системной интеграцией.
Интерактивная помощь
Предоставляет возможность использовать справочную информацию в реальном времени от каждой прикладной программы.
Примечание: метод доступа к справочным функциям упоминается как прямая (непосредственная, интерактивная) справка.
Интерактивный режим
Работа в непосредственной связи с процессом обработки данных.
Интерфейс
Функциональный или физический модуль, через который определяется взаимосвязь между прибором/системой и другим прибором/системой или человеком.
Например: следующие виды интерфейсов для САиУЗ:
- коммуникационный интерфейс;
- модуль интерфейса данных;
- человеко-системный интерфейс;
- графический интерфейс пользователя (ГИП);
- физический интерфейс ввода/вывода (например, интерфейсный модуль).
Интерфейс связи
Спецификация физических и электрических требований для подключенных компонентов, поддерживающих связь изделий.
Интерфейсный стандарт
Стандарт, который определяет требования, касающиеся совместимости изделий или систем в точках их взаимосвязи.
Примечание 1: определенные приложения и функции, а также конфигурации представлены ранее в стандартах интерфейса ISO - OSI, справочная модель которого представляет общий базис для протоколов взаимодействия.
Примечание 2: это делает возможным и допустимым структурировать протоколы в стандартах интерфейса так, чтобы индивидуальные уровни справочной модели ISO - OSI не были использованы.
Информация
1. Информационные технологии> знание, касающееся объекта, факта, события, вещи, процесса или идеи, включая понятие, и которое в данном контексте несет определенную информацию.
Примечание: обработка информации включает обработку данных.
2. <САиУЗ> сообщение о параметре процесса или состоянии, предназначенное для определенного адреса САиУЗ (точки данных).
Например: команда «включить», состояние «включено», величина измеряемого процесса (с единицами измерения) являются элементами информации.
Примечание: один объект или функция САиУЗ может содержать множество отдельных элементов информации.
Исполнительное устройство
1. <САиУЗ> полевой прибор, являющийся интерфейсом для управления технологическим процессом, работающий электрически, пневматически или гидравлически.
Примечание 1: управляющий клапан/вентиль - комбинация клапана с его операционным элементом, приводом.
Примечание 2: регулирующий элемент (функциональная единица) или конечный управляющий элемент (физическая единица), например, заслонка; клапан/вентиль, часто называемое исполнительное устройство с позиционированием.
2. <Электронная система жилища и здания> выходное устройство (аналоговое или двоичное) шины связи, например, управляющее нагрузкой, контактором или позиционером.
Примечание: двухпозиционным исполнительным устройством называется переключаемый привод типа включение/выключение.
Исторические данные
<САиУЗ> данные, которые записываются в запоминающую среду для хранения в течение неопределенного времени.
Примечание: регистрация данных, выполненная функцией сохранения исторических данных, называется исторической функцией базы данных.
Кабельная сеть
Система кабелей и соединенных аппаратных средств, которые поддерживают подключение САиУЗ и другого оборудования.
Каскадное управление
Выходной сигнал или значение из главного управляющего цикла, используемое как установочные (входные) данные для подчиненного цикла (циклов) управления.
Класс
Категория или ранг, присваиваемые объектам, имеющим одинаковую по назначению функцию, определяющую их использование, но различающимся по качественным требованиям.
Клиент
Система или устройство, которое использует другое устройство для специальной цели через сервисный запрос. Клиент запрашивает обслуживание от сервера.
Примечание: заказчик (владелец) также упоминается как клиент.
Ключ
1. <Программное обеспечение> метод для того, чтобы открыть/закрыть блокировку доступа к возможности управления.
2. <Оборудование> прибор, используемый для того, чтобы открыть/закрыть и блокировать корпус/панель управления.
3. <Коммуникация> последовательность символов, которая контролирует операции по кодированию и декодированию.
Коммуникация
Передача информации в соответствии с предварительно установленными протоколами (например, CCITT Rec/112).
Коммутационная сборка (переключающий исполнительный механизм)
Устройство управления мотором, полюсный переключатель для одно- или многоступенчатого переключения.
Комнатное управление (интегрированная комнатная автоматизация)
Специальное оборудование и функции для установок/приложений для управления в отдельной зоне или комнате, включая общий мониторинг, взаимосвязи, открытые и замкнутые циклы управления и объединенную оптимизацию работы служб здания, таких как отопление, вентиляция, кондиционирование и охлаждение воздуха, освещение, управление шторами и жалюзи, распределение электропитания и других, объединенных с помощью коммуникационных функций.
Примечание: управление в отдельной зоне/помещении может являться составной частью интегрированной системы комнатной автоматизации.
Комнатный прибор (комнатный элемент управления)
Прибор интерфейса человек - система, позволяющий человеку, находящемуся в данном помещении, влиять на рабочий режим, параметры приложения и/или показывать функции комнатного управления/автоматизации.
Примечание: комнатный прибор может заключать в себе элемент датчика температуры.
Контакт, свободный от напряжения (контакт без потенциала)
1. Контакт полевого прибора, предназначенный для электрически/металлически изолированного бинарного входа.
2. Контакт САиУЗ прибора, предназначенный для электрически/металлически изолированного бинарного выхода.
Примечание 1: контакты без напряжения часто называют сухими контактами.
Примечание 2: такой бинарный сигнал является входным для САиУЗ-функций, например, бинарный входной сигнал состояния, сообщение о процессе.
Контроллер
Устройство для регулирования или управления одним или более физическим значением, например: температура, влажность, давление.
Цифровой контроллер (DDC) может быть следующих типов:
1. Контроллер с фиксированными функциями (специальный прикладной контроллер - СПК) - это контроллер, который изготовитель оборудует одной или более неизменными стратегиями управления для определенного применения.
2. Конфигурируемый контроллер - контроллер, который изготовитель оборудует перестраиваемыми стратегиями управления, одной или более, для определенного применения.
3. Программируемый контроллер (станция автоматизации) - контроллер, где стратегии управления могут быть запрограммированы.
Примечание 1: программируемый контроллер с множественными входами/выходами часто упоминается как выходная станция (устарелое).
Примечание 2: использование слова контроллер не подразумевает, что устройство/система ограничено функциям управления. Могут быть возможны контроль и обработка другой информации.
Примечание 3: <информационные технологии> устройство, которое управляет передачей данных между компьютером и периферийным устройством (например, дисковод, экран дисплея, клавиатура, принтер) также упоминается как контроллер.
Конфигурация
1. <САиУЗ> специфическая информация, связывающая физические и функциональные устройства системы, заданная на стадии проектирования, которая обычно не изменяется, пока система функционирует. Результатом является конфигурация системы.
2. <Информационные технологии> головной и периферийный компьютеры, различные операционные системы и программное обеспечение процессора.
Коэффициент потока Cv (Kvs)
Коэффициент расхода жидкости через клапан при определенных рабочих условиях, когда ход штока достигает 100 %. Величина этого коэффициента определяется, как расход в м3/ч при плотности 1 000 кг/м3 при температуре от 5 до 50 оС и при перепаде давления на клапане 100 кПа.
Логическая блокировка
Способ логического взаимодействия устройств или процессов.
Локальная сеть (ЛС)
Сеть, соединяющая ряд узлов в пределах одного участка. Обеспечивает очень быстрый обмен данными для того, чтобы передавать их непосредственно на компьютер или другие приборы. Для того, чтобы связать различные локальные сети или установить связь на большом расстоянии, можно использовать шлюз или маршрутизатор.
Локальный
Относится к оборудованию, принадлежащему той же сети, что и упомянутый прибор.
Примечание: операционные устройства, расположенные в той же механической аппаратной, что и управляемое оборудование, также называются локальными.
Локальный прибор приоритетного ручного управления/индикации (ЛППРУ/И)
Интерфейс для полевого оборудования, например, вентиляторов, клапанов, заслонок, насосов, обеспечивающий предварительную индикацию, переключение и/или регулировку положения независимо от процессора для ограниченных операций.
Примечание: является полевым прибором.
Маршрутизатор
Прибор, который соединяет две или более сети на сетевом уровне, как определено базовой моделью взаимодействия открытых систем ISO - OSI.
Примечание: обычно применяется при соединении локальных сетей.
Меню
Список опций для выбора оператором.
Механическая аппаратная
<САиУЗ> место расположения групп контроллеров (станции автоматизации, СКП). Термин определяет требования САиУЗ к списку точек данных, например, подвальная механическая аппаратная, механическая аппаратная пентхауса.
Примечание 1: примеры подвальных механических аппаратных или механических аппаратных пентхауса описывают помещения, где установлено оборудование обслуживающее здание (например, установка приточного воздуха).
Примечание 2: структуры механических аппаратных обычно позволяют поставщику выбрать смесь больших и малых приборов, соответствующих тем задачам управления/мониторинга, которые должны быть выполнены. Однако, рекомендуется, чтобы единая большая группа оборудования или установка, например, кондиционер, управлялась одним контроллером (станцией автоматизации, СКП), чтобы избежать проблем в управлении, связанных с ошибками сети.
Модуль интерфейса данных (DIU)
Функциональный или физический модуль для связи между устройствами САиУЗ и устройствами/системами в других сетях, например, чтобы выполнить соответствия требованиям национальных стандартов, если подключение выполнено через сети передачи данных общего пользования.
Примечание: модуль интерфейса данных может иметь различный тип, например: модем, маршрутизатор, шлюз.
Мост
Устройство, которое соединяет два или более сегмента сети на физическом и информационном канальных уровнях, данных по Эталонной семиуровневой модели ISO - OSI.
Примечание: это устройство может также выполнять фильтрацию сообщений, основанную на МАС-адресах уровня.
Наблюдение, мониторинг
<САиУЗ> автоматически выполняемая система действий, направленных на наблюдение за текущим состоянием объекта и извещение об определенных отклонениях от нормального состояния, поступающее в виде сообщений о событии.
Примечание: мониторинг может быть непрерывным на регулярном временном интервале или дискретным после заданного числа операций.
Неоднородная (гетерогенная) система
Система, характеризующаяся использованием компонентов, имеющих различное поведение по отношению к общей функциональности (системы) из-за изделий различных производителей и типов, различных протоколов связи и технических инструментальных средств.
Примечание: объединяющий межсетевой интерфейс (шлюз) или специальное программное обеспечение делают возможным интеграцию (или объединение) разнородных систем, когда не все включенные (в системы) функциональные единицы или устройства имеют согласованные протокол и профиль связи. Это не подразумевает, что всегда может быть достигнута 100 % способность к взаимодействию.
Низкое напряжение
Рабочее напряжение от 50 до 1 000 В переменного тока или от 75 до 1 500 В постоянного тока по требованию.
Нормально замкнутый контакт (NC contact)
Контакт, который замкнут если питание на реле не подается.
Нормально разомкнутый контакт (NO contact)
Контакт, который разомкнут, если питание на реле не подается.
Оборудование (агрегат)
Структурированные элементы оборудования или компоненты агрегата, принадлежащие вместе одному функциональному модулю с точки зрения управления или сточки зрения процесса, например, подогреватель, увлажнитель, вентилятор. В данном случае компонентами оборудования являются датчик, управляющий клапан, насос первого подогрева. С другой стороны, они сами состоят из частей, элементов и компонентов, то есть исполнительное устройство, преобразователь, защитный элемент мотора.
Примечание: может также называться установка или система.
Обратная связь (переменная)
1. Переменная обратной связи - это величина контролируемой переменной, полученная от измеряющих приборов для сравнивающих элементов системы управления с целью определить величину ошибки.
2. <САиУЗ> величина регулируемой переменной, возвращаемая на вход контроллера для получения определенной передаточной функции.
3. <САиУЗ> сигнал подтверждения предназначен для подтверждения, что управляемое оборудование изменило состояние или величину.
Примечание 1: сигнал подтверждения применяется в командном алгоритме обнаружения неисправностей для функции проверки выполнения команд.
Примечание 2: измерительная функция аналогового входа применяется для обратной связи с приводами с позиционером.
Примечание 3: переменную обратной связи и сигнал подтверждения часто называют обратной связью.
Объект (entity)
1. Нечто, существующее отдельно и само по себе. Идентифицируемый элемент, описанный рядом или набором свойств;
2. То, что может быть описано и рассмотрено отдельно. Например, объектом может быть:
- деятельность, процесс или процедура;
- некий продукт (программное обеспечение или аппаратное средство);
- организм, система или субъект или организация;
- комбинация всего перечисленного выше.
Объект (object)
1. <САиУЗ> набор данных вместе с функциями, применяемыми к ним.
2. <Информационные технологии> модель сущности.
Однородная (гомогенная) система
Система, характеризующаяся компонентами от одного или от разных производителей с уникальными функциональными характеристиками; часто комбинируется с помощью одного инженерного инструмента с САиУЗ.
Опасное состояние
Состояние элемента, которое оценивается как вероятно приводящее к ущербу для человека, существенным материальным убыткам или к другим неприемлемым последствиям.
Операторная функция
Специальная функция установки/приложения для интерфейса человек - система, предназначенная для работы установок через структуру САиУЗ, связывающую все рабочие уровни, т. е. графический, динамическое отображение, обмен сообщениями на расстоянии, локальные функции.
Примечание: локальные ручные/индикационные приборы не являются функциями в смысле данного стандарта.
Операционная система
Программное обеспечение, предназначенное для управления работой программ и для предоставления услуг по распределению ресурсов, планированию задач, управлению вводом/выводом и управлению данными.
Ответный сигнал, отклик
Представление взаимодействия, в котором обозначается завершение некоторой предварительно вызванной процедуры.
Отказ, поломка
Прекращение способности элемента к выполнению требуемой функции.
Примечание 1: после отказа элемент имеет дефект, который может быть полным или частичным.
Примечание 2: отказ - это событие, отличающееся от дефекта, который является состоянием.
Примечание 3: опасный отказ есть любой отказ в системе или электропитании, который приводит к опасной ситуации (состоянию).
Открытая система
Открытая система характеризуется использованием компонентов от различных производителей, использующих один открытый протокол.
Открытые системы
Эталонная модель объединенной системы (Эталонная семиуровневая модель ISO - OSI); описание семиуровневой модели для открытой коммуникации.
Открытый управляющий цикл
Вид воздействия, когда по сигналу от одного или более измерительных входов осуществляется управление выходами без учета влияния обратной связи с процессом.
Отметка времени, временной ярлык
Дата и время, зарегистрированные и сопровождающие запись о событии или операции.
Отчет
Вывод форматированных сообщений о событии или статистики на дисплей или принтер.
Ошибка
Состояние элемента, характеризующееся неспособностью выполнять требуемые функции, за исключением неспособности, возникающей во время профилактического обслуживания, или других плановых действий, или из-за отсутствия внешних ресурсов.
Примечание 1: ошибка - часто результат отказа непосредственно элемента, но может существовать и без предшествующего отказа.
Примечание 2: термины «дефект», «отказ» (для физической неспособности исполнять) и «ошибка» (для несоответствия) часто используются как синонимы.
Передатчик, преобразователь (измерительный преобразователь (датчик), (преобразователь сигнала)
Физическое устройство, которое преобразует входную величину в чистый, связанный выходной сигнал (величину). Измерительные преобразователи преобразуют сигнал с высокой точностью.
Примечание: зачастую преобразователями называют измерительные преобразователи (датчики).
Переключающий привод (типа включение/выключение)
См.: исполнительное устройство и коммутационная сборка.
Периферийный прибор
Любое оборудование, управляемое некоторым удаленным управляющим устройством и связанное с ним.
Площадка
В строительстве это ясно определенная, функционально и организационно, ограниченная площадь объекта для монтажа и установки устройств (например, здание или группа зданий).
Повторитель
Прибор, который соединяет два или более физических сегмента на физическом уровне, как определено в базовой модели взаимодействия открытых систем ISO - OSI.
Примечание: этот прибор/устройство усиливает и восстанавливает сигналы в сети, чтобы расширить область распространения сигналов между точками, присоединенными к среде.
Подавление сообщения
Функция, позволяющая запретить распространение входных изменений состояния согласно определенным критериям при рассмотрении параметров.
Примечание: упоминается также как подавление изменения состояния.
Подтверждение
1. <САиУЗ> уведомление и/или регистрация события (например, тревоги) оператором.
Примечание: кнопки для подтверждения, например, физическое устройство или иконографическая кнопка на дисплейном блоке визуализации.
2. <Коммуникация> функция, которая позволяет удаленному узлу сообщить на узел отправителя о получении блока информации согласно применяемому протоколу.
3. Представление взаимодействия, в котором исполняемая функция подтверждает завершение некоторой, предварительно вызванной, процедуры.
Позиционирующий привод (позиционер)
Физическая единица, состоящая из самого исполнительного устройства и связанного с ним контролирующего элемента.
Полевая сеть
Соединение между исполнительными устройствами/датчиками, комнатными приборами и приборами управления.
Полевой прибор (КИПиА)
Датчик и исполнительное устройство, соединительное устройство и местный ручной/индикационный прибор (LO/ID), соединенный с входами/выходами (I/O) интерфейса контроллера. Полевые приборы обеспечивают физическое подключение к элементам установки, тем самым обеспечивая необходимую информацию и выполнение действия для поддержания условий, состояний и параметров процессов.
Прибор с сетевым питанием
Прибор, который получает питание от сети (шины) (в отличие от прибора основного питания).
Прикладная программа САиУЗ
Программное обеспечение, выполняющее одну или несколько задач САиУЗ.
Прикладной объект
Объект, расположенный в прикладном процессе САиУЗ.
Приложение
Набор функций, которые вместе формируют логический модуль, поддерживающий процесс.
Примечание 1: САиУЗ поддерживает много различных приложений.
Примечание 2: набор требований к обработке информации пользователя.
Программа
Синтаксическая единица, следующая правилам определенного языка программирования, состоящая из соглашений, инструкций и команд, необходимых для того, чтобы выполнять специальные функции или решать специальные задачи или проблемы.
Программирующее устройство
Функциональная единица, используемая при программировании САиУЗ, это может быть специальный прибор или функция станции оператора или других устройств обработки данных (например, станции сервера).
Протокол
1. <САиУЗ> вывод форматированной информации о данных как на виртуальное устройство (VDU), так и на принтер, обычно в хронологическом порядке.
2. <Информационные технологии> ряд правил и форматов, которые регулируют обмен информацией между элементами системы, включая спецификацию требований для приложений.
Примечание: коммуникационные протоколы следует структурировать по уровням в соответствии с концепцией ISO - OSI - базовой эталонной модели.
Протокол передачи данных
Стандартизующая спецификация для обмена информацией между прикладными процессами в САиУЗ и/или между САиУЗ и другими выделенными специальными системами. Данные транспортируются без интерпретации автоматикой здания и ресурсами сети управления.
Примечание: имеются нормативные и ненормативные протоколы.
Профиль, файл конфигурации
<САиУЗ> объект коммуникации с объектными классами и свойствами, предназначенный для приложений и различающий устройства, который опознает выбранные классы, подмножества, опции и параметры, соответствующие стандарту протокола, необходимого для выполнения некоторой функции для специального приложения.
Примечание 1: профиль является частью соответствующего стандарта, или он создан и опубликован соответствующей организацией.
Примечание 2: для каждого отличающегося приложения вводится профиль, который определяется номером версии.
Процесс
<САиУЗ> специальный метод воздействия на среду (например, воду, воздух, электрическую энергию) в установке для обслуживания здания.
Прямое цифровое управление (DDC)
Управление оборудованием или установкой, выполняемое цифровым компьютером или микропроцессором.
Рабочее состояние
Текущее (действующее) активное состояние установки или оборудования обычно результат активного рабочего режима.
Примечание: физическое рабочее состояние не зависит от рабочего режима, поскольку рабочий режим может быть отменен локальным ручным вмешательством или дистанционным управлением.
Рабочий режим
<САиУЗ> основное обозначение особенностей режима (среди различных режимов) работы установки, при котором контроллер поддерживает предварительно заданные условия.
Например: повышенный режим, режим присутствия, комфортный режим, режим экономии, режим ночного понижения.
Разрешение
Представление взаимодействия, в котором обозначается завершение некоторой предварительно вызванной процедуры.
Реальное время
Время, в течение которого имеет место физический процесс.
Примечание: понятие функции реального времени означает возможность компьютера, осуществляющего контроль за процессом, сохранять рабочее состояние задач так, чтобы они были способны реагировать на технические события процесса за предопределенный интервал времени.
Резервирование
Существование в некотором объекте в данный момент времени более чем одного средства выполнения требуемой функции.
Резервирование данных
1. <Обработка данных> процесс копирования/экспорта данных на внешнее устройство хранения данных (резервное устройство) для восстановления (извлечения) этих данных в случае ошибки памяти (хранения). Такую копию называют резервной копией.
2. <Общая терминология> вспомогательные услуги.
Резервирование питания
Рабочий режим, использующий систему резервного электропитания для обслуживания здания.
Сверхнизкое напряжение
Рабочее напряжение ниже, чем 25 В амплитудного значения переменного тока или 60 В постоянного тока.
Примечание: сверхнизкое напряжение подразделяется на: сверхнизкое напряжение безопасности (SELV), защиту сверхнизким напряжением (PELV) и рабочее сверхнизкое напряжение (FELV).
Свойство
Специфическая характеристика типа объекта.
Сегмент
1. <САиУЗ> неограниченная часть сообщения или программы управления (которая может быть загружена), слишком большая для передачи одним пакетом.
2. <Коммуникации> в сетях сегмент состоит из одного или более физических сегментов, связанных повторителями.
Сервер, обслуживающий устройство
Система, программное обеспечение или прибор, который отвечает на запросы на обслуживание, связанные с некоторыми частными задачами.
Сетевая архитектура
Метод, которым структурирована сеть:
- с точки зрения расположения ее компонентов (архитектура, имеющая топологию в виде звезды, кольца, линии, иерархической матрицы и дерева);
- с точки зрения ее функций (архитектура клиент-сервер, локализованная и разделенная);
- с точки зрения ее размеров: локальная сеть (ЛС), городская сеть, глобальная сеть.
Сеть
Совокупность узлов и ветвей, соединяющих эти узлы.
Примечание 1: сегментами сети, соединяющей приборы, являются, например, узлы, мосты, маршрутизаторы, шлюзы.
Примечание 2: набор из одного или более сегментов сети, имеющих один и тот же сетевой адрес, соединяется мостами.
Сеть автоматизации/управления AN/CN
Соединения между контроллерами, станциями/панелями оператора, программными модулями и устройствами обработки данных (например, станция сервера).
Сеть САиУЗ
Сеть системы автоматизации и управления зданиями для обмена информацией между цифровыми, аналоговыми коммуникационными объектами связи в различных устройствах.
Система
В зависимости от контекста это некая структура, состоящая из функциональных единиц, таких как приборы, элементы и программы, связанные друг с другом. Физические единицы могут приводить в действие функциональные единицы.
Примечание: термин определяет систему как функциональную единицу и установку как физическую единицу.
Система автоматизации и управления зданиями - САиУЗ (BACS)
Система, охватывающая все изделия и технические службы для автоматического управления, включая взаимодействие, мониторинг и оптимизацию, для достижения энергоэффективной работы и эксплуатации, экономичных и безопасных операций по обслуживанию здания.
Примечание 1: использование слова «управление» не подразумевает, что система/устройство ограничена только этими функциями. Возможен контроль и обработка другой информации, связанной с САиУЗ.
Примечание 2: если система управления зданиями, система эксплуатации зданий или система управления энергопотреблением зданий действуют в соответствии с требованиями стандартов серии ISO 16484, то ее можно назвать системой автоматизации и управления зданиями (САиУЗ).
Система адресации
Уникальный структурированный метод идентификации точки данных для адресации информации, предусмотренной в САиУЗ, состоящий из схемы и семантики элементов.
Примечание: эту схему можно применять в установке во всей САиУЗ или на всех объектах, определенных заказчиком.
Система управления доступом
1. Система безопасности (для САиУЗ - специальная (выделенная) система).
2. <Безопасность> автоматическая проверка правомерности доступа организационно-техническими мерами. Управляет турникетами/дверьми и т. д. в зданиях/помещениях, включая регистрацию событий.
Системы обслуживания здания
Оборудование и инженерные сети, смонтированные и распределенные внутри здания, такие как электроснабжение, газ, отопление, вода и коммуникации.
Собственный
В контексте САиУЗ-сетей любое расширение или добавление объекту типов, свойств, услуг частной передачи.
Собственный протокол
Обычно это конфиденциальный способ коммуникации, принадлежащий какой-либо компании и защищенный правами интеллектуальной собственности.
Примечание: собственные протоколы могут быть предметом специальных лицензионных соглашений, которые должны быть приняты во внимание.
Событие
Изменение состояния или величины, обнаруженное при работе и/или в сообщении.
Примечание 1: значение (величина) события представляет физическое или логическое состояние оборудования.
Примечание 2: сообщение о состоянии - это передача и возможное отображение информации, например, сообщение о тревоге, а также обозначение состояния или изменения состояния контролируемого оборудования или регулятора, главным образом для того, чтобы информировать людей.
Например: рабочее состояние установки (включено/выключено), ограничения (нижнее/верхнее), тревога или неисправность.
Совместимость
Способность устройств различных типов и различных изготовителей работать в определенной сети при одинаковых условиях и правилах.
Согласованность
Соответствие требованиям стандарта или необходимая преемственность между индивидуальными стандартами внутри одного семейства стандартов.
Соединение «точка-точка»
Связь через прямое соединение между двумя приборами, например, через CCITT V.24/V.28/ EIA RC 232C.
Соединение равноправных узлов (одноранговая система)
Коммуникационная модель, в которой каждый равноправный участник (компонент) имеет такие же возможности, как любой другой, может инициализировать сеанс связи.
Примечание: компоненты одного и того же уровня базовой модели взаимодействия открытых систем ISO - OSI.
Соответствие (согласованность)
Выполнение изделием, протоколом, процессом или службой указанных требований соответствия, или если любая из составных частей системы соответствует требованиям спецификации, это называют соответствием (согласованностью).
Состояние
<САиУЗ> базовое описание, определяющее конкретный рабочий режим или рабочее состояние (условия).
Состояние неработоспособности
Состояние элемента, характеризующее его неспособность исполнять требуемую функцию по любой причине.
Специализированный контроллер приложения (СКП)
Специально настроенное устройство, выполняющее требования определенного приложения.
Примечание: контроллер - любое устройство со способностью управления (автоматизации) и возможностью контроля других устройств и модулей.
Спецификация
Документ, представляющий детальные формализованные требования.
Например: спецификация изделий, спецификация в программе испытаний.
Примечание 1: спецификации используются, чтобы определять требования к сырью, полуфабрикатам, изделиям, оборудованию, установкам, системам, операциям и процессам.
Примечание 2: количественная ведомость используется при рассмотрении -коммерческих предложений, решении о размещении заказов и составлении сметы на строительно-монтажные работы и представляют собой часть тендерной спецификации. Запрос коммерческого предложения включает, например, сметный расчет со спецификацией, включающей перечень с поэлементным указанием объемов и стоимости работ.
Список функций САиУЗ
Электронная таблица калькуляции для документирования и суммирования результатов действий функций САиУЗ.
Среда
Физическая субстанция или окружающая среда, которая является объектом для конкретных задач.
Примечание 1: <САиУЗ> физическая среда (например, вода или воздух), которая контролируется.
Примечание 2: <информационные технологий носитель информации, тип приборов, которые хранят данные неким долговременным способом.
Примечание 3: <коммуникация> это физическая передающая субстанция, которая передает сигналы, называемая передающей средой. Часто называют просто средой.
Среднее время наработки на отказ
Математическое ожидание времени наработки между отказами.
Среднее время наработки между регламентными работами
Математическое ожидание времени наработки между двумя мероприятиями по профилактическому обслуживанию.
См. также среднее время наработки на отказ.
Станция оператора
Устройство интерфейса пользователя с функциями оператора и управления САиУЗ для диспетчерского управления установками.
Статус
1. <САиУЗ> значимость или важность сообщения, обозначается как статус.
Например: в случае разрыва жилы проводника от датчика аналоговое значение помечается как «недействительное».
2. Информационные технологии> строка состояния для информации об условиях в исследуемой функциональной единице, например, в системе обработки данных.
Сторож, сторожевая функция, сторожевой таймер
Функция, которая наблюдает за выполнением компьютерной программы. В случае сбоя в программе сторожевая функция может вызвать инициализацию устройства и/или перезапуск программы.
Стратегия управления
Диаграмма и/или программное обеспечение, которое описывает функциональные требования из САиУЗ-приложения.
Счетный вход
Аппаратное средство, принадлежащее управляющим устройствам для подсчета импульсов.
Тест, испытания
Техническая операция для определения одной или более характеристик или свойств заданного продукта, материала, оборудования, организма, физического явления, процесса или эксплуатации в соответствии с определенной процедурой.
Примечание: результат испытаний обычно записывается в документ, называемый отчетом об испытаниях или сертификатом испытаний.
Техническое обслуживание
Комбинация всех технических, административных и управленческих действий в течение жизненного цикла объекта, как поддерживающих, так и восстановительных, и обеспечивающих состояние, в котором он может выполнять требуемые функции.
Техническое управление зданием (ТВМ)
Все виды обслуживания, связанные с работой и управлением зданием, включая структурное и техническое состояние инженерных систем здания и САиУЗ:
- эксплуатационное и техническое обслуживание,
- документирование,
- управление и оптимизация энергопотребления,
- информационное управление,
- модернизация,
- ремонт,
- реконструкция,
- технический мониторинг состояния,
- гарантийное обслуживание.
Также называют эксплуатацией здания.
Тип объекта
Общая классификация данных, определенных набором свойств.
Топология
<Сеть> структура путей коммуникации между точками, принадлежащими среде. Примерами форм сетевой топологии являются шина, кольцо, звезда, дерево. Логическая топология сетей необязательно является такой же, как их физическая топология. Логическая топология - это путь, по которому сигналы передаются и воздействуют на устройства через сетевую среду.
Точка данных
<САиУЗ> термин, который описывает функцию/данные ввода-вывода устройства (физическая точка данных), непосредственно реализованную в устройстве или функцию процесса/данные ввода/вывода доступную через сетевую коммуникационную среду (виртуальная точка данных).
Точка данных представляет собой всю совокупность определенной информации, полностью описывающей семантику (назначение) точки данных. Эта информация включает существующее значение и/или состояние и параметры (свойства и атрибуты), например, тип сигнала, характеристики сигнала, диапазон измерения, единица измерения и строка описания состояния. Адрес точки и/или адрес пользователя (мнемонический) идентифицируют точку данных.
В проекте САиУЗ может быть предусмотрено множество виртуальных точек данных различного назначения. Например, для узла автоматизации может быть определена виртуальная точка данных, описывающая обобщенные сигналы аварии узлов автоматизации, состояние процессов выполнения приложений в контроллерах, состояние коммуникационной среды и устройств сети САиУЗ и другие. Данные такой виртуальной точки данных являются результатом обработки функций ввода/вывода в контроллере узла автоматизации или других устройствах САиУЗ. Доступ к виртуальной точке данных осуществляется через сеть САиУЗ.
Примечание 1: программный параметр, имеющий собственный пользовательский адрес, является виртуальной точкой данных.
Примечание 2: список точек (СТ) САиУЗ перечисляет все точки данных, группирует их и подводит количественный итог для определения состава технических средств и функциональности проектного решения.
Примечание 3: виртуальная точка данных может представлять собой данные, описывающие процесс эмуляции выполнения различных функций обработки в САиУЗ. Например, для моделирования поведения некоторой функциональной единицы - исполнительного механизма любого рода, устройства управления или интерфейса оператора. Кроме того, на виртуальную точку данных можно ссылаться как на объект САиУЗ и использовать обрабатывать. СТ САиУЗ следует использовать для спецификации как физических точек данных, так и виртуальных точек данных (коммуникационных объектов). СТ САиУЗ может быть оформлен различными способами. Например, можно сгруппировать точки данных в таблице как по видам систем и узлов автоматизации инженерных систем, так и в разрезе виртуальных объектов САиУЗ, ориентированных на моделирование процессов.
Примечание 4: точка данных - исторически сложившийся термин, который прежде описывал только физическое значение или состояние.
Тревога
<САиУЗ> предупреждение о присутствии опасности для собственности или внешней среды; в системах безопасности - также для жизни.
Примечание 1: оповещение, слышимое, или визуальное, или оба, предупреждает оператора об аварийном условии (состоянии), которое может требовать корректирующего действия.
Примечание 2: аварийное условие (состояние), обнаруженное устройством или контроллером, который осуществляет правила или логику управления, специально разработанные для просмотра условий (состояний), например, управление защитой от обморожения.
Трехпозиционное управление
Функция управления с трехпозиционным выходом, который может принимать только три дискретных значения: нулевое и два значения с противоположными знаками. Эти значения выхода используются для позиционирования двумя бинарными сигналами, обеспечивающими три состояния управления.
Например:
а) открытие, остановка, закрытие;
б) больше, нейтральное, меньше;
в) нагрев, нейтральное, охлаждение.
Узел
1. <САиУЗ> точка, где адресный прибор соединен с коммуникационной средой.
2. <Информационные технологии> в сети это конечная точка ветви.
Управление
Целеустремленное действие на процесс или в процессе, чтобы выполнить указанные цели.
Управление включением/выключением (двухпозиционное управление)
Способ управления по позиционированию исполнительного устройства или переключению установки или устройства, предполагающий наличие установки и гистерезиса, одним сигналом, обеспечивающим два управляющих состояния (например, открыть/закрыть, включить/выключить).
Управление доступом
<САиУЗ> метод для задания или ограничения доступа к системным и сетевым ресурсам.
Примечание 1: защита конфиденциальности данных - структура, создающая условия для защиты персональных данных от использования любым другим, отличающимся от владельца, лицом (регламентируется национальным законом).
Примечание 2: защита данных - структуры, создающие условия для защиты данных от прямой или косвенной манипуляции или неавторизованного использования. Манипуляция над данными включает потерю, разрушение или фальсификацию данных.
Примечание 3: средства защиты данных - меры и оборудование, позволяющие гарантировать и поддерживать безопасность данных.
Управление оборудованием объекта
Полный комплекс услуг до, во время и после использования реальной собственности (имущества) и инфраструктуры, основанный на целостной (интегральной) стратегии.
Управление отдельной зоной/помещением
Управление физическими параметрами среды в некоторой части здания, например, зоне или отдельном помещении.
Примечание 1: этот термин возник в связи с интеграцией с другими техническими службами, такими как электрические установки и др.
Примечание 2: зона - определенная область в здании, такая как этаж, секция этажа или комната, где может быть выполнена форма управления.
Управляющая сеть (MN)
Соединение между станциями операторов, программирующими устройствами и устройствами обработки данных (например, станция серверов).
Управляющая функция
<САиУЗ> специализированное программное обеспечение для установки/приложения и инженерная задача для надзора над установками и оценки затрат энергии и эксплуатационных расходов.
Установка
Физическое устройство для обеспечения комплексного процесса, включая заранее определенный блок управления.
Например: установка теплоснабжения, вентиляционная установка, установка для кондиционирования воздуха, холодильная установка, санитарно-техническая установка или электрическая установка.
Примечание 1: установка может состоять из различных отдельных установок, которые собраны из элементов, оборудования, агрегатов (например, бойлер), модулей, компонентов, единиц.
Примечание 2: термин определяет установку как физическую единицу и систему как функциональную единицу.
Устройство
Физическое изделие, сконструированное и изготовленное для исполнения определенных или программируемых функций.
Примечание: как правило, некоторое устройство сформировано как отдельный физический модуль.
Устройство наблюдения и управления (MOU)
См.: станция оператора.
Устройство обработки данных (станция сервера)
Цифровой компьютер, который управляется в соответствии с хранящимися внутри программами, для выполнения арифметических и логических операций над дискретными цифровыми данными для одного или более пользователей.
Формат
Определенная организация данных.
Функции управления
Одна из трех функций для процесса - функция с автоматически закрытым циклом управления, с открытым циклом управления и функция взаимного соединения.
Функциональный блок
Графическое представление программного обеспечения в виде функциональных блоков, используемых в диаграмме функциональных блоков как программный элемент, состоящий из структуры данных, разделенной на входные, выходные и внутренние переменные.
Функция
1. <Информационные технологии> специфическая цель объекта или его характеристического действия, выполненного устройством.
2. <САиУЗ> воздействие программ и параметров на процесс автоматического управления и информацию для управления, и ручные операции.
Примечание 1: функция - это программный модуль, который поставляет только один элемент данных, который может иметь множественное значение (т. е. массив или структура). Функциями могут быть операнды в программе.
Примечание 2: в САиУЗ функции часто упомянуты как управляющие функции, ввод/вывод, обработка, оптимизация, управление и функции оператора. Перечисленный в САиУЗ список точек (данных) детализирует работу, он включает (если требуется) полное операционное техническое обслуживание для определенной функции в проекте.
Примечание 3: в списке функций САиУЗ пункты списка детализируются по видам действия, функции структурированы по группам: функций ввода/вывода, обрабатывающие, управляющие, и функции оператора. Они содержат (если требуется) полное операционное проектирование обслуживания для определенных функциональных возможностей в проекте.
Примечание 4: если предусмотрено, защитные критерии могут обеспечиваться функциями безопасности. Безопасность достигается снижением риска до допустимого уровня. Использование слова «безопасность» в качестве прилагательного нужно избегать. Рекомендуется, по возможности, заменять слово «безопасность» словами, означающими состояние объекта, например, датчик защиты от замерзания или блокировка (как функция), защита от пробного прогона (как функция) и т. д.
Функция ввода/вывода
1. Функция, представляющая собой обработку величины или сигнала, получаемых от датчика или передаваемых исполнительному
устройству (приводу) установки, которой нужно управлять. Эта функция также предоставляет определенную информацию о состоянии/значении точки данных для пользователей системы.
Примечание: функция ввода/вывода называется разделяемой функцией ввода/вывода, если она осуществляется в отдельной системе или устройстве, а ее информация передается к или от другой системы для общего использования.
2. Физический модуль. См.: аналоговый вход/выход, двоичный вход/выход.
Функция обработки
<САиУЗ> специальное приложение программного обеспечения и параметров (инжиниринга) для наблюдения, взаимодействия, закрытого цикла управления и оптимизации процессов в здании.
Ход, перемещение
Движение конечного управляющего элемента, например, клапана или заслонки между двумя крайними положениями.
Целостность, сохранность
Способность приложения функционировать согласно проекту и мера защищенности от влияний, которые могут влиять на правильную работу.
Цифровой
Метод для представления, передачи и обработки информации, основанной на численных (цифровых) данных.
Примечание 1: цифровым сигналом является переменный сигнал, который представляет значение в цифровом коде аналоговой или двоичной информации. Это применяется к функциям ввода и вывода для связи в САиУЗ.
Примечание 2: микропроцессорные устройства часто упоминаются как цифровые устройства.
Человеко-системный интерфейс (HSI)
Граница, где имеет место физическое взаимодействие между человеческой деятельностью и прикладной платформой.
Примечание 1: также относится к интерфейсу человек-компьютер.
Примечание 2: в области механических машин и инструментов инструмент взаимодействия (пользователя) часто толкуется как человеко-машинный интерфейс.
Шаблон
Часть общей формы, которая может быть использована как основа для развития и завершения общей формы.
Шина
Среда и метод связи между двумя или более устройствами с интерфейсом для последовательной передачи данных.
Примечание: сетевая топология линейной формы часто упоминается просто как шина.
Шлюз
Устройство, которое соединяет две или более разнородные сети и позволяет осуществлять обмен информацией между ними.
Примечание: шлюз выполняет любые необходимые преобразования протокола для обмена информацией на всех уровнях согласно базовой модели взаимодействия открытых систем ISO-OSI.
Эксплуатация здания (ЭЗ)
Все обслуживание, связанное с эксплуатацией и работой зданий, включающее структурные и технические свойства, основанные на интегральных стратегиях. Эксплуатация здания подразделяется на:
- техническую эксплуатацию здания;
- эксплуатацию инфраструктуры здания;
- коммерческую эксплуатацию здания. Имеются интерфейсные зоны и средства эксплуатации.
Электромагнитная совместимость (ЕМС) (электромагнитная интерференция (EMI))
Электромагнитная совместимость (вмешательство) относится к аппаратуре, которая подвержена, или характеристики которой подвержены, воздействию такого возмущения.
Примечание 1: аппаратура означает все электрические и электронные приборы, системы, инсталляции и сети, содержащие электрические или электронные компоненты.
Примечание 2: прибор означает готовое изделие, выполняющее прямую функцию, его собственный корпус и, если применимо, порты и подключения, предназначенные для конечных пользователей.
Примечание 3: система означает комбинацию нескольких приборов или, если применимо, электрические или электронные компоненты, разработанные, произведенные или собранные тем же самым изготовителем, чтобы работать вместе, чтобы исполнить определенную задачу после надлежащей инсталляции; система поставляется на рынок как единое функциональное устройство.
Примечание 4: инсталляция означает приборы, системы или электрические, или электронные компоненты, которые были связаны в данном месте для работы вместе, исполняя определенную задачу; эти части не обязательно поставляются на рынок как одиночный функциональный или коммерческий модуль.
Примечание 5: сеть означает комбинацию из нескольких связанных линий передач, соединенных в индивидуальных точках электрическими или оптическими средствами как часть инсталляции, системы, прибора или компонента.
Примечание 6: электромагнитное возмущение означает любое электромагнитное явление, которое может ухудшать аппаратные характеристики; электромагнитным возмущением может быть электромагнитный шум, нежелательный сигнал или изменение непосредственно в среде распространения.
Примечание 7: электромагнитная совместимость означает способность аппарата удовлетворительно функционировать в его электромагнитной среде без того, чтобы вносить в той же среде недопустимое для другого аппарата электромагнитное возмущение.
Символы, сокращения и аббревиатуры
Нижеследующие сокращения и акронимы используются в комплексе стандартов АВОК «Системы автоматизации и управления зданиями».
|
АС |
- |
alternating current |
переменный ток |
|
ACU |
- |
air conditioning unit |
установка кондиционирования воздуха (кондиционер) |
|
AHU |
- |
air handling unit |
установка приточного воздуха |
|
AI |
- |
analog input (analogue input) |
аналоговый вход |
|
АО |
- |
analog output (analogue output) |
аналоговый выход |
|
AS |
- |
automation station (controller, control device) |
станция автоматизации (контроллер, управляющее устройство) |
|
ASC |
скп |
application specific controller |
специализированный контроллер приложения |
|
ВАС |
- |
building automation and control |
автоматизация и управление зданиями (АиУЗ) |
|
BACS |
САиУЗ |
Building Automation and Control System |
система автоматизации и управления зданиями |
|
BACS P.L. |
- |
Building Automation and Control System Points List |
список точек системы автоматизации и управления зданием |
|
BCD |
- |
binary coded decimal |
двоично-десятичное число |
|
BI |
- |
binary input |
двоичный вход |
|
ВО |
- |
binary output |
двоичный выход |
|
BS |
- |
building services |
сервисное обеспечение |
|
CAV |
' |
constant air volume |
постоянный расход воздуха |
|
Cl |
- |
counter input |
вход счетчика |
|
CN |
- |
control network (AN automation network) |
сеть управления (сеть автоматизации) |
|
COV |
- |
change of value |
изменение значения |
|
CRT |
ЭЛТ |
cathode ray tube |
электронно-лучевая трубка |
|
Cv |
- |
coefficient, valve flow |
коэффициент протока через клапан (пропускная способность клапана) |
|
DBMS |
- |
Data Base Management System |
система управления базой данных |
|
Dc |
= |
direct current |
постоянный ток |
|
DDC |
- |
direct digital control |
прямое цифровое управление |
|
DIU |
- |
data interface unit |
модуль интерфейса данных |
|
DN |
- |
diameter nominal (for pipes, valves and fittings) |
номинальный диаметр (для труб, клапанов и фиттингов) |
|
DP |
- |
data point |
точка данных |
|
DSS |
- |
dedicated special system |
специальная выделенная система |
|
DTE |
- |
data terminal equipment |
оборудование терминала данных |
|
EMC (EMI) |
- |
electro magnetic compatibility (electro magnetic interference) |
электромагнитная совместимость (электромагнитная интерференция) |
|
FN |
- |
field network (field bus) |
распределенная сеть автоматики (полевая сеть) |
|
GUI |
ГИП |
graphical user interface |
графический интерфейс пользователя |
|
HBES |
- |
home and building electronic systems |
электронные системы домов и зданий |
|
HSI |
|
human-system interface |
человеко-системный интерфейс |
|
HVAC&R |
ОВКиОВ |
Heating, Ventilating, Air-conditioning and Refrigeration |
отопление, вентиляция, кондиционирование и охлаждение воздуха |
|
I/O |
в/в |
input/output |
ввод/вывод |
|
IOP |
- |
interoperability |
интероперабельность |
|
IP |
- |
internet protocol |
межсетевой протокол (протокол IP) |
|
IT |
- |
information technology |
информационные технологии |
|
LAN |
- |
local area network |
локальная сеть |
|
LO/ID |
- |
local override/Indication device |
локальный ручной пульт/индикационный прибор |
|
MN |
- |
management network |
сеть администрирования |
|
MODEM |
Модем |
MOdulator/DEModulator |
модулятор/демодулятор |
|
MOU |
- |
monitoring and operator unit |
модуль мониторинга и управления |
|
MTBM |
- |
mean time between maintenance |
среднее время наработки между профилактическими остановками |
|
OSI |
- |
open systems interconnection |
соединение открытых систем |
|
R/Ω |
Ом |
resistance in Ohm |
сопротивление (Ом) |
|
Р |
- |
proportional control |
пропорциональное управление |
|
PI |
- |
proportional integral control |
пропорционально-интегральное управление |
|
PID |
- |
proportional integral derivative control |
пропорциональное интегрально-дифференциальное управление |
|
PL |
- |
points list |
список точек |
|
PN |
- |
Pressure Nominal (for pipes, valves, fittings and tanks) |
номинальное давление (дл труб, клапанов, фиттингов и резервуаров) |
|
PPP |
- |
Point-to-Point Protocol |
протокол «точка-точка» |
|
PTP |
- |
Point-to- Point |
«точка - точка» |
|
PU |
- |
programming unit • |
программирующее устройство |
|
RTD |
- |
resistive temperature detector |
резистивныи температурный детектор (датчик) |
|
UDP |
- |
User Datagram Protocol |
протокол пользовательских дейтаграмм (протокол UDP) |
|
VAV |
- |
variable air volume |
переменный расход воздуха |
|
VDU |
- |
visual display unit |
дисплейный блок визуализации |
|
WAN |
- |
wide area network |
глобальная сеть |
|
nvAl |
- |
network variable analog input |
сетевая переменная аналогового входа |
|
nvBI |
- |
network variable binary input |
сетевая переменная двоичного входа |
|
nvAO |
- |
network variable analog output |
сетевая переменная аналогового выхода |
|
nvBO |
- |
network variable binary output |
сетевая переменная двоичного выхода |